Adaptive Management of Multi-Scenario Projects in Cybersecurity: Models and Algorithms for Decision-Making
Abstract
1. Introduction
2. Related Works
3. Models and Methods for Assessing Information Security Management in Organizations
- (non-negativity condition);
- (normalization condition).
4. Results and Discussion
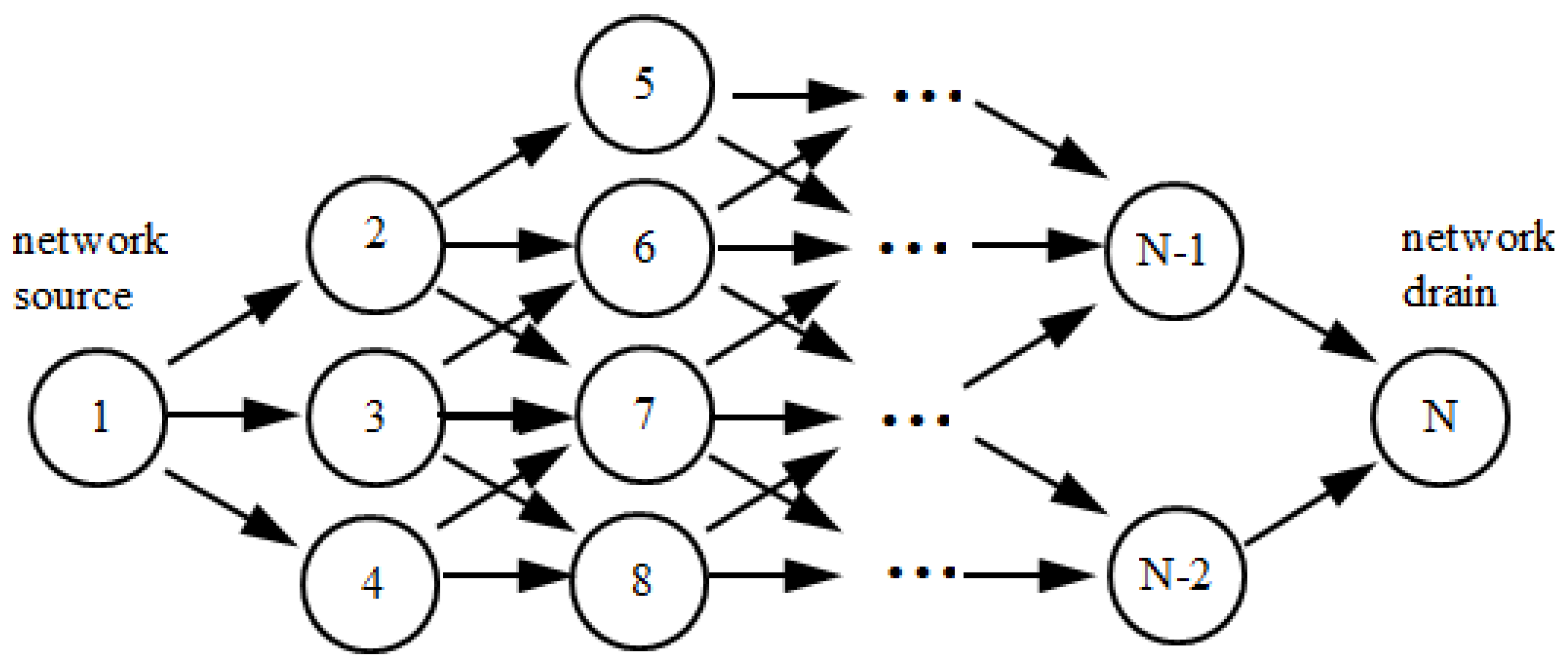
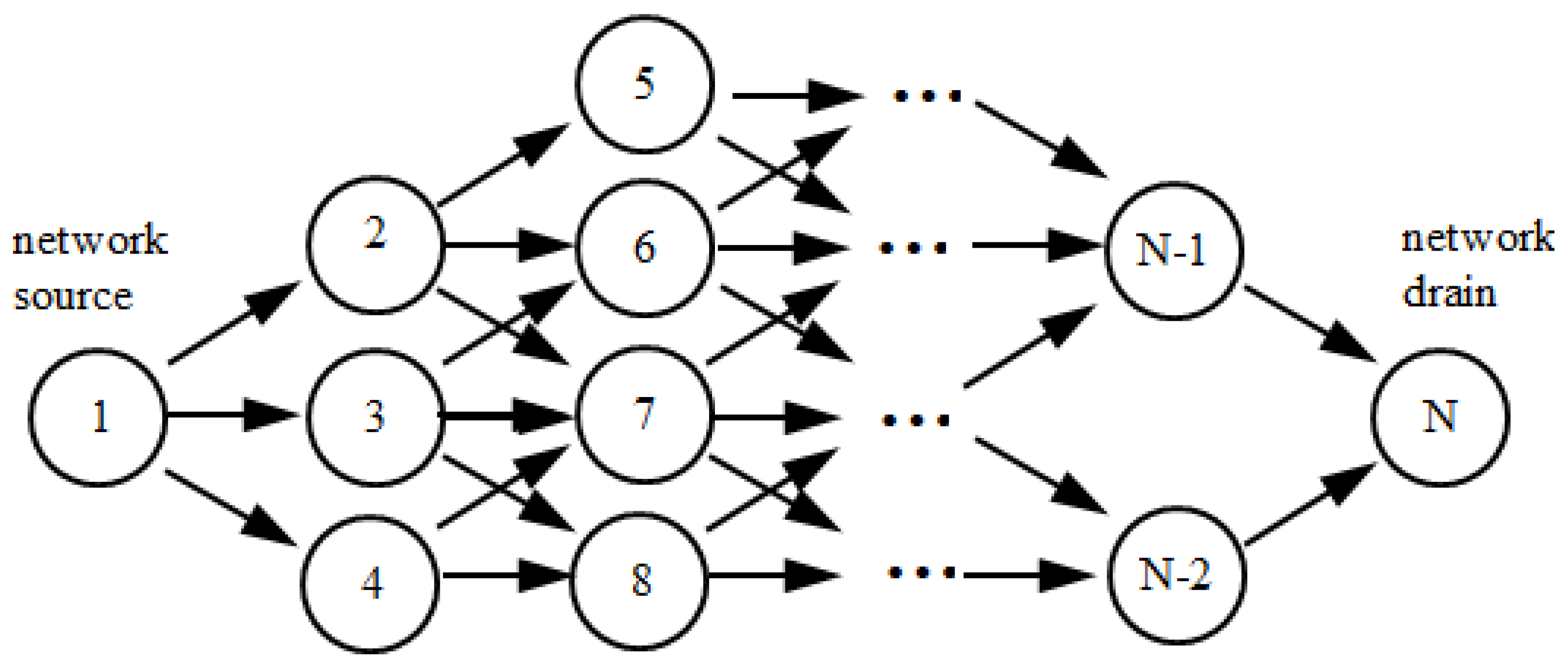
4.1. Project Scenario Network
- The results of the current and several preceding stages;
- A set of external factors affecting future project implementation.
- The vertices of the network correspond to the project stages;
- The arcs indicate the sequence of these stages;
- The network source corresponds to the initial stage;
- The network sink corresponds to the final stage.
4.2. Fuzzy Linguistic Description of Project Indicators and External Factors
5. Accounting for Possible Changes in the Semantics of Verbal Expert Assessments
- Increasing requirements for the level of information security in organizations (enterprises), driven by the rising integration of modern digital technologies into organizational and production activities, which in turn increases the potential damage caused by unauthorized access and other security breaches (TrendReq).
- Advancements in the capability to ensure information security within organizations, linked to the development of both organizational legal measures and hardware/software solutions and their application technologies (TrendCap).
- The first layer performs fuzzification by determining generalized Gaussian membership functions for the input values.
- In the second layer, the left-hand sides of the fuzzy production rules are aggregated, calculating , and the right-hand functions are computed to find ;
- The third layer calculates the product of and for all ;
- The fourth layer sums the products and over ;
- The fifth layer outputs the next-stage parameter value .
