Optimized Multiloop Fractional-Order Controller for Regulating Frequency in Diverse-Sourced Vehicle-to-Grid Power Systems
Abstract
:1. Introduction
1.1. Overview
1.2. Literature Review
1.3. Article Contribution
- A higher degree of freedom FO-based LFC method is proposed. The newly proposed controller is based on developing a multiloop two-degrees-of-freedom (2DOF) fractional-order-based LFC method. The proposed 2DOF LFC method uses the tilt–integral–derivatives with filter (TIDN) in the outer loop and the tilt–derivative with filter (TDN) in the inner loop.
- The proposed TIDN-TDN controller includes high flexibility due to its included FO operators, which help with better optimization of control performance. The proposed TIDN-TDN controller represents a new combination of fractional-order-based LFC compared with existing control structures in the literature.
- The improved performance using the proposed TIDN-TDN controller results from employing a feedback signal in the outer loop using ACE signal to mitigate the low-frequency fluctuations. Furthermore, the proposed 2DOF TIDN-TDN LFC method employs a feedforward loop using the frequency deviation signal to mitigate the high-frequency disturbances. Thence, better disturbance rejection capability is obtained using the proposed 2DOF TIDN-TDN controller. Moreover, the proposed TIDN-TDN LFC method does not require additional components and/or observer design and/or filter elements.
- An effective control and coordination method is proposed to control the participation of installed and future EVs using the TID controller and is coordinated with the proposed 2DOF TIDN-TDN LFC method. Accordingly, the installed EVs in future modern power systems participate in an effective way to dampen existing disturbances by utilizing the inherent EV batteries. This, in turn, leads to better EV utilization in future power systems with the expected continuous replacements of EVs. The coordination process is achieved inherently within the proposed controller and its design optimization method.
- An improved optimized design of the proposed 2DOF TIDN-TDN LFC method and EV TID controller is presented in this paper using the recent powerful marine predator optimizer algorithm (MPA) method. The parameters of the proposed controllers are determined simultaneously in all the studied interconnected power grids. The proposed method eliminates the need for complex control theories and/or mathematical determination processes using classical control methods. Thence, complex control designs and modeling are avoided using the powerful MPA optimizer.
- Further improvements are achieved by the proposed controller by avoiding the common problems of disturbance observer-based control, such as precise model dependency, complex tuning and design requirements, high computational complexity, sensitivity to measurement noise, and limited applicability.
2. Mathematical Models of the System
2.1. Modeling Various Generation Sources
2.1.1. Thermal Plant
2.1.2. Hydraulic Plant
2.1.3. Gas Plant
2.1.4. Nuclear Plant
2.2. Modeling Various Renewable Generation Sources
2.2.1. PV Generation
2.2.2. Wind Generation
2.3. Modeling of EVs
3. FO Control Theory and Existing LFCs in Literature
3.1. Existing IO LFC Methods
3.2. FO Control Theory
3.3. Existing FO LFCs Methods
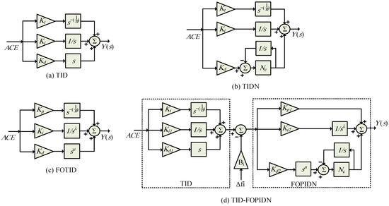
4. The Proposed 2DOF TIDN-TDN Controller
5. The Process for Obtaining Optimized Control Parameters
5.1. Optimization Process
5.2. The Principle of the MPA Optimizer
- High efficiency: The MPA optimizer achieved efficient performance when solving different optimization problems with various properties, particularly where traditional metaheuristic methods fail to converge to optimal solutions.
- Increased robustness: The optimized MPA showed robust performance against changes within optimization problems and has the ability to adapt itself to the different considered types of problem constraints and/or objectives.
- More flexibility: The MPA represents a flexible algorithm, which can be modified and/or customized easily to suit the different optimization problems.
- Scalability: The MPA algorithm was verified and tested on a large variety of optimization problems, wherein it demonstrated promising performance results.
- High Speed Ratio Phase: It corresponds to the first one-third portion of the iteration number. It is related to cases of higher prey speed than predators. The mathematical representation is given as [55]:where R represents the vector from random numbers within the range, whereas P equals 0.5, and is the Brownian motion vector.
- Unity Speed Ratio Phase: This phase is represented by the second one-third portion of the iterations. It is related to the case of equal speed between prey and predators, in which, the predators’ movements are represented by Brownian expression and the prey’s movements are represented by the Lévy flights model method. Within this phase, the population is divided into two subdivisions. In the first part, (34) and (35) are used, whereas in second part, (36) and (37) are employed for modifying the locations as follows [57]:where is a random variable, and it is generated using Lévy distribution.wherewhere t and are the current value and the maximum value for iterations.
- Low Speed Ratio: This phase is formed by the last one-third of the iteration. In this phase, the prey’s speed is lower than the predators’ speed, in which the location modifications are expressed as follows [55]:In [55], the formation of eddy and fish aggregation devices (FADs) effecting is utilized to count for the surrounding environment conditions of prey and predators. The positions of the population are modified based on FADs to avoid the local optimum solution. It is represented as follows:where is set at 0.2, W is a binary number between 0 and 1, and r stands for a random number. However, and are random indices of prey. and are the lower and upper bounding vectors.

