Health Risk Assessment of PM2.5, NO2, and BC Exposure on Adults and Children in Karachi, Pakistan
Abstract
1. Introduction
2. Materials and Methods
2.1. Sampling Site
2.2. Sample Collection and Analysis
2.3. Health Risk Assessment
2.3.1. Choosing Health Outcomes
2.3.2. Environmental Tobacco Smoke Exposure and Health Outcomes Using Exposure–Response Functions
2.3.3. Assessment of ETS Exposure
2.3.4. Linking Air Pollution Levels to Health Outcomes
2.3.5. Estimation of Passive Cigarette Equivalents
2.3.6. Risks of PM2.5, BC, and NO2 in Terms of PSCs
2.4. Statistical Analysis
3. Results and Discussion
3.1. Spatiotemporal Variation in PM2.5, BC, and NO2
3.2. Sources of PM2.5, BC, and NO2
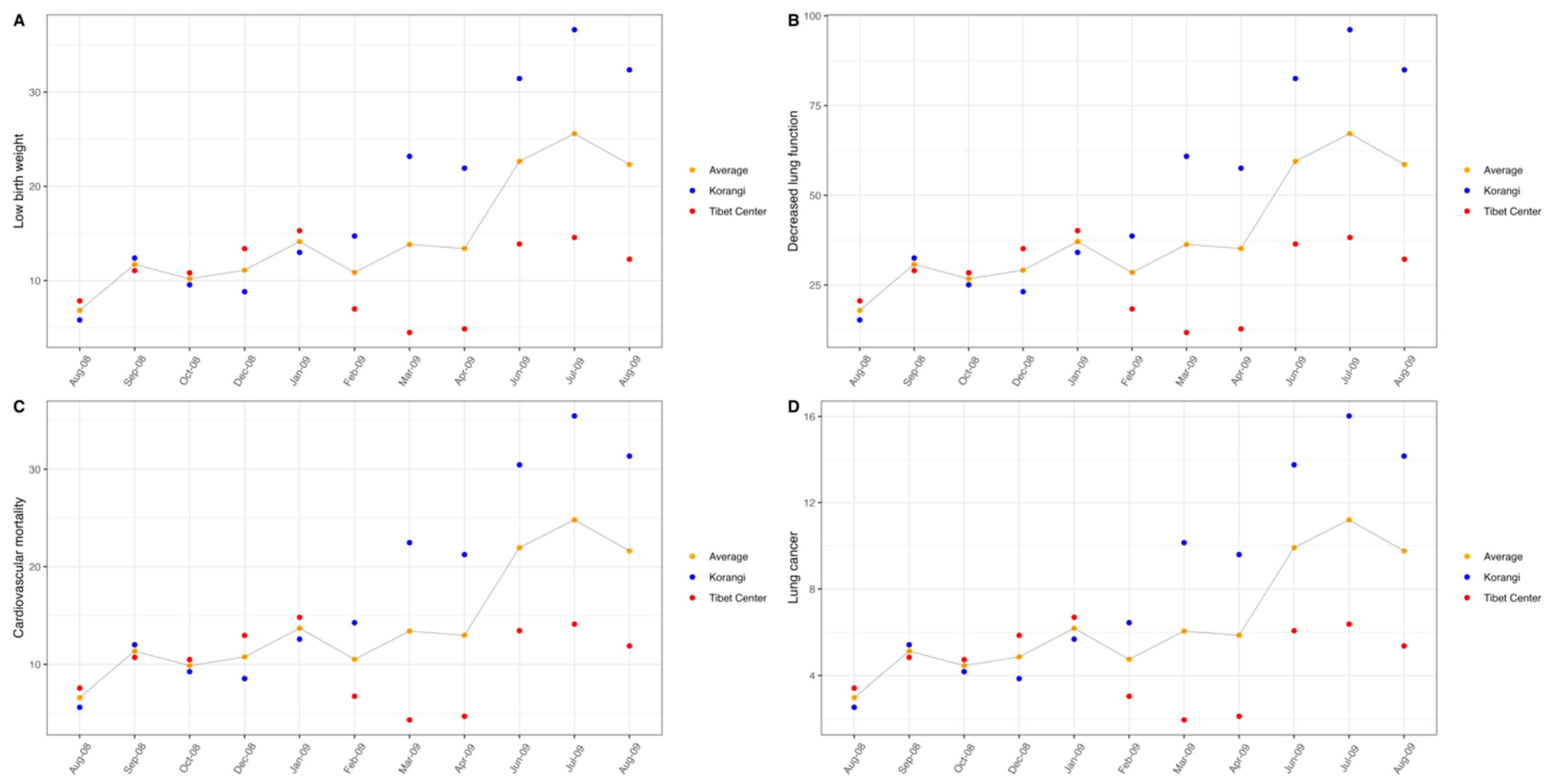
3.3. Health Effects Due to PM2.5, BC, and NO2
3.4. Passively Smoked Cigarettes and Health Diseases
3.5. Strengths and Limitations
3.6. Policy Relevance and Mitigation Strategies
4. Conclusions
Supplementary Materials
Author Contributions
Funding
Institutional Review Board Statement
Informed Consent Statement
Data Availability Statement
Acknowledgments
Conflicts of Interest
References
- Van der Zee, S.C.; Fischer, P.H.; Hoek, G. Air pollution in perspective: Health risks of air pollution expressed in equivalent numbers of passively smoked cigarettes. Environ. Res. 2016, 148, 475–483. [Google Scholar] [CrossRef] [PubMed]
- HEI. State of Global Air: A Special Report on Global Exposure to Air Pollution and its Disease Burden; The Health Effects Institute (HEI): Boston, MA, USA, 2019. [Google Scholar]
- Shi, X.; Zheng, Y.; Cui, H.; Zhang, Y.; Jiang, M. Exposure to outdoor and indoor air pollution and risk of overweight and obesity across different life periods: A review. Ecotoxicol. Environ. Saf. 2022, 242, 113893. [Google Scholar] [CrossRef]
- Turner, M.C.; Andersen, Z.J.; Baccarelli, A.; Diver, W.R.; Gapstur, S.M.; Pope, C.A., 3rd; Prada, D.; Samet, J.; Thurston, G.; Cohen, A. Outdoor air pollution and cancer: An overview of the current evidence and public health recommendations. CA Cancer J. Clin. 2020, 70, 460–479. [Google Scholar] [CrossRef]
- GBD 2016 Risk Factors Collaborators. Global, regional, and national comparative risk assessment of 84 behavioural, environmental and occupational, and metabolic risks or clusters of risks, 1990–2016: A systematic analysis for the Global Burden of Disease Study 2016. Lancet 2017, 390, 1345–1422.
