Exploring Pro-Environmental Behaviors and Health-Oriented Mindsets in Urban Slum Upgrading Projects: A Case Study of Surakarta City, Indonesia
Abstract
1. Introduction
2. Methodology
2.1. Questionnaire Survey Design
2.2. Selection of Target Area and Recruitment of Survey Participants
3. Results
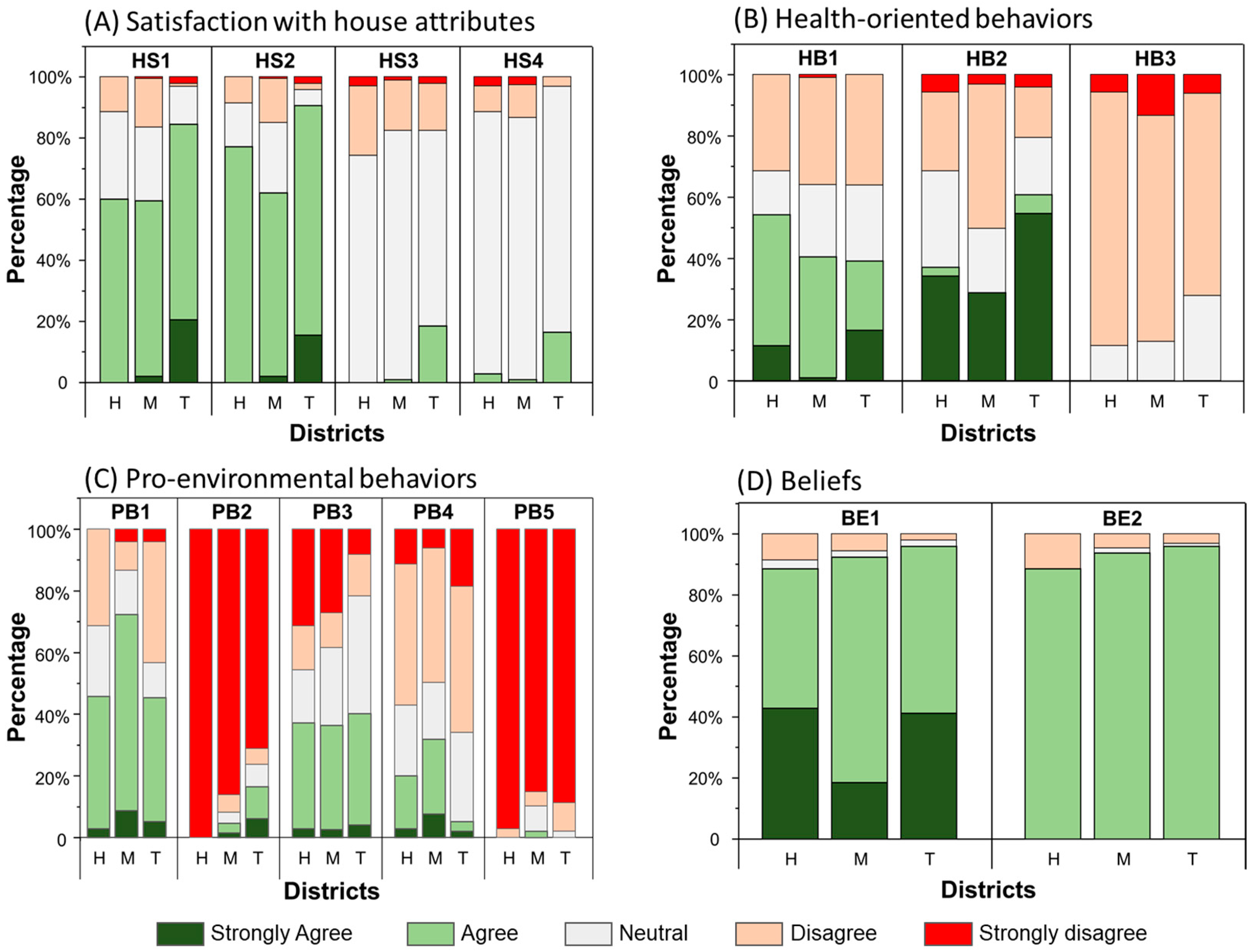
3.1. Questionnaire Survey Results
3.2. Cluster Analysis Results
3.2.1. Number of Clusters
3.2.2. Cluster Characteristics
3.2.3. Cluster Demographic Typologies
3.2.4. Spearman Rank Correlation Across Clusters
4. Discussion and Recommendations
4.1. Reflection of Survey Outcomes
4.2. Potential Policy Recommendations for Each Cluster
5. Conclusions
Author Contributions
Funding
Institutional Review Board Statement
Informed Consent Statement
Data Availability Statement
Acknowledgments
Conflicts of Interest
References
- UN-Habitat. Unpacking the Value of Sustainable Urbanization; United Nations Human Settlements Programme Report; UN-Habitat: Nairobi, Kenya, 2020. [Google Scholar]
- UN-Habitat. Global Action Plan (GAP) Launch: Accelerating for Transforming Informal Settlements and Slums by 2030; United Nations Humant Settlements Programme Report; UN-Habitat: Nairobi, Kenya, 2022. [Google Scholar]
- Anindito, D.B.; Indriansyah, N.R.; Maula, F.K.; Akbar, R. A quantitative perspective on kampung kota: Elaborating definition and variables of Indonesian informal settlements: Case study: Kelurahan Tamansari, Bandung City. Int. Rev. Spat. Plan. Sustain. Dev. 2019, 7, 53–74. [Google Scholar] [CrossRef] [PubMed]
- Woolf, S.; Twigg, J.; Parikh, P.; Karaoglou, A.; Cheaib, T. Towards measurable resilience: A novel framework tool for the assessment of resilience levels in slums. Int. J. Disaster Risk Reduct. 2016, 19, 280–302. [Google Scholar] [CrossRef]
- Dhabhalabutr, K. The Empowerment of the Slum Inhabitant as a Primary Agent of Low-Income Housing: Slum Upgrading in Thailand between 1980 and 2011. Procedia-Soc. Behav. Sci. 2016, 216, 428–439. [Google Scholar] [CrossRef]
