Local Climate Zones Classification Applied to a Brazilian Amazon City
Abstract
1. Introduction
2. Materials and Methods
2.1. Characterization of the Study Area
2.2. The LCZ Classification System
2.3. Method for LCZ Classification
3. Results and Discussion
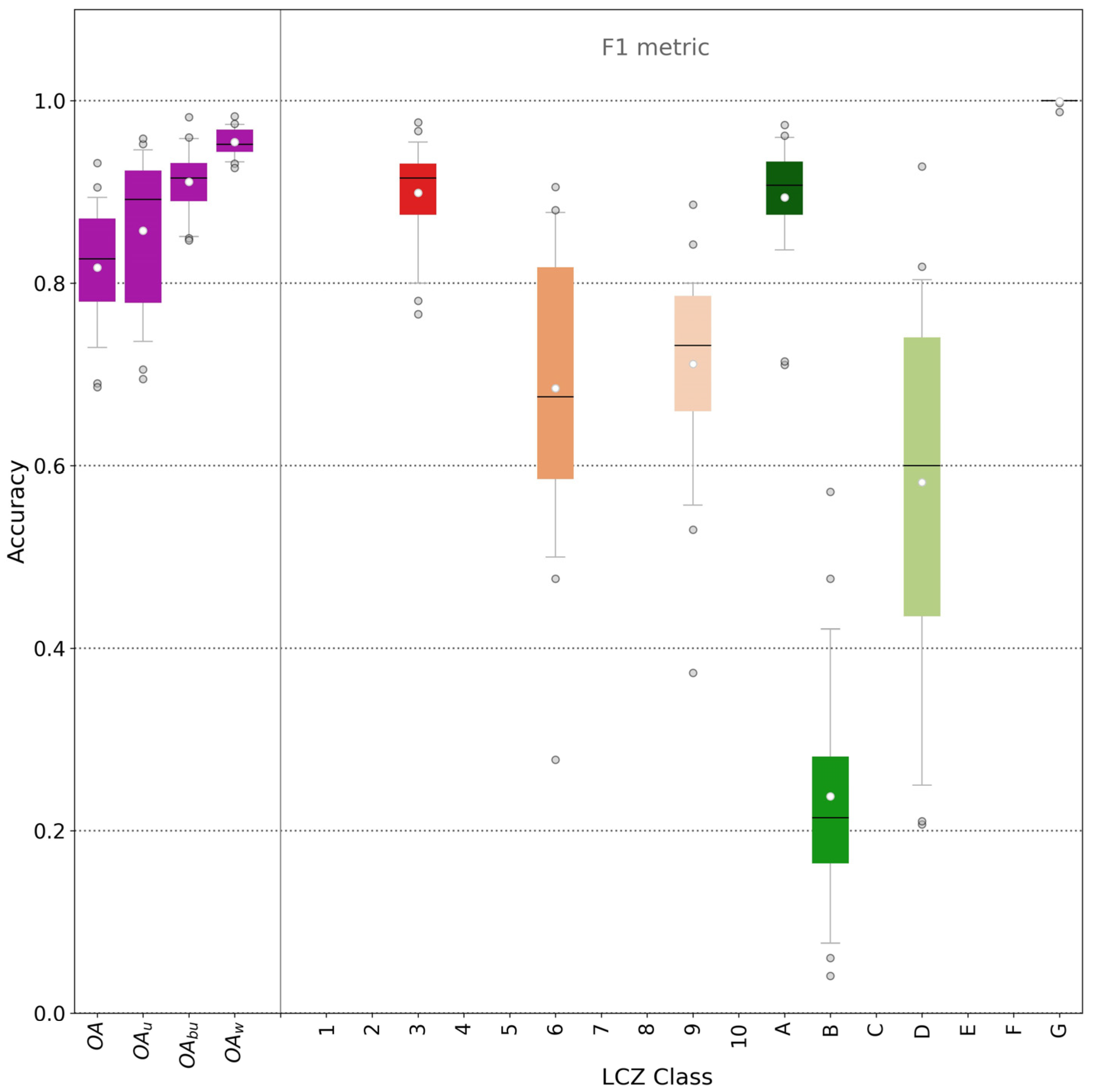
3.1. Accuracy and Frequency in LCZ Classification in Santarém: Challenges and Limitations
3.2. LCZ Classification
3.3. Relationship between LCZ and NDVI
4. Conclusions
Author Contributions
Funding
Data Availability Statement
Acknowledgments
Conflicts of Interest
References
- Ahmed, Z.; Asghar, M.M.; Malik, M.N.; Nawaz, K. Moving towards a Sustainable Environment: The Dynamic Linkage between Natural Resources, Human Capital, Urbanization, Economic Growth, and Ecological Footprint in China. Resour. Policy 2020, 67, 101677. [Google Scholar] [CrossRef]
- Fan, Y.; Fang, C.; Zhang, Q. Coupling Coordinated Development between Social Economy and Ecological Environment in Chinese Provincial Capital Cities-Assessment and Policy Implications. J. Clean. Prod. 2019, 229, 289–298. [Google Scholar] [CrossRef]
- Liu, X.; He, J.; Xiong, K.; Liu, S.; He, B.J. Identification of Factors Affecting Public Willingness to Pay for Heat Mitigation and Adaptation: Evidence from Guangzhou, China. Urban. Clim. 2023, 48, 101405. [Google Scholar] [CrossRef]
- Wang, R.; Cai, M.; Ren, C.; Bechtel, B.; Xu, Y.; Ng, E. Detecting Multi-Temporal Land Cover Change and Land Surface Temperature in Pearl River Delta by Adopting Local Climate Zone. Urban. Clim. 2019, 28, 100455. [Google Scholar] [CrossRef]
- Yoo, C.; Han, D.; Im, J.; Bechtel, B. Comparison between Convolutional Neural Networks and Random Forest for Local Climate Zone Classification in Mega Urban Areas Using Landsat Images. ISPRS J. Photogramm. Remote Sens. 2019, 157, 155–170. [Google Scholar] [CrossRef]
- Baklanov, A.; Grimmond, C.S.B.; Carlson, D.; Terblanche, D.; Tang, X.; Bouchet, V.; Lee, B.; Langendijk, G.; Kolli, R.K.; Hovsepyan, A. From Urban Meteorology, Climate and Environment Research to Integrated City Services. Urban. Clim. 2018, 23, 330–341. [Google Scholar] [CrossRef]