6. Decision Support for Selecting a Subscenario in Project Implementation
- Lim1: Equinitiality and equifinality (all scenarios have a common initial and final stage);
- Lim2: Existence of a basic scenario (the main scenario is defined, and resources are calculated for its implementation; all other scenarios are treated as deviations from the basic scenario);
- Lim3: Limited branching (branching stages are only part of the basic scenario);
- Lim4: Limited merging (subscenarios starting from a branching stage must conclude at a stage in the basic scenario before the next branching);
- Lim5: Limited subscenarios (each branching stage produces four types of subscenarios: optimistic, basic, pessimistic, and catastrophic).
7. Conclusions
Author Contributions
Funding
Institutional Review Board Statement
Informed Consent Statement
Data Availability Statement
Conflicts of Interest
References
- Peltier, T.R. Information Security Risk Analysis, 3rd ed.; CRC Press Taylor & Francis Group: Boca Raton, FL, USA, 2005. [Google Scholar]
- Seacord, R.C.; Householder, A.D. A Structured Approach to Classifying Security Vulnerabilities. 2005. Available online: https://citeseerx.ist.psu.edu/document?repid=rep1&type=pdf&doi=6baac91ec76b059d7d7807c6706d8279d5afac08 (accessed on 26 September 2024).
- Kuzminykh, I.; Ghita, B.; Sokolov, V.; Bakhshi, T. Information Security Risk Assessment. Encyclopedia 2021, 1, 602–617. [Google Scholar] [CrossRef]
- Hoffmann, R.; Napiórkowski, J.; Protasowicki, T.; Stanik, J. Risk Based Approach in Scope of Cybersecurity Threats and Requirements. Procedia Manuf. 2020, 44, 655–662. [Google Scholar] [CrossRef]
- Yusif, S.; Hafeez-Baig, A. A Conceptual Model for Cybersecurity Governance. J. Appl. Secur. Res. 2021, 16, 490–513. [Google Scholar] [CrossRef]
- Gordon, L.; Loeb, M.; Zhou, L. Investing in Cybersecurity: Insights from the Gordon-Loeb Model. J. Inf. Secur. 2021, 7, 49–59. [Google Scholar] [CrossRef]
- Lee, I. Cybersecurity: Risk Management Framework and Investment Cost Analysis. Bus. Horizons 2021, 64, 659–671. [Google Scholar] [CrossRef]
- Franco, M.F.; Lacerda, F.M.; Stiller, B. A Framework for the Planning and Management of Cybersecurity Projects in Small and Medium-Sized Enterprises. Rev. GestãO Proj. (GeP) 2022, 13, 10–37. [Google Scholar] [CrossRef]
- Dobrynin, A.; Gudkov, M.; Koinov, R. A Precedent Approach to Incident Management in Automated Process Control Systems. Softw. Syst. Comput. Methods 2020, 2020, 45–52. [Google Scholar] [CrossRef]
- Kulakov, S.; Trofimov, V.; Dobrynin, A.; Taraborina, E. Precedent Approach to the Formation of Programs for Cyclic Objects Control. IOP Conf. Ser. Mater. Sci. Eng. 2018, 354, 012002. [Google Scholar] [CrossRef]
- Sarker, I.H.; Janicke, H.; Ferrag, M.A.; Abuadbba, A. Multi-aspect rule-based AI: Methods, taxonomy, challenges and directions toward automation, intelligence and transparent cybersecurity modeling for critical infrastructures. Internet Things 2024, 25, 101110. [Google Scholar] [CrossRef]
- Sun, N.; Ding, M.; Jiang, J.; Xu, W.; Mo, X.; Tai, Y.; Zhang, J. Cyber threat intelligence mining for proactive cybersecurity defense: A survey and new perspectives. IEEE Commun. Surv. Tutor. 2023, 25, 1748–1774. [Google Scholar] [CrossRef]
- Sharma, S.; Arjunan, T. Natural Language Processing for Detecting Anomalies and Intrusions in Unstructured Cybersecurity Data. Int. J. Inf. Cybersecur. 2023, 7, 1–24. [Google Scholar]