- Azarnert, L. Migration, Congestion, and Growth. Macroecon. Dyn. 2019, 23, 3035–3064. [Google Scholar] [CrossRef]
- Azarnert, L. Population sorting and human capital accumulation. Oxf. Econ. Pap. 2023, 75, 780–801. [Google Scholar] [CrossRef]
- Ntegwa, M.J.; Olan’g, L.S. Explaining the rise of economic and rural-urban inequality in clean cooking fuel use in Tanzania. Heliyon 2024, 10, e23910. [Google Scholar] [CrossRef] [PubMed]
- Wu, X.; Xu, X.; Chen, G.; Liao, W.; Liu, X. Exploring urban building space provision and inequality: A three-dimensional perspective on Chinese cities toward sustainable development goals. Sustain. Cities Soc. 2024, 102, 105202. [Google Scholar] [CrossRef]
- Rigon, A. Diversity, justice and slum upgrading: An intersectional approach to urban development. Habitat. Int. 2022, 130, 102691. [Google Scholar] [CrossRef]
- Handayani, K.N.; Murtyas, S.; Wijayanta, A.T.; Hagishima, A. Thermal Comfort Challenges in Home-Based Enterprises: A Field Study from Surakarta’s Urban Low-Cost Housing in a Tropical Climate. Sustainability 2024, 16, 6838. [Google Scholar] [CrossRef]
- Christley, E.; Ljungberg, H.; Ackom, E.; Nerini, F.F. Sustainable energy for slums? Using the Sustainable Development Goals to guide energy access efforts in a Kenyan informal settlement. Energy Res. Soc. Sci. 2021, 79, 102176. [Google Scholar] [CrossRef]
- The World Bank. Aspiring Indonesia—Expanding the Middle Class. In Aspiring Indones Middle Cl; The World Bank: Washington, DC, USA, 2019. [Google Scholar] [CrossRef]
- alensky, M.; Aqshal, J.; Sari, F.P.L.; Farabi, A. Supporting Sustainable Communities in Slum Settlement Areas by Optimizing Geospatial Technology and Land Management Approaches in Kertapati District, Palembang. GMPI Conf. Ser. 2023, 2, 33–47. [Google Scholar] [CrossRef]
- Kreimer, A.; Gilbert, R.; Volonte, C.; Brown, G. Enhancing the Quality of Life in Urban Indonesia: The Legacy of Kampung Improvement Program; The World Bank: Washington DC, USA, 1995. [Google Scholar]