- Madani, N.A.; Carpenter, D.O. Patterns of emergency room visits for respiratory diseases in New York State in relation to air pollution, poverty and smoking. Int. J. Environ. Res. Public Health 2023, 20, 3267. [Google Scholar] [CrossRef]
- Jayaraj, R.L.; Rodriguez, E.A.; Wang, Y.; Block, M.L. Outdoor ambient air pollution and neurodegenerative diseases: The neuroinflammation hypothesis. Curr. Environ. Health Rep. 2017, 4, 166–179. [Google Scholar] [CrossRef] [PubMed]
- Xue, T.; Guan, T.; Geng, G.; Zhang, Q.; Zhao, Y.; Zhu, T. Estimation of pregnancy losses attributable to exposure to ambient fine particles in south Asia: An epidemiological case-control study. Lancet Planet. Health 2021, 5, e15–e24. [Google Scholar] [CrossRef]
- IQAir. World Air Quality Report, Region and City PM2.5 Ranking. IQAir’s Online Air Quality Information Platform, Staad 2022. Available online: https://www.iqair.com/world-most-polluted-countries (accessed on 18 December 2024).
- Ahmad, M.; Chen, J.; Yu, Q.; Tariq Khan, M.; Weqas Ali, S.; Nawab, A.; Phairuang, W.; Panyametheekul, S. Characteristics and risk assessment of environmentally persistent free radicals (EPFRs) of PM2.5 in Lahore, Pakistan. Int. J. Environ. Res. Public Health 2023, 20, 2384. [Google Scholar] [CrossRef]
- Anjum, M.S.; Ali, S.M.; Imad-Ud-Din, M.; Subhani, M.A.; Anwar, M.N.; Nizami, A.S.; Ashraf, U.; Khokhar, M.F. An emerged challenge of air pollution and ever-increasing particulate matter in Pakistan; A critical review. J. Hazard. Mater. 2021, 402, 123943. [Google Scholar] [CrossRef]
- Ullah, S.; Ullah, N.; Rajper, S.A.; Ahmad, I.; Li, Z. Air pollution and associated self-reported effects on the exposed students at Malakand division, Pakistan. Environ. Monit. Assess. 2021, 193, 708. [Google Scholar] [CrossRef]
- HEI. State of Global Air: A Special Report on Global Exposure to Air Pollution and Its Health Impacts; The Health Effects Institute (HEI): Boston, MA, USA, 2020. [Google Scholar]
- Lurie, K.; Nayebare, S.R.; Fatmi, Z.; Carpenter, D.O.; Siddique, A.; Malashock, D.; Khan, K.; Zeb, J.; Hussain, M.; Khatib, F.; et al. PM2.5 in a megacity of Asia (Karachi): Source apportionment and health effects. Atmos. Environ. 2019, 202, 223–233. [Google Scholar] [CrossRef]
- Shi, Y.; Matsunaga, T.; Yamaguchi, Y.; Zhao, A.; Li, Z.; Gu, X. Long-term trends and spatial patterns of PM2.5-induced premature mortality in South and Southeast Asia from 1999 to 2014. Sci. Total Environ. 2018, 631–632, 1504–1514. [Google Scholar] [CrossRef]
- Cohen, A.J.; Brauer, M.; Burnett, R.; Anderson, H.R.; Frostad, J.; Estep, K.; Balakrishnan, K.; Brunekreef, B.; Dandona, L.; Dandona, R.; et al. Estimates and 25-year trends of the global burden of disease attributable to ambient air pollution: An analysis of data from the Global Burden of Diseases Study 2015. Lancet 2017, 389, 1907–1918. [Google Scholar] [CrossRef]
- Giannadaki, D.; Lelieveld, J.; Pozzer, A. Implementing the US air quality standard for PM2.5 worldwide can prevent millions of premature deaths per year. Environ. Health 2016, 15, 88. [Google Scholar] [CrossRef]
- WHO. Ambient Air Pollution: A Global Assessment of Exposure and Burden of Disease; WHO: Geneva, Switzerland, 2016. [Google Scholar]
- Moyebi, O.D.; Sannoh, F.; Fatmi, Z.; Siddique, A.; Khan, K.; Zeb, J.; Hussain, M.M.; Carpenter, D.O.; Khwaja, H.A. State of gaseous air pollutants and resulting health effects in Karachi, Pakistan. Environ. Monit. Assess. 2023, 195, 266. [Google Scholar] [CrossRef] [PubMed]
- Bloomberg. The World’s Worst Public Transport System Attempts to Modernize. 2020. Available online: https://www.bloomberg.com/news/features/2020-11-02/pakistan-s-megacity-tries-to-modernize (accessed on 18 December 2024).
