Sign in to use this feature.

Years

Between: -

Subjects

remove_circle_outline
remove_circle_outline
remove_circle_outline
remove_circle_outline
remove_circle_outline
remove_circle_outline
remove_circle_outline
remove_circle_outline
remove_circle_outline

Journals

Article Types

Countries / Regions

remove_circle_outline
remove_circle_outline

Search Results (201)

Search Parameters:
Keywords = alkaline electrolyzer

Order results
Result details
Results per page
Select all
Export citation of selected articles as:
33 pages, 4991 KB  
Article
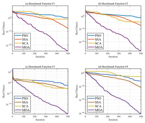
Temperature–Power Adaptive Control Strategy for Multi-Electrolyzer Systems
by Yuxin Xu and Yan Dong
Inventions 2026, 11(2), 41; https://doi.org/10.3390/inventions11020041 - 21 Apr 2026
Viewed by 106
Abstract
Driven by renewable energy, the operating temperatures of alkaline water electrolyzers (AWEs) exhibit significant dynamic variations. Conventional control strategies rely on fixed startup parameters, causing dispatch plans to deviate from actual physical states, which leads to transient over-temperature or startup failures. To address [...] Read more.
Driven by renewable energy, the operating temperatures of alkaline water electrolyzers (AWEs) exhibit significant dynamic variations. Conventional control strategies rely on fixed startup parameters, causing dispatch plans to deviate from actual physical states, which leads to transient over-temperature or startup failures. To address this issue, this paper proposes a dual-layer optimization strategy for multi-electrolyzer systems based on temperature–power adaptation. First, a thermo-electro-hydrogen coupling model is established to quantitatively reveal the dynamic relationship among the initial temperature, startup power, and transition time. This relationship is utilized to construct a dynamic startup boundary, overcoming the limitations of traditional static constraints. Within the proposed framework, the upper layer utilizes a Mixed-Integer Linear Programming (MILP) model to formulate state-switching and baseline power allocation plans derived from short-term forecasts. Concurrently, the lower layer employs the Mongoose Optimization Algorithm (MOA) for real-time rolling optimization, enabling the system to actively perceive temperature variations and adaptively schedule power allocation. Simulations across typical seasonal scenarios validate the strategy’s superiority. In a typical spring scenario, compared to the traditional Daisy Chain and Rotation Control strategies, as well as the Equal Allocation strategy, the proposed approach reduces total startup time and energy consumption by 59.2% and 54.6%, respectively. Furthermore, it increases wind power accommodation rates by 17.7% and 14.2%, and total hydrogen production by 20.0% and 14.9%, respectively. These superior renewable energy utilization and production efficiencies are robustly maintained across typical seasonal scenarios. By actively perceiving actual temperatures for adaptive scheduling, the proposed strategy ultimately ensures synergy and reliability between the control strategy and actual operational constraints under fluctuating conditions. Full article
Show Figures

