Operation Optimization of Wind/Battery Storage/Alkaline Electrolyzer System Considering Dynamic Hydrogen Production Efficiency
Abstract
:1. Introduction
2. System Introduction
2.1. System Structure
2.2. Wind Power Sub-System
2.3. Battery Storage Sub-System
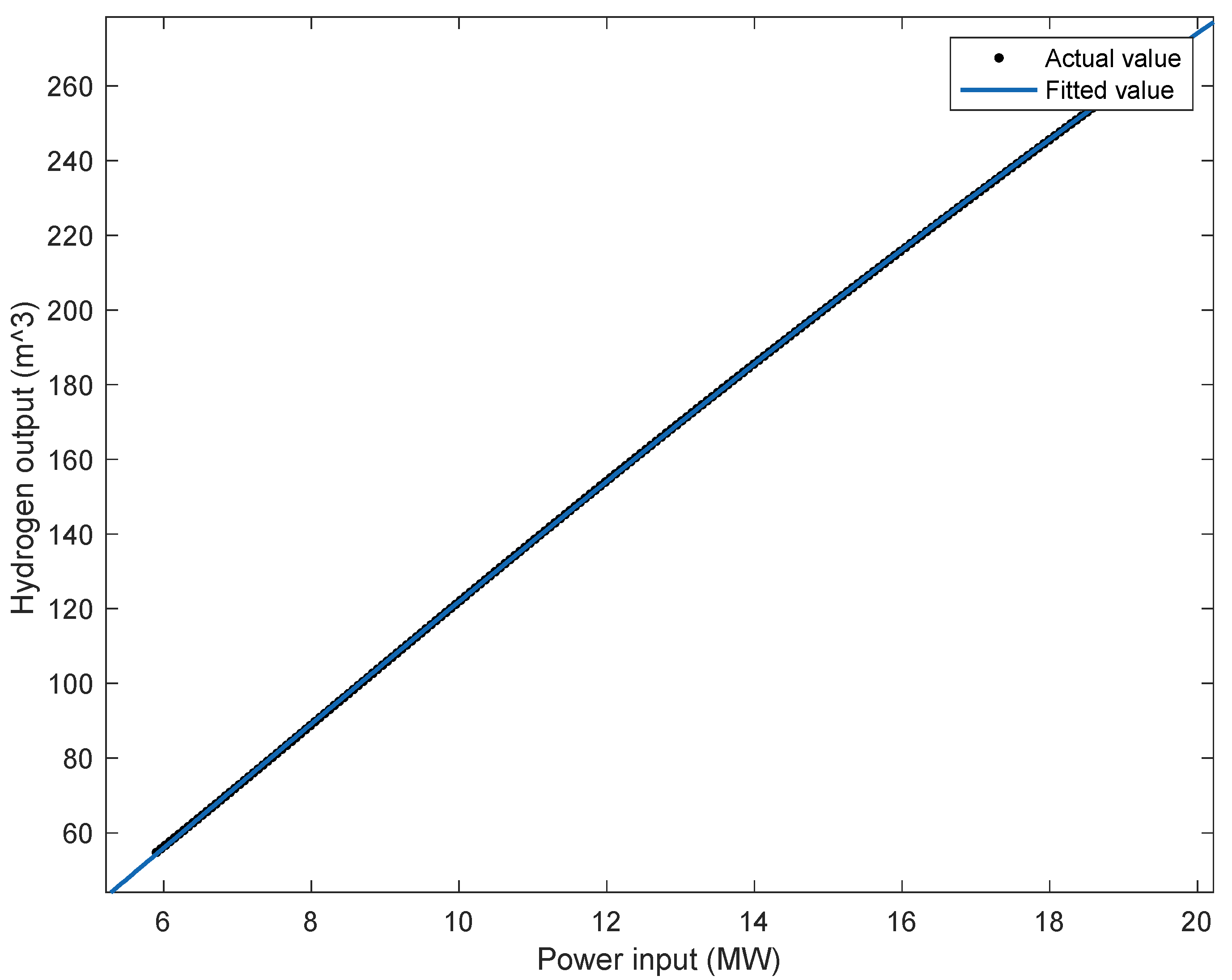
2.4. Alkaline Electrolyzer Sub-System
3. Operation Optimization Model
3.1. Objectives
3.2. Constraints
3.2.1. Renewable Energy Constraints
3.2.2. Hydrogen Energy Storage Constraint
3.2.3. Battery Storage Constraints
3.2.4. Parameter Settings
3.3. Solution Method
3.3.1. NSGA-II
3.3.2. Entropy Weight Method
- For standardized processing, in order to solve the problem of the homogeneity of different index values, we can use the following formula to standardize each index:
- 2.
