Rabies Vaccination of 6-Week-Old Puppies Born to Immunized Mothers: A Randomized Controlled Trial in a High-Mortality Population of Owned, Free-Roaming Dogs
Abstract
1. Introduction
2. Methods
2.1. Study Design
2.2. Study Population
2.3. Treatment Group Allocation and Blinding
2.4. Baseline Characteristics
2.5. Follow Up
2.6. Immunogenicity
2.7. Sample Size and Statistical Analysis
3. Results
3.1. Immunogenicity
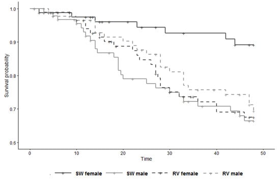
3.2. Survival Analysis
4. Discussion
Supplementary Materials
Author Contributions
Funding
Acknowledgments
Conflicts of Interest
References
- Abela-Ridder, B.; Knopf, L.; Martin, S.; Taylor, L.; Torres, G.; de Balogh, K. 2016: The beginning of the end of rabies? Lancet Glob. Health 2016, 4, e780–e781. [Google Scholar] [CrossRef]
- Food and Agriculture Organization of the United Nations; World Organisation for Animal Health; World Health Organization and Global Alliance for Rabies Control. Zero by 30: The Global Strategic Plan to End Human Deaths from Dog-Mediated Rabies by 2030; WHO/FAO/OIE: Geneva, Switzerland, 2018; Available online: https://apps.who.int/iris/bitstream/handle/10665/272756/9789241513838-eng.pdf?ua=1 (accessed on 28 November 2019).
- Anderson, A.; Kotzé, J.; Shwiff, S.A.; Hatch, B.; Slootmaker, C.; Conan, A.; Knobel, D.; Nel, L.H. A bioeconomic model for the optimization of local canine rabies control. PLoS Negl. Trop. Dis. 2019, 13, e0007377. [Google Scholar] [CrossRef] [PubMed]
- World Health Organization. WHO Expert Consultation on Rabies; Third Report; WHO Technical Report Series No. 1012; WHO: Geneva, Switzerland, 2018; pp. 81–85. [Google Scholar]
- World Organisation for Animal Health. Rabies (infection with rabies virus and other lyssaviruses). In Manual of Diagnostic Tests and Vaccines for Terrestrial Animals; OIE: Paris, France, 2018; pp. 598–612. [Google Scholar]
- Bishop, G.C.; Durrheim, D.N.; Kloeck, P.E.; Godlonton, J.D.; Bingham, J.; Speare, R. Rabies: Guide for the Medical, Veterinary and Allied Professions, 2nd ed.; Department of Agriculture, Forestry and Fisheries: Pretoria, South Africa, 2010. Available online: http://www.nicd.ac.za/assets/files/B5_rabies_revised_2010(2).pdf (accessed on 28 November 2019).
- Morters, M.K.; McNabb, S.; Horton, D.L.; Fooks, A.R.; Schoeman, J.P.; Whay, H.R.; Wood, J.L.; Cleaveland, S. Effective vaccination against rabies in puppies in rabies endemic regions. Vet. Rec. 2015, 177, 150. [Google Scholar] [CrossRef] [PubMed]
- Kristensen, I.; Aaby, P.; Jensen, H. Routine vaccinations and child survival: Follow up study in Guinea-Bissau, West Africa. BMJ 2000, 321, 1435–1438. [Google Scholar] [CrossRef]
- Aaby, P.; Jensen, H.; Gomes, J.; Fernandes, M.; Lisse, I.M. The introduction of diphtheria-tetanus-pertussis vaccine and child mortality in rural Guinea-Bissau: An observational study. Int. J. Epidemiol. 2004, 33, 374–380. [Google Scholar] [CrossRef]
- Aaby, P.; Ravn, H.; Fisker, A.B.; Rodrigues, A.; Benn, C.S. Is diphtheria-tetanus-pertussis (DTP) associated with increased female mortality? A meta-analysis testing the hypotheses of sex-differential non-specific effects of DTP vaccine. Trans. R. Soc. Trop. Med. Hyg. 2016, 110, 570–581. [Google Scholar] [CrossRef]
- Pollard, A.J.; Finn, A.; Curtis, N. Non-specific effects of vaccines: Plausible and potentially important, but implications uncertain. Arch. Dis. Child. 2017, 102, 1077–1081. [Google Scholar] [CrossRef]
