A Novel Two-Week Dynamic HIIT Protocol Improves Roller Skiing Speed and Metabolic Efficiency in Trained Cross-Country Skiers: A Pilot Study
Abstract
1. Introduction
2. Materials and Methods
2.1. Participants
- Consent to participate in the study.
- Age 12–45 years.
- The training volume of the participants was 7 h or more a week for the last year.
- Sufficient skills to perform the predicted load on the treadmill ergometer.
- VO2max for male participants > 50 mL/kg/min, and for females > 40 mL/kg/min.
- Not taking any medication.
- Passed pre-participation medical screening in the last 12 months.
- Uncontrolled arrhythmia causing symptoms or hemodynamic compromise.
- Syncope.
- Acute respiratory virus infection in the last 2 weeks.
- Uncontrolled asthma.
- Chest pain typical of ischemia.
- Confusion.
2.2. Procedures
2.2.1. Warm-Up
2.2.2. Exercise Testing
2.2.3. Interval Training
2.3. Statistical Analysis
3. Results
3.1. Performance at VO2max
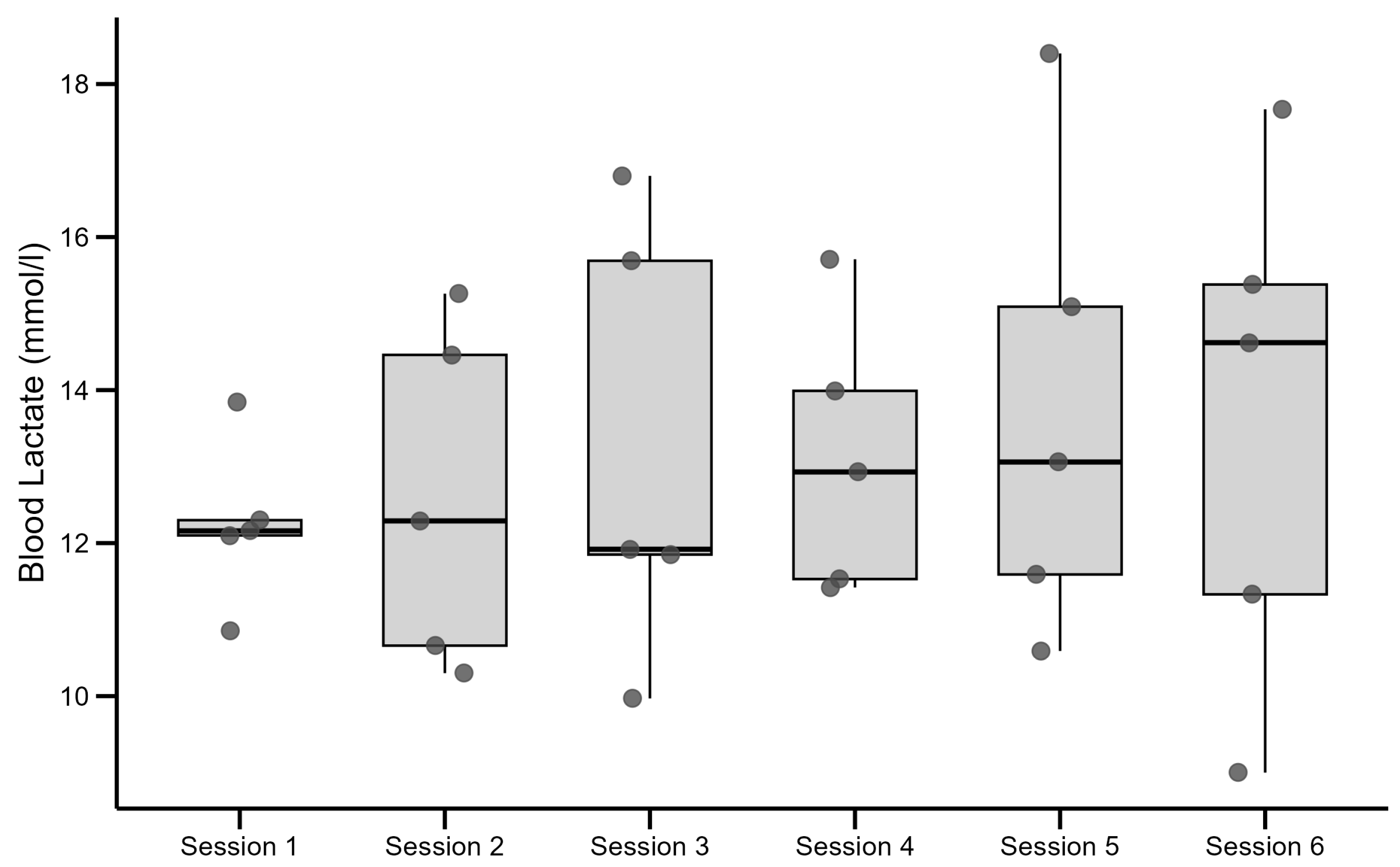
3.2. Metabolic Adaptations
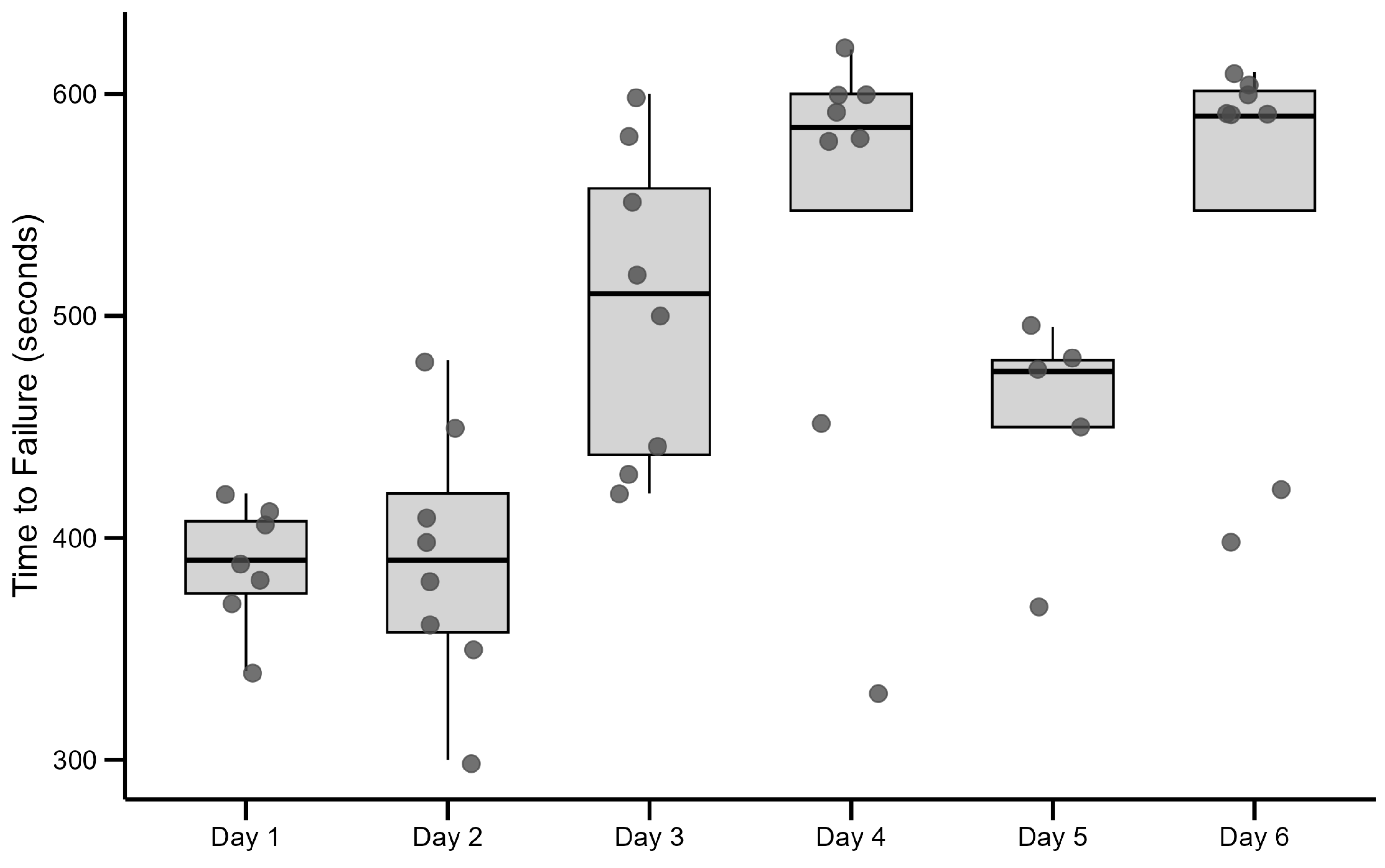
3.3. Time to Exhaustion
3.4. Changes in Body Mass
4. Discussion
4.1. Performance and Efficiency
4.2. Metabolic Adaptations
4.3. Body Mass and Training Load
4.4. Time to Exhaustion
4.5. Limitations of the Study
4.6. Practical Implementation
5. Conclusions
Author Contributions
Funding
Institutional Review Board Statement
Informed Consent Statement
Data Availability Statement
Acknowledgments
Conflicts of Interest
Abbreviations
| VO2max | Maximum oxygen uptake |
| HIIT | High-intensity interval training |
| RER | Respiratory exchange ratio |