- The proportion of the sample under the indicator can be calculated as follows:
- 3.
- For the index, its information entropy calculation formula is as follows:
- 4.
- The information utility value, defined as , can be calculated as follows:
- 5.
- The entropy weight of each indicator can be obtained by normalizing the information utility value:
- 6.
- After the entropy weight of each indicator is calculated, the comprehensive score of each sample can be obtained for ranking.
4. Results and Discussion
4.1. Results
4.2. Discussion
5. Conclusions
- (1)
- The hydrogen production efficiency of the alkaline electrolyzer has a non-linear relationship with its input power. Compared with constant efficiency, dynamic hydrogen production can be combined with post-optimization to make more effective use of renewable energy. The trend of hydrogen production efficiency is to increase first and then decrease. Therefore, it is significant to consider the dynamic efficiency of hydrogen production.
- (2)
- The distribution of Pareto solutions was uniform, which indicates the suitability of the NSGA-II algorithm. The weights of the power abandonment rate (objective 1) and profit (objective 2) were 0.421 and 0.579, respectively.
- (3)
- Profits are sensitive to hydrogen prices. As the hydrogen price rises, the profit gradually increases, and the power abandonment rate changes accordingly. This may be due to the large fluctuation of wind power resources. Even if the hydrogen price rises, the system may still not be able to eliminate all power curtailment. The system will find a balanced strategy. Therefore, policymakers should pay close attention to hydrogen prices.
Author Contributions
Funding
Conflicts of Interest
References
- Van Ruijven, B.; Lamarque, J.F.; van Vuuren, D.P.; Kram, T.; Eerens, H. Emission scenarios for a global hydrogen economy and the consequences for global air pollution. Glob. Environ. Chang. 2011, 21, 983–994. [Google Scholar] [CrossRef]
- Abe, J.O.; Popoola, A.P.I.; Ajenifuja, E.; Popoola, O.M. Hydrogen energy, economy and storage: Review and recommendation. Int. J. Hydrogen Energy 2019, 44, 15072–15086. [Google Scholar] [CrossRef]
- Kumar, S.; Arzaghi, E.; Baalisampang, T.; Garaniya, V.; Abbassi, R. Insights into decision-making for offshore green hydrogen infrastructure developments. Process Saf. Environ. Prot. 2023, 174, 805–817. [Google Scholar] [CrossRef]
- Li, Y.; Shi, X.; Phoumin, H. A strategic roadmap for large-scale green hydrogen demonstration and commercialisation in China: A review and survey analysis. Int. J. Hydrogen Energy 2022, 47, 24592–24609. [Google Scholar] [CrossRef]
- Yang, X.; Nielsen, C.P.; Song, S.; McElroy, M.B. Breaking the hard-to-abate bottleneck in China’s path to carbon neutrality with clean hydrogen. Nat. Energy 2022, 7, 955–965. [Google Scholar] [CrossRef]
- Hauglustaine, D.; Paulot, F.; Collins, W.; Derwent, R.; Sand, M.; Boucher, O. Climate benefit of a future hydrogen economy. Commun. Earth Environ. 2022, 3, 295. [Google Scholar] [CrossRef]
- Kumar, S.; Baalisampang, T.; Arzaghi, E.; Garaniya, V.; Abbassi, R.; Salehi, F. Synergy of green hydrogen sector with offshore industries: Opportunities and challenges for a safe and sustainable hydrogen economy. J. Clean. Prod. 2023, 384, 135545. [Google Scholar] [CrossRef]
