Fractional Photoconduction and Nonlinear Optical Behavior in ZnO Micro and Nanostructures
Abstract
:1. Introduction
2. Materials and Methods
2.1. Synthesis of the ZnO Samples and Morphology Characterization
2.2. Optical and Electrical Properties Characterization
2.3. Experimental Setups for NLO Effects
3. Results and Discussion
3.1. Morphology Characterization
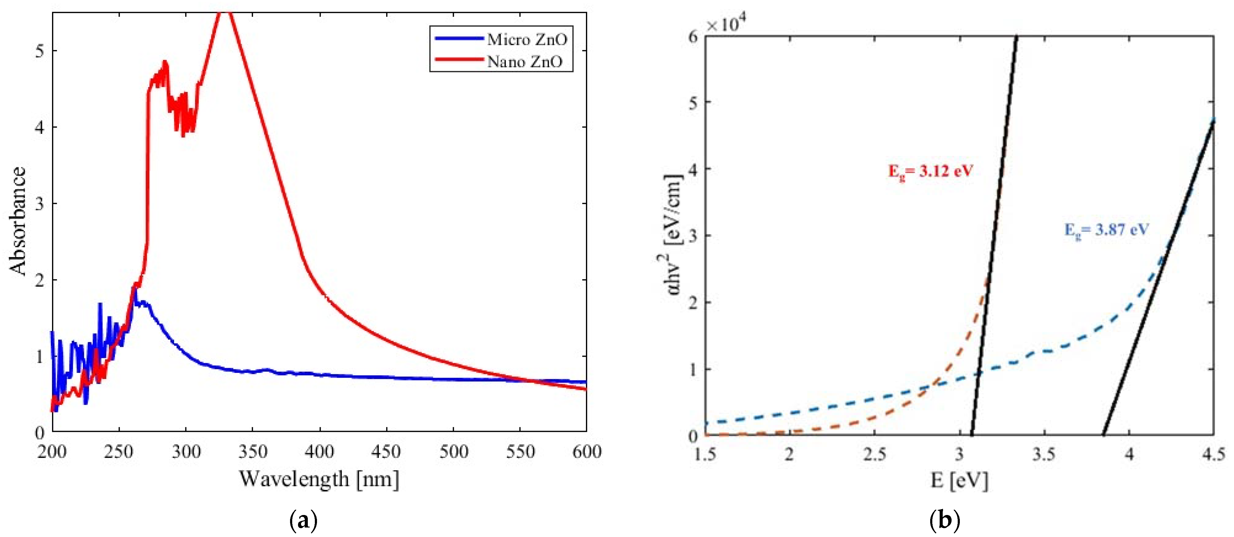
3.2. UV-VIS Observations
3.3. Photoconductivity Response
3.4. Results of the z-Scan Analysis
3.5. Nanosecond TWM Studies
4. Conclusions
Author Contributions
Funding
Data Availability Statement
Acknowledgments
Conflicts of Interest
References
- Vyas, S. A short review on properties and applications of zinc oxide based thin films and devices: ZnO as a promising material for applications in electronics, optoelectronics, biomedical and sensors. Johns. Matthey Technol. Rev. 2020, 64, 202–218. [Google Scholar] [CrossRef]
- Sharma, D.K.; Shukla, S.; Sharma, K.K.; Kumar, V. A review on ZnO: Fundamental properties and applications. Mater. Today Proc. 2022, 49, 3028–3035. [Google Scholar] [CrossRef]
- Borysiewicz, M.A. ZnO as a functional material, a review. Crystals 2019, 9, 505. [Google Scholar] [CrossRef]
- Abed, S.; Aida, M.S.; Bouchouit, K.; Arbaoui, A.; Iliopoulos, K.; Sahraoui, B. Non-linear optical and electrical properties of ZnO doped Ni Thin Films obtained using spray ultrasonic technique. Opt. Mater. 2011, 33, 968–972. [Google Scholar] [CrossRef]
- Shahzad, S.; Javed, S.; Usman, M. A review on synthesis and optoelectronic applications of nanostructured ZnO. Front. Mater. 2021, 8, 613825. [Google Scholar] [CrossRef]
- Sharma, S.; Kumar, K.; Thakur, N.; Chauhan, S.; Chauhan, M.S. The effect of shape and size of ZnO nanoparticles on their antimicrobial and photocatalytic activities: A green approach. Bull. Mater. Sci. 2020, 43, 1–10. [Google Scholar] [CrossRef]
- Rahman, A.; Harunsani, M.H.; Tan, A.L.; Khan, M.M. Zinc oxide and zinc oxide-based nanostructures: Biogenic and phytogenic synthesis, properties and applications. Bioprocess Biosyst. Eng. 2021, 44, 1333–1372. [Google Scholar] [CrossRef]
- Parvez Ahmad, M.D.; Venkateswara Rao, A.; Suresh Babu, K.; Narsinga Rao, G. Particle size effect on the dielectric properties of ZnO nanoparticles. Mater. Chem. Phys. 2019, 224, 79–84. [Google Scholar] [CrossRef]
- Aljawfi Rezq, R.N.; Rahman, F.; Batoo Khalid, M. Effect of grain size and grain boundary defects on electrical and magnetic properties of Cr doped ZnO nanoparticles. J. Mol. Struct. 2014, 1065–1066, 199–204. [Google Scholar] [CrossRef]
- Hwang, S.-H.; Kim, Y.K.; Hong, S.H.; Lim, S.K. Effect of the Morphology and Electrical Property of Metal-Deposited ZnO Nanostructures on CO Gas Sensitivity. Nanomaterials 2020, 10, 2124. [Google Scholar] [CrossRef]
- Yathisha, R.O.; Arthoba Nayaka, Y. Structural, Optical and Electrical Properties of ZnO Nanostructures Synthesized under Different Microwave Power. Russ. J. Electrochem. 2021, 57, 784–794. [Google Scholar] [CrossRef]