- Ambade, B.; Sankar, T.K. Source apportionment and health risks assessment of black carbon Aerosols in an urban atmosphere in East India. J. Atmos. Chem. 2021, 78, 177–191. [Google Scholar] [CrossRef]
- Pani, S.K.; Wang, S.-H.; Lin, N.-H.; Chantara, S.; Lee, C.-T.; Thepnuan, D. Black carbon over an urban atmosphere in northern peninsular Southeast Asia: Characteristics, source apportionment, and associated health risks. Environ. Pollut. 2020, 259, 113871. [Google Scholar] [CrossRef] [PubMed]
- Wu, J.; Lu, J.; Min, X.; Zhang, Z. Distribution and health risks of aerosol black carbon in a representative city of the Qinghai-Tibet Plateau. Environ. Sci. Pollut. Res. 2018, 25, 19403–19412. [Google Scholar] [CrossRef] [PubMed]
- Khwaja, H.A.; Fatmi, Z.; Malashock, D.; Aminov, Z.; Kazi, A.; Siddique, A.; Qureshi, J.; Carpenter, D. Effect of air pollution on daily morbidity in Karachi, Pakistan. J. Local Glob. Health Sci. 2012, 2012, 2–13. [Google Scholar] [CrossRef]
- Chang, L.; Scorgie, Y.; Duc, H.; Monk, K.; Fuchs, D.; Trieu, T. Major source contributions to ambient PM2.5 and exposures within the New South Wales Greater Metropolitan Region. Atmosphere 2019, 10, 138. [Google Scholar] [CrossRef]
- Squizzato, S.; Masiol, M.; Rich, D.Q.; Hopke, P.K. PM2.5 and gaseous pollutants in New York State during 2005–2016: Spatial variability, temporal trends, and economic influences. Atmos. Environ. 2018, 183, 209–224. [Google Scholar] [CrossRef]
- Narita, D.; Oanh, N.; Sato, K.; Huo, M.; Permadi, D.; Chi, N.; Ratanajaratroj, T.; Pawarmart, I. Pollution characteristics and policy actions on fine particulate matter in a Growing Asian Economy: The case of Bangkok Metropolitan Region. Atmosphere 2019, 10, 227. [Google Scholar] [CrossRef]
- Park, S.-H.; Ko, D.-W. Investigating the effects of the built environment on PM2.5 and PM10: A case study of Seoul Metropolitan City, South Korea. Sustainability 2018, 10, 4552. [Google Scholar] [CrossRef]
- Sicard, P.; Khaniabadi, Y.O.; Perez, S.; Gualtieri, M.; De Marco, A. Effect of O3, PM10 and PM2.5 on cardiovascular and respiratory diseases in cities of France, Iran and Italy. Environ. Sci. Pollut. Res. 2019, 26, 32645–32665. [Google Scholar] [CrossRef]
- Jacobson, M.Z. Strong radiative heating due to the mixing state of black carbon in atmospheric aerosols. Nature 2001, 409, 695–697. [Google Scholar] [CrossRef]
- Ramanathan, V.; Carmichael, G. Global and regional climate changes due to black carbon. Nat. Geosci. 2008, 1, 221–227. [Google Scholar] [CrossRef]
- Bond, T.C.; Doherty, S.J.; Fahey, D.W.; Forster, P.M.; Berntsen, T.; DeAngelo, B.J.; Flanner, M.G.; Ghan, S.; Karcher, B.; Koch, D.; et al. Bounding the role of black carbon in the climate system: A scientific assessment. J. Geophys. Res. Atmos. 2013, 118, 5380–5552. [Google Scholar] [CrossRef]
- Klaassen, C.D. Casarett and Doull’s Toxicology: The Basic Science of Poisons; McGraw-Hill: New York, NY, USA, 1996. [Google Scholar]
- Chaudhuri, I.; Fruijtier-Pölloth, C.; Ngiewih, Y.; Levy, L. Evaluating the evidence on genotoxicity and reproductive toxicity of carbon black: A critical review. Crit. Rev. Toxicol. 2018, 48, 143–169. [Google Scholar] [CrossRef] [PubMed]
- Na, K.; Sawant, A.A.; Song, C.; Cocker, D.R. Primary and secondary carbonaceous species in the atmosphere of Western Riverside County, California. Atmos. Environ. 2004, 38, 1345–1355. [Google Scholar] [CrossRef]
- Nguyen, H.T.; Roper, C. Black carbon concentrations, sources, and health risks at six cities in Mississippi, USA. Air Qual. Atmos. Health 2024, 17, 103–123. [Google Scholar] [CrossRef]
- Saha, A.; Despiau, S. Seasonal and diurnal variations of black carbon aerosols over a Mediterranean coastal zone. Atmos. Res. 2009, 92, 27–41. [Google Scholar] [CrossRef]
- Viidanoja, J.; Sillanpää, M.; Laakia, J.; Kerminen, V.-M.; Hillamo, R.; Aarnio, P.; Koskentalo, T. Organic and black carbon in PM2.5 and PM10: 1 year of data from an urban site in Helsinki, Finland. Atmos. Environ. 2002, 36, 3183–3193. [Google Scholar] [CrossRef]
- Esmaeilirad, S.; Lai, A.; Abbaszade, G.; Schnelle-Kreis, J.; Zimmermann, R.; Uzu, G.; Daellenbach, K.; Canonaco, F.; Hassankhany, H.; Arhami, M.; et al. Source apportionment of fine particulate matter in a Middle Eastern Metropolis, Tehran-Iran, using PMF with organic and inorganic markers. Sci. Total Environ. 2020, 705, 135330. [Google Scholar] [CrossRef]