- Juliman, D. The world’ s first slum upgrading programme. In World Urban Forum III Sustain Cities-Turning Ideas into Action; UN-HABITAT: Vancouver, BC, Canada, 2006. [Google Scholar]
- Devas, N. Indonesia’s Kampung Improvement Program: An evaluative case study. Ekistics 1981, 48, 19–36. [Google Scholar]
- Supriatna, A.; Van Der Molen, P. Land readjustment for upgrading Indonesian kampung: A proposal. South East Asia Res. 2014, 22, 379–397. [Google Scholar] [CrossRef]
- Dianingrum, A.; Faqih, M.; Septanti, D. Development of Kampung Improvement Program in Surabaya, Indonesia. Int. J. Eng. Sci. 2017, 6, 41–47. [Google Scholar] [CrossRef]
- Susilowati, D.T.; Rochwulaningsih, Y.; Rinardi, H. The Implementation of the Kampung Improvement Program in Semarang: Some Obstacles and Impacts. Indones Hist Stud. 2020, 4, 170–185. [Google Scholar] [CrossRef]
- Silas, J. Government-community partnerships in kampung improvement programmes in Surabaya. Environ. Urban. 1992, 4, 33–41. [Google Scholar] [CrossRef]
- Septanti, D. the Empowerment of Community By C-Kip To Improve the Slums. J. Archit. 2016, 15, 53. [Google Scholar] [CrossRef]
- Ikhlas, I.; Shiki, K. The Lack of Childcare as a Housing Problem: Evaluating the Role of Rusunawa Public Rental Housing as Transitional Housing for Low-Income Families in Batam City, Indonesia. J. Reg. Inf. Dev. 2020, 9, 82–93. [Google Scholar]
- Murtyas, S.; Toosty, N.T.; Hagishima, A.; Kusumaningdyah, N.H. Relation between occupants’ health problems, demographic and indoor environment subjective evaluations: A cross-sectional questionnaire survey study in Java Island, Indonesia. PLoS ONE 2021, 16, e0254460. [Google Scholar] [CrossRef]
- Fleming, T. Indonesia: Surakarta, Cultural Cities Profile East Asia; British Council Indonesia: Jakarta, Indonesia, 2021; Available online: https://www.britishcouncil.id/sites/default/files/d3_cultural_cities_indonesia_surakarta_pdf (accessed on 24 February 2025).