- Long, P.; Peng, H.; Sun, B.; Lan, J.; Wan, J.; Fei, Y.; Ye, X.; Qu, S.; Ye, G.; He, Y.; et al. Modulation of ZnO Nanostructure for Efficient Photocatalytic Performance. Nanoscale Res. Lett. 2022, 17, 118. [Google Scholar] [CrossRef]
- Qiao, S.; Liu, J.; Fu, G.; Ren, K.; Li, Z.; Wang, S.; Pan, C. ZnO nanowire based CIGS solar cell and its efficiency enhancement by the piezo-phototronic effect. Nano Energy 2018, 49, 508–514. [Google Scholar] [CrossRef]
- Dan, M.; Hu, G.; Li, L.; Zhang, Y. High performance piezotronic logic nanodevices based on GaN/InN/GaN topological insulator. Nano Energy 2018, 50, 544–551. [Google Scholar] [CrossRef]
- Hu, G.; Zhang, Y.; Li, L.; Wang, Z.L. Piezotronic transistor based on topological insulators. ACS Nano 2017, 12, 779–785. [Google Scholar] [CrossRef] [PubMed]
- Khalid, N.R.; Hammad, A.; Tahir, M.B.; Rafique, M.; Iqbal, T.; Nabi, G.; Hussain, M.K. Enhanced photocatalytic activity of Al and Fe co-doped ZnO nanorods for methylene blue degradation. Ceram. Int. 2019, 45, 21430–21435. [Google Scholar] [CrossRef]
- Kurtaran, S. Al doped ZnO thin films obtained by spray pyrolysis technique: Influence of different annealing time. Opt. Mater. 2021, 114, 110908. [Google Scholar] [CrossRef]
- Lou, A.J.T.; Marks, T.J. A twist on nonlinear optics: Understanding the unique response of π-twisted chromophores. Acc. Chem. Res. 2019, 52, 1428–1438. [Google Scholar] [CrossRef] [PubMed]
- Waszkowska, K.; Krupka, O.; Kharchenko, O.; Figà, V.; Smokal, V.; Kutsevol, N.; Sahraoui, B. Influence of ZnO nanoparticles on nonlinear optical properties. Appl. Nanosci. 2020, 10, 4977–4982. [Google Scholar] [CrossRef]
- Paul, S.; Balasubramanian, K. Charge transfer induced excitons and nonlinear optical properties of ZnO/PEDOT: PSS nanocomposite films. Spectrochim. Acta Part A Mol. Biomol. Spectrosc. 2021, 245, 118901. [Google Scholar] [CrossRef]
- Kepceoğlu, A.; Gezgin, S.Y.; Gündoğdu, Y.; Küçükçelebi, H.; Kılıç, H.Ş. Nonlinear optical properties of zinc oxide thin films produced by pulsed laser deposition. Mater. Today Proc. 2019, 18, 1819–1825. [Google Scholar] [CrossRef]
- Sindhu, H.S.; Maidur, S.R.; Patil, P.S.; Choudhary, R.J.; Rajendra, B.V. Nonlinear optical and optical power limiting studies of Zn1-xMnxO thin films prepared by spray pyrolysis. Optik 2019, 182, 671–681. [Google Scholar] [CrossRef]
- Haghighatzadeh, A.; Mazinani, B.; Ostad, M.; Shokouhimehr, M.; Dutta, J. Hollow ZnO microspheres self-assembled from rod-like nanostructures: Morphology-dependent linear and Kerr-type nonlinear optical properties. J. Mater. Sci. Mater. Electron. 2021, 32, 23385–23398. [Google Scholar] [CrossRef]
- Shehata, A.; Tawfik, W.Z.; Mohamed, T. Cobalt enhanced nonlinear optical properties and optical limiting of zinc oxide irradiated by femtosecond laser pulses. JOSA B 2020, 37, A1–A8. [Google Scholar] [CrossRef]
- Ciprian, R.; Baratto, C.; Giglia, A.; Koshmak, K.; Vinai, G.; Donarelli, M.; Ferroni, M.; Campanini, M.; Comini, E.; Ponzoni, A.; et al. Magnetic gas sensing exploiting the magneto-optical Kerr effect on ZnO nanorods/Co layer system. RSC Adv. 2016, 6, 42517–42521. [Google Scholar] [CrossRef]