Figure 1

22 pages, 6997 KB  
Article
Deep-Learning-Based Time-Series Forecasting of Hydrogen Production in a Membraneless Alkaline Water Electrolyzer: A Comparative Analysis of LSTM and GRU Models
by Davut Sevim, Muhammed Yusuf Pilatin, Serdar Ekinci and Erdal Akin
Appl. Sci. 2026, 16(8), 3938; https://doi.org/10.3390/app16083938 - 18 Apr 2026
Viewed by 271
Abstract
Hydrogen production is gaining increasing importance as a key component of the transition toward carbon-neutral energy systems. In this study, the prediction of hydrogen generation in membraneless alkaline water electrolyzers (MAWEs) is investigated using deep-learning-based time-series modeling. A single-input modeling framework is adopted, [...] Read more.
Hydrogen production is gaining increasing importance as a key component of the transition toward carbon-neutral energy systems. In this study, the prediction of hydrogen generation in membraneless alkaline water electrolyzers (MAWEs) is investigated using deep-learning-based time-series modeling. A single-input modeling framework is adopted, where only the system current is used as the input variable. Experimental current signals obtained from long-duration tests conducted at electrolyte concentrations between 5 and 35 g KOH (7200 s per experiment) are employed as the model inputs, while mass-based hydrogen production (in grams) is used as the output variable. Two recurrent neural network architectures, namely Long Short-Term Memory (LSTM) and Gated Recurrent Unit (GRU), are implemented, and their predictive performance is comparatively evaluated using RMSE, MAE, and R2 metrics. In addition to deep learning models, classical approaches including Linear Regression, ARIMA, and Naïve Forecast are also considered for comparison. The results show that both models are capable of accurately reproducing the hydrogen-production dynamics across the entire concentration range. In particular, the prediction accuracy improves notably at medium and high electrolyte concentrations, where the coefficient of determination (R2) approaches 0.98. The residual distributions remain narrow and symmetric around zero, indicating the absence of systematic estimation bias. The results also show that classical models can achieve comparable performance under stable operating conditions, while deep learning models provide advantages in capturing nonlinear and dynamic behavior. While LSTM and GRU exhibit comparable accuracy, each architecture provides complementary advantages under different operating conditions. These findings indicate that deep-learning-based time-series modeling constitutes a lightweight and reliable framework for prediction and control applications in MAWE systems. Overall, this study demonstrates the applicability of data-driven models for the dynamic characterization of membraneless water electrolysis. Full article
(This article belongs to the Special Issue New Trends in Electrode for Electrochemical Analysis)
Show Figures

Figure 1

25 pages, 4330 KB  
Article
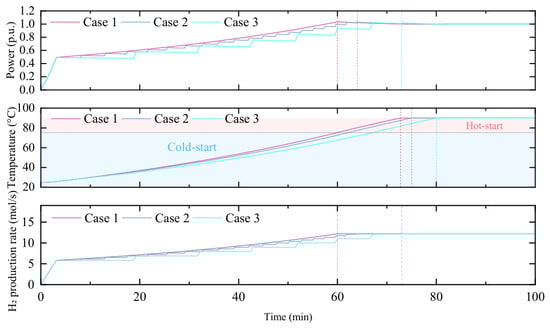
Optimized Operation Strategy for Off-Grid PV/Wind/Hydrogen Systems with Multi-Electrolyzers
by Jing Sun, Yue Guo, Xuyang Wang, Jingru Li, Ruizhang Wang and Haicheng Liu
Energies 2026, 19(8), 1936; https://doi.org/10.3390/en19081936 - 17 Apr 2026
Viewed by 243
Abstract
To improve the economic efficiency and reliability of off-grid renewable energy hydrogen production systems, this paper proposes an integrated optimal variable temperature operation strategy for multi-electrolyzer systems. This paper develops a unified optimization model that deeply integrates the electro-thermal characteristics and dynamic operational [...] Read more.
To improve the economic efficiency and reliability of off-grid renewable energy hydrogen production systems, this paper proposes an integrated optimal variable temperature operation strategy for multi-electrolyzer systems. This paper develops a unified optimization model that deeply integrates the electro-thermal characteristics and dynamic operational states of multiple alkaline water electrolyzers. By actively regulating the operating temperature and optimizing power allocation, the strategy significantly improves economic efficiency under fluctuating power inputs. Furthermore, a collaborative dispatch principle is introduced to ensure balanced aging across the electrolyzer cluster. Simulation results based on real-world wind and solar data demonstrate that compared to traditional rule-based methods, the proposed strategy increases the monthly net profit by up to 14.6% and significantly reduces the frequency of cold and hot starts by 51.21% and 89.41%, respectively. This research provides an efficient and reliable technical framework for the collaborative management of large-scale green hydrogen infrastructure. Full article
(This article belongs to the Special Issue Recent Advances in New Energy Electrolytic Hydrogen Production)
Show Figures