- Sunarti, S.; Yuliastuti, N.; Purwanto, A.A.; Putri, K. Sustainability of Slum Upgraded Area, Case of Mojosongo, Surakarta, Indonesia. IOP Conf. Ser. Earth Environ. Sci. 2022, 1111, 012037. [Google Scholar] [CrossRef]
- Sunarti Syahbana, J.A.; Manaf, A. Slum upgrading without displacement at Danukusuman Sub-District Surakarta City. Int. Trans. J. Eng. Manag. Appl. Sci. Technol. 2014, 5, 213–225. [Google Scholar]
- Handayani, K.N.; Dianingrum, A. A Review of the Role of Intermediate Partners in the Community Participatory Mapping Project at Slum Upgrading Settlement. IOP Conf. Ser. Earth Environ. Sci. 2023, 1188, 012024. [Google Scholar] [CrossRef]
- Doe, B.; Peprah, C.; Chidziwisano, J.R. Sustainability of slum upgrading interventions: Perception of low-income households in Malawi and Ghana. Cities 2020, 107, 102946. [Google Scholar] [CrossRef]
- Ajibade, I.; McBean, G. Climate extremes and housing rights: A political ecology of impacts, early warning and adaptation constraints in Lagos slum communities. Geoforum 2014, 55, 76–86. [Google Scholar] [CrossRef]
- Arcidiacono, A.; Causone, F.; Grosso, M.; Masera, G.; Tadi, M.; Zadeh, H.M. Environmental Performance and Social Inclusion: A Project for the Rocinha Favela in Rio de Janeiro. Energy Procedia 2017, 134, 356–365. [Google Scholar] [CrossRef]
- Sarkar, A.; Jana, A. Interpreting the energy choices and environmental satisfaction determinants in low-income housing typologies: Cases from slums and slum rehabilitation housing of Mumbai, India. Cities 2023, 143, 104576. [Google Scholar] [CrossRef]
- Gumelar, G.; Vania, A.; Maulana, H. Do Cultural Styles Predict Pro-Environment Behaviour among Slum-Area Resident of Jakarta? E3S Web. Conf. 2018, 68, 02003. [Google Scholar] [CrossRef]
- Delmelle, E.C.; Haslauer, E.; Prinz, T. Social satisfaction, commuting and neighborhoods. J. Transp. Geogr. 2013, 30, 110–116. [Google Scholar] [CrossRef]
- Zhou, K.; Tan, J.; Watanabe, K. How does perceived residential environment quality influence life satisfaction? Evidence from urban China. J. Community Psychol. 2021, 49, 2454–2471. [Google Scholar] [CrossRef]
- Schmitt, M.T.; Aknin, L.B.; Axsen, J.; Shwom, R.L. Unpacking the Relationships Between Pro-environmental Behavior, Life Satisfaction, and Perceived Ecological Threat. Ecol. Econ. 2018, 143, 130–140. [Google Scholar] [CrossRef]
- Kaida, N.; Kaida, K. Pro-environmental behavior correlates with present and future subjective well-being. Environ. Dev. Sustain. 2016, 18, 111–127. [Google Scholar] [CrossRef]
- Indonesia Legal Resource Center. Factsheet: National Slum Upgrading Project (NSUP) in Indonesia; WALHI: Makassar City, Indonesia, 2016; pp. 1–11. [Google Scholar]
- Zubaidah, S.; Widianingsih, I.; Rusli, B.; Saefullah, A.D. Policy Network on the Kotaku Program in the Global South: Findings from Palembang, Indonesia. Sustainability 2023, 15, 4784. [Google Scholar] [CrossRef]
- Nurrahman, A.; Budiman, H.; Agustiananda, P.A.P. Participatory Design Study in the KOTAKU Program Using Settlement Environmental Management Plan Document (RPLP) Review in increasing Community Capacity for Sustainable Development. J. Koridor. 2023, 14, 107–114. [Google Scholar] [CrossRef]