- Hua, S.; Zhang, W. Anisotropy of 2PA, 3PA, and Kerr effect in nonpolar ZnO. Opt. Lett. 2021, 46, 4065–4068. [Google Scholar] [CrossRef] [PubMed]
- Zhang, S.; Lu, H.; Rui, G.; Lv, C.; He, J.; Cui, Y.; Gu, B. Preparation of Ag@ ZnO core–shell nanostructures by liquid-phase laser ablation and investigation of their femtosecond nonlinear optical properties. Appl. Phys. B 2020, 126, 1–9. [Google Scholar] [CrossRef]
- Moreira, L.; Falci, R.F.; Darabian, H.; Anjos, V.; Bell, M.J.V.; Kassab, L.R.P.; Bordon, C.D.S.; Doualan, J.L.; Camy, P.; Moncorgé, R. The effect of excitation intensity variation and silver nanoparticle codoping on nonlinear optical properties of mixed tellurite and zinc oxide glass doped with Nd2O3 studied through ultrafast z-scan spectroscopy. Opt. Mater. 2018, 79, 397–402. [Google Scholar] [CrossRef]
- Ortíz-Trejo, F.; Trejo-Valdez, M.; Campos-López, J.P.; Castro-Chacón, J.H.; Torres-Torres, C. Multipath data storage by third-order nonlinear optical properties in zinc oxide nanostructures. Appl. Sci. 2020, 10, 5688. [Google Scholar] [CrossRef]
- Wen, X.; Han, Y.; Yao, C.; Zhang, K.; Li, J.; Sun, W.; Li, Q.; Zhang, M.; Wu, J.D. The photoluminescence, ultrafast nonlinear optical properties, and carrier dynamics of 1D In-doped ZnO nanostructures: Experiment and mechanism. Opt. Mater. 2018, 77, 67–76. [Google Scholar] [CrossRef]
- Wang, H.; Wang, C.; Chen, Q.; Ren, B.; Guan, R.; Cao, X.; Yang, X.; Duan, R. Interface-defect-mediated photocatalysis of mesocrystalline ZnO assembly synthesized in-situ via a template-free hydrothermal approach. Appl. Surf. Sci. 2017, 412, 517–528. [Google Scholar] [CrossRef]
- Ravichandran, K.; Philominathan, P. Fabrication of antimony doped tin oxide (ATO) films by an inexpensive, simplified spray technique using perfume atomizer. Mater. Lett. 2008, 62, 2980–2983. [Google Scholar] [CrossRef]
- Jiang, H.X.; Lin, J.Y. Chapter 6: Persistent photoconductivity in III-nitrides. In III-Nitride Semiconductors: Electrical, Structural and Defects Properties; Elsevier Science: Amsterdam, The Netherlands, 2000; pp. 151–191. [Google Scholar]
- Matar, M.M.; Abbas, M.I.; Alzabut, J.; Kaabar, M.K.A.; Etemad, S.; Rezapour, S. Investigation of the p-Laplacian nonperiodic nonlinear boundary value problem via generalized Caputo fractional derivatives. Adv. Differ. Equ. 2021, 2021, 1–18. [Google Scholar] [CrossRef]
- Sandeep, K.M.; Bhat, S.; Dharmaprakash, S.M. Nonlinear absorption properties of ZnO and Al doped ZnO thin films under continuous and pulsed modes of operations. Opt. Laser Technol. 2018, 102, 147–152. [Google Scholar] [CrossRef]
- Walden, S.L.; Fernando, J.F.; Shortell, M.P.; Jaatinen, E.A. Accurate determination of nonlinear refraction in ZnO and Au composite nanostructures. Opt. Mater. Express 2020, 10, 653–661. [Google Scholar] [CrossRef]
- Boyd, R.W. Nonlinear Optics, 3rd ed.; Elsevier Academic Press: San Diego, CA, USA, 2009. [Google Scholar]
- Nair, V.G.; Jayakrishnan, R.; John, J.; Salam, J.A.; Anand, A.M.; Raj, A. Anomalous photoconductivity in chemical spray pyrolysis deposited nano-crystalline ZnO thin films. Mater. Chem. Phys. 2020, 247, 122849. [Google Scholar] [CrossRef]