Figure 1

7 pages, 1013 KB  
Proceeding Paper
Potential of Hydrogen as a Future Green Fuel Technology for the Current Industry
by Osama Majeed Butt and Muhammad Shakeel Ahmad
Mater. Proc. 2026, 31(1), 13; https://doi.org/10.3390/materproc2026031013 (registering DOI) - 16 Apr 2026
Viewed by 130
Abstract
Alternative fuel and greenhouse emissions are always a keen focus for researchers aiming to cater to energy demands. There is an urgent need to find new clean and inexhaustible energy sources. In the past few years, hydrogen has gained attention from researchers as [...] Read more.
Alternative fuel and greenhouse emissions are always a keen focus for researchers aiming to cater to energy demands. There is an urgent need to find new clean and inexhaustible energy sources. In the past few years, hydrogen has gained attention from researchers as a green fuel. The scientific and policy maker circles have now widely recognized the practicality of hydrogen as an energy carrier through the due to its clean combustion, ease of transportation, distribution, and utilization. Different ways of its production and its use in different applications have also been widely studied. In this study, a review is carried out on how to produce hydrogen using the electrolysis process by renewable energy and its potential for application in different industries. Hydrogen gas can be used as a fuel to power catalytic boilers, gas-powered heat pumps, and direct-flame combustion boilers that are more or less the same as natural gas boilers. A large variety of district heating techniques can be repurposed to employ hydrogen cost-effectively. The use of hydrogen gas is not limited to combustion engines and industrial applications but is also applicable for house heating purposes. Finally, it is suggested that an alkaline electrolyzer could be energized with renewable sources to produce hydrogen which could be used as an alternative auxiliary fuel for the incineration system in managing municipal solid waste. This could be a step towards a green environment in terms of alternative clean fuel and municipal solid waste management. Full article
Show Figures

Figure 1

30 pages, 3196 KB  
Article
Sustainable Day-Ahead Scheduling Optimization of a Wind–Solar Coupled Hydrogen DC Microgrid with Hybrid Energy Storage Considering Electrolyzer Lifetime
by Haining Wang, Xingyi Xie, Meiqin Mao, Jing Liu, Jinzhong Li, Peng Zhang, Yuguang Xie and Yingying Cheng
Sustainability 2026, 18(7), 3435; https://doi.org/10.3390/su18073435 - 1 Apr 2026
Viewed by 325
Abstract
Wind–solar coupled hydrogen production DC microgrids have significant potential for improving renewable energy utilization and reducing the cost of hydrogen production. However, the randomness of wind–solar power causes frequent electrolyzer start–stop operations, accelerating lifetime degradation, while a single energy storage system cannot simultaneously [...] Read more.
Wind–solar coupled hydrogen production DC microgrids have significant potential for improving renewable energy utilization and reducing the cost of hydrogen production. However, the randomness of wind–solar power causes frequent electrolyzer start–stop operations, accelerating lifetime degradation, while a single energy storage system cannot simultaneously suppress power fluctuations and regulate energy. Therefore, this study proposes a two-stage day-ahead energy scheduling optimization framework. A DBSCAN–K-means hybrid clustering method generates representative wind–solar power scenarios. A supercapacitor-based strategy mitigates high-frequency power fluctuations using empirical mode decomposition. Furthermore, a dual-scenario-driven electrolyzer scheduling strategy adapted to different wind–solar output conditions is developed, where power allocation is determined by battery state-of-charge and electrolyzer operating states, enabling stepwise power compensation and dynamic operating-state optimization. Case studies comparing wind–solar-only supply, a conventional strategy, and the proposed strategy demonstrate that the proposed strategy balances hydrogen production and economic objectives, and reduces annual electrolyzer start–stop cycles by 73%, thereby prolonging electrolyzer lifetime. Furthermore, the proposed framework enhances renewable energy utilization, reduces curtailment, and lowers lifecycle costs, thereby contributing to the development of sustainable hydrogen production systems. Full article
Show Figures