- Septanaya, I.D.M.F.; Rahmawati, D.; Navitas, P.; Stefanugroho, P.K. What sets it apart from the rest? Investigating the national slum upgrading program, KOTAKU, in Surabaya. IOP Conf. Ser. Earth Environ. Sci. 2020, 562, 012031. [Google Scholar] [CrossRef]
- BPS. Surakarta Municipality in Figures 2023; Central Bureau of Statistics: Jakarta, Indonesia, 2023; p. 436. [Google Scholar]
- Candradewi, E.; Santoso, B.; Firmansyah. Women Participation in Development: Discussions of Community Partners in Mataram City Province of West South East Indonesia. Int. J. Econ. Commer. Manag. 2018, VI, 418–430. [Google Scholar]
- Bratchell, N. Cluster Analysis. Chemom. Intell. Lab. Syst. 1989, 6, 105–125. [Google Scholar] [CrossRef]
- Harmon, J.; Rohrbaugh, J. Social judgment analysis and small group decision making: Cognitive feedback effects on individual and collective performance. Organ Behav. Hum. Decis. Process. 1990, 46, 34–54. [Google Scholar] [CrossRef]
- Kaufman, L.; Rousseeuw, P. Finding Groups in Data: An Introduction to Cluster Analysis; John Wiley & Sons: Hoboken, NJ, USA, 1990. [Google Scholar]
- Darsono; Rahayu, W.; Barokah, U.; Laia, D.H. Waste Banks in Surakarta: Economic and Social Impacts on Sustainability. BIO Web Conf. 2023, 69, 04026. [Google Scholar] [CrossRef]
- Ibad, I.; Devi, S.L.R. The Management of Household Waste Based on Waste Bank to Increase Community Income in Surakarta City. J. Manaj. Dan. Kewirausahaan 2020, 8, 59–67. [Google Scholar] [CrossRef]
- Novita Sari, D.; Djumiarti, T.; Yuniningsih, T. Manajemen Pengelolaan Sampah Di Tpa Putri Cempo Kota Surakarta. J. Public Policy Manag. Rev. 2024, 13, 266–271. [Google Scholar]
- Villa, F.; Arcidiacono, A.; Causone, F.; Masera, G.; Tadi, M.; Grosso, M. Entering rocinha: A gis approach for the improvement of solid waste management in a slum in Rio de Janeiro (Brazil). Detritus 2020, 9, 221–231. [Google Scholar] [CrossRef]
- Kumar, A.; Agrawal, A. Recent trends in solid waste management status, challenges, and potential for the future Indian cities—A review. Curr. Res. Environ. Sustain. 2020, 2, 100011. [Google Scholar] [CrossRef]
- Suryo, P.; Cicik, S. Push Factors of Community Participation in The Management of Waste Bank in The City of Surakarta, Central Java Province, Indonesia. Russ. J. Agric. Socio-Economic. Sci. 2017, 8, 41–52. [Google Scholar]
- Rezagama, A.; Purwono Damayanti, V. Sustainable Development Strategy of Domestic Waste Infrastructure in the City of Surakarta. E3S Web Conf. 2018, 31, 05003. [Google Scholar] [CrossRef]
- Patil, T.; Raje, S.S. Occupational and social hazards among domestic solid waste collectors: A cross sectional study. Int. J. Community Med. Public Health 2020, 7, 625. [Google Scholar] [CrossRef]
- Sarkar, A.; Bardhan, R. Socio-physical liveability through socio-spatiality in low-income resettlement archetypes-A case of slum rehabilitation housing in Mumbai, India. Cities 2020, 105, 102840. [Google Scholar] [CrossRef]
- Debnath, R.; Bardhan, R.; Sunikka-Blank, M. Discomfort and distress in slum rehabilitation: Investigating a rebound phenomenon using a backcasting approach. Habitat. Int. 2019, 87, 75–90. [Google Scholar] [CrossRef]