| TOST | Two one-sided tests |
| EPOC | Excess post-exercise oxygen consumption |
| CP | Critical power |
| VT2 | Ventilatory threshold 2 |
| LT2 | Lactic threshold 2 |
References
- LaMonte, M.B.; Barlow, C.E.; Jurca, R.; Kampert, J.B.; Church, T.S.; Blair, S.N. Cardiorespiratory fitness is inversely associated with the incidence of metabolic syndrome: A prospective study of men and women. Circulation 2005, 112, 505–512. [Google Scholar] [CrossRef]
- Myers, J.; Prakash, M.; Froelicher, V.; Do, D.; Partington, S.; Atwood, J.E. Exercise capacity and mortality among men referred for exercise testing. N. Engl. J. Med. 2002, 346, 793–801. [Google Scholar] [CrossRef] [PubMed]
- Kodama, S.; Saito, K.; Tanaka, S.; Maki, M.; Yachi, Y.; Asumi, M.; Sugawara, A.; Totsuka, K.; Shimano, H.; Ohashi, Y.; et al. Cardiorespiratory fitness as a quantitative predictor of all-cause mortality and cardiovascular events in healthy men and women: A meta-analysis. JAMA 2009, 301, 2024–2035. [Google Scholar] [CrossRef]
- Sandbakk, Ø.; Hegge, A.M.; Losnegard, T.; Skattebo, Ø.; Tønnessen, E.; Holmberg, H.C. The physiological capacity of the world’s highest ranked female cross-country skiers. Med. Sci. Sports Exerc. 2016, 48, 1091–1100. [Google Scholar] [CrossRef] [PubMed]
- Lucía, A.; Hoyos, J.; Pérez, M.; Santalla, A.; Chicharro, J.L. Inverse relationship between VO2max and economy/efficiency in world-class cyclists. Med. Sci. Sports Exerc. 2002, 34, 2079–2084. [Google Scholar] [CrossRef] [PubMed]
- Mooses, M.; Mooses, K.; Haile, D.W.; Durussel, J.; Kaasik, P.; Pitsiladis, Y.P. Dissociation between running economy and running performance in elite Kenyan distance runners. J. Sports Sci. 2015, 33, 136–144. [Google Scholar] [CrossRef]