- Higgins, J.P.T.; Soares-Weiser, K.; López-López, J.A.; Kakourou, A.; Chaplin, K.; Christensen, H.; Martin, N.K.; Sterne, J.A.C.; Reingold, A.L. Association of BCG, DTP, and measles containing vaccines with childhood mortality: Systematic review. BMJ 2016, 355, i5170. [Google Scholar] [CrossRef]
- Farrington, C.P.; Firth, M.J.; Moulton, L.H.; Ravn, H.; Andersen, P.K.; Evans, S.; Working Group on Non-specific effects of Vaccines. Epidemiological studies of the non-specific effects of vaccines: II—Methodological issues in the design and analysis of cohort studies. Trop. Med. Int. Health. 2009, 14, 977–985. [Google Scholar] [CrossRef]
- Klein, S.L.; Shann, F.; Moss, W.J.; Benn, C.S.; Aaby, P. RTS,S malaria vaccine and increased mortality in girls. mBio 2016, 7, e00514-16. [Google Scholar] [CrossRef]
- Guerra Mendoza, Y.; Garric, E.; Leach, A.; Lievens, M.; Ofori-Anyinam, O.; Pircon, J.Y.; Stegmann, J.U.; Vandoolaeghe, P.; Otieno, L.; Otieno, W.; et al. Safety profile of the RTS,S/AS01 malaria vaccine in infants and children: Additional data from a phase III randomized controlled trial in sub-Saharan Africa. Hum. Vaccin. Immunother. 2019, 15, 2386–2398. [Google Scholar] [CrossRef] [PubMed]
- Klein, S.L.; Marriott, I.; Fish, E.N. Sex-based differences in immune function and responses to vaccination. Trans. R. Soc. Trop. Med. Hyg. 2015, 109, 9–15. [Google Scholar] [CrossRef] [PubMed]
- Klein, S.; Flanagan, K. Sex differences in immune responses. Nat. Rev. Immunol. 2016, 16, 626–638. [Google Scholar] [CrossRef] [PubMed]
- Flanagan, K.L.; Fink, A.L.; Plebanski, M.; Klein, S.L. Sex and gender differences in the outcomes of vaccination over the life course. Annu. Rev. Cell Dev. Biol. 2017, 33, 577–599. [Google Scholar] [CrossRef]
- Fischinger, S.; Boudreau, C.M.; Butler, A.L.; Streeck, H.; Alter, G. Sex differences in vaccine-induced humoral immunity. Semin. Immunopathol. 2019, 41, 239–249. [Google Scholar] [CrossRef]
- Aaby, P.; Martins, C.L.; Garly, M.L.; Andersen, A.; Fisker, A.B.; Claesson, M.H.; Ravn, H.; Rodrigues, A.; Whittle, H.C.; Benn, C.S. Measles vaccination in the presence or absence of maternal measles antibody: Impact on child survival. Clin. Infect. Dis. 2014, 59, 484–492. [Google Scholar] [CrossRef]
- Aubert, M.F. Practical significance of rabies antibodies in cats and dogs. Rev. Sci. Tech. 1992, 11, 735–760. [Google Scholar] [CrossRef]
- Conan, A.; Akerele, O.; Simpson, G.; Reininghaus, B.; van Rooyen, J.; Knobel, D. Population dynamics of owned, free-roaming dogs: Implications for rabies control. PLoS Negl. Trop. Dis. 2015, 9, e0004177. [Google Scholar] [CrossRef]
- Kolo, F.B. Mortality Rates and Survival Analysis of a Cohort of Owned Adult Dogs and Puppies in Hluvukani, Bushbuckridge, South Africa. Master’s Thesis, University of Pretoria, Pretoria, South Africa, 2015. [Google Scholar]
- Cliquet, F.; Aubert, M.; Sagné, L. Development of a fluorescent antibody virus neutralisation test (FAVN test) for the quantitation of rabies-neutralising antibody. J. Immunol. Methods 1998, 212, 79–87. [Google Scholar] [CrossRef]
- Knobel, D.L.; Arega, S.; Reininghaus, B.; Simpson, G.J.G.; Gessner, B.D.; Stryhn, H.; Conan, A. Rabies vaccine is associated with decreased all-cause mortality in dogs. Vaccine 2017, 35, 3844–3849. [Google Scholar] [CrossRef]