Figure 1

29 pages, 4241 KB  
Article
Research on Integrated Energy System Optimal Operation Considering Electrolyzer Dynamic Operation and Lifetime Degradation
by Ning Wang, Weihao Niu and Teng Zhang
Sustainability 2026, 18(7), 3423; https://doi.org/10.3390/su18073423 - 1 Apr 2026
Viewed by 388
Abstract
While green hydrogen is vital for sustainable energy transitions, the volatility of renewable power adversely affects the dynamic operation and service life of electrolyzers in integrated energy systems (IESs). To mitigate these effects while minimizing operational costs and extending the service life of [...] Read more.
While green hydrogen is vital for sustainable energy transitions, the volatility of renewable power adversely affects the dynamic operation and service life of electrolyzers in integrated energy systems (IESs). To mitigate these effects while minimizing operational costs and extending the service life of electrolyzers, this paper proposes an optimization method for the operation of IESs that considers the dynamic operating characteristics and lifetime degradation of multiple types of electrolyzers. Firstly, detailed models for alkaline (ALK) electrolyzer and proton exchange membrane (PEM) electrolyzer are developed, and their start–stop characteristics and lifetime degradation characteristics are analyzed. Secondly, an optimal operation model for IES is established, taking economy as the optimization objective and considering the dynamic operating characteristics and lifetime degradation of multiple types of electrolyzers. By piecewise linearizing the hydrogen production rate of the electrolyzer, the original model is transformed into a mixed-integer linear programming model for solution. The results indicate that the proposed method can reduce the operational costs of IES, increase the proportion of stable operation time for the electrolyzer, decrease the number of startups and shutdowns, subsequently reduce the cost associated with the lifetime degradation of the electrolyzer, and specifically extend the actual lifetime of the PEM electrolyzer by 12.17% versus its rated life. Ultimately, this approach not only improves the economic viability of the system but also ensures the long-term sustainability of green hydrogen projects by minimizing equipment replacement cycles and maximizing renewable energy accommodation. Full article
Show Figures

Figure 1

17 pages, 2856 KB  
Article
Polarization Characteristics of an Alkaline Water Electrolyzer Under Marine Sloshing Conditions
by Zhenyu Zhao, Wenfeng Wu, Rongsheng Lin and Youfei Liu
J. Mar. Sci. Eng. 2026, 14(7), 660; https://doi.org/10.3390/jmse14070660 - 31 Mar 2026
Viewed by 331
Abstract
Marine hydrogen production systems deployed on ships and floating platforms are inevitably subjected to complex multi-degree-of-freedom motions induced by waves and wind, which may influence electrolyzer performance. However, experimental investigations under realistic marine motion conditions remain limited. In this study, a laboratory-scale alkaline [...] Read more.
Marine hydrogen production systems deployed on ships and floating platforms are inevitably subjected to complex multi-degree-of-freedom motions induced by waves and wind, which may influence electrolyzer performance. However, experimental investigations under realistic marine motion conditions remain limited. In this study, a laboratory-scale alkaline water electrolyzer was installed on a six-degree-of-freedom (6-DOF) motion platform to experimentally investigate the influence of marine sloshing on polarization characteristics. The experimental design focuses on the fluctuation of cell polarization behavior under dynamic conditions using a single-cell configuration. Typical single-degree-of-freedom (SDOF) and coupled multi-degree-of-freedom (MDOF) motions were reproduced to simulate representative marine operating environments. The results show that sloshing motion leads to a moderate increase in cell voltage compared with static conditions. Under SDOF conditions, the voltage increase remains within 7%, with sway and roll identified as the dominant disturbance modes. Under coupled MDOF conditions, the voltage increase is further amplified but remains below 10.2% even under 6-DOF motion. The results also reveal that the effect of coupled motions is nonlinearly weaker than the linear superposition of individual motions. This study provides experimental evidence that alkaline electrolyzers can maintain stable operation under realistic marine dynamic conditions. These deviations correspond to limited efficiency losses and remain within typical engineering tolerances, suggesting that marine motion has a manageable impact on electrolyzer performance and offers practical guidance for offshore system design and control. Full article
Show Figures

