In Vitro Activity of a New Ophthalmic Spray Containing Biosecur® Citrus Extract (Oftasecur®) Against Candida auris and Candida albicans and Preformed Biofilm on Contact Lenses
Abstract
1. Introduction
2. Materials and Methods
2.1. Isolates and Growth Conditions
2.2. Contact Lenses
2.3. Evaluation of Antifungal Activity of Oftasecur Ocular Spray® Against C. auris and C. albicans Planktonic Cells
2.4. Biofilm Formation on Contact Lenses
2.5. Evaluation of Antifungal Activity of Oftasecur Ocular Spray® Against C. auris and C. albicans One-Day-Old Biofilms on Contact Lenses
2.6. Evaluation of Antifungal Activity of Oftasecur Ocular Spray® Against C. auris and C. albicans One-Day-Old Biofilms Formed on Plastic Contact Lens Cases
3. Results
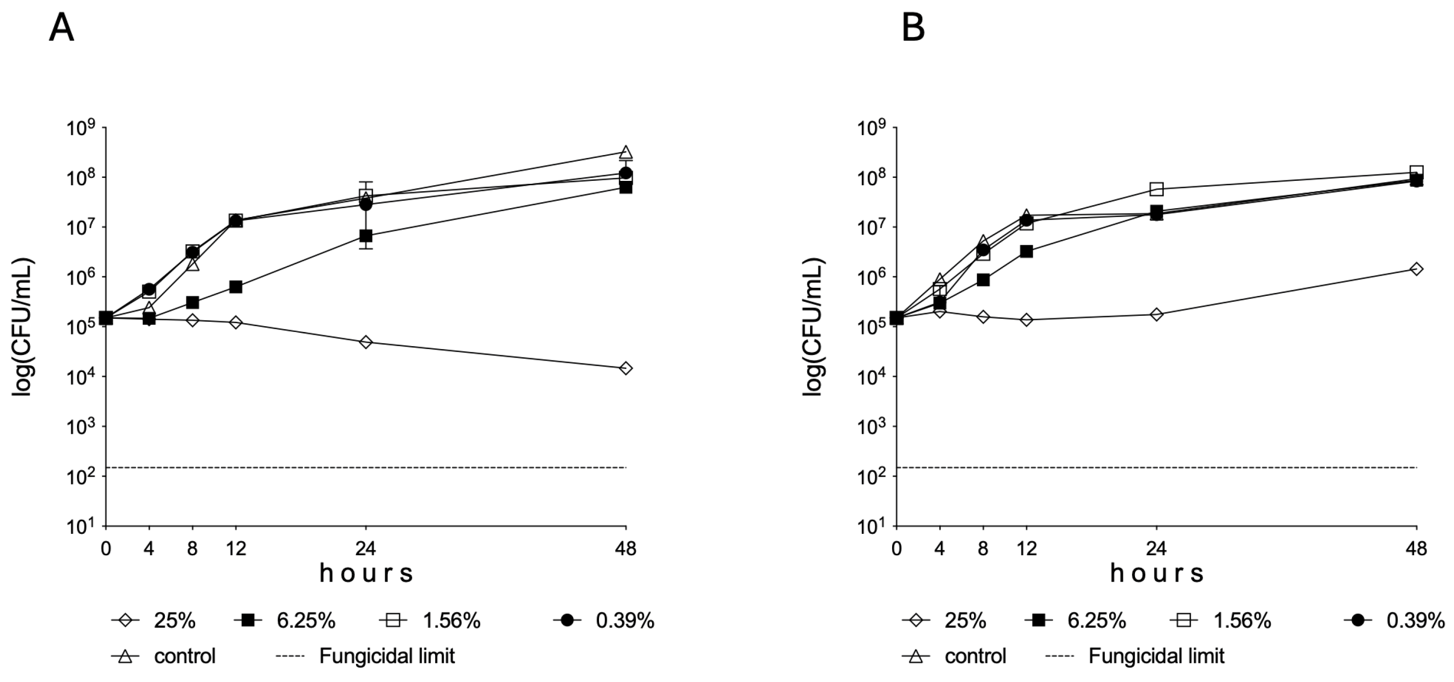
3.1. Evaluation of Antifungal Activity of Oftasecur Ocular Spray® Against C. albicans and C. auris Planktonic Cells
3.2. Evaluation of Antifungal Activity of Oftasecur Ocular Spray® Against C. albicans and C. auris One-Day-Old Biofilms Formed on Contact Lenses (Etafilcon A)
3.3. Evaluation of Antifungal Activity of Oftasecur Ocular Spray® Against C. albicans and C. auris One-Day-Old Biofilms on Contact Lenses (Senofilcon A)
3.4. Evaluation of Activity of Oftasecur Ocular Spray® in the Case of the Biofilm Mass of C. albicans and C. auris Sessile Communities Formed on Plastic Contact Lens Cases Using Crystal Violet Assays
3.5. Evaluation of Activity of Oftasecur Ocular Spray® in the Case of the Metabolic Activity of C. albicans and C. auris One-Day-Old Biofilms Formed on Plastic Contact Lens Cases Using XTT Assays
4. Discussion
Author Contributions
Funding
Institutional Review Board Statement
Informed Consent Statement
Data Availability Statement
Acknowledgments
Conflicts of Interest
References
- Thomas, P.A.; Kaliamurthy, J. Mycotic keratitis: Epidemiology, diagnosis and management. Clin. Microbiol. Infect. 2013, 19, 210–220. [Google Scholar] [CrossRef]
- Kredics, L.; Narendran, V.; Shobana, C.S.; Vágvölgyi, C.; Manikandan, P.; Indo-Hungarian Fungal Keratitis Working Group. Filamentous fungal infections of the cornea: A global overview of epidemiology and drug sensitivity. Mycoses 2015, 58, 243–260. [Google Scholar] [CrossRef]
- Jurkunas, U.; Behlau, I.; Colby, K. Fungal keratitis: Changing pathogens and risk factors. Cornea 2009, 28, 638–643. [Google Scholar] [CrossRef]
- Qiao, G.L.; Ling, J.; Wong, T.; Yeung, S.N.; Iovieno, A. Candida keratitis: Epidemiology, management, and clinical outcomes. Cornea 2020, 39, 801–805. [Google Scholar] [CrossRef] [PubMed]
- Cheung, N.N.; Cheng, Y.Y.Y.; van Duinen, S.G.; Houbraken, J.; Verweij, P.E.; Gooskens, J. Contact lens-related fungal keratitis. Lancet Infect. Dis. 2020, 20, 1100. [Google Scholar] [CrossRef] [PubMed]
- Panche, A.N.; Diwan, A.D.; Chandra, S.R. Flavonoids: An overview. J. Nutr. Sci. 2016, 5, e47. [Google Scholar] [CrossRef] [PubMed]
- Burt, S. Essential oils: Their antibacterial properties and potential applications in foods: A review. Int. J. Food Microbiol. 2004, 94, 223–253. [Google Scholar] [CrossRef] [PubMed]