- Kleinbaum, D.G.; Klein, M. Survival Analysis: A Self-Learning Text, 3rd ed.; Springer: Berlin/Heidelberg, Germany, 2012. [Google Scholar]
- Pocock, S.J.; McMurray, J.J.V.; Collier, T.J. Statistical controversies in reporting of clinical trials: Part 2 of a 4-part series on statistics for clinical trials. J. Am. Coll. Cardiol. 2015, 66, 2648–2662. [Google Scholar] [CrossRef] [PubMed]
- Chappuis, G. Neonatal immunity and immunisation in early age: Lessons from veterinary medicine. Vaccine 1998, 16, 1468–1472. [Google Scholar] [CrossRef]
- Wallace, R.M.; Pees, A.; Blanton, J.B.; Moore, S.M. Risk factors for inadequate antibody response to primary rabies vaccination in dogs under one year of age. PLoS Negl. Trop. Dis. 2017, 11, e0005761. [Google Scholar] [CrossRef] [PubMed]
- Aaby, P.; Jensen, H.; Garly, M.-L.; Bale, C.; Martins, C.; Lisse, I. Routine vaccinations and child survival in a war situation with high mortality: Effect of gender. Vaccine 2002, 21, 15–20. [Google Scholar] [CrossRef]
- Aaby, P.; Jensen, H.; Samb, B.; Cisse, B.; Sodemann, M.; Jakobsen, M.; Poulsen, A.; Rodrigues, A.; Lisse, I.M.; Simondon, F.; et al. Differences in female-male mortality after high-titre measles vaccine and association with subsequent vaccination with diphtheria-tetanus-pertussis and inactivated poliovirus: Reanalysis of West African studies. Lancet 2003, 361, 2183–2188. [Google Scholar] [CrossRef]
- Aaby, P.; Jensen, H.; Rodrigues, A.; Garly, M.-L.; Benn, C.S.; Lisse, I.M.; Simondon, F. Divergent female–male mortality ratios associated with different routine vaccinations among female–male twin pairs. Int. J. Epidemiol. 2004, 33, 367–373. [Google Scholar] [CrossRef]
- Aaby, P.; Rodrigues, A.; Biai, S.; Martins, C.; Veirum, J.E.; Benn, C.S.; Jensen, H. Oral polio vaccination and low case fatality at the paediatric ward in Bissau, Guinea-Bissau. Vaccine 2004, 22, 3014–3017. [Google Scholar] [CrossRef]
- Aaby, P.; Jensen, H.; Walraven, G. Age-specific changes in the female–male mortality ratio related to the pattern of vaccinations: An observational study from rural Gambia. Vaccine 2006, 24, 4701–4708. [Google Scholar] [CrossRef]
- Aaby, P.; Ravn, H.; Roth, A.; Rodrigues, A.; Lisse, I.M.; Diness, B.R.; Lausch, K.R.; Lund, N.; Rasmussen, J.; Biering-Sørensen, S.; et al. Early diphtheria-tetanus-pertussis vaccination associated with higher female mortality and no difference in male mortality in a cohort of low birthweight children: An observational study within a randomised trial. Arch. Dis. Child. 2012, 97, 685–691. [Google Scholar] [CrossRef]
- Aaby, P.; Benn, C.; Nielsen, J.; Lisse, I.M.; Rodrigues, A.; Ravn, H. Testing the hypothesis that diphtheria–tetanus–pertussis vaccine has negative non-specific and sex-differential effects on child survival in high-mortality countries. BMJ Open 2012, 2, e000707. [Google Scholar] [CrossRef]
- Aaby, P.; Kollmann, T.R.; Benn, C.S. Nonspecific effects of neonatal and infant vaccination: Public-health, immunological and conceptual challenges. Nat. Immunol. 2014, 15, 895–899. [Google Scholar] [CrossRef] [PubMed]
- Benn, C.S.; Netea, M.G.; Selin, L.K.; Aaby, P. A small jab—A big effect: Nonspecific immunomodulation by vaccines. Trends Immunol. 2013, 34, 431–439. [Google Scholar] [CrossRef] [PubMed]