6. Simulation Results
- Scenario 1: Action of step load perturbation’s effect (SLP).
- Scenario 2: Sudden load shedding (SLS).
- Scenario 3: Parameters uncertainties of nuclear generation.
- Scenario 4: Multiple-load perturbation effects (MLP).
- Scenario 5: The action of high RES deployment.
- Scenario 6: The effect of low inertia 50% (high RES penetration) with multiple-load perturbation and parameter variations in the nuclear power station.
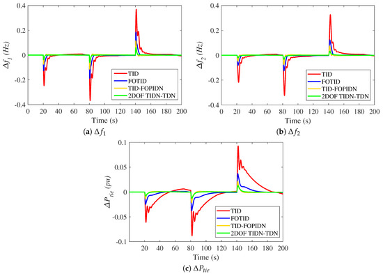
6.1. Scenario 1
6.2. Scenario 2
6.3. Scenario 3
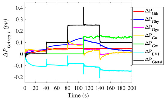
6.4. Scenario 4
6.5. Scenario 5
6.6. Scenario 6
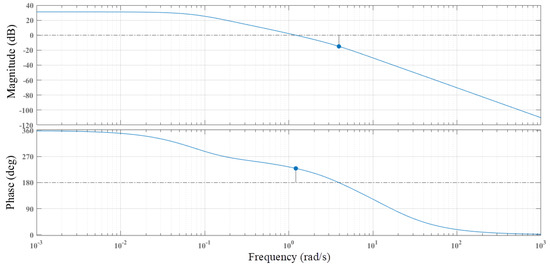
6.7. Stability Analysis of the Closed-Loop System
7. Conclusions
Author Contributions
Funding
Data Availability Statement
Conflicts of Interest
Appendix A
References
- Ali, M.; Kotb, H.; AboRas, M.K.; Abbasy, H.N. Frequency regulation of hybrid multi-area power system using wild horse optimizer based new combined Fuzzy Fractional-Order PI and TID controllers. Alex. Eng. J. 2022, 61, 12187–12210. [Google Scholar] [CrossRef]
- Ramshanker, A.; Chakraborty, S.; Elangovan, D.; Kotb, H.; Aboras, K.M.; Giri, N.C.; Agyekum, E.B. CO2 Emission Analysis for Different Types of Electric Vehicles When Charged from Floating Solar Photovoltaic Systems. Appl. Sci. 2022, 12, 12552. [Google Scholar] [CrossRef]
- Li, S.; Shao, X.; Zhang, W.; Zhang, Q. Distributed Multicircular Circumnavigation Control for UAVs with Desired Angular Spacing. Def. Technol. 2023. [Google Scholar] [CrossRef]
- Zhang, F.; Shao, X.; Xia, Y.; Zhang, W. Elliptical encirclement control capable of reinforcing performances for UAVs around a dynamic target. Def. Technol. 2023. [Google Scholar] [CrossRef]
- Zhang, J.; Shao, X.; Zhang, W.; Na, J. Path-Following Control Capable of Reinforcing Transient Performances for Networked Mobile Robots Over a Single Curve. IEEE Trans. Instrum. Meas. 2023, 72, 1–12. [Google Scholar] [CrossRef]
- Shao, X.; Li, S.; Zhang, J.; Zhang, F.; Zhang, W.; Zhang, Q. GPS-free Collaborative Elliptical Circumnavigation Control for Multiple Non-holonomic Vehicles. IEEE Trans. Intell. Veh. 2023, 8, 3750–3761. [Google Scholar] [CrossRef]
- Zhang, J.; Shao, X.; Zhang, W.; Zuo, Z. Multi-circular formation control with reinforced transient profiles for nonholonomic vehicles: A path-following framework. Def. Technol. 2023. [Google Scholar] [CrossRef]
- Bakhtadze, N.; Maximov, E.; Maximova, N. Digital Identification Algorithms for Primary Frequency Control in Unified Power System. Mathematics 2021, 9, 2875. [Google Scholar] [CrossRef]
- Ranjan, M.; Shankar, R. A literature survey on load frequency control considering renewable energy integration in power system: Recent trends and future prospects. J. Energy Storage 2022, 45, 103717. [Google Scholar] [CrossRef]
- Dreidy, M.; Mokhlis, H.; Mekhilef, S. Inertia response and frequency control techniques for renewable energy sources: A review. Renew. Sustain. Energy Rev. 2017, 69, 144–155. [Google Scholar] [CrossRef]
- Shankar, R.; Pradhan, S.; Chatterjee, K.; Mandal, R. A comprehensive state of the art literature survey on LFC mechanism for power system. Renew. Sustain. Energy Rev. 2017, 76, 1185–1207. [Google Scholar] [CrossRef]
- Khamies, M.; Magdy, G.; Ebeed, M.; Kamel, S. A robust PID controller based on linear quadratic gaussian approach for improving frequency stability of power systems considering renewables. ISA Trans. 2021, 117, 118–138. [Google Scholar] [CrossRef] [PubMed]
- Fernández-Guillamón, A.; Gómez-Lázaro, E.; Muljadi, E.; Molina-García, Á. Power systems with high renewable energy sources: A review of inertia and frequency control strategies over time. Renew. Sustain. Energy Rev. 2019, 115, 109369. [Google Scholar] [CrossRef]