- Divya, K.C.; Østergaard, J. Battery energy storage technology for power systems—An overview. Electr. Power Syst. Res. 2009, 79, 511–520. [Google Scholar] [CrossRef]
- Hydrogen Council. Hydrogen Scaling Up: A Sustainable Pathway for the Global Energy Transition; Hidrogen Council: Brussels, Belgium, 2017. [Google Scholar]
- Arsad, A.Z.; Hannan, M.A.; Al-Shetwi, A.Q.; Mansur, M.; Muttaqi, K.M.; Dong, Z.Y.; Blaabjerg, F. Hydrogen energy storage integrated hybrid renewable energy systems: A review analysis for future research directions. Int. J. Hydrogen Energy 2022, 47, 17285–17312. [Google Scholar] [CrossRef]
- Strielkowski, W.; Civín, L.; Tarkhanova, E.; Tvaronavičienė, M.; Petrenko, Y. Renewable energy in the sustainable development of electrical power sector: A review. Energies 2021, 14, 8240. [Google Scholar] [CrossRef]
- Lei, J.; Xie, J.; Gan, D. Optimization of Distributed Energy System and Benefit Analysis of Energy Saving and Emission Reduction. Autom. Electr. Power Syst. 2009, 33, 29–36. [Google Scholar]
- Chao, C.H.; Shieh, J.J. A new control strategy for hybrid fuel cell-battery power system with improved efficiency. Int. J. Hydrogen Energy 2012, 37, 13141–13146. [Google Scholar] [CrossRef]
- Abdelkafi, A.; Krichen, L. Energy management optimization of a hybrid power production unit based renewable energies. Int. J. Electr. Power Energy Syst. 2014, 62, 1–9. [Google Scholar] [CrossRef]
- Carapellucci, R.; Giordano, L. Modeling and optimization of an energy generation island based on renewable technologies and hydrogen storage systems. Int. J. Hydrogen Energy 2012, 37, 2081–2093. [Google Scholar] [CrossRef]
- Avril, S.; Arnaud, G.; Florentin, A.; Vinard, M. Multi-objective optimization of batteries and hydrogen storage technologies for remote photovoltaic systems. Energy 2010, 35, 5300–5308. [Google Scholar] [CrossRef]
- Yang, Q.; Zhang, J.; Liu, Z.; Xia, S.; Li, W. Multi-objective optimization of hybrid PV/wind power supply system. Dianli Xitong Zidonghua/Autom. Electr. Power Syst. 2009, 33, 86–90. [Google Scholar]
- Cai, G.; Sun, Z.; Wang, Y.; Yang, D.; Kong, L. Optimization of under frequency load shedding scheme based on improved system frequency response model. Power Syst. Technol. 2013, 37, 3131–3136. [Google Scholar]
- Li, X.; Li, T.; Liu, L.; Wang, Z.; Li, X.; Huang, J.; Huang, J.; Guo, P.; Xiong, W. Operation optimization for integrated energy system based on hybrid CSP-CHP considering power-to-gas technology and carbon capture system. J. Clean. Prod. 2023, 391, 136119. [Google Scholar] [CrossRef]
- Deng, C.G.; Li, W.K.; Liang, Z.P.; Chen, J.S.; Liang, Y.Z.; Luo, X.L. Economic analysis and optimization for concentrated solar. power-supercritical carbon dioxide Brayton cycle system. Therm. Power Gener. 2021, 50, 59–66. [Google Scholar]
- Comodi, G.; Bartolini, A.; Carducci, F.; Nagaranjan, B.; Romagnoli, A. Achieving low carbon local energy communities in hot climates by exploiting networks synergies in multi energy systems. Appl. Energy 2019, 256, 113901. [Google Scholar] [CrossRef]