- United Nations Department of Economic and Social Affairs Population Division. Sex Differentials in Childhood Mortality; ST/ESA/SER.A/314; United Nations: New York, NY, USA, 2011. [Google Scholar]
- Sawyer, C.C. Child mortality estimation: Estimating sex differences in childhood mortality since the 1970s. PLoS Med. 2012, 9, e1001287. [Google Scholar] [CrossRef] [PubMed]
- Dicker, D.; Nguyen, G.; Abate, D.; Abate, K.H.; Abay, S.M.; Abbafati, C.; Abbasi, N.; Abbastabar, H.; Abd-Allah, F.; Abdela, J.; et al. Global, regional, and national age-sex-specific mortality and life expectancy, 1950–2017: A systematic analysis for the Global Burden of Disease Study 2017. Lancet 2018, 392, 1684–1735. [Google Scholar] [CrossRef]
- Klein, S.L. Hormonal and immunological mechanisms mediating sex differences in parasite infection. Parasite Immunol. 2004, 26, 247–264. [Google Scholar] [CrossRef]
- Muenchhoff, M.; Goulder, P.J.R. Sex differences in pediatric infectious diseases. J. Infect. Dis. 2014, 209 (Suppl. 3), S120–S126. [Google Scholar] [CrossRef]
- vom Steeg, L.G.; Klein, S.L. SeXX matters in infectious disease pathogenesis. PLoS Pathog. 2016, 12, e1005374. [Google Scholar] [CrossRef]
- Roberts, C.W.; Walker, W.; Alexander, J. Sex-associated hormones and immunity to protozoan parasites. Clin. Microbiol. Rev. 2001, 14, 476–488. [Google Scholar] [CrossRef]
- Snider, H.; Lezama-Davila, C.; Alexander, J.; Satoskar, A.R. Sex hormones and modulation of immunity against leishmaniasis. Neuroimmunomodulation 2009, 16, 106–113. [Google Scholar] [CrossRef]
- Bernin, H.; Lotter, H. Sex bias in the outcome of human tropical infectious diseases: Influence of steroid hormones. J. Infect. Dis. 2014, 209 (Suppl. 3), S107–S113. [Google Scholar] [CrossRef]
- Thys, S.; Knobel, D.L.; Simpson, G.J.G.; van Rooyen, J.; Marcotty, T.; Gabriël, S.; Dorny, P.; Boelaert, M. Knowledge and perceptions of dog ownership and rabies control among the Mnisi community, Mpumalanga, South Africa. Anthrozoös. Submitted.
- Cook, I.F. Sexual dimorphism of humoral immunity with human vaccines. Vaccine 2008, 26, 3551–3555. [Google Scholar] [CrossRef] [PubMed]
- Donzelli, A.; Schivalocchi, A.; Giudicatti, G. Non-specific effects of vaccinations in high-income settings: How to address the issue? Hum. Vaccin. Immunother. 2018, 14, 2904–2910. [Google Scholar] [CrossRef] [PubMed]
- Jensen, H.; Benn, C.S.; Lisse, I.M.; Rodrigues, A.; Andersen, P.K.; Aaby, P. Survival bias in observational studies of the impact of routine immunizations on childhood survival. Trop. Med. Int. Health. 2007, 12, 5–14. [Google Scholar] [CrossRef] [PubMed]
- Gessner, B.D.; Wraith, D.C.; Finn, A. CNS infection safety signal of RTS,S/AS01 and possible association with rabies vaccine. Lancet 2016, 387, 1376. [Google Scholar] [CrossRef]
- Gessner, B.D.; Knobel, D.L.; Conan, A.; Finn, A. Could the RTS,S/AS01 meningitis safety signal really be a protective effect of rabies vaccine? Vaccine 2017, 35, 716–721. [Google Scholar] [CrossRef]
- World Health Organization. Recommendations for Inactivated Rabies Vaccine for Human Use Produced in Cell Substrates and Embryonated Eggs; WHO Technical Report Series No. 941 (Annex 2); WHO: Geneva, Switzerland, 2007; pp. 83–132. Available online: https://www.who.int/biologicals/publications/trs/areas/vaccines/rabies/en/ (accessed on 28 November 2019).
