Modeling and Numerical Simulation for Covering the Fractional COVID-19 Model Using Spectral Collocation-Optimization Algorithm
Abstract
:1. Introduction
2. Preliminaries and Some Concepts
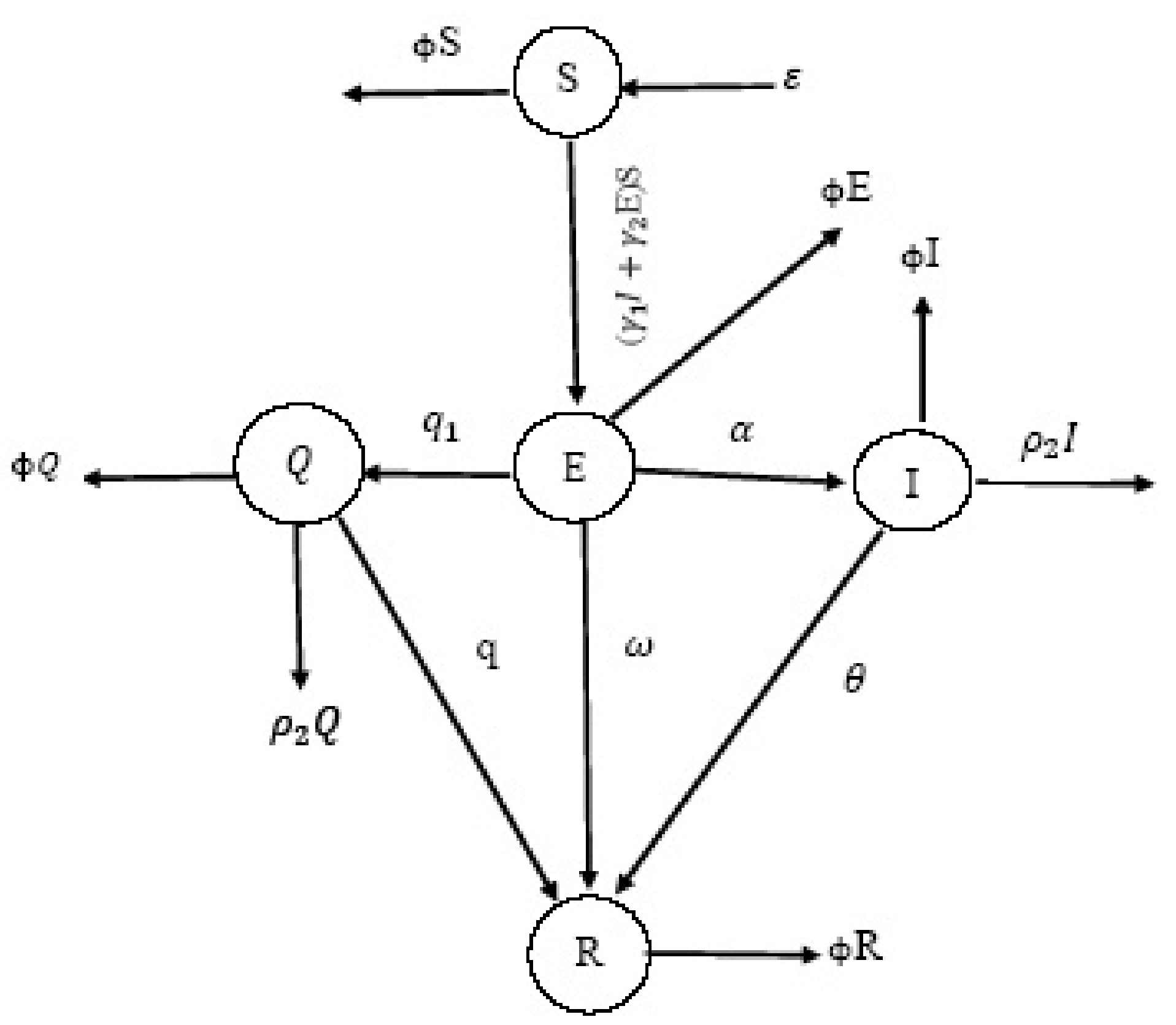
2.1. General Notes and Formulation the Fractional COVID-19 Model
- : the whole human population,
- : Susceptible individuals,
- : Exposed individuals,
- : Infected individuals,
- : Quarantined persons,
- : Those who have recovered/removed themselves from COVID-19.
- (1)
- In the absence of COVID-19, the system as equilibrium point.
- (2)
- Otherwise, the equilibrium assumes the form , where
2.2. Nonnegative Solutions, Stability and Equilibrium Points
- The equilibrium point is globally asymptotically stable iff .
- If , then is globally asymptotically stable, and it is unstable otherwise.