- Feng, J.; Zhong, M.; Xu, B.; Du, Y.; Wu, M.; Wang, H.; Chen, C. Concentrations, seasonal and diurnal variations of black carbon in PM2.5 in Shanghai, China. Atmos. Res. 2014, 147–148, 1–9. [Google Scholar] [CrossRef]
- Tiwari, S.; Srivastava, A.K.; Bisht, D.S.; Parmita, P.; Srivastava, M.K.; Attri, S.D. Diurnal and seasonal variations of black carbon and PM2.5 over New Delhi, India: Influence of meteorology. Atmos. Res. 2013, 125–126, 50–62. [Google Scholar] [CrossRef]
- Guo, P.; Miao, H.; Chen, Y.; Fu, Y.; Wu, Y.; Zhao, Q.; Li, B. Maternal exposure to gaseous ambient air pollutants increases the risk of preterm birth in the Pearl River Delta, China 2014–2017. Sci. Total Environ. 2019, 671, 959–970. [Google Scholar] [CrossRef]
- Maji, S.; Ahmed, S.; Siddiqui, W.A.; Ghosh, S. Short term effects of criteria air pollutants on daily mortality in Delhi, India. Atmos. Environ. 2017, 150, 210–219. [Google Scholar] [CrossRef]
- Patel, S.; Leavey, A.; He, S.; Fang, J.; O’Malley, K.; Biswas, P. Characterization of gaseous and particulate pollutants from gasification-based improved cookstoves. Energy Sustain. Dev. 2016, 32, 130–139. [Google Scholar] [CrossRef]
- Rodríguez-Villamizar, L.A.; Rojas-Roa, N.Y.; Fernández-Niño, J.A. Short-term joint effects of ambient air pollutants on emergency department visits for respiratory and circulatory diseases in Colombia, 2011–2014. Environ. Pollut. 2019, 248, 380–387. [Google Scholar] [CrossRef]
- Zabalza, J.; Ogulei, D.; Elustondo, D.; Santamaría, J.M.; Alastuey, A.; Querol, X.; Hopke, P.K. Study of urban atmospheric pollution in Navarre (Northern Spain). Environ. Monit. Assess. 2007, 134, 137–151. [Google Scholar] [CrossRef] [PubMed]
- Gurjar, B.R.; Butler, T.M.; Lawrence, M.G.; Lelieveld, J. Evaluation of emissions and air quality in megacities. Atmos. Environ. 2008, 42, 1593–1606. [Google Scholar] [CrossRef]
- Chiwa, M. Characteristics of atmospheric nitrogen and sulfur containing compounds in an inland suburban-forested site in northern Kyushu, western Japan. Atmos. Res. 2010, 96, 531–543. [Google Scholar] [CrossRef]
- Gillett, R.W.; Ayers, G.P.; Selleck, P.W.; MHW, T.; Harjanto, H. Concentrations of nitrogen and sulfur species in gas and rainwater from six sites in Indonesia. Water Air Soil Pollut. 2000, 120, 205–215. [Google Scholar] [CrossRef]
- Astudillo-García, C.I.; Rodríguez-Villamizar, L.A.; Cortez-Lugo, M.; Cruz-De la Cruz, J.C.; Fernández-Niño, J.A. Air Pollution and Suicide in Mexico City: A Time Series Analysis, 2000–2016. Int. J. Environ. Res. Public Health 2019, 16, 2971. [Google Scholar] [CrossRef]
- Mansha, M.; Ghauri, B.; Rahman, S.; Amman, A. Characterization and source apportionment of ambient air particulate matter (PM2.5) in Karachi. Sci. Total Environ. 2012, 425, 176–183. [Google Scholar] [CrossRef] [PubMed]
- Sharma, S.K.; Mandal, T.K.; Jain, S.; Saraswati, S.A.; Saxena, M. Source apportionment of PM2.5 in Delhi, India using PMF model. Bull. Environ. Contam. Toxicol. 2016, 97, 286–293. [Google Scholar] [CrossRef]
- Nie, D.; Qiu, Z.; Wang, X.; Liu, Z. Characterizing the source apportionment of black carbon and ultrafine particles near urban roads in Xi’an, China. Environ. Res. 2022, 215, 114209. [Google Scholar] [CrossRef]
- Mir, K.A.; Purohit, P.; Ijaz, M.; Babar, Z.B.; Mehmood, S. Black carbon emissions inventory and scenario analysis for Pakistan. Environ. Pollut. 2024, 340, 122745. [Google Scholar] [CrossRef]
- Goel, V.; Hazarika, N.; Kumar, M.; Singh, V.; Thamban, N.M.; Tripathi, S.N. Variations in black carbon concentration and sources during COVID-19 lockdown in Delhi. Chemosphere 2021, 270, 129435. [Google Scholar] [CrossRef]
- Xu, J.; Niehoff, N.M.; White, A.J.; Werder, E.J.; Sandler, D.P. Fossil-fuel and combustion-related air pollution and hypertension in the Sister Study. Environ. Pollut. 2022, 315, 120401. [Google Scholar] [CrossRef]
- Raji, H.; Riahi, A.; Borsi, S.H.; Masoumi, K.; Khanjani, N.; Ahmadi, A.K.; Goudarzi, G.; Dastoorpoor, M. Acute effects of air pollution on hospital admissions for asthma, COPD, and bronchiectasis in Ahvaz, Iran. Int. J. Chron. Obs. Pulmon. Dis. 2020, 15, 501–514. [Google Scholar] [CrossRef]