- Pandey, S.K.; Mohanty, S.R.; Kishor, N. A literature survey on load–frequency control for conventional and distribution generation power systems. Renew. Sustain. Energy Rev. 2013, 25, 318–334. [Google Scholar] [CrossRef]
- Lv, X.; Sun, Y.; Wang, Y.; Dinavahi, V. Adaptive Event-Triggered Load Frequency Control of Multi-Area Power Systems Under Networked Environment via Sliding Mode Control. IEEE Access 2020, 8, 86585–86594. [Google Scholar] [CrossRef]
- Kavikumar, R.; Kwon, O.M.; Lee, S.H.; Sakthivel, R. Input-output finite-time IT2 fuzzy dynamic sliding mode control for fractional-order nonlinear systems. Nonlinear Dyn. 2022, 108, 3745–3760. [Google Scholar] [CrossRef]
- Sakthivel, R.; Kavikumar, R.; Ma, Y.K.; Ren, Y.; Marshal Anthoni, S. Observer-Based H∞ Repetitive Control for Fractional-Order Interval Type-2 TS Fuzzy Systems. IEEE Access 2018, 6, 49828–49837. [Google Scholar] [CrossRef]
- Vrdoljak, K.; Perić, N.; Petrović, I. Sliding mode based load-frequency control in power systems. Electr. Power Syst. Res. 2010, 80, 514–527. [Google Scholar] [CrossRef]
- Pan, C.; Liaw, C. An adaptive controller for power system load-frequency control. IEEE Trans. Power Syst. 1989, 4, 122–128. [Google Scholar] [CrossRef]
- Rakhshani, E.; Rodriguez, P.; Cantarellas, A.M.; Remon, D. Analysis of derivative control based virtual inertia in multi-area high-voltage direct current interconnected power systems. IET Gener. Transm. Distrib. 2016, 10, 1458–1469. [Google Scholar] [CrossRef]
- Kerdphol, T.; Rahman, F.S.; Mitani, Y.; Watanabe, M.; Kufeoglu, S. Robust Virtual Inertia Control of an Islanded Microgrid Considering High Penetration of Renewable Energy. IEEE Access 2018, 6, 625–636. [Google Scholar] [CrossRef]
- Kocaarslan, I.; Çam, E. Fuzzy logic controller in interconnected electrical power systems for load-frequency control. Int. J. Electr. Power Energy Syst. 2005, 27, 542–549. [Google Scholar] [CrossRef]
- Bu, X.; Yu, W.; Cui, L.; Hou, Z.; Chen, Z. Event-Triggered Data-Driven Load Frequency Control for Multiarea Power Systems. IEEE Trans. Ind. Inform. 2022, 18, 5982–5991. [Google Scholar] [CrossRef]
- Latif, A.; Hussain, S.S.; Das, D.C.; Ustun, T.S.; Iqbal, A. A review on fractional order (FO) controllers’ optimization for load frequency stabilization in power networks. Energy Rep. 2021, 7, 4009–4021. [Google Scholar] [CrossRef]
- Morgan, E.F.; El-Sehiemy, R.A.; Awopone, A.K.; Megahed, T.F.; Abdelkader, S.M. Load Frequency Control of Interconnected Power System Using Artificial Hummingbird Optimization. In Proceedings of the 2022 23rd International Middle East Power Systems Conference (MEPCON), Cairo, Egypt, 13–15 December 2022. [Google Scholar] [CrossRef]
- Elmelegi, A.; Mohamed, E.A.; Aly, M.; Ahmed, E.M. An Enhanced Slime Mould Algorithm Optimized LFC Scheme for Interconnected Power Systems. In Proceedings of the 2021 22nd International Middle East Power Systems Conference (MEPCON), Assiut, Egypt, 14–16 December 2021. [Google Scholar] [CrossRef]
- Khokhar, B.; Dahiya, S.; Singh Parmar, K.P. Atom search optimization based study of frequency deviation response of a hybrid power system. In Proceedings of the 2020 IEEE 9th Power India International Conference (PIICON), Sonepat, India, 28 February–1 March 2020; pp. 1–5. [Google Scholar] [CrossRef]
- Panda, S.; Mohanty, B.; Hota, P. Hybrid BFOA-PSO algorithm for automatic generation control of linear and nonlinear interconnected power systems. Appl. Soft Comput. 2013, 13, 4718–4730. [Google Scholar] [CrossRef]
- Arora, K.; Kumar, A.; Kamboj, V.K.; Prashar, D.; Shrestha, B.; Joshi, G.P. Impact of Renewable Energy Sources into Multi Area Multi-Source Load Frequency Control of Interrelated Power System. Mathematics 2021, 9, 186. [Google Scholar] [CrossRef]
