Effectiveness of Radiation on Magneto-Combined Convective Boundary Layer Flow in Polar Nanofluid around a Spherical Shape
Abstract
:1. Introduction
2. Basic Equations
3. Numerical Method
4. Validation of Numerical Findings
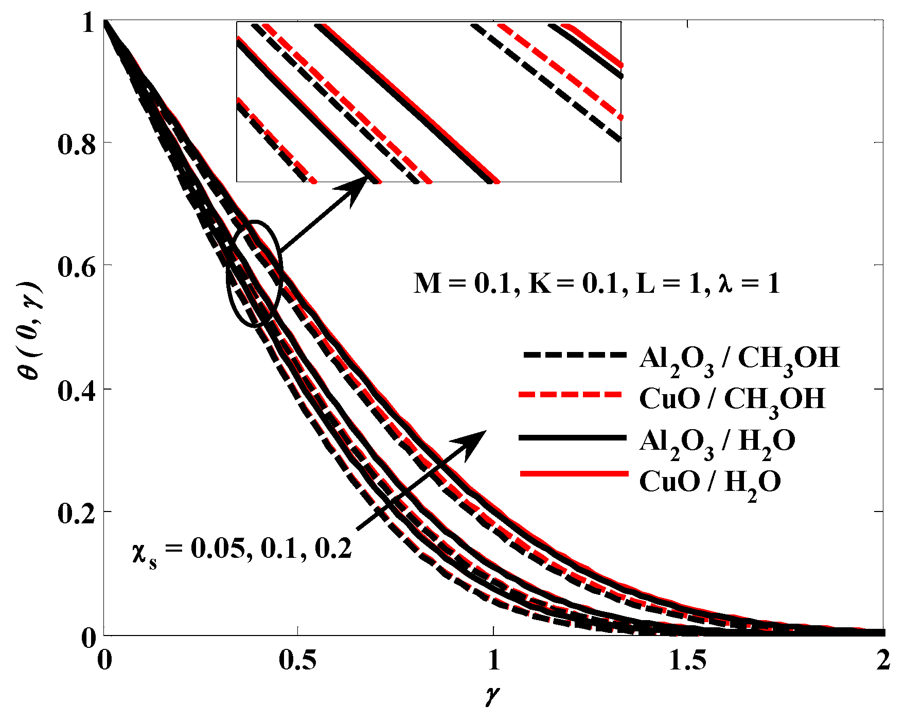
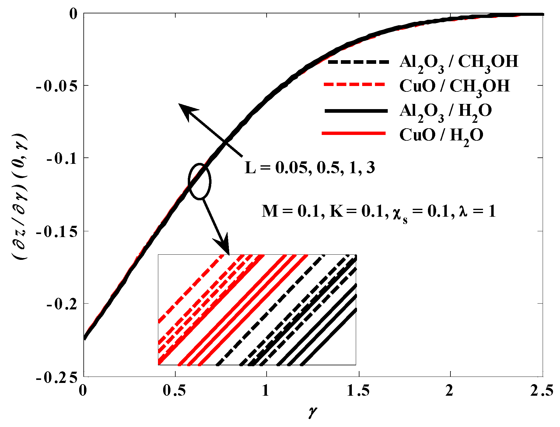
5. Graphical Findings and Discussion
6. Conclusions
- The use of aluminum oxide (Al2O3) as a nanoparticle in nanofluids always shows the highest values of physical quantities, such as local skin friction, Nusselt number, velocity, and angular velocity compared to copper oxide (CuO) nanoparticles, but for the temperature profile, it tends to favor copper oxide, which occupies the top of the temperature values;
- Nanoparticles suspended in water as a base fluid obtain higher values for measurements of local skin friction, temperature, velocity, and angular velocity compared to an ethanol base fluid. However, ethanol had the highest values for the Nusselt number compared to water;
- The mixed convection and radiation parameters are the only two parameters that raise the quantities of local skin friction, velocity, and angular velocity by their increment;
- Raising the values of the parameters is responsible for promoting the temperature, but the mixed convection parameter is not included in this behavior. Its increment causes a decrease in temperature;
- The Nusselt number is directly proportional to each volume parameter and mixed convection parameter, while it is inversely proportional to the magnetic parameter and micropolar parameter.