- Zhang, S.A.; Liu, G.L. Multi-objective optimization of high efficiency solar electrolytic water hydrogen production system and its performance. CIESJ J. 2023, 74, 1260–1274. [Google Scholar]
- Alirahmi, S.M.; Assereh, E.; Arabkoohsar, A.; Yu, H.; Hosseini, S.M.; Wang, X. Development and multi-criteria optimization of a solar thermal power plant integrated with PEM electrolyzer and thermoelectric generator. Int. J. Hydrogen Energy 2022, 47, 23919–23934. [Google Scholar] [CrossRef]
- Wang, Y.; Wang, Y.; Huang, Y.; Yu, H.; Du, R.; Zhang, F.; Zhang, F.; Zhu, J. Optimal Scheduling of the Regional Integrated Energy System Considering Economy and Environment. IEEE Trans. Sustain. Energy 2019, 10, 1939–1949. [Google Scholar] [CrossRef]
- Li, Z.; Wu, W.; Wang, J.; Zhang, B.; Zheng, T. Transmission-Constrained Unit Commitment Considering Combined Electricity and District Heating Networks. IEEE Trans. Sustain. Energy 2016, 7, 480–492. [Google Scholar] [CrossRef]
- Li, M.; Mu, H.; Li, N.; Ma, B. Optimal design and operation strategy for integrated evaluation of CCHP (combined cooling heating and power) system. Energy 2016, 99, 202–220. [Google Scholar] [CrossRef]
- Zhou, K.; Ferreira, J.A.; Haan, S. Optimal energy management strategy and system sizing method for stand-alone photovoltaic-hydrogen systems. Int. J. Hydrogen Energy 2008, 33, 477–489. [Google Scholar] [CrossRef]
- Conficoni, C.; Bartolini, A.; Tilli, A.; Cavazzoni, C.; Benini, L. Integrated Energy-Aware Management of Supercomputer Hybrid Cooling Systems. IEEE Trans. Ind. Inform. 2016, 12, 1299–1311. [Google Scholar] [CrossRef]
- Ferrario, A.M.; Bartolini, A.; Manzano, F.S.; Vivas, F.J.; Comodi, G.; McPhail, S.J.; Andujar, J.M. A model-based parametric and optimal sizing of a battery/hydrogen storage of a real hybrid microgrid supplying a residential load: Towards island operation. Adv. Appl. Energy 2021, 3, 100048. [Google Scholar] [CrossRef]
- Jin, L.; Rossi, M.; Ferrario, A.M.; Alberizzi, J.C.; Renzi, M.; Comodi, G. Integration of battery and hydrogen energy storage systems with small-scale hydropower plants in off-grid local energy communities. Energy Convers. Manag. 2023, 286, 117019. [Google Scholar] [CrossRef]
- Gallardo, F.; García, J.; Ferrario, A.M.; Comodi, G.; Chiu, J.N.W. Assessing sizing optimality of OFF-GRID AC-linked solar PV-PEM systems for hydrogen production. Int. J. Hydrogen Energy 2022, 47, 27303–27325. [Google Scholar] [CrossRef]
- Superchi, F.; Mati, A.; Carcasci, C.; Bianchini, A. Techno-economic analysis of wind-powered green hydrogen production to facilitate the decarbonization of hard-to-abate sectors: A case study on steelmaking. Appl. Energy 2023, 342, 121198. [Google Scholar] [CrossRef]
- Mirjalili, S.Z.; Mirjalili, S.; Saremi, S.; Faris, H.; Aljarah, I. Grasshopper optimization algorithm for multi-objective optimization problems. Appl. Intell. 2017, 48, 805–820. [Google Scholar] [CrossRef]
- Zitzler, E.; Laumanns, M.; Thiele, L. SPEA2: Improving the Strength Pareto Evolutionary Algorithm; Technical Report; ETH: Zurich, Switzerland, 2001. [Google Scholar] [CrossRef]