Graphical abstract

21 pages, 3510 KB  
Article
Optimal Investment Strategy for Off-Grid Offshore Wind Hydrogen Production: Hybrid and Standalone PEM Electrolyzer Configuration Comparison
by Hanyi Lin, Qing Tong, Sheng Zhou and Cuiping Liao
Clean Technol. 2026, 8(2), 45; https://doi.org/10.3390/cleantechnol8020045 - 24 Mar 2026
Viewed by 440
Abstract
Developing far-offshore wind power integrated with hydrogen production represents a critical pathway for China’s energy decarbonization. However, the investment prospects of off-grid offshore wind-to-hydrogen projects remain highly uncertain due to volatile technology costs and hydrogen prices, complicating the evaluation of project value and [...] Read more.
Developing far-offshore wind power integrated with hydrogen production represents a critical pathway for China’s energy decarbonization. However, the investment prospects of off-grid offshore wind-to-hydrogen projects remain highly uncertain due to volatile technology costs and hydrogen prices, complicating the evaluation of project value and optimal timing. To address the oversimplified treatment of electrolyzer operation and the limited consideration of alkaline electrolyzers in the existing studies, this paper proposes an integrated assessment framework that combines time-series operational simulation with real options analysis. A detailed dynamic model of an alkaline (ALK)–proton exchange membrane (PEM) hybrid configuration is developed to simulate the coordinated hydrogen production under fluctuating wind power. Technical learning effects and stochastic hydrogen price processes are incorporated, and the least-squares Monte Carlo method is applied to determine the optimal investment strategies. A case study of a planned far-offshore wind farm in Guangdong indicates that, compared with a standalone PEM configuration, the hybrid configuration reduces the levelized hydrogen cost by about 15%, increases the investment value by up to 17 times under slow technological progress, and brings forward the optimal investment year by five years, from 2039 to 2034. Sensitivity analysis shows that expected hydrogen prices and discount rates dominate the investment outcomes. Full article
Show Figures

Figure 1

34 pages, 777 KB  
Review
Efficiency, Cost and Sustainability: Electrocatalysts for State-of-the-Art and Emerging Electrolysis Technologies
by Lourdes Hurtado, André Leonide and Ulrich Ulmer
Sustainability 2026, 18(6), 2866; https://doi.org/10.3390/su18062866 - 14 Mar 2026
Cited by 1 | Viewed by 1039
Abstract
Water electrolysis is a key technology for sustainable hydrogen production and a cornerstone of future low-carbon energy systems. However, large-scale deployment is constrained not only by efficiency and cost, but increasingly by the sustainability and availability of materials used in electrocatalysts and membranes. [...] Read more.
Water electrolysis is a key technology for sustainable hydrogen production and a cornerstone of future low-carbon energy systems. However, large-scale deployment is constrained not only by efficiency and cost, but increasingly by the sustainability and availability of materials used in electrocatalysts and membranes. This review provides a materials-centric assessment of state-of-the-art and emerging electrocatalysts for alkaline (AEL), proton exchange membrane (PEM), and solid oxide electrolysis (SOEC) technologies, emphasizing the interdependence of performance, durability, cost, and sustainability. Electrocatalyst activity and stability are linked to cell- and stack-level efficiency, energy demand, and the levelized cost of hydrogen. Life cycle assessment (LCA) and resource criticality analyses are integrated to quantify environmental impacts, supply risks, and recycling potential of key materials, including platinum group metals, nickel, rare earth elements, and ceramic oxides. Particular attention is given to recycling and circularity strategies, which are essential for mitigating material scarcity and reducing upstream emissions, especially in PEM electrolyzers. Emerging catalyst concepts such as single-atom catalysts, high-entropy alloys, and noble-metal-free systems are discussed as promising pathways to reduce critical material dependence. The review concludes by highlighting the need for integrated material–technology–system approaches to enable efficient, scalable, and truly sustainable hydrogen production. Full article
Show Figures