- Yan, M.; Ge, H.; Zhang, L.; Chen, X.; Yang, X.; Liu, F.; Shan, A.; Liang, F.; Li, X.; Ma, Z.; et al. Long-term PM2.5 exposure in association with chronic respiratory diseases morbidity: A cohort study in Northern China. Ecotoxicol. Environ. Saf. 2022, 244, 114025. [Google Scholar] [CrossRef] [PubMed]
- Gong, T.; Sun, Z.; Zhang, X.; Zhang, Y.; Wang, S.; Han, L.; Zhao, D.; Ding, D.; Zheng, C. Associations of black carbon and PM2.5 with daily cardiovascular mortality in Beijing, China. Atmos. Environ. 2019, 214, 116876. [Google Scholar] [CrossRef]
- Hvidtfeldt, U.A.; Sørensen, M.; Geels, C.; Ketzel, M.; Khan, J.; Tjønneland, A.; Overvad, K.; Brandt, J.; Raaschou-Nielsen, O. Long-term residential exposure to PM2.5, PM10, black carbon, NO2, and ozone and mortality in a Danish cohort. Environ. Int. 2019, 123, 265–272. [Google Scholar] [CrossRef]
- Lequy, E.; Siemiatycki, J.; de Hoogh, K.; Vienneau, D.; Dupuy, J.-F.; Garès, V.; Hertel, O.; Christensen, J.H.; Zhivin, S.; Goldberg, M.; et al. Contribution of long-term exposure to outdoor black carbon to the carcinogenicity of air pollution: Evidence regarding risk of cancer in the Gazel Cohort. Environ. Health Perspect. 2021, 129, 037005. [Google Scholar] [CrossRef] [PubMed]
- Lepeule, J.; Litonjua, A.A.; Coull, B.; Koutrakis, P.; Sparrow, D.; Vokonas, P.S.; Schwartz, J. Long-term effects of traffic particles on lung function decline in the elderly. Am. J. Respir. Crit. Care Med. 2014, 190, 542–548. [Google Scholar] [CrossRef]
- Zanobetti, A.; Coull, B.A.; Gryparis, A.; Kloog, I.; Sparrow, D.; Vokonas, P.S.; Wright, R.O.; Gold, D.R.; Schwartz, J. Associations between arrhythmia episodes and temporally and spatially resolved black carbon and particulate matter in elderly patients. Occup. Environ. Med. 2014, 71, 201–207. [Google Scholar] [CrossRef]
- Suglia, S.F.; Gryparis, A.; Wright, R.O.; Schwartz, J.; Wright, R.J. Association of black carbon with cognition among children in a prospective birth cohort study. Am. J. Epidemiol. 2007, 167, 280–286. [Google Scholar] [CrossRef]
- Zhang, J.; Li, X.; Cheng, W.; Li, Y.; Shi, T.; Jiang, Y.; Wang, T.; Wang, H.; Ren, D.; Zhang, R.; et al. Chronic carbon black nanoparticles exposure increases lung cancer risk by affecting the cell cycle via circulatory inflammation. Environ. Pollut. 2022, 305, 119293. [Google Scholar] [CrossRef]
- Nejjari, C.; Marfak, A.; Rguig, A.; Maaroufi, A.; El Marouani, I.; El Haloui, A.; El Johra, B.; Ouahabi, R.; Moulki, R.; Azami, A.I.; et al. Ambient air pollution and emergency department visits among children and adults in Casablanca, Morocco. AIMS Public Health 2021, 8, 285–302. [Google Scholar] [CrossRef]
- Cerón, R.M.; Cerón, J.G.; Rangel, M.; Ruíz, A.; Aguilar, C.; Montalvo, C.; Canedo, Y.; Rocío García, R.; Uc, M.; Galván, A. Association between short-term exposure to criteria air pollutants and daily mortality in Mexico City: A time series study. Atmosphere 2023, 14, 955. [Google Scholar] [CrossRef]
- Bell, M.L.; Ebisu, K.; Belanger, K. Ambient air pollution and low birth weight in Connecticut and Massachusetts. Environ. Health Perspect. 2007, 115, 1118–1124. [Google Scholar] [CrossRef] [PubMed]
- Dong, S.; Abu-Awad, Y.; Kosheleva, A.; Fong, K.C.; Koutrakis, P.; Schwartz, J.D. Maternal exposure to black carbon and nitrogen dioxide during pregnancy and birth weight: Using machine-learning methods to achieve balance in inverse-probability weights. Environ. Res. 2022, 211, 112978. [Google Scholar] [CrossRef]
- Fu, Z.; Liu, Q.; Liang, J.; Huang, T.; Liang, G.; Zhou, Y.; Gu, A. Association of ambient air pollution exposure with low birth weight. Environ. Res. 2022, 215, 114164. [Google Scholar] [CrossRef]
- Hao, J.; Peng, L.; Cheng, P.; Li, S.; Zhang, C.; Fu, W.; Dou, L.; Yang, F.; Hao, J. A time series analysis of ambient air pollution and low birth weight in Xuzhou, China. Int. J. Environ. Health Res. 2022, 32, 1238–1247. [Google Scholar] [CrossRef]
- Raaschou-Nielsen, O.; Andersen, Z.J.; Beelen, R.; Samoli, E.; Stafoggia, M.; Weinmayr, G.; Hoffmann, B.; Fischer, P.; Nieuwenhuijsen, M.J.; Brunekreef, B.; et al. Air pollution and lung cancer incidence in 17 European cohorts: Prospective analyses from the European Study of Cohorts for Air Pollution Effects (ESCAPE). Lancet Oncol. 2013, 14, 813–822. [Google Scholar] [CrossRef]