- Sarker, I.H.; Janicke, H.; Mohsin, A.; Gill, A.; Maglaras, L. Explainable AI for cybersecurity automation, intelligence and trustworthiness in digital twin: Methods, taxonomy, challenges and prospects. ICT Express 2024, 10, 935–958. [Google Scholar] [CrossRef]
- Sarker, I.H. Multi-aspects AI-based modeling and adversarial learning for cybersecurity intelligence and robustness: A comprehensive overview. Secur. Priv. 2023, 6, e295. [Google Scholar] [CrossRef]
- Malatji, M.; Tolah, A. Artificial intelligence (AI) cybersecurity dimensions: A comprehensive framework for understanding adversarial and offensive AI. In AI and Ethics; Spinger: Berlin/Heidelberg, Germany, 2024; pp. 1–28. [Google Scholar]
- Alqurashi, F.; Ahmad, I. A data-driven multi-perspective approach to cybersecurity knowledge discovery through topic modelling. Alex. Eng. J. 2024, 107, 374–389. [Google Scholar] [CrossRef]
- Kozhakhmet, K.; Bortsova, G.; Inoue, A.; Atymtayeva, L. Expert System for Security Audit Using Fuzzy Logic. In Proceedings of the Midwest Artificial Intelligence and Cognitive Science Conference, Cincinnati, OH, USA, 21–22 April 2012; Kazakh-British Technical University: Almaty, Kazakhstan, 2012. [Google Scholar]
- Zadeh, L.A. The Concept of a Linguistic Variable and its Application to Approximate Reasoning. Inf. Sci. 1975, 1, 119–249. [Google Scholar] [CrossRef]
- Zadeh, L. A Note on Z-Numbers. Inf. Sci. 2011, 181, 2923–2932. [Google Scholar] [CrossRef]
- Khorasani, E.S.; Patel, P.; Rahimi, S.; Houle, D. An Inference Engine Toolkit for Computing with Words. J. Ambient. Intell. Humaniz. Comput. 2013, 4, 409–410. [Google Scholar] [CrossRef]
- Vignieri, V. Performance Management in the Public Sector. In Global Encyclopedia of Public Administration, Public Policy, and Governance; Springer International Publishing: Cham, Switzerland, 2018; pp. 1–8. [Google Scholar]
- The Standard of the Bank of Russia STO BR IBBS-1.2-2014: Ensuring Information Security of Organizations of the Banking System of the Russian Federation. 2014. Available online: https://cbr.ru/statichtml/file/59420/st-12-14.pdf (accessed on 28 October 2024).
- Patwary, A.A.N.; Naha, R.K.; Garg, S.; Battula, S.K.; Patwary, M.A.K.; Aghasian, E.; Amin, M.B.; Mahanti, A.; Gong, M. Towards secure fog computing: A survey on trust management, privacy, authentication, threats and access control. Electronics 2021, 10, 1171. [Google Scholar] [CrossRef]
- Aslan, Ö.; Aktuğ, S.S.; Ozkan-Okay, M.; Yilmaz, A.A.; Akin, E. A comprehensive review of cyber security vulnerabilities, threats, attacks, and solutions. Electronics 2023, 12, 1333. [Google Scholar] [CrossRef]
- Das, M.; Tao, X.; Liu, Y.; Cheng, J.C. A blockchain-based integrated document management framework for construction applications. Autom. Constr. 2022, 133, 104001. [Google Scholar] [CrossRef]
- Pizam, A.; Ozturk, A.B.; Hacikara, A.; Zhang, T.; Balderas-Cejudo, A.; Buhalis, D.; Fuchs, G.; Hara, T.; Meira, J.; Revilla, R.G.M.; et al. The role of perceived risk and information security on customers’ acceptance of service robots in the hotel industry. Int. J. Hosp. Manag. 2024, 117, 103641. [Google Scholar] [CrossRef]
- Santos-Olmo, A.; Sánchez, L.E.; Rosado, D.G.; Serrano, M.A.; Blanco, C.; Mouratidis, H.; Fernández-Medina, E. Towards an integrated risk analysis security framework according to a systematic analysis of existing proposals. Front. Comput. Sci. 2024, 18, 183808. [Google Scholar] [CrossRef]