2.3. Shifted Vieta-Lucas Polynomials
3. An Approximate of the LC-Derivative and the Convergence Analysis
4. Numerical Studies
4.1. Implementation of the Proposed Method
| Algorithm 1: |
|
4.2. Implementation of the Fractional FDM
5. Numerical Simulation
- Figure 2 depicts the behavior of the approximate solution for various values of in () and , with , and the parameters Where in this case, , and we can also see that the disease-free equilibrium point is locally asymptotically stable, according to Theorem 3.Because the recovered population expands substantially, we can see and confirm that the majority of the population will recover from the COVID-19 dynamics in this image (see Figure 7e). In addition, as shown in Figure 7b–d, we can see and confirm that the number of infected and exposed people has decreased considerably. This suggests that the majority of the population will be recovered, resulting in a reduction in COVID-19-related mortality. We can check that the disease’s expected behavior has occurred, presenting a clear replication of the model. Also, knowing the behavior of all the components (stats) of the model with varied values of the derivatives, not just with , is essential for a solid physical interpretation of these numerical results.
- Figure 4 shows the behavior of the approximate solution with different initial conditions with in the range () and the parameters ; where are presented in Figure 4a–e, respectively. In this special case, we take the following different cases:
- i.
- ;
- ii.
- ;
- iii.
- .
In all these cases, we note that . - The behavior of the approximate solution via distinct values of with in the interval () is presented in Figure 5, and in this case, we take the following cases:
- (1)
- (2)
- (3)
- Finally, for and , we showed a comparison between the numerical solution generated by the VLSCOM and the fractional FDM in Figure 7. With the same parameters as in Figure 4, and the same initial conditions as in Figure 4, We can see from this diagram that the theoretical results on stability acquired in the preceding section are correct.The behavior of the numerical solution is dependent on the values of , m, the initial conditions, and the included parameters as shown in Figure 2, Figure 3, Figure 4, Figure 5 and Figure 6 and this demonstrates that the proposed method is well-implemented for tackling the proposed fractional derivatives problem.
6. Conclusions
- The proposed method is more reliable and efficient.
- The capacity to obtain accurate results by applying a minimal number of series solution terms.
- This method has various advantages for dealing with problems like this, where the coefficients may be discovered using the Penalty Leap Frog method, and then the approximate solution can be obtained.
- Using several techniques to solve the same model;
- Optimal control of the solutions that result;
- Theoretical research to describe the COVID-19 model in depth;
- Change the fractional derivative’s sense to variable-order, for example.
Author Contributions
Funding
Institutional Review Board Statement
Informed Consent Statement
Data Availability Statement
Conflicts of Interest
Abbreviations
| COVID-19 | Coronavirus Disease 2019 |
| VLSCOM | Vieta-Lucas spectral collocation-optimization method |
| SVLPs | shifted Vieta-Lucas polynomials |
| FDM | finite difference method |
| FDE | fractional differential equation |
| DFE | disease-free equilibrium |
References
- Ahmed, I.; Modu, G.U.; Yusuf, A.; Kumam, P.; Yusuf, I. A mathematical model of Coronavirus Disease (COVID-19) containing asymptomatic and symptomatic classes. Results Phys. 2021, 21, 1–14. [Google Scholar] [CrossRef] [PubMed]
- World Health Organization. Report of the Who-China Joint Mission on Coronavirus Disease; World Health Organization: Geneva, Switzerland, 2020. [Google Scholar]
- Agarwal, P.; Agarwal, R.P.; Ruzhansky, M. Special Functions and Analysis of Differential Equations; Chapman and Hall/CRC: Boca Raton, FL, USA, 2020. [Google Scholar]
- Agarwal, P.; Dragomir, S.S.; Jleli, M.; Samet, B. Advances in Mathematical Inequalities and Applications; Springer Nature: Basel, Germany, 2018. [Google Scholar]
- Ruzhansky, M.; Cho, Y.J.; Agarwal, P.; Area, I. Advances in Real and Complex Analysis with Applications; Trends in Mathematics; Birkhuser: Basel, Switzerland, 2017. [Google Scholar]