Author Contributions
Funding
Institutional Review Board Statement
Informed Consent Statement
Data Availability Statement
Acknowledgments
Conflicts of Interest
Nomenclature
| a | Radius of spherical shape | U∞ | Uniform-free stream |
| Bo | Magnetic field strength | Y-component of velocity | |
| Skin friction coefficient | vf | Kinematic viscosity of host liquid | |
| (Cp) | Heat capacity | Greek symbols | |
| z (x, y) | Dimensionless stream function | Thermal diffusivity coefficient | |
| g | Gravity vector | Thermal expansion of host liquid | |
| Gr | Grashof number | Electrical conductivity | |
| J | Micro-inertia density | Temperature of nanoliquid | |
| kf | Thermal conductivity | Vortex viscosity | |
| M | Magnetic parameter | Combined convection parameter | |
| Nu | Nusselt number | Dynamic viscosity | |
| P | Fluid pressure | Density | |
| Pr | Prandtl number | Spin gradient viscosity | |
| Rosseland diffusion approximation | Nanosolid volume fraction | ||
| Re | Reynold number | Stream transformation | |
| T | Temperature of the fluid | Subscript | |
| T∞ | Ambient temperature | f | Host liquid |
| x-component of velocity | nf | Nanoliquid | |
| ue(x) | Free-stream velocity | s | Nanosolid |
References
- Choi, S.U.; Eastman, J.A. Enhancing Thermal Conductivity of Fluids with Nanoparticles; Argonne National Lab.: San Francisci, CA, USA, 1995. [Google Scholar]
- Eastman, J.A.; Choi, S.; Li, S.; Yu, W.; Thompson, L. Anomalously increased effective thermal conductivities of ethylene glycol-based nanofluids containing copper nanoparticles. Appl. Phys. Lett. 2001, 78, 718–720. [Google Scholar] [CrossRef]
- Xuan, Y.; Li, Q. Heat transfer enhancement of nanofluid. Int. J. Heat Fluid Flow 2000, 21, 58–64. [Google Scholar] [CrossRef]
- Yu, W.; France, D.M.; Routbort, J.L.; Choi, S.U. Review and comparison of nanofluid thermal conductivity and heat transfer enhancements. Heat Transf. Eng. 2008, 29, 432–460. [Google Scholar] [CrossRef]
- Kakaç, S.; Pramuanjaroenkij, A. Review of convective heat transfer enhancement with nanofluids. Int. J. Heat Mass Transf. 2009, 52, 3187–3196. [Google Scholar] [CrossRef]
- Lee, S.; Choi, S.U. Application of Metallic Nanoparticle Suspensions in Advanced Cooling Systems; Argonne National Lab.: Chicago, IL, USA, 1996. [Google Scholar]
- Pandya, N.S.; Shah, H.; Molana, M.; Tiwari, A.K. Heat transfer enhancement with nanofluids in plate heat exchangers: A comprehensive review. Eur. J. Mech.-B Fluids 2020, 81, 173–190. [Google Scholar] [CrossRef]
- Kumar, A.; Subudhi, S. Preparation, characterization and heat transfer analysis of nanofluids used for engine cooling. Appl. Therm. Eng. 2019, 160, 114092. [Google Scholar] [CrossRef]
- Du, R.; Jiang, D.; Wang, Y.; Shah, K.W. An experimental investigation of CuO/water nanofluid heat transfer in geothermal heat exchanger. Energy Build. 2020, 227, 110402. [Google Scholar] [CrossRef]
- Deriszadeh, A.; de Monte, F. On heat transfer performance of cooling systems using nanofluid for electric motor applications. Entropy 2020, 22, 99. [Google Scholar] [CrossRef] [Green Version]
- Buongiorno, J.; Hu, L.-w. Nanofluid heat transfer enhancement for nuclear reactor applications. In Proceedings of the International Conference on Micro/Nanoscale Heat Transfer, Shanghai, China, 18–21 December 2009; pp. 517–522. [Google Scholar]