- Gupta, D.K.; Soni, A.K.; Jha, A.V.; Mishra, S.K.; Appasani, B.; Srinivasulu, A.; Bizon, N.; Thounthong, P. Hybrid Gravitational–Firefly Algorithm-Based Load Frequency Control for Hydrothermal Two-Area System. Mathematics 2021, 9, 712. [Google Scholar] [CrossRef]
- Yousri, D.; Babu, T.S.; Fathy, A. Recent methodology based Harris Hawks optimizer for designing load frequency control incorporated in multi-interconnected renewable energy plants. Sustain. Energy Grids Netw. 2020, 22, 100352. [Google Scholar] [CrossRef]
- Salama, H.S.; Magdy, G.; Bakeer, A.; Vokony, I. Adaptive coordination control strategy of renewable energy sources, hydrogen production unit, and fuel cell for frequency regulation of a hybrid distributed power system. Prot. Control. Mod. Power Syst. 2022, 7, 34. [Google Scholar] [CrossRef]
- Kumar, A.; Gupta, D.K.; Ghatak, S.R.; Appasani, B.; Bizon, N.; Thounthong, P. A Novel Improved GSA-BPSO Driven PID Controller for Load Frequency Control of Multi-Source Deregulated Power System. Mathematics 2022, 10, 3255. [Google Scholar] [CrossRef]
- El Yakine Kouba, N.; Menaa, M.; Hasni, M.; Boudour, M. Optimal load frequency control based on artificial bee colony optimization applied to single, two and multi-area interconnected power systems. In Proceedings of the 2015 3rd International Conference on Control, Engineering & Information Technology (CEIT), Tlemcen, Algeria, 25–27 May 2015; pp. 1–6. [Google Scholar] [CrossRef]
- Sharma, J.; Hote, Y.V.; Prasad, R. PID controller design for interval load frequency control system with communication time delay. Control Eng. Pract. 2019, 89, 154–168. [Google Scholar] [CrossRef]
- Dey, P.; Saha, A.; Srimannarayana, P.; Bhattacharya, A.; Marungsri, B. A Realistic Approach Towards Solution of Load Frequency Control Problem in Interconnected Power Systems. J. Electr. Eng. Technol. 2021, 17, 759–788. [Google Scholar] [CrossRef]
- Tripathi, S.; Singh, V.P.; Kishor, N.; Pandey, A. Load frequency control of power system considering electric Vehicles’ aggregator with communication delay. Int. J. Electr. Power Energy Syst. 2023, 145, 108697. [Google Scholar] [CrossRef]
- Fadheel, B.A.; Wahab, N.I.A.; Mahdi, A.J.; Premkumar, M.; Radzi, M.A.B.M.; Soh, A.B.C.; Veerasamy, V.; Irudayaraj, A.X.R. A Hybrid Grey Wolf Assisted-Sparrow Search Algorithm for Frequency Control of RE Integrated System. Energies 2023, 16, 1177. [Google Scholar] [CrossRef]
- Said, S.M.; Mohamed, E.A.; Aly, M.; Ahmed, E.M. Enhancement of load frequency control in interconnected microgrids by SMES. In Superconducting Magnetic Energy Storage in Power Grids; Institution of Engineering and Technology: Stevenage, UK, 2022; pp. 111–148. [Google Scholar] [CrossRef]
- Delassi, A.; Arif, S.; Mokrani, L. Load frequency control problem in interconnected power systems using robust fractional PI λ D controller. Ain Shams Eng. J. 2018, 9, 77–88. [Google Scholar] [CrossRef]
- Fathy, A.; Alharbi, A.G. Recent Approach Based Movable Damped Wave Algorithm for Designing Fractional-Order PID Load Frequency Control Installed in Multi-Interconnected Plants With Renewable Energy. IEEE Access 2021, 9, 71072–71089. [Google Scholar] [CrossRef]
- Ayas, M.S.; Sahin, E. FOPID controller with fractional filter for an automatic voltage regulator. Comput. Electr. Eng. 2021, 90, 106895. [Google Scholar] [CrossRef]
- Sahu, R.K.; Panda, S.; Biswal, A.; Sekhar, G.C. Design and analysis of tilt integral derivative controller with filter for load frequency control of multi-area interconnected power systems. ISA Trans. 2016, 61, 251–264. [Google Scholar] [CrossRef]
- Oshnoei, A.; Khezri, R.; Muyeen, S.M.; Oshnoei, S.; Blaabjerg, F. Automatic Generation Control Incorporating Electric Vehicles. Electr. Power Compon. Syst. 2019, 47, 720–732. [Google Scholar] [CrossRef]