- Tejani, G.G.; Kumar, S.; Gandomi, A.H. Multi-objective heat transfer search algorithm for truss optimization. Eng. Comput. 2021, 37, 641–662. [Google Scholar] [CrossRef]
- Kumar, S.; Tejani, G.G.; Pholdee, N.; Bureerat, S. Multi-Objective Passing Vehicle Search algorithm for structure optimization. Expert Syst. Appl. 2021, 169, 114511. [Google Scholar] [CrossRef]
- Kumar, S.; Jangir, P.; Tejani, G.G.; Premkumar, M. MOTEO: A novel physics-based multiobjective thermal exchange optimization algorithm to design truss structures. Knowl. Based Syst. 2022, 242, 108422. [Google Scholar] [CrossRef]
- Kumar, S.; Jangir, P.; Tejani, G.G.; Premkumar, M. A Decomposition based Multi-Objective Heat Transfer Search algorithm for structure optimization. Knowl. Based Syst. 2022, 253, 109591. [Google Scholar] [CrossRef]












| Parameters | Values |
|---|---|
| Rated capacity | 10 kW |
| Height of the turbine hub | 20 m |
| Cut-in speed | 3 m/s |
| Rated speed | 11 m/s |
| Cut-out speed | 25 m/s |
| Friction coefficient | 1/7 |
| Parameters | Values |
|---|---|
| Population size | 200 |
| Maximum number of generations | 20 |
| Latitude | 2000 |
| Crossover probability | 0.9 |
| Crossover operator | 20 |
| Mutation operator | 20 |
| Hydrogen price | 60 CNY/kg |
| Operating cost of electrolyzer | 0.001 CNY/kg |
| Operating cost of battery storage | 0.007 CNY/kg |
| Rated power of electrolyzer | 40 WM |
| Battery rated power | 40 WM |
| Battery rated capacity | 40 WMh |
| Minimum boot time | 10 min |
| Minimum downtime | 5 min |
| Battery initial soc | 12 MW |
Disclaimer/Publisher’s Note: The statements, opinions and data contained in all publications are solely those of the individual author(s) and contributor(s) and not of MDPI and/or the editor(s). MDPI and/or the editor(s) disclaim responsibility for any injury to people or property resulting from any ideas, methods, instructions or products referred to in the content. |
© 2023 by the authors. Licensee MDPI, Basel, Switzerland. This article is an open access article distributed under the terms and conditions of the Creative Commons Attribution (CC BY) license (https://creativecommons.org/licenses/by/4.0/).
Share and Cite
Niu, M.; Li, X.; Sun, C.; Xiu, X.; Wang, Y.; Hu, M.; Dong, H. Operation Optimization of Wind/Battery Storage/Alkaline Electrolyzer System Considering Dynamic Hydrogen Production Efficiency. Energies 2023, 16, 6132. https://doi.org/10.3390/en16176132
Niu M, Li X, Sun C, Xiu X, Wang Y, Hu M, Dong H. Operation Optimization of Wind/Battery Storage/Alkaline Electrolyzer System Considering Dynamic Hydrogen Production Efficiency. Energies. 2023; 16(17):6132. https://doi.org/10.3390/en16176132
Chicago/Turabian StyleNiu, Meng, Xiangjun Li, Chen Sun, Xiaoqing Xiu, Yue Wang, Mingyue Hu, and Haitao Dong. 2023. "Operation Optimization of Wind/Battery Storage/Alkaline Electrolyzer System Considering Dynamic Hydrogen Production Efficiency" Energies 16, no. 17: 6132. https://doi.org/10.3390/en16176132
APA StyleNiu, M., Li, X., Sun, C., Xiu, X., Wang, Y., Hu, M., & Dong, H. (2023). Operation Optimization of Wind/Battery Storage/Alkaline Electrolyzer System Considering Dynamic Hydrogen Production Efficiency. Energies, 16(17), 6132. https://doi.org/10.3390/en16176132