- Khanafer, K.; Vafai, K.; Lightstone, M. Buoyancy-driven heat transfer enhancement in a two-dimensional enclosure utilizing nanofluids. Int. J. Heat Mass Transf. 2003, 46, 3639–3653. [Google Scholar] [CrossRef]
- Buongiorno, J. Convective transport in nanofluids. J. Heat Transf. 2006, 128, 240–250. [Google Scholar] [CrossRef]
- Tiwari, R.K.; Das, M.K. Heat transfer augmentation in a two-sided lid-driven differentially heated square cavity utilizing nanofluids. Int. J. Heat Mass Transf. 2007, 50, 2002–2018. [Google Scholar] [CrossRef]
- Ho, C.-J.; Chen, M.; Li, Z. Numerical simulation of natural convection of nanofluid in a square enclosure: Effects due to uncertainties of viscosity and thermal conductivity. Int. J. Heat Mass Transf. 2008, 51, 4506–4516. [Google Scholar] [CrossRef]
- Nield, D.; Kuznetsov, A. The Cheng–Minkowycz problem for natural convective boundary-layer flow in a porous medium saturated by a nanofluid. Int. J. Heat Mass Transf. 2009, 52, 5792–5795. [Google Scholar] [CrossRef]
- Kuznetsov, A.; Nield, D. The Cheng–Minkowycz problem for natural convective boundary layer flow in a porous medium saturated by a nanofluid: A revised model. Int. J. Heat Mass Transf. 2013, 65, 682–685. [Google Scholar] [CrossRef]
- Das, S.; Chakraborty, S.; Jana, R.; Makinde, O. Entropy analysis of unsteady magneto-nanofluid flow past accelerating stretching sheet with convective boundary condition. Appl. Math. Mech. 2015, 36, 1593–1610. [Google Scholar] [CrossRef]
- Shahid, A.; Zhou, Z.; Bhatti, M.; Tripathi, D. Magnetohydrodynamics nanofluid flow containing gyrotactic microorganisms propagating over a stretching surface by successive Taylor series linearization method. Microgravity Sci. Technol. 2018, 30, 445–455. [Google Scholar] [CrossRef]
- Alwawi, F.A.; Alkasasbeh, H.T.; Rashad, A.M.; Idris, R. A numerical approach for the heat transfer flow of carboxymethyl cellulose-water based Casson nanofluid from a solid sphere generated by mixed convection under the influence of Lorentz force. Mathematics 2020, 8, 1094. [Google Scholar] [CrossRef]
- Azam, M.; Xu, T.; Khan, M. Numerical simulation for variable thermal properties and heat source/sink in flow of Cross nanofluid over a moving cylinder. Int. Commun. Heat Mass Transf. 2020, 118, 104832. [Google Scholar] [CrossRef]
- Qaiser, D.; Zheng, Z.; Khan, M.R. Numerical assessment of mixed convection flow of Walters-B nanofluid over a stretching surface with Newtonian heating and mass transfer. Therm. Sci. Eng. Prog. 2021, 22, 100801. [Google Scholar] [CrossRef]
- Khan, U.; Zaib, A.; Ishak, A.; Sherif, E.-S.M.; Waini, I.; Chu, Y.-M.; Pop, I. Radiative mixed convective flow induced by hybrid nanofluid over a porous vertical cylinder in a porous media with irregular heat sink/source. Case Stud. Therm. Eng. 2022, 30, 101711. [Google Scholar] [CrossRef]
- Chabani, I.; Mebarek-Oudina, F.; Ismail, A.A.I. MHD Flow of a Hybrid Nano-fluid in a Triangular Enclosure with Zigzags and an Elliptic Obstacle. Micromachines 2022, 13, 224. [Google Scholar] [CrossRef] [PubMed]
- Uddin, M.S.; Bhattacharyya, K.; Shafie, S. Micropolar fluid flow and heat transfer over an exponentially permeable shrinking sheet. Propuls. Power Res. 2016, 5, 310–317. [Google Scholar]
- Eringen, A.C. Simple microfluids. Int. J. Eng. Sci. 1964, 2, 205–217. [Google Scholar] [CrossRef]