- Priyadarshani, S.; Subhashini, K.R.; Satapathy, J.K. Pathfinder algorithm optimized fractional order tilt-integral-derivative (FOTID) controller for automatic generation control of multi-source power system. Microsyst. Technol. 2020, 27, 23–35. [Google Scholar] [CrossRef]
- Ahmed, E.M.; Mohamed, E.A.; Elmelegi, A.; Aly, M.; Elbaksawi, O. Optimum Modified Fractional Order Controller for Future Electric Vehicles and Renewable Energy-Based Interconnected Power Systems. IEEE Access 2021, 9, 29993–30010. [Google Scholar] [CrossRef]
- Mohamed, E.A.; Aly, M.; Watanabe, M. New Tilt Fractional-Order Integral Derivative with Fractional Filter (TFOIDFF) Controller with Artificial Hummingbird Optimizer for LFC in Renewable Energy Power Grids. Mathematics 2022, 10, 3006. [Google Scholar] [CrossRef]
- Sahu, R.; Panda, S.; Rout, U.K.; Sahoo, D. Teaching learning based optimization algorithm for automatic generation control of power system using 2-DOF PID controller. Int. J. Electr. Power Energy Syst. 2016, 77, 287–301. [Google Scholar] [CrossRef]
- Hussain, I.; Das, D.C.; Latif, A.; Sinha, N.; Hussain, S.S.; Ustun, T.S. Active power control of autonomous hybrid power system using two degree of freedom PID controller. Energy Rep. 2022, 8, 973–981. [Google Scholar] [CrossRef]
- Abdel-hamed, A.M.; Abdelaziz, A.Y.; El-Shahat, A. Design of a 2DOF-PID Control Scheme for Frequency/Power Regulation in a Two-Area Power System Using Dragonfly Algorithm with Integral-Based Weighted Goal Objective. Energies 2023, 16, 486. [Google Scholar] [CrossRef]
- Dash, P.; Saikia, L.; Sinha, N. Automatic generation control of multi area thermal system using Bat algorithm optimized PD–PID cascade controller. Int. J. Electr. Power Energy Syst. 2015, 68, 364–372. [Google Scholar] [CrossRef]
- Latif, A.; Paul, M.; Das, D.C.; Hussain, S.M.S.; Ustun, T.S. Price Based Demand Response for Optimal Frequency Stabilization in ORC Solar Thermal Based Isolated Hybrid Microgrid under Salp Swarm Technique. Electronics 2020, 9, 2209. [Google Scholar] [CrossRef]
- Hossam-Eldin, A.; Mostafa, H.; Kotb, H.; AboRas, K.M.; Selim, A.; Kamel, S. Improving the Frequency Response of Hybrid Microgrid under Renewable Sources’ Uncertainties Using a Robust LFC-Based African Vulture Optimization Algorithm. Processes 2022, 10, 2320. [Google Scholar] [CrossRef]
- Sahu, P.R.; Simhadri, K.; Mohanty, B.; Hota, P.K.; Abdelaziz, A.Y.; Albalawi, F.; Ghoneim, S.S.M.; Elsisi, M. Effective Load Frequency Control of Power System with Two-Degree Freedom Tilt-Integral-Derivative Based on Whale Optimization Algorithm. Sustainability 2023, 15, 1515. [Google Scholar] [CrossRef]
- Faramarzi, A.; Heidarinejad, M.; Mirjalili, S.; Gandomi, A.H. Marine Predators Algorithm: A nature-inspired metaheuristic. Expert Syst. Appl. 2020, 152, 113377. [Google Scholar] [CrossRef]
- Houssein, E.H.; Ibrahim, I.E.; Kharrich, M.; Kamel, S. An improved marine predators algorithm for the optimal design of hybrid renewable energy systems. Eng. Appl. Artif. Intell. 2022, 110, 104722. [Google Scholar] [CrossRef]
- Aly, M.; Ahmed, E.M.; Rezk, H.; Mohamed, E.A. Marine Predators Algorithm Optimized Reduced Sensor Fuzzy-Logic Based Maximum Power Point Tracking of Fuel Cell-Battery Standalone Applications. IEEE Access 2021, 9, 27987–28000. [Google Scholar] [CrossRef]
- Soliman, M.A.; Hasanien, H.M.; Alkuhayli, A. Marine Predators Algorithm for Parameters Identification of Triple-Diode Photovoltaic Models. IEEE Access 2020, 8, 155832–155842. [Google Scholar] [CrossRef]
- Yousri, D.; Babu, T.S.; Beshr, E.; Eteiba, M.B.; Allam, D. A Robust Strategy Based on Marine Predators Algorithm for Large Scale Photovoltaic Array Reconfiguration to Mitigate the Partial Shading Effect on the Performance of PV System. IEEE Access 2020, 8, 112407–112426. [Google Scholar] [CrossRef]