- Lamichhane, D.K.; Kim, H.-C.; Choi, C.-M.; Shin, M.-H.; Shim, Y.M.; Leem, J.-H.; Ryu, J.S.; Nam, H.S.; Park, S.M. Lung cancer risk and residential exposure to air pollution: A Korean Population-Based Case-Control Study. Yonsei Med. J. 2017, 58, 1111. [Google Scholar] [CrossRef]
- Meng, X.; Liu, C.; Chen, R.; Sera, F.; Vicedo-Cabrera, A.M.; Milojevic, A.; Guo, Y.; Tong, S.; de Sousa Zanotti Stagliorio Coelho, M.; Saldiva, P.H.N.; et al. Short term associations of ambient nitrogen dioxide with daily total, cardiovascular, and respiratory mortality: Multilocation analysis in 398 cities. BMJ 2021, 372, n534. [Google Scholar] [CrossRef] [PubMed]
- Saucy, A.; de Hoogh, K.; Vienneau, D.; Tangermann, L.; Schäffer, B.; Wunderli, J.-M.; Probst-Hensch, N.; Röösli, M. Mutual effects of fine particulate matter, nitrogen dioxide, and fireworks on cause-specific acute cardiovascular mortality: A case-crossover study in communities affected by aircraft noise. Environ. Pollut. 2021, 291, 118066. [Google Scholar] [CrossRef]
- Madani, N.A.; Jones, L.E.; Carpenter, D.O. Different volatile organic compounds in local point source air pollution pose distinctive elevated risks for respiratory disease-associated emergency room visits. Chemosphere 2023, 344, 140403. [Google Scholar] [CrossRef] [PubMed]
- Badshah, S.; Mason, L.; McKelvie, K.; Payne, R.; Lisboa, P.J. Risk factors for low birthweight in the public-hospitals at Peshawar, NWFP-Pakistan. BMC Public Health 2008, 8, 197. [Google Scholar] [CrossRef]
- Zheng, W.; Suzuki, K.; Tanaka, T.; Kohama, M.; Yamagata, Z. Association between maternal smoking during pregnancy and low birthweight: Effects by maternal age. PLoS ONE 2016, 11, e0146241. [Google Scholar] [CrossRef]
- Delcroix, M.-H.; Delcroix-Gomez, C.; Marquet, P.; Gauthier, T.; Thomas, D.; Aubard, Y. Active or passive maternal smoking increases the risk of low birth weight or preterm delivery: Benefits of cessation and tobacco control policies. Tob. Induc. Dis. 2023, 21, 72. [Google Scholar] [CrossRef]
- Jaitner, A.; Vaudel, M.; Tsaneva-Atanasova, K.; Njølstad, P.R.; Jacobsson, B.; Bowden, J.; Johansson, S.; Freathy, R.M. Smoking during pregnancy and its effect on placental weight: A Mendelian randomization study. MedRxiv 2023. [Google Scholar] [CrossRef] [PubMed]
- Basit, A.; Younus, B.; Waris, N.; Fawwad, A. Prevalence of tobacco use in urban and rural areas of Pakistan; a sub-study from second National Diabetes Survey of Pakistan (NDSP) 2016–2017. Pak. J. Med. Sci. 2020, 36, 808. [Google Scholar] [CrossRef]
- Norsa’adah, B.; Salinah, O. The effect of second-hand smoke exposure during pregnancy on the newborn weight in Malaysia. Malays. J. Med. Sci. 2014, 21, 44–53. [Google Scholar] [PubMed]
- Delcroix-Gomez, C.; Delcroix, M.-H.; Jamee, A.; Gauthier, T.; Marquet, P.; Aubard, Y. Fetal growth restriction, low birth weight, and preterm birth: Effects of active or passive smoking evaluated by maternal expired CO at delivery, impacts of cessation at different trimesters. Tob. Induc. Dis. 2022, 20, 70. [Google Scholar] [CrossRef]
- Ali, M.U.; Yu, Y.; Yousaf, B.; Munir, M.A.M.; Ullah, S.; Zheng, C.; Kuang, X.; Wong, M.H. Health impacts of indoor air pollution from household solid fuel on children and women. J. Hazard. Mater. 2021, 416, 126127. [Google Scholar] [CrossRef]
- Siddiqui, A.R.; Gold, E.B.; Yang, X.; Lee, K.; Brown, K.H.; Bhutta, Z.A. Prenatal exposure to wood fuel smoke and low birth weight. Environ. Health Perspect. 2008, 116, 543–549. [Google Scholar] [CrossRef] [PubMed]
- Akhmat, G.; Zaman, K.; Shukui, T.; Abdul, M.I.; Begum, S.; Ahmed, A. A contemporary landscape of air pollution and greenhouse gas emissions leads to inevitable phenomena of low birthweight. Environ. Sci. Pollut. Res. 2014, 21, 9408–9414. [Google Scholar] [CrossRef]
- Kovesi, T.; Corey, M.; Levison, H. Passive smoking and lung function in cystic fibrosis. Am. Rev. Resp. Dis. 1993, 148, 1266–1271. [Google Scholar] [CrossRef]
- Islam, T.; Braymiller, J.; Eckel, S.P.; Liu, F.; Tackett, A.P.; Rebuli, M.E.; Barrington-Trimis, J.; McConnell, R. Secondhand nicotine vaping at home and respiratory symptoms in young adults. Thorax 2022, 77, 663–668. [Google Scholar] [CrossRef]
- Du, Y.; Cui, X.; Sidorenkov, G.; Groen, H.J.M.; Vliegenthart, R.; Heuvelmans, M.A.; Liu, S.; Oudkerk, M.; de Bock, G.H. Lung cancer occurrence attributable to passive smoking among never smokers in China: A systematic review and meta-analysis. Transl. Lung Cancer Res. 2020, 9, 204–217. [Google Scholar] [CrossRef]