- Mandalari, G.; Bennett, R.N.; Bisignano, G.; Trombetta, D.; Saija, A.; Faulds, C.B.; Gasson, M.J.; Narbad, A. Antimicrobial activity of flavonoids extracted from bergamot (Citrus bergamia Risso) peel, a byproduct of the essential oil industry. J. Appl. Microbiol. 2007, 103, 2056–2064. [Google Scholar] [CrossRef]
- Cormier, J.; Scott, R.; Janes, M. Antibacterial activity of Biosecur® citrus extract surface cleaner against Vibrio vulnificus. Open Microbiol. J. 2013, 7, 130–134. [Google Scholar] [CrossRef] [PubMed]
- Vagge, A.; Ferro Desideri, L.; Carnevali, A.; Del Noce, C.; Camposampiero, D.; Agrusta, M.; Ponzin, D.; Pellegrini, M.; Vaccaro, S.; Nicolò, M.; et al. Efficacy of a new commercial ocular spray containing Oftasecur citrus extract for reducing microbial load in the conjunctiva of patients receiving intravitreal injections. Ophthalmol. Ther. 2021, 10, 1025–1032. [Google Scholar] [CrossRef]
- Mencucci, R.; Ghelardi, E.; Celandroni, F.; Mazzantini, C.; Vecchione, A.; Pellegrini-Giampietro, D.E.; Favuzza, E.; Landucci, E. Antiseptics and the ocular surface: In vitro antimicrobial activity and effects on conjunctival and corneal epithelial cells of a new liposomal ocular spray containing Biosecur® citrus extract. Ophthalmol. Ther. 2022, 11, 1067–1077. [Google Scholar] [CrossRef]
- Balla, N.; Kovács, F.; Balázs, B.; Borman, A.M.; Bozó, A.; Jakab, Á.; Tóth, Z.; Kobaissi, O.; Majoros, L.; Kovács, R. Synergistic interaction of caspofungin combined with posaconazole against FKS wild-type and mutant Candida auris planktonic cells and biofilms. Antibiotics 2022, 11, 1601. [Google Scholar] [CrossRef]
- Borman, A.M.; Szekely, A.; Johnson, E.M. Isolates of the emerging pathogen Candida auris present in the UK have several geographic origins. Med. Mycol. 2017, 55, 563–567. [Google Scholar] [CrossRef]
- Nagy, F.; Vitális, E.; Jakab, Á.; Borman, A.M.; Forgács, L.; Tóth, Z.; Majoros, L.; Kovács, R. In vitro and in vivo effect of exogenous farnesol exposure against Candida auris. Front. Microbiol. 2020, 11, 957. [Google Scholar] [CrossRef]
- Imamura, Y.; Chandra, J.; Mukherjee, P.K.; Lattif, A.A.; Szczotka-Flynn, L.B.; Pearlman, E.; Lass, J.H.; O’Donnell, K.; Ghannoum, M.A. Fusarium and Candida albicans biofilms on soft contact lenses: Model development, influence of lens type, and susceptibility to lens care solutions. Antimicrob. Agents Chemother. 2008, 52, 171–182. [Google Scholar] [CrossRef]
- O’Toole, G.A. Microtiter dish biofilm formation assay. J. Vis. Exp. 2011, 47, 2437. [Google Scholar] [CrossRef]
- Sun, R.L.; Jones, D.B.; Wilhelmus, K.R. Clinical characteristics and outcome of Candida keratitis. Am. J. Ophthalmol. 2007, 143, 1043–1045. [Google Scholar] [CrossRef] [PubMed]
- Keay, L.J.; Gower, E.W.; Iovieno, A.; Oechsler, R.A.; Alfonso, E.C.; Matoba, A.; Colby, K.; Tuli, S.S.; Hammersmith, K.; Cavanagh, D.; et al. Clinical and microbiological characteristics of fungal keratitis in the United States, 2001–2007, a multicenter study. Ophthalmology 2011, 118, 920–926. [Google Scholar] [CrossRef] [PubMed]