- Anderson, R.M.; May, R.M. Helminth infections of humans: Mathematical models, population dynamics, and control. Adv. Parasitol. 1985, 24, 1–101. [Google Scholar] [PubMed]
- Meng, X.; Zhao, S.; Feng, T.; Zhang, T. Dynamics of a novel nonlinear stochastic SIS epidemic model with double epidemic hypothesis. J. Math. Anal. Appl. 2016, 433, 227–242. [Google Scholar] [CrossRef]
- Kabir, K.A.; Kuga, K.; Tanimoto, J. Analysis of SIR epidemic model with information spreading of awareness. Chaos Solitons Fract. 2019, 119, 118–125. [Google Scholar] [CrossRef]
- Khoojine, A.S.; Mahsuli, M.; Shadabfar, M.; Hosseini, V.R.; Kordestani, H. A proposed fractional dynamic system and Monte Carlo-based back analysis for simulating the spreading profile of Covid. Eur. Phys. J. Spec. Top. 2022, 19, 1–11. [Google Scholar]
- Khoojine, A.S.; Mahsuli, M.; Hosseini, V.R.; Kordestani, H. Network autoregressive model for the prediction of COVID-19 considering the disease interaction in neighboring countries. Entropy 2021, 23, 1267. [Google Scholar] [CrossRef]
- Koo, J.R.; Cook, A.R.; Park, M.; Sun, Y.; Sun, H.; Lim, J.T.; Tam, C.; Dickens, B.L. Interventions to mitigate early spread of sars-cov-2 in singapore: A modelling study. Lancet Infect Dis. 2020, 20, 678–688. [Google Scholar] [CrossRef] [Green Version]
- Agarwal, P.; Nieto, J.J.; Ruzhansky, M.; Torres, D.F.M. Analysis of Infectious Disease Problems (COVID-19) and Their Global Impact; Springer: Singapore, 2021. [Google Scholar]
- Rajchakit, G.; Agarwal, P.; Ramalingam, S. Stability Analysis of Neural Networks; Springer: Singapore, 2021. [Google Scholar]
- Rehman, A.U.; Singh, R.; Agarwal, P. Modeling, analysis and prediction of new variants of COVID-19 and dengue co-infection on complex network. Chaos Solitons Fractals 2021, 150, 111008. [Google Scholar] [CrossRef]
- Shadabfar, M.; Mahsuli, M.; Khoojine, A.S.; Hosseini, V.R. Time-variant reliability-based prediction of COVID-19 spread using extended SEIVR model and Monte Carlo sampling. Results Phys. 2021, 26, 1–10. [Google Scholar] [CrossRef]
- Wilder-Smith, A.; Freedman, D.O. Isolation, quarantine, social distancing and community containment: Pivotal role for old-style public health measures in the novel coronavirus (2019-ncov) outbreak. J. Travel Med. 2020, 27, 1–4. [Google Scholar] [CrossRef]
- Agarwal, P.; Baleanu, D.; Chen, Y.; Momani, S.; Machado, J.A.T. Fractional Calculus: ICFDA, 1st ed; Springer Proceedings in Mathematics Statistics; Springer: Singapore, 2019; Volume 303. [Google Scholar]
- Alderremy, A.A.; Saad, K.M.; Agarwal, P.; Aly, S.; Jain, S. Certain new models of the multi space-fractional Gardner equation. Phys. A Stat. Mech. Its Appl. 2020, 545, 123806. [Google Scholar] [CrossRef]
- Kilbas, S.G.; Kilbas, A.A.; Marichev, O.I. Fractional Integrals and Derivatives: Theory and Applications; Gordon & Breach: Yverdon, Switzerland, 1993. [Google Scholar]
- Podlubny, I. Fractional Differential Equations; Academic Press: New York, NY, USA, 1999. [Google Scholar]
- Adel, M.; Elsaid, M. An Efficient Approach for solving fractional variable order reaction sub-diffusion equation base on Hermite formula. Complex Geom. Patterns Scaling Nat. Soc. 2022, 30, 2240020. [Google Scholar]
- Khader, M.M.; Gomez-Aguilar, J.F.; Adel, M. Numerical study for the fractional RL, RC, and RLC electrical circuits using Legendre pseudo-spectral method. Int. J. Circuit Theory Appl. 2021, 49, 1–20. [Google Scholar] [CrossRef]
- Abdeljawad, T.; Baleanu, D. Integration by parts and its applications of a new nonlocal fractional derivative with Mittag-Leffler nonsingular kernel. Nonlin. Sci. Appl. 2017, 9, 1098–1107. [Google Scholar] [CrossRef] [Green Version]
- Diethelm, K.; Ford, N.J.; Freed, A.D. A predictor-corrector approach for the numerical solution of fractional differential equations. Nonlinear Dyn. 2002, 29, 3–22. [Google Scholar] [CrossRef]
- Khader, M.M.; Adel, M. Numerical and theoretical treatment based on the compact finite difference and spectral collocation algorithms of the space fractional-order Fisher’s equation. Int. J. Mod. Phys. C 2020, 31, 1–13. [Google Scholar] [CrossRef]
- Agarwal, P.; El-Sayed, A.A. Vieta-Lucas polynomials for solving a fractional-order mathematical physics model. Adv. Differ. Equ. 2020, 2020, 1–18. [Google Scholar] [CrossRef]