Figure 1

18 pages, 3268 KB  
Article
Enhanced Hydrogen Concurrent Production via Urea Solution Electrolysis Using Mesoporous Nickel Tungstate Precipitated from a Surfactant Template
by Mohamed A. Ghanem, Weaam Al-Sulmi, Abdullah M. Al-Mayouf, Nouf H. Alotaibi and Ivan P. Parkin
Catalysts 2026, 16(3), 258; https://doi.org/10.3390/catal16030258 - 11 Mar 2026
Viewed by 611
Abstract
The manipulation of the electrocatalyst nanoarchitecture, particularly transition metal compounds, regarding size, shape, facets, and composition, significantly enhances the electrocatalytic activity in energy transformations. This study introduces a novel methodology for the precipitation of mesoporous nanoparticles of nickel tungstate (meso-NiWO4) using [...] Read more.
The manipulation of the electrocatalyst nanoarchitecture, particularly transition metal compounds, regarding size, shape, facets, and composition, significantly enhances the electrocatalytic activity in energy transformations. This study introduces a novel methodology for the precipitation of mesoporous nanoparticles of nickel tungstate (meso-NiWO4) using direct chemical deposition from a template of Brij®78 surfactant liquid crystal. Physicochemical analyses revealed the formation of amorphous meso-NiWO4 nanoparticles with dual sizes of 10 ± 3 and 120 ± 8 nm and a specific surface area of 34.2 m2/g, exceeding that of nickel tungstate deposited in the absence of surfactant (bare-NiWO4, 4.0 m2/g). The meso-NiWO4 nanoparticles exhibit improved electrocatalytic stability, reduced charge-transfer resistance (Rct = 1.11 ohm), and a current mass activity of ~365 mA/cm2 mg at 1.6 V vs. RHE during the electrolysis of urea in alkaline solution. Furthermore, by employing meso-NiWO4 in a two-electrode urea electrolyzer, a remarkable 4.8-fold increase in the cathodic hydrogen concurrent production rate was achieved (373.40 µmol/h at a bias potential of 2.0 V), compared to that of the bare-NiWO4 catalyst. The exceptional urea oxidation electroactivity and the enhanced hydrogen evolution rate arise from substantial specific surface area and mesoporous structure, facilitating effective charge transfer and mass transport through the meso-NiWO4 catalyst. Using the surfactant liquid crystal template for electrocatalyst synthesis enables a one-pot deposition of diverse nanoarchitectures and compositions with high surface area at ambient conditions for an improved electrocatalytic and hydrogen green production process. Full article
(This article belongs to the Special Issue 15th Anniversary of Catalysts: Feature Papers in Electrocatalysis)
Show Figures

Graphical abstract

12 pages, 462 KB  
Article
Evaluation of the Disinfection Capacity of Electrolyzed Water and Growth Rates of Listeria monocytogenes on Chives at Different Storages for Ensuring Microbiological Quality of Fresh Vegetable Foods
by Hyeongmo An and Hyeja Chang
Foods 2026, 15(5), 957; https://doi.org/10.3390/foods15050957 - 9 Mar 2026
Viewed by 380
Abstract
Fresh vegetables, especially green onions and chives, are raw ingredients widely consumed by Koreans, and have been linked to Listeria monocytogenes-induced food poisoning. This study aimed to assess microbial contamination levels in commercially available fresh-cut vegetables and produce, compare the effects of [...] Read more.
Fresh vegetables, especially green onions and chives, are raw ingredients widely consumed by Koreans, and have been linked to Listeria monocytogenes-induced food poisoning. This study aimed to assess microbial contamination levels in commercially available fresh-cut vegetables and produce, compare the effects of different types and concentrations of disinfectants on green onions and chives, and determine the growth rate of L. monocytogenes on chives under different storage conditions. Among the five fresh-cut vegetable mix salad products, the average total mesophilic count (TMC) was 2.00 log CFU/g, whereas the crown daisies exhibited the highest levels of raw produce contamination (TMC of 4.14 log CFU/g). The disinfection experiments indicated the elevated disinfectant capacities of electrolyzed water as well as washing under running water against Escherichia coli and L. monocytogenes. Enhanced anti-TMC ability of electrolyzed water were observed in acidic 30 ppm (pH 3.2) and 60 ppm (pH 5.6) of HOCl, and alkaline 100 ppm (pH 8.1) and 200 ppm (pH 8.8) of NaClO. Moreover, in the L. monocytogenes inoculation experiment in chive, the growth rates at 5 °C, 12 °C, and 30 °C were −0.002, 0.023, and 0.030 log CFU/g/h, respectively. This observation suggests that L. monocytogenes cannot grow on chives if stored at 5 °C but can at 12 °C. This study provides scientific evidence to guide the management of microbial quality of fresh produce and fresh-cut vegetables for safer meal provision in home and eating-out settings. Full article
(This article belongs to the Section Food Quality and Safety)
Show Figures