- Mohammad, P.; Aghlmand, S.; Fadaei, A.; Gachkar, S.; Gachkar, D.; Karimi, A. Evaluating the Role of the Albedo of Material and Vegetation Scenarios along the Urban Street Canyon for Improving Pedestrian Thermal Comfort Outdoors. Urban. Clim. 2021, 40, 100993. [Google Scholar] [CrossRef]
- Karimi, A.; Mohammad, P.; García-Martínez, A.; Moreno-Rangel, D.; Gachkar, D.; Gachkar, S. New Developments and Future Challenges in Reducing and Controlling Heat Island Effect in Urban Areas. Environ. Dev. Sustain. 2022, 25, 10485–10531. [Google Scholar] [CrossRef]
- Borges, V.O.; Nascimento, G.C.; Celuppi, M.C.; Lúcio, P.S.; Tejas, G.T.; Paulo, J.; Gobo, A. Zonas Climáticas Locais e as Ilhas de Calor Urbanas: Uma Revisão Sistemática. Rev. Bras. De Climatol. 2022, 31, 98–127. [Google Scholar] [CrossRef]
- Grimm, N.B.; Foster, D.; Groffman, P.; Grove, J.M.; Hopkinson, C.S.; Nadelhoffer, K.J.; Pataki, D.E.; Peters, D.P.C. The Changing Landscape: Ecosystem Responses to Urbanization and Pollution across Climatic and Societal Gradients. Front. Ecol. Environ. 2008, 6, 264–272. [Google Scholar] [CrossRef]
- Creutzig, F.; Lohrey, S.; Bai, X.; Baklanov, A.; Dawson, R.; Dhakal, S.; Lamb, W.F.; McPhearson, T.; Minx, J.; Munoz, E.; et al. Upscaling Urban Data Science for Global Climate Solutions. Glob. Sustain. 2019, 2, e2. [Google Scholar] [CrossRef]
- Demuzere, M.; Mihara, T.; Redivo, C.P.; Feddema, J.; Setton, E. Multi-Temporal LCZ Maps for Canadian Functional Urban Areas. 2020. [Google Scholar] [CrossRef]
- Lemoine-Rodríguez, R.; Inostroza, L.; Zepp, H. The Global Homogenization of Urban Form. An Assessment of 194 Cities across Time. Landsc. Urban Plan. 2020, 204, 103949. [Google Scholar] [CrossRef]
- Stewart, I.D.; Oke, T.R. Local Climate Zones for Urban Temperature Studies; American Meteorological Society: Boston, MA, USA, 2012; Volume 93. [Google Scholar]
- Stewart, I.; Oke, T. Local Climate Zones Origins, Development, and Application to Urban Heat Islands. Available online: https://iainstew.wordpress.com/wp-content/uploads/2013/01/seattle.pdf (accessed on 12 October 2024).