- Sobhy, M.A.; Abdelaziz, A.Y.; Hasanien, H.M.; Ezzat, M. Marine predators algorithm for load frequency control of modern interconnected power systems including renewable energy sources and energy storage units. Ain Shams Eng. J. 2021, 12, 3843–3857. [Google Scholar] [CrossRef]
- Ahmed, E.M.; Elmelegi, A.; Shawky, A.; Aly, M.; Alhosaini, W.; Mohamed, E.A. Frequency Regulation of Electric Vehicle-Penetrated Power System Using MPA-Tuned New Combined Fractional Order Controllers. IEEE Access 2021, 9, 107548–107565. [Google Scholar] [CrossRef]
- Ahmed, E.M.; Selim, A.; Alnuman, H.; Alhosaini, W.; Aly, M.; Mohamed, E.A. Modified Frequency Regulator Based on TIλ-TDμFF Controller for Interconnected Microgrids with Incorporating Hybrid Renewable Energy Sources. Mathematics 2022, 11, 28. [Google Scholar] [CrossRef]
- Hassan, A.; Aly, M.; Elmelegi, A.; Nasrat, L.; Watanabe, M.; Mohamed, E.A. Optimal Frequency Control of Multi-Area Hybrid Power System Using New Cascaded TID-PIλDμN Controller Incorporating Electric Vehicles. Fractal Fract. 2022, 6, 548. [Google Scholar] [CrossRef]
- Morsali, J.; Zare, K.; Hagh, M.T. Comparative performance evaluation of fractional order controllers in LFC of two-area diverse-unit power system with considering GDB and GRC effects. J. Electr. Syst. Inf. Technol. 2018, 5, 708–722. [Google Scholar] [CrossRef]
- Mohanty, B. TLBO optimized sliding mode controller for multi-area multi-source nonlinear interconnected AGC system. Int. J. Electr. Power Energy Syst. 2015, 73, 872–881. [Google Scholar] [CrossRef]
- Elmelegi, A.; Mohamed, E.A.; Aly, M.; Ahmed, E.M.; Mohamed, A.A.A.; Elbaksawi, O. Optimized Tilt Fractional Order Cooperative Controllers for Preserving Frequency Stability in Renewable Energy-Based Power Systems. IEEE Access 2021, 9, 8261–8277. [Google Scholar] [CrossRef]
- Mohamed, E.A.; Ahmed, E.M.; Elmelegi, A.; Aly, M.; Elbaksawi, O.; Mohamed, A.A.A. An Optimized Hybrid Fractional Order Controller for Frequency Regulation in Multi-Area Power Systems. IEEE Access 2020, 8, 213899–213915. [Google Scholar] [CrossRef]
- Morsali, J.; Zare, K.; Hagh, M.T. Performance comparison of TCSC with TCPS and SSSC controllers in AGC of realistic interconnected multi-source power system. Ain Shams Eng. J. 2016, 7, 143–158. [Google Scholar] [CrossRef]





















| Area | Coefficients | |||||||||||||
|---|---|---|---|---|---|---|---|---|---|---|---|---|---|---|
| a | b | c | d | |||||||||||
| Area 1 | LFC | 1.688 | 1.783 | 1.444 | 3.583 | 313.301 | 1.789 | 1.659 | 1.598 | 0.989 | 4.331 | 202.014 | 1.416 | 1.268 |
| EV | 1.943 | 1.963 | 1.515 | 3.076 | - | - | - | - | - | - | - | - | - | |
| Area 2 | LFC | 1.308 | 0.431 | 0.136 | 3.495 | 499.781 | 1.433 | 0.597 | 0.7058 | 0.251 | 4.336 | 273.051 | 1.377 | 1.159 |
| EV | 1.933 | 0.728 | 0.611 | 4.753 | - | - | - | - | - | - | - | - | - | |
| Area | Coefficients | |||||||||||||
|---|---|---|---|---|---|---|---|---|---|---|---|---|---|---|
| a | b | c | d | |||||||||||
| Area 1 | LFC | 1.308 | 1.684 | 1.523 | 2.533 | 319.511 | 1.577 | 1.209 | 1.251 | 1.127 | 4.801 | 114.156 | 0.922 | 1.521 |
| EV | 1.365 | 1.741 | 1.048 | 2.926 | - | - | - | - | - | - | - | - | - | |
| Area 2 | LFC | 1.016 | 1.009 | 0.571 | 3.031 | 321.091 | 1.215 | 1.651 | 0.943 | 1.093 | 3.259 | 290.375 | 1.052 | 1.972 |
| EV | 1.683 | 1.475 | 0.991 | 4.947 | - | - | - | - | - | - | - | - | - | |
| Area | Coefficients | |||||||||||||
|---|---|---|---|---|---|---|---|---|---|---|---|---|---|---|
| a | b | c | d | |||||||||||
| Area 1 | LFC | 0.974 | 1.292 | 1.907 | 4.775 | 402.015 | 1.0183 | 1.033 | 1.096 | 0.831 | 2.364 | 190.056 | 1.935 | 2.057 |
| EV | 0.685 | 1.495 | 0.891 | 3.084 | - | - | - | - | - | - | - | - | - | |
| Area 2 | LFC | 0.884 | 0.429 | 1.117 | 3.157 | 412.128 | 0.773 | 0.945 | 1.496 | 1.566 | 3.047 | 210.192 | 0.761 | 1.0941 |