- Worasawat, S.; Tasaki, K.; Hatanaka, Y.; Neo, Y.; Mimura, H.; Pecharapa, W. Growth of ZnO nano-rods and its photoconductive characteristics on the photo-catalytic properties. Mater. Today Proc. 2019, 17, 1379–1385. [Google Scholar] [CrossRef]
- Kokate, S.K.; Jagtap, C.V.; Baviskar, P.K.; Jadkar, S.R.; Pathan, H.M.; Mohite, K.C. CdS sensitized cadmium doped ZnO solar cell: Fabrication and characterizations. Optik 2018, 157, 628–634. [Google Scholar] [CrossRef]
- Acharya, S.; Biswal, S.K.; Sarangi, S.N. Effect of structure and morphology on the UV photo detection of ZnO nanostructures and microstructures. Chem. Phys. 2021, 523, 99–105. [Google Scholar] [CrossRef]
- Trejo-Valdez, M.; Torres-Torres, C.; Castro-Chacón, J.H.; Graciano-Armenta, G.A.; García-Gil, C.I.; Khomenko, A.V. Modification of the picosecond optical absorptive nonlinearity by a nanosecond irradiation in a nanostructured ZnO thin film. Opt. Laser Tech. 2013, 49, 75–80. [Google Scholar] [CrossRef]
- Abdallah, B.; Zidan, M.D.; Allahham, A. Syntheses, structural and nonlinear optical characteristics of ZnO films using Z-scan technique. Silicon 2021, 13, 4139–4146. [Google Scholar] [CrossRef]
- Sony, T.; Zaker, T.A.; Zakar, A.T.; Mohammed, H.N. Nonlinear Optical Properties of ZnO Thin Film at Low Laser Intensity Using Z-scan Technique. Rafidain J. Sci. 2021, 30, 32–38. [Google Scholar] [CrossRef]
- Chamundeeswari, A.; Das, S.J.; Mageshwari, P.S.; Vijayakumar, G.; Deepapriya, S.; Rodney, J.D.; Infantiya, S.G.; Jensipriya, A.; Reena, R.S.; Rathikha, R. Structural, non-linear optical analysis of ZnO-CdO nanocomposite. AIP Conf. Proc. 2020, 2244, 060001. [Google Scholar] [CrossRef]
- Tran, D.; Valdes, C.; Sadoqi, M.; Kityk, I.; Long, G. Second Harmonic Generation On Hydrothermal Grown Zno Nanowires And Colloidal Nanostructures Films. APS March Meet. Abstr. 2019, 2019, T70–T303. [Google Scholar]
- Ma, Q.; Pan, C.; Xue, Y.; Fang, Z.; Zhang, S.; Wu, B.; Wu, E. Plasmon Enhanced Second Harmonic Generation from ZnO Nanofilms on Vertical Au Nanorod Arrays. Nanomaterials 2021, 11, 2597. [Google Scholar] [CrossRef] [PubMed]
- Volmert, R.; Weber, N.; Meier, C. Nanoantennas embedded in zinc oxide for second harmonic generation enhancement. J. Appl. Phys. 2020, 128, 043107. [Google Scholar] [CrossRef]
- Rout, A.; Boltaev, G.S.; Ganeev, R.A.; Rao, K.S.; Fu, D.; Rakhimov, R.Y.; Kurbanov, S.S.; Urolov, S.Z.; Shaymardanov, Z.S.; Guo, C. Low-and high-order nonlinear optical studies of ZnO nanocrystals, nanoparticles, and nanorods. Eur. Phys. J. D 2019, 73, 1–8. [Google Scholar] [CrossRef]
- Waszkowska, K.; Chtouki, T.; Krupka, O.; Smokal, V.; Figà, V.; Sahraoui, B. Effect of UV-Irradiation and ZnO nanoparticles on nonlinear optical response of specific photochromic polymers. Nanomaterials 2021, 11, 492. [Google Scholar] [CrossRef]
- Upadhya, K.; Deekshitha, U.G.; Antony, A.; Ani, A.; Kityk, I.V.; Jedryka, J.; Wojciechowski, A.; Ozga, K.; Poornesh, P.; Kulkarni, S.D.; et al. Second and third harmonic nonlinear optical process in spray pyrolysed Mg: ZnO thin films. Opt. Mater. 2020, 102, 109814. [Google Scholar] [CrossRef]