- Jomhari, N.; Alias, N.A.A.; Ellah, A.A.A.; Magableh, A.A.; Ghazali, E.M. A Multi-Criteria Decision-Making for Legacy System Modernization With FUCOM-WSM Approach. IEEE Access 2024, 12, 48608–48619. [Google Scholar] [CrossRef]
- Liu, Y.; Hu, Y.; Shen, K.; Qiu, J.; Neusypin, K.A. Integral Reinforcement Learning-Based Angular Acceleration Autopilot for High Dynamic Flight Vehicles. Appl. Soft Comput. 2024, 158, 111582. [Google Scholar] [CrossRef]
- Adam, F.; Humphreys, P. Encyclopedia of Decision Making and Decision Support Technologies; Hershey: New York, NY, USA, 2008; Volume 1. [Google Scholar]
- Saaty, T.L. Relative Measurement and Its Generalization in Decision Making: Why Pairwise Comparisons Are Central in Mathematics for the Measurement of Intangible Factors - The Analytic Hierarchy/Network Process. Rev. R. Span. Acad. Sci. Ser. A Math. 2008, 102, 251–318. [Google Scholar] [CrossRef]
- Burkov, V.N.; Burkova, I.V.; Gorgidze, I.A.; Burkov, V.N.; Burkova, I.V.; Gorgidze, I.A.; Gochitashvili, L.I.; Kajaia, T.N.; Lominadze, T.N.; Khartishvili, M.P. The Method of Network Programming for the Project Management. In Information and Computer Technologies—Theory and Practice: Proceedings of the International Scientific Conference ICTMC-2010 Devoted to the 80th Anniversary of I.V. Prangishvili; Nova Science Publishers Inc.: Hauppauge, NY, USA, 2012; pp. 131–147. [Google Scholar]
- Lomazov, V.A.; Gostischeva, T.V.; Klimova, N.A. Fuzzy Threat Analysis and the Choice of Options for the Information Security System of an Innovative Project. Mod. High-Tech Technol. 2017, 10, 26–31. [Google Scholar]
- Ptuskin, A.; Levner, E.; Kats, V. Cyclic Multi-Hoist Scheduling with Fuzzy Processing Times in Flexible Manufacturing Lines. Appl. Soft Comput. 2024, 165, 112014. [Google Scholar] [CrossRef]
- Russell, S.J.; Norvig, P. Artificial Intelligence: A Modern Approach; Prentice Hall: Englewood Cliffs, NJ, USA, 2020. [Google Scholar]
- Takagi, T.; Sugeno, M. Fuzzy Identification of Systems and Its Applications to Modeling and Control. IEEE Trans. Syst. Man, Cybern. 1985, SMC-15, 116–132. [Google Scholar] [CrossRef]
- Sugeno, M.; Kang, G. Structure Identification of Fuzzy Model. Fuzzy Sets Syst. 1988, 28, 15–33. [Google Scholar] [CrossRef]
- Kang, B.; Wei, D.; Li, Y.; Deng, Y. Method of Converting Z-Number to Classical Fuzzy Number. J. Inf. Comput. Sci. 2012, 9, 703–709. [Google Scholar]







| Reference | Focus | Applied Model | Results |
|---|---|---|---|
| Sarker et al. (2024) [15] | Rule-based AI for cybersecurity in critical infrastructure (CI) | Rule-based AI modeling, taxonomy of rule generation | Multi-faceted study identifying applications and challenges in CI cybersecurity. |
| Sun et al. (2023) [12] | Cyber threat intelligence (CTI) mining for proactive defense against cyber threats | Taxonomy of CTI applications | Enhanced threat detection and response, highlighting future research directions. |
| Sharma et al. (2023) [13] | Natural language processing (NLP) techniques for anomaly and intrusion detection | Named entity recognition, sentiment analysis, etc. | Structured taxonomy and literature review identifying strengths, limitations, and research gaps. |