- Jafari, H.; Khalique, C.M.; Nazari, M. An algorithm for the numerical solution of nonlinear fractional-order Van der Pol oscillator equation. Math. Comput. Model. 2012, 55, 1782–1786. [Google Scholar] [CrossRef]
- Sultana, F.; Singh, D.; Pandey, R.K.; Zeidan, D. Numerical schemes for a class of tempered fractional integro-differential equations. Appl. Numer. Math. 2020, 157, 110–134. [Google Scholar] [CrossRef]
- Khader, M.M.; Adel, M. Chebyshev wavelet procedure for solving FLDEs. Acta Appl. Math. 2018, 158, 1–10. [Google Scholar] [CrossRef]
- Khader, M.M.; Adel, M. Numerical approach for solving the Riccati and Logistic equations via QLM-rational Legendre collocation method. Comput. Appl. Math. 2020, 39, 1–9. [Google Scholar] [CrossRef]
- Horadam, A.F. Vieta Polynomials; The University of New England: Armidaie, Australia, 2000; p. 2351. [Google Scholar]
- Kostrzewski, M. Sensitivity analysis of selected parameters in the order picking process simulation model, with randomly generated orders. Entropy 2020, 22, 423. [Google Scholar] [CrossRef] [Green Version]
- Nieto, J.J. Solution of a fractional logistic ordinary differential equation. Appl. Math. Lett. 2022, 123, 107568. [Google Scholar] [CrossRef]
- Rafiq, M.; Macias-Diaz, J.E.; Raza, A.; Ahmed, N. Design of a nonlinear model for the propagation of COVID-19 and its efficient nonstandard computational implementation. Appl. Math. Model. 2021, 89, 1835–1846. [Google Scholar] [CrossRef]
- Diekmann, O.; Heesterbeek, J.A.P.; Metz, J.A. On the definition and the computation of the basic reproduction ratio R0 in models for infectious diseases in heterogeneous populations. J. Math. Biol. 1990, 14, 365–382. [Google Scholar]
- Odibat, Z.M.; Shawagfeh, N.T. Generalized Taylor’s formula. Appl. Math. Comput. 2007, 186, 286–293. [Google Scholar] [CrossRef]
- Reyna, J.A. A generalized mean-value theorem. Monatshefte Math. 1988, 106, 95–97. [Google Scholar] [CrossRef]
- Lin, W. Global existence theory and chaos control of fractional differential equations. J. Math. Anal. Appl. 2007, 332, 709–726. [Google Scholar] [CrossRef] [Green Version]
- Kumar, R.; Kumar, S. A new fractional modelling on Susceptible-Infected-Recovered equations with constant vaccination rate. Nonlinear Eng. 2014, 3, 11–16. [Google Scholar] [CrossRef]
- Matignon, D. Stability results for fractional differential equations with applications to control processing. Comput. Eng. Syst. Appl. 1996, 2, 963–968. [Google Scholar]
- Khan, M.A.; Atangana, A. Modeling the dynamics of novel Coronavirus (2019-nCoV) with fractional derivative. Alex. Eng. J. 2020, 59, 2379–2389. [Google Scholar] [CrossRef]
- El-Hawary, H.M.; Salim, M.S.; Hussien, H.S. Ultraspherical integral method for optimal control problems governed by ordinary differential equations. J. Glob. Optim. 2003, 25, 283–303. [Google Scholar] [CrossRef]







Publisher’s Note: MDPI stays neutral with regard to jurisdictional claims in published maps and institutional affiliations. |
© 2022 by the authors. Licensee MDPI, Basel, Switzerland. This article is an open access article distributed under the terms and conditions of the Creative Commons Attribution (CC BY) license (https://creativecommons.org/licenses/by/4.0/).
Share and Cite
Khader, M.M.; Adel, M. Modeling and Numerical Simulation for Covering the Fractional COVID-19 Model Using Spectral Collocation-Optimization Algorithm. Fractal Fract. 2022, 6, 363. https://doi.org/10.3390/fractalfract6070363
Khader MM, Adel M. Modeling and Numerical Simulation for Covering the Fractional COVID-19 Model Using Spectral Collocation-Optimization Algorithm. Fractal and Fractional. 2022; 6(7):363. https://doi.org/10.3390/fractalfract6070363
Chicago/Turabian StyleKhader, Mohamed M., and Mohamed Adel. 2022. "Modeling and Numerical Simulation for Covering the Fractional COVID-19 Model Using Spectral Collocation-Optimization Algorithm" Fractal and Fractional 6, no. 7: 363. https://doi.org/10.3390/fractalfract6070363
APA StyleKhader, M. M., & Adel, M. (2022). Modeling and Numerical Simulation for Covering the Fractional COVID-19 Model Using Spectral Collocation-Optimization Algorithm. Fractal and Fractional, 6(7), 363. https://doi.org/10.3390/fractalfract6070363