- Lotfi, S.; Despres, C.; Lord, S. Are sustainable residential choice also desirable? A study of household satisfaction and aspirations with regard to current and future residential location. J. Hous. Built. Environ. 2018, 34, 283–311. [Google Scholar] [CrossRef]
- Seyfang, G. Community action for sustainable housing: Building a low-carbon future. Energy Policy 2010, 38, 7624–7633. [Google Scholar] [CrossRef]
- Mackay, M.; Perkins, H. DIY Dreams and the Potential of Home. Hous. Theory Soc. 2017, 36, 112–128. [Google Scholar] [CrossRef]
- van Hoof, J.; Dikken, J. Revealing sustainable mindsets among older adults concerning the built environment: The identification of six typologies through a comprehensive survey. Build. Environ. 2024, 256, 111496. [Google Scholar] [CrossRef]
- Patrick, R.; Capetola, T.; Townsend, M.; Hanna, L. Incorporating Sustainability into Community-Based Healthcare Practice. Ecohealth 2011, 8, 277–289. [Google Scholar] [CrossRef]
- Ryan, E.B.; Meredith, S.D.; MacLean, M.J.; Orange, J.B. Changing the Way We Talk with Elders: Promoting Health Using the Communication Enhancement Model. Int. J. Aging Hum. Dev. 1995, 41, 89–107. [Google Scholar] [CrossRef]
- Santos, W.C.D.V.; Singh, D.; da Cruz, L.D.L.; Piassi, L.P.D.C.; Reis, G. Vertical gardens: Sustainability, youth participation, and the promotion of change in a socio-economically vulnerable community in Brazil. Educ. Sci. 2019, 9, 161. [Google Scholar] [CrossRef]
- Doyle, R.; Davies, A.R. Towards sustainable household consumption: Exploring a practice oriented, participatory backcasting approach for sustainable home heating practices in Ireland. J. Clean. Prod. 2013, 48, 260–271. [Google Scholar] [CrossRef]
- Vreede, C.; Warner, A.; Pitter, R. Facilitating Youth to Take Sustainability Actions: The Potential of Peer Education. J. Environ. Educ. 2014, 45, 37–56. [Google Scholar] [CrossRef]
- Hamann, K.R.S.; Holz, J.R.; Reese, G. Coaching for a Sustainability Transition: Empowering Student-Led Sustainability Initiatives by Developing Skills, Group Identification, and Efficacy Beliefs. Front. Psychol. 2021, 12, 623972. [Google Scholar] [CrossRef] [PubMed]
- Campos MJZ, Z. Infiltrating citizen-driven initiatives for sustainability. Zapata Patrik. 2017, 26, 1055–1078. [Google Scholar] [CrossRef]
- Christie, B.; Waller, V. Community learnings through residential composting in apartment buildings. J. Environ. Educ. 2019, 50, 97–112. [Google Scholar] [CrossRef]
- Valenciano-Salazar, J.A.; André, F.J.; Rivero, C. Media Coverage of Carbon Neutral Organizations in Costa Rica: Environmental Sustainability Practices and Consumer Recognition. Innovar 2022, 33, 19–36. [Google Scholar] [CrossRef]
- Ohmer, M.L.; Meadowcroft, P.; Freed, K.; Lewis, E. Community gardening and community development: Individual, social and community benefits of a community conservation program. J. Community Pract. 2009, 17, 377–399. [Google Scholar] [CrossRef]







| Respondent Profiles | Sample Number (%) | Regional Data (%) |
|---|---|---|
| Gender | ||
| Male | 113 (34.5%) | 49.1% |
| Female | 214 (65.5%) | 50.9% |
| Age | ||
| 21–45 years old | 127 (38.8%) | 37.4% |
| 45–60 years old | 140 (42.8%) | 20.0% |
| ≥60 years old | 60 (18.4%) | 14.2% |
| Income | ||
| <regional standard wage | 173 (53.0%) | 42.7% |
| =regional standard wage | 144 (44.0%) | 44.8% |