- Bechtel, B.; Alexander, P.J.; Böhner, J.; Ching, J.; Conrad, O.; Feddema, J.; Mills, G.; See, L.; Stewart, I. Mapping Local Climate Zones for a Worldwide Database of the Form and Function of Cities. ISPRS Int. J. Geo-Inf. 2015, 4, 199–219. [Google Scholar] [CrossRef]
- Sharmin, T.; Chappell, A.; Lannon, S. Spatio-Temporal Analysis of LST, NDVI and SUHI in a Coastal Temperate City Using Local Climate Zone. Energy Built Environ. 2024. [Google Scholar] [CrossRef]
- García, L.; Veneros, J.; Oliva-Cruz, M.; Olivares, N.; Chavez, S.G.; Rojas-Briceño, N.B. Construction of Linear Models for the Normalized Vegetation Index (NDVI) for Coffee Crops in Peru Based on Historical Atmospheric Variables from the Climate Engine Platform. Atmosphere 2024, 15, 923. [Google Scholar] [CrossRef]
- Halder, B.; Karimi, A.; Mohammad, P.; Bandyopadhyay, J.; Brown, R.D.; Yaseen, Z.M. Investigating the Relationship between Land Alteration and the Urban Heat Island of Seville City Using Multi-Temporal Landsat Data. Theor. Appl. Clim. 2022, 150, 613–635. [Google Scholar] [CrossRef]
- Ferreira, L.S.; Ferretto, D.; Duarte, D.H.S. Mapeando a Morfologia Urbana: Aplicações Do Método Local Climate Zones (LCZ) Em Diferentes Escalas Do Projeto. PosFAUUSP 2023, 30, e197563. [Google Scholar] [CrossRef]
- Werneck, D.R. Variabilidade Da Temperatura de Superfície Diurna Entre as Zonas Climáticas Locais (LCZ): Um Estudo Para a Área Urbana Do Distrito Federal, Universidade de Brasília, 2022. Available online: http://www.realp.unb.br/jspui/handle/10482/45320 (accessed on 12 October 2024).
- Freitas, M.N.; Leal Junior, J.B.V.; da Silva Junior, R.S.; Fernandes, G.S.; Lima, F.R.S.; Silva, E.M.; Almeida, G.P.; Ferreira, R.M. Improvement of Urban Description through the Implementation of Local Climate Zones in theWrf Model for Fortaleza, Brazil. Available online: https://papers.ssrn.com/sol3/papers.cfm?abstract_id=4502247 (accessed on 12 October 2024).