- Haider, A.J.; Sultan, F.I.; Haider, M.J.; Taha, B.A.; Al-Musawi, S.; Edan, M.S.; Jassim, C.S.; Arsad, N. Characterization of laser dye concentrations in ZnO nanostructures for optimization of random laser emission performance. Int. J. Mod. Phys. B 2023, 2450111. [Google Scholar] [CrossRef]
- Radičić, R.; Maletić, D.; Blažeka, D.; Car, J.; Krstulović, N. Synthesis of silver, gold, and platinum doped zinc oxide nanoparticles by pulsed laser ablation in water. Nanomaterials 2022, 12, 3484. [Google Scholar] [CrossRef] [PubMed]
- Nikov, R.; Dikovska, A.; Nedyalkov, N.; Nikova, T.; Karashanova, D. Nanosecond laser ablation of composite thin films in liquid. J. Phys. Conf. Ser. 2021, 1859, 012012. [Google Scholar] [CrossRef]
- Perez-Lopez, C.A.; Perez-Taborda, J.A.; Riascos, H.; Avila, A. The influence of pulsed laser ablation in liquids parameters on the synthesis of ZnO nanoparticles. J. Phys. Conf. Ser. 2020, 1541, 012019. [Google Scholar] [CrossRef]
- Zandalazini, C.; Oliva, M.; Ferrero, J.C. Highly c-axis oriented ZnO thin films on glass substrate by pulsed laser deposition: Fluence-dependent effects. J. Nanoelectron. Optoelectron. 2019, 14, 1461–1467. [Google Scholar] [CrossRef]






Disclaimer/Publisher’s Note: The statements, opinions and data contained in all publications are solely those of the individual author(s) and contributor(s) and not of MDPI and/or the editor(s). MDPI and/or the editor(s) disclaim responsibility for any injury to people or property resulting from any ideas, methods, instructions or products referred to in the content. |
© 2023 by the authors. Licensee MDPI, Basel, Switzerland. This article is an open access article distributed under the terms and conditions of the Creative Commons Attribution (CC BY) license (https://creativecommons.org/licenses/by/4.0/).
Share and Cite
Garcia-de-los-Rios, V.M.; Arano-Martínez, J.A.; Trejo-Valdez, M.; Hernández-Pichardo, M.L.; Vidales-Hurtado, M.A.; Torres-Torres, C. Fractional Photoconduction and Nonlinear Optical Behavior in ZnO Micro and Nanostructures. Fractal Fract. 2023, 7, 885. https://doi.org/10.3390/fractalfract7120885
Garcia-de-los-Rios VM, Arano-Martínez JA, Trejo-Valdez M, Hernández-Pichardo ML, Vidales-Hurtado MA, Torres-Torres C. Fractional Photoconduction and Nonlinear Optical Behavior in ZnO Micro and Nanostructures. Fractal and Fractional. 2023; 7(12):885. https://doi.org/10.3390/fractalfract7120885
Chicago/Turabian StyleGarcia-de-los-Rios, Victor Manuel, Jose Alberto Arano-Martínez, Martin Trejo-Valdez, Martha Leticia Hernández-Pichardo, Mónica Araceli Vidales-Hurtado, and Carlos Torres-Torres. 2023. "Fractional Photoconduction and Nonlinear Optical Behavior in ZnO Micro and Nanostructures" Fractal and Fractional 7, no. 12: 885. https://doi.org/10.3390/fractalfract7120885
APA StyleGarcia-de-los-Rios, V. M., Arano-Martínez, J. A., Trejo-Valdez, M., Hernández-Pichardo, M. L., Vidales-Hurtado, M. A., & Torres-Torres, C. (2023). Fractional Photoconduction and Nonlinear Optical Behavior in ZnO Micro and Nanostructures. Fractal and Fractional, 7(12), 885. https://doi.org/10.3390/fractalfract7120885