- Ong, H.S.; Fung, S.S.M.; Macleod, D.; Dart, J.K.G.; Tuft, S.J.; Burton, M.J. Altered patterns of fungal keratitis at a London ophthalmic referral hospital: An eight-year retrospective observational study. Am. J. Ophthalmol. 2016, 168, 227–236. [Google Scholar] [CrossRef] [PubMed]
- Masoumi, A.; Soleimani, M.; Azizkhani, M.; Izadi, A.; Cheraqpour, K.; Tabatabaei, S.A.; Khodavaisy, S.; Aminzadeh, M. Clinical features, risk factors, and management of Candida keratitis. Ocul. Immunol. Inflamm. 2024, 32, 1169–1174. [Google Scholar] [CrossRef] [PubMed]
- Ling, J.Y.; Yeung, S.N.; Chan, C.C.; Trinh, T.; Antaki, F.; Harissi-Dagher, M.; Sivachandran, N.; Fava, M.; Légaré, M.; Iovieno, A. Trends and clinical outcomes of fungal keratitis in Canada: A 20-year Retrospective Multicentre Study. Am. J. Ophthalmol. 2024, 265, 147–155. [Google Scholar] [CrossRef] [PubMed]
- Meis, J.F.; Chowdhary, A. Candida auris: A global fungal public health threat. Lancet Infect. Dis. 2018, 18, 1298–1299. [Google Scholar] [CrossRef]
- Horton, M.V.; Nett, J.E. Candida auris infection and biofilm formation: Going beyond the surface. Curr. Clin. Microbiol. Rep. 2020, 7, 51–56. [Google Scholar] [CrossRef]
- Sayeed, M.A.; Farooqi, J.; Jabeen, K.; Awan, S.; Mahmood, S.F. Clinical spectrum and factors impacting outcome of Candida auris: A single center study from Pakistan. BMC Infect. Dis. 2019, 19, 384. [Google Scholar] [CrossRef] [PubMed]
- Dart, J.K.; Stapleton, F.; Minassian, D. Contact lenses and other risk factors in microbial keratitis. Lancet 1991, 338, 650–653. [Google Scholar] [CrossRef]
- Mondino, B.J.; Weissman, B.A.; Farb, M.D.; Pettit, T.H. Corneal ulcers associated with daily-wear and extended-wear contact lenses. Am. J. Ophthalmol. 1986, 102, 58–65. [Google Scholar] [CrossRef]
- Pinna, A.; Sechi, L.A.; Zanetti, S.; Usai, D.; Delogu, G.; Cappuccinelli, P.; Carta, F. Bacillus cereus keratitis associated with contact lens wear. Ophthalmology 2001, 108, 1830–1834. [Google Scholar] [CrossRef] [PubMed]
- Pinna, A.; Usai, D.; Sechi, L.A.; Molicotti, P.; Zanetti, S.; Carta, A. Detection of virulence factors in Pseudomonas aeruginosa strains isolated from contact lens-associated corneal ulcers. Cornea 2008, 27, 320–326. [Google Scholar] [CrossRef] [PubMed]
- Lockhart, S.R.; Chowdhary, A.; Gold, J.A.W. The rapid emergence of antifungal-resistant human-pathogenic fungi. Nat. Rev. Microbiol. 2023, 21, 818–832. [Google Scholar] [CrossRef]
- Pinna, A.; Donadu, M.G.; Usai, D.; Dore, S.; D’Amico-Ricci, G.; Boscia, F.; Zanetti, S. In vitro antimicrobial activity of a new ophthalmic solution containing povidone-iodine 0.6% (IODIM®). Acta Ophthalmol. 2020, 98, e178–e180. [Google Scholar] [CrossRef]
- Rutala, W.A. APIC guideline for selection and use of disinfectants. 1994, 1995, and 1996 APIC Guidelines Committee. Association for Professionals in Infection Control and Epidemiology. Inc. Am. J. Infect. Control. 1996, 24, 313–342. [Google Scholar] [CrossRef] [PubMed]
- Pelletier, J.S.; Miller, D.; Liang, B.; Capriotti, J.A. In vitro efficacy of a povidone-iodine 0.4% and dexamethasone 0.1% suspension against ocular pathogens. J. Cataract. Refract. Surg. 2011, 37, 763–766. [Google Scholar] [CrossRef]