- Eringen, A.C. Theory of thermomicrofluids. J. Math. Anal. Appl. 1972, 38, 480–496. [Google Scholar] [CrossRef] [Green Version]
- Ali, V.; Gul, T.; Afridi, S.; Ali, F.; Alharbi, S.O.; Khan, I. Thin film flow of micropolar fluid in a permeable medium. Coatings 2019, 9, 98. [Google Scholar] [CrossRef] [Green Version]
- Khader, M.; Sharma, R.P. Evaluating the unsteady MHD micropolar fluid flow past stretching/shirking sheet with heat source and thermal radiation: Implementing fourth order predictor–corrector FDM. Math. Comput. Simul. 2021, 181, 333–350. [Google Scholar] [CrossRef]
- Kumbinarasaiah, S.; Raghunatha, K. A novel approach on micropolar fluid flow in a porous channel with high mass transfer via wavelet frames. Nonlinear Eng. 2021, 10, 39–45. [Google Scholar] [CrossRef]
- Bhat, A.; Katagi, N.N. Micropolar fluid flow between a non-porous disk and a porous disk with slip: Keller-box solution. Ain. Shams Eng. J. 2020, 11, 149–159. [Google Scholar] [CrossRef]
- Bilal, M.; Saeed, A.; Gul, T.; Kumam, W.; Mukhtar, S.; Kumam, P. Parametric simulation of micropolar fluid with thermal radiation across a porous stretching surface. Sci. Rep. 2022, 12, 2542. [Google Scholar] [CrossRef]
- Abbas, A.; Ahmad, H.; Mumtaz, M.; Ilyas, A.; Hussan, M. MHD dissipative micropolar fluid flow past stretching sheet with heat generation and slip effects. Waves Random Complex Media 2022, 1–15. [Google Scholar] [CrossRef]
- Bejawada, S.G.; Nandeppanavar, M.M. Effect of thermal radiation on magnetohydrodynamics heat transfer micropolar fluid flow over a vertical moving porous plate. Exp. Comput. Multiph. Flow 2022, 1–10. [Google Scholar] [CrossRef]
- Yadav, P.K.; Verma, A.K. Analysis of two immiscible Newtonian and micropolar fluid flow through an inclined porous channel. Math. Methods Appl. Sci. 2022, 45, 1700–1724. [Google Scholar] [CrossRef]
- Gireesha, B.J.; Anitha, L. Irreversibility analysis of micropolar nanofluid flow using Darcy–Forchheimer rule in an inclined microchannel with multiple slip effects. Heat Transf. 2022. [Google Scholar] [CrossRef]
- Alwawi, F.A.; Swalmeh, M.Z.; Qazaq, A.S.; Idris, R. Heat Transmission Reinforcers Induced by MHD Hybrid Nanoparticles for Water/Water-EG Flowing over a Cylinder. Coatings 2021, 11, 623. [Google Scholar] [CrossRef]
- Ibrahim, W.; Zemedu, C. MHD nonlinear mixed convection flow of micropolar nanofluid over nonisothermal sphere. Math. Probl. Eng. 2020, 2020. [Google Scholar] [CrossRef]
- Tabassum, R.; Mehmood, R.; Akbar, N. Magnetite micropolar nanofluid non-aligned MHD flow with mixed convection. Eur. Phys. J. Plus 2017, 132, 275. [Google Scholar] [CrossRef]
- Mkhatshwa, M.; Motsa, S.; Ayano, M.; Sibanda, P. MHD mixed convective nanofluid flow about a vertical slender cylinder using overlapping multi-domain spectral collocation approach. Case Stud. Therm. Eng. 2020, 18, 100598. [Google Scholar] [CrossRef]
- Rahman, M.; Alim, M.; Chowdhury, M. Magnetohydrodynamics Mixed Convection Around a Heat Conducting Horizontal Circular Cylinder in a Rectangular Lid-driven Cavity with Joule Heating. J. Sci. Res. 2009, 1, 461–472. [Google Scholar] [CrossRef]
- Alwawi, F.A.; Alkasasbeh, H.T.; Rashad, A.; Idris, R. Heat transfer analysis of ethylene glycol-based Casson nanofluid around a horizontal circular cylinder with MHD effect. Proc. Inst. Mech. Eng. C J. Mech. Eng. Sci. 2020, 234, 2569–2580. [Google Scholar] [CrossRef]