- Losnegard, T. Energy system contribution during competitive cross-country skiing. Eur. J. Appl. Physiol. 2019, 119, 1675–1690. [Google Scholar] [CrossRef]
- Bacon, A.P.; Carter, R.E.; Ogle, E.A.; Joyner, M.J. VO2max trainability and high intensity interval training in humans: A meta-analysis. PLoS ONE 2013, 8, e73182. [Google Scholar] [CrossRef]
- Storoschuk, K.L.; Moran-MacDonald, A.M.; Gibala, M.J.; Gurd, B.J. Much Ado About Zone 2: A Narrative Review Assessing the Efficacy of Zone 2 Training for Improving Mitochondrial Capacity and Cardiorespiratory Fitness in the General Population. Sports Med. 2025, 55, 1611–1624. [Google Scholar] [CrossRef]
- Helgerud, J.; Høydal, K.; Wang, E.; Karlsen, T.; Berg, P.; Bjerkaas, M.; Simonsen, T.; Helgesen, C.; Hjorth, N.; Bach, R.; et al. Aerobic high-intensity intervals improve VO2max more than moderate training. Med. Sci. Sports Exerc. 2007, 39, 665–671. [Google Scholar] [CrossRef]
- Sloth, M.; Sloth, D.; Overgaard, K.; Dalgas, U. Effects of sprint interval training on VO2max and aerobic exercise performance: A systematic review and meta-analysis. Scand. J. Med. Sci. Sports 2013, 23, 341–352. [Google Scholar] [CrossRef]
- Gist, N.H.; Fedewa, M.V.; Dishman, R.K.; Cureton, K.J. Sprint interval training effects on aerobic capacity: A systematic review and meta-analysis. Sports Med. 2014, 44, 269–279. [Google Scholar] [CrossRef]
- Gibala, M.J.; McGee, S.L. Metabolic adaptations to short-term high-intensity interval training: A little pain for a lot of gain? Exerc. Sport Sci. Rev. 2008, 36, 58–63. [Google Scholar] [CrossRef] [PubMed]