- Kondo, S.; Tabe, Y.; Yamada, T.; Misawa, S.; Oguri, T.; Ohsaka, A.; Miida, T. Comparison of antifungal activities of gentian violet and povidone-iodine against clinical isolates of Candida species and other yeasts: A framework to establish topical disinfectant activities. Mycopathologia 2012, 173, 21–25. [Google Scholar] [CrossRef] [PubMed]
- Pinna, A.; Donadu, M.G.; Usai, D.; Dore, S.; Boscia, F.; Zanetti, S. In vitro antimicrobial activity of a new ophthalmic solution containing hexamidine diisethionate 0.05%. Cornea 2020, 39, 1415–1418. [Google Scholar] [CrossRef] [PubMed]
- Costerton, J.W.; Lewandowski, Z.; DeBeer, D.; Caldwell, D.; Korber, D.; James, G. Biofilms, the customized microniche. J. Bacteriol. 1994, 176, 2137–2142. [Google Scholar] [CrossRef]
- Szczotka-Flynn, L.B.; Imamura, Y.; Chandra, J.; Yu, C.; Mukherjee, P.K.; Pearlman, E.; Ghannoum, M.A. Increased resistance of contact lens-related bacterial biofilms to antimicrobial activity of soft contact lens care solutions. Cornea 2009, 28, 918–926. [Google Scholar] [CrossRef]




Disclaimer/Publisher’s Note: The statements, opinions and data contained in all publications are solely those of the individual author(s) and contributor(s) and not of MDPI and/or the editor(s). MDPI and/or the editor(s) disclaim responsibility for any injury to people or property resulting from any ideas, methods, instructions or products referred to in the content. |
© 2025 by the authors. Licensee MDPI, Basel, Switzerland. This article is an open access article distributed under the terms and conditions of the Creative Commons Attribution (CC BY) license (https://creativecommons.org/licenses/by/4.0/).
Share and Cite
Pinna, A.; Donadu, M.G.; Dore, S.; Serra, R.; Sacchi, M.; Boscia, G.; Bozó, A.; Kovács, R. In Vitro Activity of a New Ophthalmic Spray Containing Biosecur® Citrus Extract (Oftasecur®) Against Candida auris and Candida albicans and Preformed Biofilm on Contact Lenses. Vision 2025, 9, 12. https://doi.org/10.3390/vision9010012
Pinna A, Donadu MG, Dore S, Serra R, Sacchi M, Boscia G, Bozó A, Kovács R. In Vitro Activity of a New Ophthalmic Spray Containing Biosecur® Citrus Extract (Oftasecur®) Against Candida auris and Candida albicans and Preformed Biofilm on Contact Lenses. Vision. 2025; 9(1):12. https://doi.org/10.3390/vision9010012
Chicago/Turabian StylePinna, Antonio, Matthew Gavino Donadu, Stefano Dore, Rita Serra, Matteo Sacchi, Giacomo Boscia, Aliz Bozó, and Renátó Kovács. 2025. "In Vitro Activity of a New Ophthalmic Spray Containing Biosecur® Citrus Extract (Oftasecur®) Against Candida auris and Candida albicans and Preformed Biofilm on Contact Lenses" Vision 9, no. 1: 12. https://doi.org/10.3390/vision9010012
APA StylePinna, A., Donadu, M. G., Dore, S., Serra, R., Sacchi, M., Boscia, G., Bozó, A., & Kovács, R. (2025). In Vitro Activity of a New Ophthalmic Spray Containing Biosecur® Citrus Extract (Oftasecur®) Against Candida auris and Candida albicans and Preformed Biofilm on Contact Lenses. Vision, 9(1), 12. https://doi.org/10.3390/vision9010012