- Hamarsheh, A.S.; Alwawi, F.A.; Alkasasbeh, H.T.; Rashad, A.M.; Idris, R. Heat transfer improvement in MHD natural convection flow of graphite oxide/carbon nanotubes-methanol based casson nanofluids past a horizontal circular cylinder. Processes 2020, 8, 1444. [Google Scholar] [CrossRef]
- Alwawi, F.A.; Alkasasbeh, H.T.; Rashad, A.; Idris, R. MHD natural convection of Sodium Alginate Casson nanofluid over a solid sphere. Res. Phys. 2020, 16, 102818. [Google Scholar] [CrossRef]
- Dawar, A.; Wakif, A.; Thumma, T.; Shah, N.A. Towards a new MHD non-homogeneous convective nanofluid flow model for simulating a rotating inclined thin layer of sodium alginate-based Iron oxide exposed to incident solar energy. Int. Commun. Heat Mass Transf. 2022, 130, 105800. [Google Scholar] [CrossRef]
- Mansour, M.; Gorla, R.S.R. Mixed convection–radiation interaction in power-law fluids along a nonisothermal wedge embedded in a porous medium. Transp. Porous Media 1998, 30, 113–124. [Google Scholar] [CrossRef]
- Mohammadein, A.; El-Amin, M. Thermal radiation effects on power-law fluids over a horizontal plate embedded in a porous medium. Int. Commun. Heat Mass Transf. 2000, 27, 1025–1035. [Google Scholar] [CrossRef]
- Prasad, V.R.; Vasu, B.; Bég, O.A.; Parshad, R.D. Thermal radiation effects on magnetohydrodynamic free convection heat and mass transfer from a sphere in a variable porosity regime. Commun. Nonlinear Sci. Numer. Simul. 2012, 17, 654–671. [Google Scholar] [CrossRef]
- Gaffar, S.A.; Prasad, V.R.; Reddy, E.K.; Beg, O.A. Thermal radiation and heat generation/absorption effects on viscoelastic double-diffusive convection from an isothermal sphere in porous media. Ain Shams Eng. J. 2015, 6, 1009–1030. [Google Scholar] [CrossRef] [Green Version]
- Alzgool, H.A.; Alkasasbeh, H.T.; Abu-ghurra, S.; Al-houri, Z.; Swalmeh, M.Z. Numerical solution of heat transfer in MHD mixed convection flow micropolar Casson fluid about solid sphere with radiation effect. Int. J. Eng. Res. Technol. 2019, 12, 519–529. [Google Scholar]
- Abbas, A.; Ashraf, M.; Chamkha, A.J. Combined effects of thermal radiation and thermophoretic motion on mixed convection boundary layer flow. Alex. Eng. J. 2021, 60, 3243–3252. [Google Scholar] [CrossRef]
- Patil, P.; Kulkarni, M. Effects of surface roughness and thermal radiation on mixed convective (GO–MoS2/H2O–C2H6O2) hybrid nanofluid flow past a permeable cone. Indian J. Phys. 2022, 1–12. [Google Scholar] [CrossRef]
- Abdal, S.; Ali, B.; Younas, S.; Ali, L.; Mariam, A. Thermo-diffusion and multislip effects on MHD mixed convection unsteady flow of micropolar nanofluid over a shrinking/stretching sheet with radiation in the presence of heat source. Symmetry 2019, 12, 49. [Google Scholar] [CrossRef] [Green Version]
- Alkasasbeh, H.T.; Swalmeh, M.Z.; Hussanan, A.; Mamat, M. Effects of mixed convection on methanol and kerosene oil based micropolar nanofluid containing oxide nanoparticles. CFD Lett. 2019, 11, 55–68. [Google Scholar]
- Swalmeh, M.; Alkasasbeh, H.; Hussanan, A.; Mamat, M. Numerical Study of Mixed Convection Heat Transfer in Methanol based Micropolar Nanofluid about a Horizontal Circular Cylinder. Proc. J. Phys. Conf. Ser. 2019, 1366, 012003. [Google Scholar] [CrossRef] [Green Version]