| >regional standard wage | 10 (3.0%) | 12.5% |
| Education | ||
| No school | 53 (16.2%) | 15.1% |
| Elementary school | 38 (11.6%) | 20.2% |
| Middle school | 71 (21.7%) | 23.1% |
| High school | 154 (47.1%) | 34.5% |
| University | 11 (3.4%) | 7.1% |
| Years living in Surakarta City | ||
| <5 years | 31 (9.5%) | n/a |
| 5–15 years | 59 (18.0%) | n/a |
| 15–35 years | 132 (40.4%) | n/a |
| >35 years | 105 (32.1%) | n/a |
| Domain | Code | Mean ± SD |
|---|---|---|
| Satisfaction with house attributes | ||
| I feel the house adequately meets my privacy requirements | HS1 | 3.62 ± 0.82 |
| I am satisfied with the house construction quality | HS2 | 3.67 ± 0.77 |
| I feel comfortable with the indoor environment conditions | HS3 | 2.86 ± 0.52 |
| I feel that my house is clean | HS4 | 3.94 ± 0.46 |
| Health-oriented behaviors | ||
| I wash my hands frequently during the day | HB1 | 3.12 ± 0.98 |
| My family and I don’t smoke inside of the house | HB2 | 3.33 ± 1.38 |
| I clean my house every day | HB3 | 2.06 ± 0.52 |
| Pro-environmental behaviors | ||
| I participate in the cleaning program around my neighborhood | PB1 | 3.40 ± 1.01 |
| I implement recycling, reducing, and reusing (3Rs) for waste management | PB2 | 1.39 ± 0.98 |
| I participate in community programs related to environmental sustainability | PB3 | 2.85 ± 1.20 |
| I take steps to create more sustainable living conditions at my home | PB4 | 2.64 ± 1.07 |
| My family and I don’t burn the waste outside of my home | PB5 | 1.21 ± 0.59 |
| Beliefs | ||
| I believe that we must keep our environment sustainable | BE1 | 4.16 ± 0.68 |
| I think it is important to have a healthy house | BE2 | 3.89 ± 0.44 |
| Respondent’s Profiles | Satisfaction with House Attributes | Health-Oriented Behaviors | Pro-Environmental Behavior | Beliefs | Significant Difference (p-Value) |
|---|---|---|---|---|---|
| Gender | |||||
| Male | 3.50 ± 0.50 | 2.86 ± 0.58 | 2.33 ± 0.45 | 3.99 ± 0.58 | <0.05 |
| Female | 3.53 ± 0.43 | 2.83 ± 0.59 | 2.76 ± 0.49 | 4.04 ± 0.48 | <0.05 |
| Age | |||||
| 21–45 years old | 3.52 ± 0.41 | 2.81 ± 0.59 | 2.26 ± 0.43 | 4.01 ± 0.54 | <0.05 |
| 45–60 years old | 3.52 ± 0.50 | 2.87 ± 0.56 | 2.32 ± 0.49 | 4.06 ± 0.47 | <0.05 |
| ≥60 years old | 3.54 ± 0.41 | 2.81 ± 0.63 | 2.28 ± 0.49 | 3.96 ± 0.57 | <0.05 |
| Income | |||||
| <regional standard wage | 3.53 ± 0.50 | 2.87 ± 0.61 | 2.30 ± 0.49 | 4.01 ± 0.58 | <0.05 |
| =regional standard wage | 3.52 ± 0.40 | 2.81 ± 0.56 | 2.28 ± 0.46 | 4.03 ± 0.44 | <0.05 |
| >regional standard wage | 3.35 ± 0.37 | 2.63 ± 0.50 | 2.50 ± 0.37 | 4.10 ± 0.20 | <0.05 |
| Education | |||||
| No school | 3.64 ± 0.21 | 2.80 ± 0.59 | 2.21 ± 0.43 | 3.86 ± 0.68 | <0.05 |
| Elementary school | 3.61 ± 0.27 | 2.80 ± 0.57 | 2.24 ± 0.36 | 3.78 ± 0.69 | <0.05 |
| Middle school | 3.59 ± 0.41 | 2.83 ± 0.58 | 2.27 ± 0.44 | 4.04 ± 0.47 | <0.05 |
| High school | 3.41 ± 0.55 | 2.89 ± 0.59 | 2.34 ± 0.52 | 4.17 ± 0.35 | <0.05 |
| University | 2.91 ± 0.51 | 2.76 ± 0.68 | 2.61 ± 0.72 | 4.21 ± 0.24 | <0.05 |
| Years living in Surakarta City | |||||
| <5 years | 3.65 ± 0.55 | 2.61 ± 0.53 | 2.57 ± 0.54 | 4.06 ± 0.49 | <0.05 |
| 5–15 years | 3.63 ± 0.46 | 2.98 ± 0.69 | 2.24 ± 0.46 | 4.03 ± 0.58 | <0.05 |