- Brookes, S.T.; Whitley, E.; Peters, T.J.; Mulheran, P.A.; Egger, M.; Davey Smith, G. Subgroup analyses in randomised controlled trials: Quantifying the risks of false-positives and false-negatives. Health Technol. Assess. 2001, 5, 33. [Google Scholar] [CrossRef]
- Brookes, S.T.; Whitely, E.; Egger, M.; Smith, G.D.; Mulheran, P.A.; Peters, T.J. Subgroup analyses in randomized trials: Risks of subgroup-specific analyses; power and sample size for the interaction test. J. Clin. Epidemiol. 2004, 57, 229–236. [Google Scholar] [CrossRef]
- Howe, C.J.; Cole, S.R.; Lau, B.; Napravnik, S.; Eron, J.J., Jr. Selection bias due to loss to follow up in cohort studies. Epidemiology 2016, 27, 91–97. [Google Scholar] [CrossRef]
- Klein, S.L.; Poland, G.A. Personalized vaccinology: One size and dose might not fit both sexes. Vaccine 2013, 31, 2599–2600. [Google Scholar] [CrossRef]



| Characteristic | Sterile Water (SW) | Rabies Vaccine (RV) |
|---|---|---|
| Number allocated | 179 | 179 |
| Demographics | ||
| Male, n (%) | 93 (52.0) | 91 (50.8) |
| Age in days, median (range) | 42 (40–45) | 42 (39–45) |
| Dam days between vaccination and birth, median (range) a | 208 (3–555) | 211 (5–555) |
| Housing | ||
| Primary caretaker, n (%) | ||
| All members of household | 97 (54.2) | 94 (52.5) |
| Head of household | 57 (31.8) | 61 (34.1) |
| Children | 20 (11.2) | 16 (8.9) |
| Other | 2 (1.1) | 5 (2.8) |
| No response | 3 (1.7) | 3 (1.7) |
| Housing type, n (%) | ||
| Mostly inside | 116 (64.8) | 116 (64.8) |
| Mostly outside | 47 (26.3) | 50 (27.9) |
| Other | 13 (7.3) | 10 (5.6) |
| No response | 3 (1.7) | 3 (1.7) |
| Health | ||
| Owner-reported growth, n (%) | ||
| Normal weight-gain | 148 (82.7) | 151 (84.4) |
| Less than expected weight-gain | 22 (12.3) | 20 (11.2) |
| Other | 6 (3.4) | 5 (2.8) |
| No response | 3 (1.7) | 3 (1.7) |
| Weight in grams, mean (sd) b | 2037 (699) | 2031 (731) |
| Packed cell volume, mean (sd) c | 23.0 (5.4) | 22.9 (5.4) |
| Total protein in g/dL, mean (sd) d | 5.2 (0.7) | 5.2 (0.7) |
| RVNA titres in IU/mL, geometric mean (gsd) e | 0.07 (1.90) | 0.06 (1.79) |
| Percent with RVNA titres ≥0.5 IU/mL e | 3.5 | 1.7 |
| Control Group (SW at 6 Weeks + RV at 13 Weeks) | Treatment Group (RV at 6 Weeks + RV at 13 Weeks) | |||||
|---|---|---|---|---|---|---|
| Age | n | GMT in IU/mL (95% CI) | Seroresponse (95% CI) | n | GMT in IU/mL (95% CI) | Seroresponse (95% CI) |
| 6 weeks | 173 | 0.066 (0.060–0.073) | 3.5% (1.3–7.4) | 173 | 0.064 (0.059–0.070) | 1.7% (0.4–4.0) |
| 9 weeks | 106 | 0.064 (0.057–0.071) | 2.8% (0.6–8.0) | 117 | 1.47 (1.19–1.83) | 88.0% (80.7–93.3) |
| 16 weeks | 50 | 1.18 (0.80–1.74) | 84.0% (70.9–92.8) | 49 | 2.73 (1.83–4.06) | 91.8% (80.4–97.7) |