- Freitas, L.d.S.; Travassos, H.V.B.; Vinagre, M.V.d.A.; da Ponte, M.J.M.; da Silva, P.G.M.; Tourinho, H.L.Z. Expansão Da Mancha Urbana de Santarém: Análise de 1984 a 2020. Naturae 2021, 3, 1–10. [Google Scholar] [CrossRef]
- Becker, B.K.; Miranda, M.; Machado, L.O. Fronteira Amazônica: Questões Sobre a Gestão Do Território; UFRJ: Rio de Janeiro, Brazil, 1990; ISBN 8571080046. [Google Scholar]
- Serrão, E.d.M.; Imbiriba, L.C.; dos Santos, Z.; Zacardi, D.M. Apetrechos e Técnicas de Pesca Utilizados Por Pescadores Artesanais Em Lagos Periurbanos No Baixo Amazonas (Pará-Brasil). Braz. J. Aquat. Sci. Technol. 2022, 26, 65–76. [Google Scholar] [CrossRef]
- IBGE | Cidades@ | Pará | Santarém | Panorama. Available online: https://cidades.ibge.gov.br/brasil/pa/santarem/panorama (accessed on 12 October 2024).
- Rego, J.C.S.; Madalena De Aguiar, M. Luta Por Espaço No Processo de Urbanização Em Santarém/PA: Análise Do Bairro Vista Alegre Do Juá. Terra Livre 2022, 1, 130–159. [Google Scholar] [CrossRef]
- de Oliveira, J.M.G.C. Expansão Urbana e Periferização de Santarém—PA, Brasil: Questões Para o Planejamento Urbano. X Colóquio Int. De Geocrítica Barc. 2008. Available online: https://www.ub.edu/geocrit/-xcol/268.htm (accessed on 12 October 2024).
- Oke, T.R. Methods in Urban Climatology. Appl. Climatol. 1984, 14, 19–29. [Google Scholar]
- Demuzere, M.; Kittner, J.; Bechtel, B. LCZ Generator: A Web Application to Create Local Climate Zone Maps. Front. Environ. Sci. 2021, 9, 637455. [Google Scholar] [CrossRef]
- Bechtel, B.; Demuzere, M.; Sismanidis, P.; Fenner, D.; Brousse, O.; Beck, C.; Van Coillie, F.; Conrad, O.; Keramitsoglou, I.; Middel, A.; et al. Quality of crowdsourced Data on Urban Morphology—The Human Influence Experiment (HUMINEX). Urban. Sci. 2017, 1, 15. [Google Scholar] [CrossRef]
- Cordovil, K. WUDAPT Level0 Training Data for Santarem(Brazil, Federative Republic of), Submitted to LCZ Generator. Available online: https://lcz-generator.rub.de/factsheets/22bb9daf518f1015ed3d4213174327d4769b7cc3/22bb9daf518f1015ed3d4213174327d4769b7cc3_factsheet.html (accessed on 12 October 2024).
- Verdonck, M.L.; Okujeni, A.; van der Linden, S.; Demuzere, M.; De Wulf, R.; Van Coillie, F. Influence of NeighbourhoodInformationon ‘Local Climate Zone’ Mapping in Heterogeneous Cities. Int. J. Appl. Earth Obs. Geoinf. 2017, 62, 102–113. [Google Scholar] [CrossRef]
- Wang, C.; Middel, A.; Myint, S.W.; Kaplan, S.; Brazel, A.J.; Lukasczyk, J. Assessing Local Climate Zones in Arid Cities: The Case of Phoenix, Arizona and Las Vegas, Nevada. ISPRS J. Photogramm. Remote Sens. 2018, 141, 59–71. [Google Scholar] [CrossRef]
- Bechtel, B.; Demuzere, M.; Mills, G.; Zhan, W.; Sismanidis, P.; Small, C.; Voogt, J. SUHI Analysis Using Local Climate Zones—A Comparison of 50 Cities. Urban. Clim. 2019, 28, 100451. [Google Scholar] [CrossRef]
- Xu, C.; Hystad, P.; Chen, R.; Van Den Hoek, J.; Hutchinson, R.A.; Hankey, S.; Kennedy, R. Application of Training Data Affects Success in Broad-Scale Local Climate Zone Mapping. Int. J. Appl. Earth Obs. Geoinf. 2021, 103, 102482. [Google Scholar] [CrossRef]