- Hackshaw, A.K. Lung cancer and passive smoking. Stat. Methods Med. Res. 1998, 7, 119–136. [Google Scholar] [CrossRef]
- Rabbani, U.; Razzaq, S.; Irfan, M.; Semple, S.; Nafees, A.A. Indoor air pollution and respiratory health in a metropolitan city of Pakistan. J. Occup. Environ. Med. 2022, 64, 761–765. [Google Scholar] [CrossRef]
- Anwar, M.N.; Shabbir, M.; Tahir, E.; Iftikhar, M.; Saif, H.; Tahir, A.; Murtaza, M.A.; Khokhar, M.F.; Rehan, M.; Aghbashlo, M.; et al. Emerging challenges of air pollution and particulate matter in China, India, and Pakistan and mitigating solutions. J. Hazard. Mater. 2021, 416, 125851. [Google Scholar] [CrossRef] [PubMed]
- Bukhari, S.S.I.; Ali, Z. Characterization of bioaerosols and particulate matter (PM) in residential settings of asthmatic patients of Lahore, Pakistan. Iran. J. Allergy Asthma Immunol. 2021, 20, 147–159. [Google Scholar] [PubMed]
- Fatima, M.; Butt, I.; Nasar-u-Minallah, M.; Atta, A.; Cheng, G. Assessment of air pollution and its association with population health: Geo-statistical evidence from Pakistan. Geogr. Environ. Sustain. 2023, 16, 93–101. [Google Scholar] [CrossRef]
- Khoramdad, M.; Vahedian-azimi, A.; Karimi, L.; Rahimi-Bashar, F.; Amini, H.; Sahebkar, A. Association between passive smoking and cardiovascular disease: A systematic review and meta-analysis. IUBMB Life 2020, 72, 677–686. [Google Scholar] [CrossRef] [PubMed]
- Kvaavik, E.; Tverdal, A.; Batty, G.D. Biomarker-assessed passive smoking in relation to cause-specific mortality: Pooled data from 12 prospective cohort studies comprising 36 584 individuals. J. Epidemiol. Community Health (1978) 2021, 75, 794–799. [Google Scholar] [CrossRef]
- Whincup, P.H.; Gilg, J.A.; Emberson, J.R.; Jarvis, M.J.; Feyerabend, C.; Bryant, A.; Walker, M.; Cook, D.G. Passive smoking and risk of coronary heart disease and stroke: Prospective study with cotinine measurement. BMJ 2004, 329, 200–205. [Google Scholar] [CrossRef]
- Phosri, A.; Ueda, K.; Phung, V.L.H.; Tawatsupa, B.; Honda, A.; Takano, H. Effects of ambient air pollution on daily hospital admissions for respiratory and cardiovascular diseases in Bangkok, Thailand. Sci. Total Environ. 2019, 651, 1144–1153. [Google Scholar] [CrossRef]
- Vanoli, J.; Quint, J.K.; Rajagopalan, S.; Stafoggia, M.; Al-Kindi, S.; Mistry, M.N.; Masselot, P.; de la Cruz Libardi, A.; Fook Sheng Ng, C.; Madaniyazi, L.; et al. Association between long-term exposure to low ambient PM2.5 and cardiovascular hospital admissions: A UK Biobank study. Environ. Int. 2024, 192, 109011. [Google Scholar] [CrossRef] [PubMed]
- Tajudin, M.A.B.A.; Madaniyazi, L.; Seposo, X.; Sahani, M.; Tobías, A.; Latif, M.T.; Wan Mahiyuddin, W.R.; Ibrahim, M.F.; Tamaki, S.; Moji, K.; et al. Short-term associations of PM10 attributed to biomass burning with respiratory and cardiovascular hospital admissions in Peninsular Malaysia. Int. J. Epidemiol. 2024, 53, dyae102. [Google Scholar] [CrossRef]
- Kim, J.; Song, H.; Lee, J.; Kim, Y.J.; Chung, H.S.; Yu, J.M.; Jang, G.; Park, R.; Chung, W.; Oh, C.M.; et al. Smoking and passive smoking increases mortality through mediation effect of cadmium exposure in the United States. Sci. Rep. 2023, 13, 3878. [Google Scholar] [CrossRef]
- Yamamoto, S.S.; Phalkey, R.; Malik, A.A. A systematic review of air pollution as a risk factor for cardiovascular disease in South Asia: Limited evidence from India and Pakistan. Int. J. Hyg. Environ. Health 2014, 217, 133–144. [Google Scholar] [CrossRef]
- Lu, Y.; Lin, S.; Fatmi, Z.; Malashock, D.; Hussain, M.M.; Siddique, A.; Carpenter, D.O.; Lin, Z.; Khwaja, H.A. Assessing the association between fine particulate matter (PM2.5) constituents and cardiovascular diseases in a mega-city of Pakistan. Environ. Pollut. 2019, 252, 1412–1422. [Google Scholar] [CrossRef]
- Malashock, D.; Khwaja, H.; Fatmi, Z.; Siddique, A.; Lu, Y.; Lin, S.; Carpenter, D.O. Short-term association between black carbon exposure and cardiovascular diseases in Pakistan’s largest megacity. Atmosphere 2018, 9, 420. [Google Scholar] [CrossRef]