Figure 1

20 pages, 3611 KB  
Article
Green Hydrogen Production Assessment via Integrated Photovoltaic–Electrolyzer Modeling Framework
by Abdullah Alrasheedi, Mousa Marzband and Abdullah Abusorrah
Energies 2026, 19(5), 1316; https://doi.org/10.3390/en19051316 - 5 Mar 2026
Viewed by 600
Abstract
This study examines the impact of photovoltaic (PV) modeling fidelity utilizing single-diode (SDM), double-diode (DDM), and triple-diode (TDM) representations on the precision of hydrogen production (H2P) estimates when integrated with various electrolyzer technologies, specifically proton exchange membrane (PEM), alkaline (AEL), and [...] Read more.
This study examines the impact of photovoltaic (PV) modeling fidelity utilizing single-diode (SDM), double-diode (DDM), and triple-diode (TDM) representations on the precision of hydrogen production (H2P) estimates when integrated with various electrolyzer technologies, specifically proton exchange membrane (PEM), alkaline (AEL), and solid oxide electrolysis cells (SOECs). Precise evaluation of solar-powered green hydrogen (H2) systems necessitated a dependable estimate of PV power under authentic working circumstances. Hourly site-specific irradiance and ambient temperature (Ta) data for Riyadh, Saudi Arabia, were used to calculate PV power outputs, which were then sent to physically based electrolyzer models regulated by electrochemical voltage relationships and Faraday’s law. The findings indicate that while all PV models display the same seasonal patterns, SDM somewhat overestimates yearly PV energy in comparison to DDM and TDM, with relative errors around 0.03%. These discrepancies somewhat affect H2 yield estimations but do not change the relative ranking of electrolyzer technology. Among the assessed options, SOEC consistently produced the highest H2 output, generating approximately 21.8% more H2 than PEM and 9.1% more than AEL, with annual yields of 62.46–62.47 g for PEM, 69.70–69.71 g for AEL, and 76.04–76.05 g for SOEC across the SDM, DDM, and TDM frameworks under equivalent solar power inputs. The findings indicate that the selection of electrolyzer technology significantly impacts H2P more than the choice of a PV model, while high-fidelity PV modeling is crucial for a physically realistic and precise system-level assessment of integrated PV-H2 energy systems. Full article
(This article belongs to the Special Issue Advances in Green Hydrogen Production and Applications)
Show Figures

Figure 1

21 pages, 2799 KB  
Article
An Intelligent Condition-Monitoring Framework for Alkaline Water Electrolyzers Based on Hybrid Physics-Informed Health Indicators
by Jie Liu, Zhiying Wang, Tingting Ma, Xinyue Chen, Zihao Wang, Chao Huang and Yiyang Dai
Sensors 2026, 26(4), 1090; https://doi.org/10.3390/s26041090 - 7 Feb 2026
Viewed by 507
Abstract
Alkaline Water Electrolyzers (AWEs) are critical for green hydrogen production but face operational risks due to volatile renewable energy inputs. This study proposes an intelligent condition-monitoring framework that leverages a hybrid physics-informed machine learning (ML) methodology to construct Health Indicators (HIs). The core [...] Read more.
Alkaline Water Electrolyzers (AWEs) are critical for green hydrogen production but face operational risks due to volatile renewable energy inputs. This study proposes an intelligent condition-monitoring framework that leverages a hybrid physics-informed machine learning (ML) methodology to construct Health Indicators (HIs). The core innovation lies in addressing the challenge of inaccessible internal states. First, a high-fidelity Computational Fluid Dynamics (CFD) model is developed and experimentally validated, serving as a physics-informed data generator to simulate multiphysics behavior under various operating and fault conditions. From this reliable simulation basis, a comprehensive dataset is produced, and eight key operational parameters are derived as HIs. This dataset is then used to train and benchmark three ML models for rapid health state classification. The Multilayer Perceptron (MLP) model achieves superior performance with 90.43% accuracy, effectively translating the validated physical understanding into a fast, deployable intelligent monitoring agent. This work presents a viable pathway for constructing reliable HIs and implementing AI-enhanced condition monitoring for AWEs, contributing to safer and more efficient green hydrogen production. Full article
Show Figures