- Xu, Y.; Ren, C.; Ma, P.; Ho, J.; Wang, W.; Lau, K.K.L.; Lin, H.; Ng, E. Urban Morphology Detection and Computation for Urban Climate Research. Landsc. Urban Plan. 2017, 167, 212–224. [Google Scholar] [CrossRef]
- Gusmão, L.H.; Sombra, D. Produção Desigual Do Espaço: O Processo de Verticalização Em Belém (PA). Contrib. A Lasciencias Soc. 2018, 39, 1–17. [Google Scholar]
- Ferreira, D.G.; Diniz, C.B.; Assis, E.S. de Methods to Calculate Urban Surface Parameters and Their Relation to the LCZ Classification. Urban. Clim. 2021, 36, 100788. [Google Scholar] [CrossRef]
- Moura, A.C.B.D.; Moura, A.C.B.D.; Nunes, L.V.; de Paula, D.C.J.; e Souza, N.S. Characterization of an Urban Area in the Legal Amazon Using Local Climate Zones (LCZ). Rev. Nac. De Gerenciamento De Cid. 2023, 11, 2023. [Google Scholar] [CrossRef]
- Rahmani, N.; Sharifi, A. Comparative Analysis of the Surface Urban Heat Island (SUHI) Effect Based on the Local Climate Zone (LCZ) Classification Scheme for Two Japanese Cities, Hiroshima, and Sapporo. Climate 2023, 11, 142. [Google Scholar] [CrossRef]
- Bounoua, L.; Thome, K.; Nigro, J. Cities exacerbate Climate Warming. Urban. Sci. 2021, 5, 27. [Google Scholar] [CrossRef]
- Ferreira, L.S.; Duarte, D.H.S. Exploring the Relationship between Urban Form, Land Surface Temperature and Vegetation Indices in a Subtropical Megacity. Urban. Clim. 2019, 27, 105–123. [Google Scholar] [CrossRef]
- da Silva Espinoza, N.; dos Santos, C.A.C.; de Oliveira, M.B.L.; Silva, M.T.; Santos, C.A.G.; da Silva, R.M.; Mishra, M.; Ferreira, R.R. Assessment of Urban Heat Islands and Thermal discomfort in the Amazonia Biome in Brazil: A Case Studyof Manaus City. Build. Environ. 2023, 227, 109772. [Google Scholar] [CrossRef]
- Candido, L.; Hall, D.; Gleice, G.; Machado, J.d.J.; Farias, C.d.S.; Monte, M.J.; Mamud, P.M.; Gonçalves, J.P.; Oliveira, R. Urbanização e Impacto No Clima Da Cidade de Manaus: Passado, Presente e Futuro. In Projeto Ieté—Rede de Monitoramento Ambiental da Bacia Hidrográfica do Educandos—Manaus-AM, Fase 1: Diagnóstico Ambiental; Editora Autografia Edição e Comunicação Ltda: Rio de Janeiro, Brazil, 2021; pp. 23–56. [Google Scholar]
- Matias, M.; Lopes, A. LCZ Thermal and Exoatmospheric Albedo Assessment Using Landsat 8 Land Surface Temperature and Reflectance Dataset: Case Studyof Lisbon. Remote Sens. Appl. 2024, 34, 101163. [Google Scholar] [CrossRef]
- Stewart, I. Douglas. Redefining the Urban Heat Island. Ph.D. Thesis, University of British Columbia, Vancouver, BC, Canada, 2011. [Google Scholar]
- Andrade, S.C.d.P.; Corrêa, J.A.d.J. Estimativa Do Saldo de Radiação Instantâneo à Superfície Para a Cidade de Santarém-PA, Através de Imagens Do Landsat 5-TM (Estimation of Radiation Balance Instantaneous Surfacing for the City of Santarém-PA, via Images from Landsat-5 TM). Rev. Bras. De Geogr. Física 2014, 7, 653–661. [Google Scholar] [CrossRef]
- Santarém. Manual de Orientação Técnica da Arborização Urbana de Santarém; Prefeitura Municipal de Santarém: Santarém, Portugal, 2022. [Google Scholar]