- Senila, M.; Varaticeanu, C.; Costiug, S.; Todor-Boer, O. An Evaluation of Mercury Accumulation Dynamics in Tree Leaves Growing in a Contaminated Area as Part of the Ecosystem Services: A Case Study of Turda, Romania. Land 2025, 14, 1529. [Google Scholar] [CrossRef]







| Date | PM2.5 | Low Birth Weight | Decreased Lung Function | Cardiovascular Mortality | Lung Cancer |
|---|---|---|---|---|---|
| Aug-08 | 41.6 | 15.8 | 39.9 | 22.0 | 13.3 |
| Sep-08 | 88.7 | 33.7 | 85.2 | 47.0 | 28.4 |
| Oct-08 | 74.0 | 28.1 | 71.1 | 39.2 | 23.7 |
| Dec-08 | 146 | 55.5 | 140 | 77.4 | 46.7 |
| Jan-09 | 102 | 38.7 | 97.7 | 53.9 | 32.6 |
| Feb-09 | 94.7 | 36.0 | 90.9 | 50.2 | 30.3 |
| Mar-09 | 64.5 | 24.5 | 61.9 | 34.2 | 20.6 |
| Apr-09 | 93.2 | 35.4 | 89.4 | 49.4 | 29.8 |
| May-09 | 67.8 | 25.8 | 65.1 | 35.9 | 21.7 |
| Jun-09 | 59.6 | 22.6 | 57.2 | 31.6 | 19.1 |
| Jul-09 | 83.4 | 31.7 | 80.0 | 44.2 | 26.7 |
| Aug-09 | 76.6 | 29.1 | 73.6 | 40.6 | 24.5 |
| Oct-09 | 98.1 | 37.3 | 94.2 | 52.0 | 31.4 |
| Nov-09 | 139 | 52.9 | 134 | 73.8 | 44.6 |
| Feb-10 | 92.4 | 35.1 | 88.7 | 49.0 | 29.6 |
| Mar-10 | 130 | 49.4 | 125 | 68.8 | 41.6 |
| Apr-10 | 182 | 69.0 | 174 | 96.2 | 58.1 |
| May-10 | 63.4 | 24.1 | 60.8 | 33.6 | 20.3 |
| Jun-10 | 50.0 | 19.0 | 48.0 | 26.5 | 16.0 |
| Jul-10 | 59.8 | 22.7 | 57.4 | 31.7 | 19.1 |
| Aug-10 | 92.4 | 35.1 | 88.7 | 48.9 | 29.6 |
| Nov-10 | 166 | 63.2 | 160 | 88.2 | 53.2 |
| Dec-10 | 152 | 57.8 | 146 | 80.7 | 48.7 |
| Jan-11 | 149 | 56.8 | 143 | 79.2 | 47.8 |
| Feb-11 | 127 | 48.3 | 122 | 67.3 | 40.6 |
| Mar-11 | 69.6 | 26.4 | 66.8 | 36.9 | 22.3 |
| Apr-11 | 74.6 | 28.4 | 71.7 | 39.6 | 23.9 |
| May-11 | 79.9 | 30.3 | 76.7 | 42.3 | 25.6 |
| Jun-11 | 121 | 45.9 | 116 | 64.1 | 38.7 |
| Date | BC | Low Birth Weight | Decreased Lung Function | Cardiovascular Mortality | Lung Cancer |
|---|---|---|---|---|---|
| Aug-08 | 2.13 | 6.83 | 17.9 | 6.61 | 2.99 |
| Sep-08 | 3.66 | 11.7 | 30.8 | 11.4 | 5.13 |
| Oct-08 | 3.18 | 10.2 | 26.7 | 9.87 | 4.46 |
| Dec-08 | 3.47 | 11.1 | 29.1 | 10.8 | 4.86 |
| Jan-09 | 4.42 | 14.1 | 37.1 | 13.7 | 6.19 |
| Feb-09 | 3.39 | 10.9 | 28.5 | 10.5 | 4.75 |
| Mar-09 | 4.32 | 13.8 | 36.3 | 13.4 | 6.05 |
| Apr-09 | 4.19 | 13.4 | 35.2 | 13.0 | 5.86 |
| Jun-09 | 7.08 | 22.7 | 59.5 | 21.9 | 9.91 |
| Jul-09 | 8.00 | 25.6 | 67.2 | 24.8 | 11.2 |
| Aug-09 | 6.97 | 22.3 | 58.6 | 21.6 | 9.76 |
| Date | NO2 | Low Birth Weight | Decreased Lung Function | Cardiovascular Mortality | Lung Cancer |
|---|---|---|---|---|---|
| Aug-08 | 6.86 | 0.89 | 2.54 | 2.47 | 1.17 |
| Sep-08 | 7.93 | 1.03 | 2.94 | 2.86 | 1.35 |
| Oct-08 | 5.66 | 0.74 | 2.09 | 2.04 | 0.96 |
| Dec-08 | 7.54 | 0.98 | 2.79 | 2.71 | 1.28 |
| Jan-09 | 9.40 | 1.22 | 3.48 | 3.38 | 1.60 |
| Feb-09 | 8.70 | 1.13 | 3.22 | 3.13 | 1.48 |
| Apr-09 | 9.98 | 1.30 | 3.69 | 3.59 | 1.70 |
| May-09 | 7.61 | 0.99 | 2.82 | 2.74 | 1.29 |
| Jul-09 | 8.12 | 1.06 | 3.00 | 2.92 | 1.38 |
| Aug-09 | 5.70 | 0.74 | 2.11 | 2.05 | 0.97 |
Disclaimer/Publisher’s Note: The statements, opinions and data contained in all publications are solely those of the individual author(s) and contributor(s) and not of MDPI and/or the editor(s). MDPI and/or the editor(s) disclaim responsibility for any injury to people or property resulting from any ideas, methods, instructions or products referred to in the content. |
© 2026 by the authors. Licensee MDPI, Basel, Switzerland. This article is an open access article distributed under the terms and conditions of the Creative Commons Attribution (CC BY) license.
Share and Cite
Madani, N.A.; Carpenter, D.O.; Khwaja, H.A. Health Risk Assessment of PM2.5, NO2, and BC Exposure on Adults and Children in Karachi, Pakistan. Urban Sci. 2026, 10, 97. https://doi.org/10.3390/urbansci10020097
Madani NA, Carpenter DO, Khwaja HA. Health Risk Assessment of PM2.5, NO2, and BC Exposure on Adults and Children in Karachi, Pakistan. Urban Science. 2026; 10(2):97. https://doi.org/10.3390/urbansci10020097
Chicago/Turabian StyleMadani, Najm Alsadat, David O. Carpenter, and Haider A. Khwaja. 2026. "Health Risk Assessment of PM2.5, NO2, and BC Exposure on Adults and Children in Karachi, Pakistan" Urban Science 10, no. 2: 97. https://doi.org/10.3390/urbansci10020097
APA StyleMadani, N. A., Carpenter, D. O., & Khwaja, H. A. (2026). Health Risk Assessment of PM2.5, NO2, and BC Exposure on Adults and Children in Karachi, Pakistan. Urban Science, 10(2), 97. https://doi.org/10.3390/urbansci10020097