| Sacker et al. (2024) [14] | AI and explainable AI (XAI) approaches to address cybersecurity challenges in digital twins (DTs) | Taxonomy of AI/XAI methods | Identification of gaps and potential applications for secure DT environments. |
| Sacker et al. (2023) [15] | AI-driven cybersecurity solutions for complex threats, including malware and phishing | AI-based modeling, adversarial learning | Insights into AI’s role in enhancing security intelligence and resilience. |
| Malatji et al. (2024) [16] | AI Cybersecurity Dimensions (AICD) Framework for understanding AI-driven cyber threats | AICD Framework | AICD Framework as a tool for holistic understanding and practical interventions. |
| Alqurashi et al. (2024) [17] | Topic modeling to analyze trends in cybersecurity research across academic and industry sources | BERTopic, UMAP, HDBSCAN | Identification of 24 knowledge clusters; increased focus on malware and mitigation strategies. |
| Numerical Value | Expert Judgment |
|---|---|
| 0 | No compliance |
| 0.25 | Low compliance |
| 0.5 | Medium compliance |
| 0.75 | High compliance |
| 1.0 | Full compliance |
| Really Optim | Really Base | Really Pessim | |
|---|---|---|---|
| Defined as Optim | T-O | F-O+ | – |
| Defined as Base | F-P- | T-P | F-P+ |
| Defined as Pessim | – | F-O- | T-O |
| T-P | T-O | T-O | F-P+ | F-P- | F-O+ | F-O- | |
|---|---|---|---|---|---|---|---|
| Crisp Selection | 0.461 | 0.083 | 0.292 | 0.024 | 0.046 | 0.041 | 0.053 |
| Fuzzy Selection | 0.483 | 0.079 | 0.296 | 0.018 | 0.044 | 0.029 | 0.051 |
Disclaimer/Publisher’s Note: The statements, opinions and data contained in all publications are solely those of the individual author(s) and contributor(s) and not of MDPI and/or the editor(s). MDPI and/or the editor(s) disclaim responsibility for any injury to people or property resulting from any ideas, methods, instructions or products referred to in the content. |
© 2024 by the authors. Licensee MDPI, Basel, Switzerland. This article is an open access article distributed under the terms and conditions of the Creative Commons Attribution (CC BY) license (https://creativecommons.org/licenses/by/4.0/).
Share and Cite
Tynchenko, V.; Lomazov, A.; Lomazov, V.; Evsyukov, D.; Nelyub, V.; Borodulin, A.; Gantimurov, A.; Malashin, I. Adaptive Management of Multi-Scenario Projects in Cybersecurity: Models and Algorithms for Decision-Making. Big Data Cogn. Comput. 2024, 8, 150. https://doi.org/10.3390/bdcc8110150
Tynchenko V, Lomazov A, Lomazov V, Evsyukov D, Nelyub V, Borodulin A, Gantimurov A, Malashin I. Adaptive Management of Multi-Scenario Projects in Cybersecurity: Models and Algorithms for Decision-Making. Big Data and Cognitive Computing. 2024; 8(11):150. https://doi.org/10.3390/bdcc8110150
Chicago/Turabian StyleTynchenko, Vadim, Alexander Lomazov, Vadim Lomazov, Dmitry Evsyukov, Vladimir Nelyub, Aleksei Borodulin, Andrei Gantimurov, and Ivan Malashin. 2024. "Adaptive Management of Multi-Scenario Projects in Cybersecurity: Models and Algorithms for Decision-Making" Big Data and Cognitive Computing 8, no. 11: 150. https://doi.org/10.3390/bdcc8110150
APA StyleTynchenko, V., Lomazov, A., Lomazov, V., Evsyukov, D., Nelyub, V., Borodulin, A., Gantimurov, A., & Malashin, I. (2024). Adaptive Management of Multi-Scenario Projects in Cybersecurity: Models and Algorithms for Decision-Making. Big Data and Cognitive Computing, 8(11), 150. https://doi.org/10.3390/bdcc8110150