- Ali, A. Unsteady Micropolar Boundary Layer Flow and Convective Heat Transfer. Ph.D. Thesis, Universiti Teknologi Malaysia, Kuala Lumpur, Malaysia, 2010. [Google Scholar]
- Kumaran, G.; Sivaraj, R.; Prasad, V.R.; Beg, O.A.; Leung, H.-H.; Kamalov, F. Numerical study of axisymmetric magneto-gyrotactic bioconvection in non-Fourier tangent hyperbolic nano-functional reactive coating flow of a cylindrical body in porous media. Eur. Phys. J. Plus 2021, 136, 1107. [Google Scholar] [CrossRef]
- Howell, J.R.; Mengüç, M.P.; Daun, K.; Siegel, R. Thermal Radiation Heat Transfer; CRC Press: Boca Raton, FL, USA, 2020. [Google Scholar]
- Swalmeh, M.Z.; Alkasasbeh, H.T.; Hussanan, A.; Mamat, M. Heat transfer flow of Cu-water and Al2O3-water micropolar nanofluids about a solid sphere in the presence of natural convection using Keller-box method. Res. Phys. 2018, 9, 717–724. [Google Scholar] [CrossRef]
- Zeeshan, A.; Majeed, A.; Akram, M.J.; Alzahrani, F. Numerical investigation of MHD radiative heat and mass transfer of nanofluid flow towards a vertical wavy surface with viscous dissipation and Joule heating effects using Keller-box method. Math. Comput. Simul. 2021, 190, 1080–1109. [Google Scholar] [CrossRef]
- Siddiqa, S.; Begum, N.; Hossain, M.A.; Abrar, M.N.; Gorla, R.S.R.; Al-Mdallal, Q. Effect of thermal radiation on conjugate natural convection flow of a micropolar fluid along a vertical surface. Comput. Math. Appl. 2021, 83, 74–83. [Google Scholar] [CrossRef]
- Al-Sawalmeh, M. Numerical analysis of casson ferro-hybrid nanofluid flow over a stretching sheet under constant wall temperature boundary condition. Front. Heat Mass Transf. 2022, 18. [Google Scholar] [CrossRef]
- Nabwey, H.A.; Rashad, A.M.; Khan, W.A. Slip Microrotation Flow of Silver-Sodium Alginate Nanofluid via Mixed Convection in a Porous Medium. Mathematics 2021, 9, 3232. [Google Scholar] [CrossRef]
- Singh, K.; Pandey, A.K.; Kumar, M. Numerical solution of micropolar fluid flow via stretchable surface with chemical reaction and melting heat transfer using Keller-Box method. Propuls. Power Res. 2021, 10, 194–207. [Google Scholar] [CrossRef]
- Swalmeh, M.Z.; Alkasasbeh, H.T.; Hussanan, A.; Nguyen Thoi, T.; Mamat, M. Microstructure and inertial effects on natural convection micropolar nanofluid flow about a solid sphere. Int. J. Ambient Energy 2022, 43, 666–677. [Google Scholar] [CrossRef]
- Rafique, K.; Alotaibi, H. Numerical Simulation of Williamson Nanofluid Flow over an Inclined Surface: Keller Box Analysis. Appl. Sci. 2021, 11, 11523. [Google Scholar] [CrossRef]
- Cebeci, T.; Bradshaw, P. Physical and Computational Aspects of Convective Heat Transfer; Springer Science & Business Media: Berlin/Heidelberg, Germany, 2012. [Google Scholar]
- Nazar, R.; Amin, N.; Pop, I. Mixed convection boundary layer flow about an isothermal sphere in a micropolar fluid. Int. J. Therm. Sci. 2003, 42, 283–293. [Google Scholar] [CrossRef]
- Alwawi, F.A.; Hamarsheh, A.S.; Alkasasbeh, H.T.; Idris, R. Mixed Convection Flow of Magnetized Casson Nanofluid over a Cylindrical Surface. Coatings 2022, 12, 296. [Google Scholar] [CrossRef]



























| ℵ | ||||||||
|---|---|---|---|---|---|---|---|---|
| −4 | −3 | −2 | −1 | −0.5 | 0.0 | 0.74 | 0.75 | |