- dos Anjos, L.S.; dos Anjos, R.S.; Luna, V.F.; Mendes, T.G.d.L.; Nóbrega, R.S. Arborização e Conforto Térmico No Espaço Urbano: Estudo de Caso Em Praças Públicas de Recife-PE. Rev. Da Casa Da Geogr. De Sobral (RCGS) 2023, 25, 107–135. [Google Scholar] [CrossRef]
- Sousa, S.A.D.S.; Peres, L.V.; Martins, C.d.A. Conhecimento Tradicional Do Povo Borari De Alter Do Chão Relacionado A Questões De Tempo E Clima. Bol. Goiano De Geogr. 2022, 42. [Google Scholar] [CrossRef]
- Cardoso, A.M.; Nogueira, R.E.D.; Martorano, L.G. Implementação de Políticas Públicas de Ordenamento Fundiário Na Várzea de Santarém, No Pará: Instituições, Atores e Gestão Ambiental. Campos Neutrais Rev. Lat.-Am. De Relações Int. 2023, 5, 100–115. [Google Scholar] [CrossRef]














| NDVI/LCZ Class | Mean | Standard Deviation | Minimum | Maximum | 
|---|---|---|---|---|
| NDVI/LCZ 3 | 0.31 | 0.16 | 0.16 | 0.79 | 
| NDVI/LCZ 6 | 0.40 | 0.17 | 0.22 | 0.83 | 
| NDVI/LCZ 9 | 0.58 | 0.13 | 0.39 | 0.87 | 
| NDVI/LCZ A | 0.78 | 0.11 | 0.54 | 0.91 | 
| NDVI/LCZ B | 0.71 | 0.07 | 0.59 | 0.85 | 
| NDVI/LCZ D | 0.59 | 0.07 | 0.43 | 0.78 | 
| NDVI/LCZ G | −0.42 | 0.25 | −0.98 | −0.10 | 
| Disclaimer/Publisher’s Note: The statements, opinions and data contained in all publications are solely those of the individual author(s) and contributor(s) and not of MDPI and/or the editor(s). MDPI and/or the editor(s) disclaim responsibility for any injury to people or property resulting from any ideas, methods, instructions or products referred to in the content. | 
© 2024 by the authors. Licensee MDPI, Basel, Switzerland. This article is an open access article distributed under the terms and conditions of the Creative Commons Attribution (CC BY) license (https://creativecommons.org/licenses/by/4.0/).
Share and Cite
Cordovil, K.P.S.; Brou, Y.T.; Guedi, O.A.; Peres, L.V.; Machado, W.B.; Gaspar, A.B.d.S.; Bencherif, H.; Gonçalves, L.R.M.; de Carvalho, L.G. Local Climate Zones Classification Applied to a Brazilian Amazon City. Urban Sci. 2024, 8, 253. https://doi.org/10.3390/urbansci8040253
Cordovil KPS, Brou YT, Guedi OA, Peres LV, Machado WB, Gaspar ABdS, Bencherif H, Gonçalves LRM, de Carvalho LG. Local Climate Zones Classification Applied to a Brazilian Amazon City. Urban Science. 2024; 8(4):253. https://doi.org/10.3390/urbansci8040253
Chicago/Turabian StyleCordovil, Kely Prissila Saraiva, Yao Telesphore Brou, Osman Abdillahi Guedi, Lucas Vaz Peres, Wilderclay Barreto Machado, Avner Brasileiro dos Santos Gaspar, Hassan Bencherif, Lucas Raphael Mourão Gonçalves, and Luciana Gonçalves de Carvalho. 2024. "Local Climate Zones Classification Applied to a Brazilian Amazon City" Urban Science 8, no. 4: 253. https://doi.org/10.3390/urbansci8040253
APA StyleCordovil, K. P. S., Brou, Y. T., Guedi, O. A., Peres, L. V., Machado, W. B., Gaspar, A. B. d. S., Bencherif, H., Gonçalves, L. R. M., & de Carvalho, L. G. (2024). Local Climate Zones Classification Applied to a Brazilian Amazon City. Urban Science, 8(4), 253. https://doi.org/10.3390/urbansci8040253
 
        


 
       