| EV | 0.551 | 0.953 | 0.835 | 4.045 | - | - | - | - | - | - | - | - | - | |
| Area | Coefficients | |||||||||||||
|---|---|---|---|---|---|---|---|---|---|---|---|---|---|---|
| a | b | c | d | |||||||||||
| Area 1 | LFC | 0.421 | 0.851 | 1.006 | 2.023 | 399.214 | 0.475 | 1.287 | 1.205 | 1.0742 | 2.036 | 208.109 | 3.284 | 1.362 |
| EV | 0.995 | 0.158 | 0.931 | 4.063 | - | - | - | - | - | - | - | - | - | |
| Area 2 | LFC | 0.263 | 0.273 | 0.394 | 2.475 | 331.074 | 1.004 | 1.093 | 0.929 | 1.984 | 3.001 | 401.001 | 2.375 | 0.821 |
| EV | 0.341 | 1.846 | 0.894 | 3.315 | - | - | - | - | - | - | - | - | - | |
| Controller | Area | Coefficients | ||||||||||
|---|---|---|---|---|---|---|---|---|---|---|---|---|
| n | ||||||||||||
| TID | Area 1 | LFC | 0.1884 | 0.1238 | 0.4095 | - | - | - | 2.1941 | - | - | - |
| EV | 0.1974 | 0.1436 | 0.3278 | - | - | - | 3.0357 | - | - | - | ||
| Area 2 | LFC | 0.2239 | 0.1131 | 0.4990 | - | - | - | 4.3562 | - | - | - | |
| EV | 0.2957 | 0.3537 | 1.0982 | - | - | - | 2.4327 | - | - | - | ||
| FOTID | Area 1 | LFC | 1.1862 | 1.4553 | 2.9561 | - | - | - | 3.1931 | - | 0.7882 | 0.8959 |
| EV | 1.0351 | 0.2841 | 1.5951 | - | - | - | 2.2831 | - | - | - | ||
| Area 2 | LFC | 0.1012 | 0.1572 | 1.9997 | - | - | - | 3.0192 | - | 0.9813 | 0.8794 | |
| EV | 1.0935 | 1.2557 | 0.8324 | - | - | - | 3.0062 | - | - | - | ||
| TID-FOPIDN | Area 1 | LFC | 1.9674 | 0.6977 | 1.5785 | 0.3329 | 0.9224 | 0.8098 | 3.8677 | 245.04 | 0.4576 | 0.5531 |
| EV | 2.5884 | 1.1238 | 0.4095 | - | - | - | 3.0019 | - | - | - | ||
| Area 2 | LFC | 1.9358 | 0.38442 | 0.7889 | 1.3744 | 0.7179 | 1.3931 | 4.6014 | 300.48 | 0.4652 | 0.5592 | |
| EV | 1.2239 | 0.2351 | 0.5481 | - | - | - | 3.941 | - | - | - | ||
| Alogrithm | Proposed Controller | Objective Function | |||
|---|---|---|---|---|---|
| ISE | ITSE | IAE | ITAE | ||
| PSO | 2DOF TIDN-TDN | 2.8107 | 1.7082 | 0.00535 | 0.0491 |
| WOA | 2DOF TIDN-TDN | 2.9983 | 1.7924 | 0.00539 | 0.0483 |
| GWO | 2DOF TIDN-TDN | 2.9025 | 1.88132 | 0.00546 | 0.0521 |
| Scenario | Controller | |||||||||
|---|---|---|---|---|---|---|---|---|---|---|
| PO | PU | ST (s) | PO | PU | ST (s) | PO | PU | ST (s) | ||
| No. 1 | TID | 0.002 | 0.024 | 27 | 0.0023 | 0.019 | 33 | 0.0027 | 0.0062 | 42 |
| FOTID | 0.0008 | 0.014 | 19 | 0.0081 | 0.0077 | 21 | 0.0003 | 0.0024 | 38 | |
| TID-FOPIDN | 0.0006 | 0.007 | 17 | 0.0055 | 0.0036 | 18 | - | 0.0011 | 27 | |
| Proposed | - | 0.003 | 9 | - | 0.0014 | 14 | - | 0.0006 | 15 | |
| No. 2 | TID | 0.0238 | - | 29 | 0.0188 | - | 34 | 0.0058 | - | 46 |
| FOTID | 0.0141 | 0.0009 | 28 | 0.008 | 0.0008 | 33 | 0.0024 | - | 37 | |
| TID-FOPIDN | 0.00667 | 0.0007 | 26 | 0.0038 | 0.0005 | 28 | 0.0011 | 0.0001 | 36 | |
| Proposed | 0.00293 | - | 18 | 0.00152 | - | 23 | 0.00058 | - | 23 | |
| No. 3 | TID | 0.0016 | 0.028 | 28 | 0.0003 | 0.022 | 35 | 0.0012 | 0.0068 | 44 |
| FOTID | 0.0062 | 0.022 | 18 | 0.0021 | 0.011 | 28 | 0.0002 | 0.0039 | 37 | |
| TID-FOPIDN | 0.0015 | 0.011 | 16 | 0.0011 | 0.0042 | 23 | 0.00008 | 0.0014 | 23 | |
| Proposed | 0.0005 | 0.003 | 10 | - | 0.0015 | 11 | - | 0.0006 | 17 | |
| No. 4 | TID | 0.369 | 0.365 | 36 | 0.3267 | 0.3235 | 41 | 0.0927 | 0.0881 | 48 |
| FOTID | 0.184 | 0.187 | 19 | 0.1228 | 0.1241 | 32 | 0.0368 | 0.0374 | 40 | |
| TID-FOPIDN | 0.114 | 0.113 | 16 | 0.0745 | 0.0741 | 21 | 0.0214 | 0.0212 | 18 | |
| Proposed | 0.061 | 0.059 | 11 | 0.0329 | 0.0327 | 12 | 0.0129 | 0.0126 | 13 | |
| No. 5 | TID | 0.3852 | 0.357 | OS | 0.3465 | 0.3155 | 27 | 0.1114 | 0.0881 | OS |
| FOTID | 0.1931 | 0.182 | 24 | 0.1325 | 0.1203 | 21 | 0.0406 | 0.0381 | OS | |
| TID-FOPIDN | 0.1066 | 0.101 | 15 | 0.0545 | 0.0505 | 17 | 0.0169 | 0.0171 | 19 | |
| Proposed | 0.0625 | 0.058 | 10 | 0.0351 | 0.0315 | 11 | 0.0133 | 0.0128 | 12 | |