Figure 1

31 pages, 4062 KB  
Article
Simulation-Based Performance and Cost Optimization of Alkaline Electrolyzers
by Sami Şaban Demirezen, Ahmed Emin Kılıç, Selahattin Çelik, Hasan Ozcan and Bahman Amini Horri
Energies 2026, 19(3), 835; https://doi.org/10.3390/en19030835 - 4 Feb 2026
Viewed by 724
Abstract
The acceleration of the green energy transition has reinforced the importance of reliable, cost-effective hydrogen production technologies. Alkaline water electrolyzers (AWEs) have become a critical option due to their lack of requirement of platinum group metals, as well as their scalability; however, the [...] Read more.
The acceleration of the green energy transition has reinforced the importance of reliable, cost-effective hydrogen production technologies. Alkaline water electrolyzers (AWEs) have become a critical option due to their lack of requirement of platinum group metals, as well as their scalability; however, the materials, geometry, and operating conditions used must be comprehensively evaluated alongside electricity costs. This study presents an approach that directly integrates a COMSOL-based electrochemical polarization model with a techno-economic module and validates the results against published U–J curves and 2024 public LCOH ranges. The scans across the 25 kW–10 MW range show that temperature and separator porosity are the most powerful factors affecting performance; narrow cell gaps significantly reduce ohmic losses, and the electrolyte concentration provides limited additional benefit beyond a certain threshold. KOH outperforms NaOH under most conditions, but the difference between the two electrolytes narrows as temperature increases. Economic analyses confirm that electricity price is the dominant determinant of LCOH; levels of 4–5 $·kg−1 are achievable at the MW scale, while high-cost scenarios reach 7–10 $·kg−1. In conclusion, the study provides a validated and scalable framework for the joint optimization of AWE design and operation. Full article
(This article belongs to the Section A5: Hydrogen Energy)
Show Figures

Figure 1

18 pages, 2949 KB  
Article
Modeling the Characteristics of an Alkaline Electrolyzer When Powered by a Rectangular Pulse Train
by Krzysztof Górecki, Michał Lewandowski and Przemysław Ptak
Energies 2026, 19(3), 622; https://doi.org/10.3390/en19030622 - 25 Jan 2026
Viewed by 494
Abstract
This paper presents the results of modeling the DC and dynamic characteristics of an alkaline electrolyzer. A model of such an electrolyzer is proposed as a subcircuit for the SPICE software. This model describes DC and dynamic current–voltage characteristics of the electrolyzer, taking [...] Read more.
This paper presents the results of modeling the DC and dynamic characteristics of an alkaline electrolyzer. A model of such an electrolyzer is proposed as a subcircuit for the SPICE software. This model describes DC and dynamic current–voltage characteristics of the electrolyzer, taking into account the effect of solution concentration on the electrolyzer internal resistance and electrolyte capacitance, as well as the resistance and inductance of the leads. Using this model, one can calculate the voltage and current waveforms across the electrolyzer, as well as the gas flow rate produced by the electrolyzer. The correctness of the developed model was experimentally verified by powering the electrolyzer using a DC source and by powering the device using a voltage source, generating a rectangular pulse train with an adjustable frequency and duty cycle. The measurement system is described, and the obtained calculation and measurement results are presented and discussed. It was shown that the obtained calculation results differed minimally from the measurement results across a wide range of frequencies (from 0 to 50 kHz), duty cycles (from 0.3 to 0.7) of the supply voltage, and concentrations of the electrolyte (from 0.1 to 10%). The mean square error, normalized to peak measured values of each considered quantity, does not exceed 4%. Full article
(This article belongs to the Section A5: Hydrogen Energy)
Show Figures

Figure 1

Back to TopTop