| Primary Vaccination Timepoint | GMT in IU/mL (95% CI) | Seroresponse (95% CI) | ||||
|---|---|---|---|---|---|---|
| Females | Males | p-Value | Females | Males | p-Value | |
| 6 weeks (treatment group) | 1.53 (1.15–2.05) | 1.42 (1.03–1.96) | 0.71 | 89.1% (77.8–95.9) | 87.1% (76.1–94.3) | 0.78 |
| 13 weeks (control group) | 1.51 (0.93–2.45) | 0.90 (0.48–1.70) | 0.20 | 88.5% (69.8–97.6) | 79.2% (57.8–92.9) | 0.46 |
| Sterile Water | Rabies Vaccine | HRs (95% CI) for RV within Strata of Sex | |||
|---|---|---|---|---|---|
| Mortality Rate a (Deaths/Dog-Years) | HR (95% CI) b | Mortality rate a (Deaths/Dog-Years) | HR (95% CI) b | ||
| Females | 844 (7/8.3) | 1 (reference) | 2813 (24/8.5) | 3.09 (1.24−7.69) | 3.09 (1.24−7.69) |
| Males | 3030 (26/8.6) | 3.67 (1.43−9.39) | 2525 (23/9.1) | 2.89 (1.18−7.11) | 0.79 (0.41−1.53) |
© 2020 by the authors. Licensee MDPI, Basel, Switzerland. This article is an open access article distributed under the terms and conditions of the Creative Commons Attribution (CC BY) license (http://creativecommons.org/licenses/by/4.0/).
Share and Cite
Arega, S.; Conan, A.; Sabeta, C.T.; Crafford, J.E.; Wentzel, J.; Reininghaus, B.; Biggs, L.; Leisewitz, A.L.; Quan, M.; Toka, F.; et al. Rabies Vaccination of 6-Week-Old Puppies Born to Immunized Mothers: A Randomized Controlled Trial in a High-Mortality Population of Owned, Free-Roaming Dogs. Trop. Med. Infect. Dis. 2020, 5, 45. https://doi.org/10.3390/tropicalmed5010045
Arega S, Conan A, Sabeta CT, Crafford JE, Wentzel J, Reininghaus B, Biggs L, Leisewitz AL, Quan M, Toka F, et al. Rabies Vaccination of 6-Week-Old Puppies Born to Immunized Mothers: A Randomized Controlled Trial in a High-Mortality Population of Owned, Free-Roaming Dogs. Tropical Medicine and Infectious Disease. 2020; 5(1):45. https://doi.org/10.3390/tropicalmed5010045
Chicago/Turabian StyleArega, Sintayehu, Anne Conan, Claude T. Sabeta, Jan E. Crafford, Jeanette Wentzel, Bjorn Reininghaus, Louise Biggs, Andrew L. Leisewitz, Melvyn Quan, Felix Toka, and et al. 2020. "Rabies Vaccination of 6-Week-Old Puppies Born to Immunized Mothers: A Randomized Controlled Trial in a High-Mortality Population of Owned, Free-Roaming Dogs" Tropical Medicine and Infectious Disease 5, no. 1: 45. https://doi.org/10.3390/tropicalmed5010045
APA StyleArega, S., Conan, A., Sabeta, C. T., Crafford, J. E., Wentzel, J., Reininghaus, B., Biggs, L., Leisewitz, A. L., Quan, M., Toka, F., & Knobel, D. L. (2020). Rabies Vaccination of 6-Week-Old Puppies Born to Immunized Mothers: A Randomized Controlled Trial in a High-Mortality Population of Owned, Free-Roaming Dogs. Tropical Medicine and Infectious Disease, 5(1), 45. https://doi.org/10.3390/tropicalmed5010045