| No. 6 | TID | 0.4299 | 0.399 | OS | 0.4299 | 0.3995 | OS | 0.1272 | 0.1054 | OS |
| FOTID | 0.3383 | 0.322 | OS | 0.1958 | 0.1801 | 28 | 0.0608 | 0.0578 | OS | |
| TID-FOPIDN | 0.1746 | 0.169 | 32 | 0.0731 | 0.0695 | 22 | 0.0236 | 0.0232 | 20 | |
| Proposed | 0.0992 | 0.092 | 13 | 0.0441 | 0.0395 | 12 | 0.0144 | 0.0176 | 15 | |
| Scenario | Controller Structure | Objective Function | |||
|---|---|---|---|---|---|
| ISE | ITSE | IAE | ITAE | ||
| No. 1 (SLP 1%) | TID | 4.0164 | 0.0033 | 0.1079 | 1.2661 |
| FOTID | 5.9414 | 3.9198 | 0.0319 | 0.3613 | |
| TID-FOPIDN | 1.1264 | 7.0826 | 0.0131 | 0.1528 | |
| 2DOF TIDN-TDN | 2.7096 | 1.6917 | 0.00531 | 0.0470 | |
| No. 2 (SLS 1%) | TID | 4.0157 | 0.0073 | 0.1072 | 2.3101 |
| FOTID | 5.9370 | 9.8377 | 0.0308 | 0.6193 | |
| TID-FOPIDN | 1.1261 | 1.8332 | 0.0129 | 0.2691 | |
| 2DOF TIDN-TDN | 2.7084 | 4.3981 | 0.0052 | 0.0955 | |
| No. 3 (SLP 1% + change) | TID | 4.6412 | 0.0037 | 0.1057 | 1.2603 |
| FOTID | 1.1785 | 7.5945 | 0.0398 | 0.4405 | |
| TID-FOPIDN | 1.6056 | 9.5954 | 0.0132 | 0.1416 | |
| 2DOF TIDN-TDN | 2.7891 | 1.7453 | 0.0057 | 0.0503 | |
| No. 4 (MLP) | TID | 0.3264 | 32.8178 | 6.5210 | 659.648 |
| FOTID | 0.0436 | 4.2085 | 1.8112 | 173.6072 | |
| TID-FOPIDN | 0.0104 | 0.9988 | 0.7770 | 75.1539 | |
| 2DOF TIDN-TDN | 0.0034 | 0.3377 | 0.4364 | 43.1104 | |
| No. 5 (MLP + RES) | TID | 0.5519 | 52.1715 | 10.4732 | 995.6836 |
| FOTID | 0.1317 | 7.1026 | 4.3499 | 290.3492 | |
| TID-FOPIDN | 0.0198 | 0.9122 | 1.3249 | 91.8096 | |
| 2DOF TIDN-TDN | 0.009 | 0.5497 | 0.9661 | 73.1227 | |
| No. 6 (MLP + RES + change) | TID | 0.6324 | 58.8358 | 10.1691 | 963.1041 |
| FOTID | 0.1738 | 10.9667 | 4.6882 | 331.5865 | |
| TID-FOPIDN | 0.0274 | 1.7433 | 1.5288 | 113.6869 | |
| 2DOF TIDN-TDN | 0.0125 | 0.8752 | 1.0647 | 84.8181 | |
Disclaimer/Publisher’s Note: The statements, opinions and data contained in all publications are solely those of the individual author(s) and contributor(s) and not of MDPI and/or the editor(s). MDPI and/or the editor(s) disclaim responsibility for any injury to people or property resulting from any ideas, methods, instructions or products referred to in the content. |
© 2023 by the authors. Licensee MDPI, Basel, Switzerland. This article is an open access article distributed under the terms and conditions of the Creative Commons Attribution (CC BY) license (https://creativecommons.org/licenses/by/4.0/).
Share and Cite
Hassan, A.; Aly, M.M.; Alharbi, M.A.; Selim, A.; Alamri, B.; Aly, M.; Elmelegi, A.; Khamies, M.; Mohamed, E.A. Optimized Multiloop Fractional-Order Controller for Regulating Frequency in Diverse-Sourced Vehicle-to-Grid Power Systems. Fractal Fract. 2023, 7, 864. https://doi.org/10.3390/fractalfract7120864
Hassan A, Aly MM, Alharbi MA, Selim A, Alamri B, Aly M, Elmelegi A, Khamies M, Mohamed EA. Optimized Multiloop Fractional-Order Controller for Regulating Frequency in Diverse-Sourced Vehicle-to-Grid Power Systems. Fractal and Fractional. 2023; 7(12):864. https://doi.org/10.3390/fractalfract7120864
Chicago/Turabian StyleHassan, Amira, Mohamed M. Aly, Mohammed A. Alharbi, Ali Selim, Basem Alamri, Mokhtar Aly, Ahmed Elmelegi, Mohamed Khamies, and Emad A. Mohamed. 2023. "Optimized Multiloop Fractional-Order Controller for Regulating Frequency in Diverse-Sourced Vehicle-to-Grid Power Systems" Fractal and Fractional 7, no. 12: 864. https://doi.org/10.3390/fractalfract7120864
APA StyleHassan, A., Aly, M. M., Alharbi, M. A., Selim, A., Alamri, B., Aly, M., Elmelegi, A., Khamies, M., & Mohamed, E. A. (2023). Optimized Multiloop Fractional-Order Controller for Regulating Frequency in Diverse-Sourced Vehicle-to-Grid Power Systems. Fractal and Fractional, 7(12), 864. https://doi.org/10.3390/fractalfract7120864