| 15–35 years | 3.44 ± 0.46 | 2.84 ± 0.53 | 2.30 ± 0.47 | 4.04 ± 0.47 | <0.05 |
| >35 years | 3.53 ± 0.40 | 2.83 ± 0.59 | 2.23 ± 0.44 | 3.99 ± 0.54 | <0.05 |
| Respondent’s Profiles | Cluster 1 | Cluster 2 | Cluster 3 | Cluster 4 |
|---|---|---|---|---|
| Gender | ||||
| Male | 30 (39.5%) | 8 (42.1%) | 50 (32.7%) | 25 (31.6%) |
| Female | 46 (60.5%) | 11 (57.9%) | 103 (67.3%) | 54 (68.4%) |
| Age | ||||
| 21–45 years old | 27 (35.5%) | 4 (21.1%) | 64 (41.8%) | 32 (40.5%) |
| 45–60 years old | 34 (44.7%) | 4 (21.1%) | 67 (43.8%) | 35 (44.3%) |
| ≥60 years old | 15 (19.7%) | 11 (57.9%) | 22 (14.4%) | 12 (15.2%) |
| Income | ||||
| <regional standard wage | 40 (52.6%) | 13 (68.4%) | 82 (53.6%) | 38 (48.1%) |
| =regional standard wage | 33 (43.4%) | 5 (26.3%) | 66 (43.1%) | 40 (50.6%) |
| >regional standard wage | 3 (3.9%) | 1 (5.3%) | 5 (3.3%) | 1 (1.3%) |
| Education | ||||
| No school | 10 (13.2%) | 7 (36.8%) | 23 (15.0%) | 14 (17.7%) |
| Elementary school | 10 (13.2%) | 6 (31.6%) | 13 (8.5%) | 9 (11.4%) |
| Middle school | 17 (22.4%) | 1 (5.3%) | 33 (21.6%) | 20 (25.3%) |
| High school | 36 (47.4%) | 5 (26.3%) | 79 (51.6%) | 33 (41.8%) |
| University | 3 (3.9%) | 0 (0%) | 5 (3.3%) | 3 (3.8%) |
| Years living in Surakarta City | ||||
| <5 years | 11 (14.5%) | 0 (0%) | 17 (11.1%) | 3 (3.8%) |
| 5–15 years | 12 (15.8%) | 2 (10.5%) | 32 (20.9%) | 13 (16.5%) |
| 15–35 years | 28 (36.8%) | 7 (36.8%) | 64 (41.8%) | 33 (41.8%) |
| >35 years | 25 (32.9%) | 10 (52.6%) | 40 (26.1%) | 30 (38.0%) |
Disclaimer/Publisher’s Note: The statements, opinions and data contained in all publications are solely those of the individual author(s) and contributor(s) and not of MDPI and/or the editor(s). MDPI and/or the editor(s) disclaim responsibility for any injury to people or property resulting from any ideas, methods, instructions or products referred to in the content. |
© 2025 by the authors. Licensee MDPI, Basel, Switzerland. This article is an open access article distributed under the terms and conditions of the Creative Commons Attribution (CC BY) license (https://creativecommons.org/licenses/by/4.0/).
Share and Cite
Murtyas, S.; Handayani, K.N.; Sho, K.; Hagishima, A. Exploring Pro-Environmental Behaviors and Health-Oriented Mindsets in Urban Slum Upgrading Projects: A Case Study of Surakarta City, Indonesia. Urban Sci. 2025, 9, 131. https://doi.org/10.3390/urbansci9040131
Murtyas S, Handayani KN, Sho K, Hagishima A. Exploring Pro-Environmental Behaviors and Health-Oriented Mindsets in Urban Slum Upgrading Projects: A Case Study of Surakarta City, Indonesia. Urban Science. 2025; 9(4):131. https://doi.org/10.3390/urbansci9040131
Chicago/Turabian StyleMurtyas, Solli, Kusumaningdyah Nurul Handayani, Kojiro Sho, and Aya Hagishima. 2025. "Exploring Pro-Environmental Behaviors and Health-Oriented Mindsets in Urban Slum Upgrading Projects: A Case Study of Surakarta City, Indonesia" Urban Science 9, no. 4: 131. https://doi.org/10.3390/urbansci9040131
APA StyleMurtyas, S., Handayani, K. N., Sho, K., & Hagishima, A. (2025). Exploring Pro-Environmental Behaviors and Health-Oriented Mindsets in Urban Slum Upgrading Projects: A Case Study of Surakarta City, Indonesia. Urban Science, 9(4), 131. https://doi.org/10.3390/urbansci9040131