| 0° | (0.0000) | (0.0000) | (0.0000) | (0.0000) | (0.0000) | (0.0000) | (0.0000) | (0.0000) |
| (0.0000) | (0.0000) | (0.0000) | (0.0000) | (0.0000) | (0.0000) | (0.0000) | (0.0000) | |
| 10° | 0.07899 | 0.1794 | 0.2627 | 0.3401 | 0.3768 | 0.4146 | 0.46221 | 0.4631 |
| (0.0801) | (0.1806) | (0.2662) | (0.3438) | (0.3804) | (0.4160) | (0.4669) | (0.4675) | |
| 20° | 0.11270 | 0.3240 | 0.4981 | 0.6522 | 0.7277 | 0.7967 | 0.8898 | 0.9004 |
| (0.1149) | (0.3261) | (0.5000) | (0.6564) | (0.7301) | (0.8014) | (0.9031) | (0.9045) | |
| 30° | 0.3890 | 0.6669 | 0.8998 | 1.0009 | 1.1767 | 1.2754 | 1.2736 | |
| (0.4024) | (0.6718) | (0.9098) | (1.0211) | (1.1284) | (1.2813) | (1.2833) | ||
| 40° | 0.3609 | 0.7509 | 1.0726 | 1.2003 | 1.3689 | 1.5740 | 1.5721 | |
| (0.3704) | (0.7535) | (1.0790) | (1.2292) | (1.3733) | (1.5775) | (1.5802) | ||
| 50° | 0.7109 | 1.14780 | 1.3015 | 1.4782 | 1.7700 | 1.7715 | ||
| (0.7181) | (1.1434) | (1.3350) | (1.5172) | (1.7737) | (1.7771) | |||
| 60° | 0.5226 | 1.1047 | 1.2890 | 1.4518 | 1.8536 | 1.8561 | ||
| (0.5295) | (1.0866) | (1.3246) | (1.4577) | (1.8580) | (1.8621) | |||
| 70° | 0.8899 | 1.1870 | 1.4539 | 1.8222 | 1.8270 | |||
| (0.8929) | (1.1889) | (1.4583) | (1.8260) | (1.8307) | ||||
| 80° | 0.5093 | 0.9113 | 1.2403 | 1.6741 | 1.6802 | |||
| (0.5280) | (0.9190) | (1.2480) | (1.6800) | (1.6855) | ||||
| 90° | 0.4735 | 0.9100 | 1.4224 | 1.4317 | ||||
| (0.4813) | (0.9154) | (1.4289) | (1.4352) | |||||
| 100° | 0.4119 | 1.0745 | 1.0477 | |||||
| (0.4308) | (1.0847) | (1.0922) | ||||||
| 110° | 0.6141 | 0.6000 | ||||||
| (0.6543) | (0.6637) | |||||||
| 120° | 0.0079 | |||||||
| (0.0380) | ||||||||
Publisher’s Note: MDPI stays neutral with regard to jurisdictional claims in published maps and institutional affiliations. |
© 2022 by the authors. Licensee MDPI, Basel, Switzerland. This article is an open access article distributed under the terms and conditions of the Creative Commons Attribution (CC BY) license (https://creativecommons.org/licenses/by/4.0/).
Share and Cite
Swalmeh, M.Z.; Shatat, F.; Alwawi, F.A.; Ibrahim, M.A.H.; Sulaiman, I.M.; Yaseen, N.; Naser, M.F.M. Effectiveness of Radiation on Magneto-Combined Convective Boundary Layer Flow in Polar Nanofluid around a Spherical Shape. Fractal Fract. 2022, 6, 383. https://doi.org/10.3390/fractalfract6070383
Swalmeh MZ, Shatat F, Alwawi FA, Ibrahim MAH, Sulaiman IM, Yaseen N, Naser MFM. Effectiveness of Radiation on Magneto-Combined Convective Boundary Layer Flow in Polar Nanofluid around a Spherical Shape. Fractal and Fractional. 2022; 6(7):383. https://doi.org/10.3390/fractalfract6070383
Chicago/Turabian StyleSwalmeh, Mohammed Z., Feras Shatat, Firas A. Alwawi, Mohd Asrul Hery Ibrahim, Ibrahim Mohammed Sulaiman, Nusayba Yaseen, and Mohammad F. M. Naser. 2022. "Effectiveness of Radiation on Magneto-Combined Convective Boundary Layer Flow in Polar Nanofluid around a Spherical Shape" Fractal and Fractional 6, no. 7: 383. https://doi.org/10.3390/fractalfract6070383
APA StyleSwalmeh, M. Z., Shatat, F., Alwawi, F. A., Ibrahim, M. A. H., Sulaiman, I. M., Yaseen, N., & Naser, M. F. M. (2022). Effectiveness of Radiation on Magneto-Combined Convective Boundary Layer Flow in Polar Nanofluid around a Spherical Shape. Fractal and Fractional, 6(7), 383. https://doi.org/10.3390/fractalfract6070383