- Gibala, M.J.; Little, J.P.; MacDonald, M.J.; Hawley, J.A. Physiological adaptations to low-volume, high-intensity interval training in health and disease. J. Physiol. 2012, 590, 1077–1084. [Google Scholar] [CrossRef]
- Seiler, K.S.; Kjerland, G.O. Quantifying training intensity distribution in elite endurance athletes: Is there evidence for an “optimal” distribution? Scand. J. Med. Sci. Sports 2006, 16, 49–56. [Google Scholar] [CrossRef]
- Seiler, S. What is best practice for training intensity and duration distribution in endurance athletes? Int. J. Sports Physiol. Perform. 2010, 5, 276–291. [Google Scholar] [CrossRef]
- Seiler, S. It’s about the long game, not epic workouts: Unpacking HIIT for endurance athletes. Appl. Physiol. Nutr. Metab. 2024, 49, 1585–1599. [Google Scholar] [CrossRef]
- Wen, D.; Utesch, T.; Wu, J.; Robertson, S.; Liu, J.; Hu, G.; Chen, H. Effects of different protocols of high intensity interval training for VO2max improvements in adults: A meta-analysis of randomised controlled trials. J. Sci. Med. Sport 2019, 22, 941–947. [Google Scholar] [CrossRef] [PubMed]
- Kreher, J.B. Diagnosis and prevention of overtraining syndrome: An opinion on education strategies. Open Access J. Sports Med. 2016, 7, 115–122. [Google Scholar] [CrossRef] [PubMed]
- Coates, A.M.; Joyner, M.J.; Little, J.P.; Jones, A.M.; Gibala, M.J. A perspective on high-intensity interval training for performance and health. Sports Med. 2023, 53 (Suppl. 1), 85–96. [Google Scholar] [CrossRef]
- Stöggl, T.L.; Blumkaitis, J.C.; Strepp, T.; Sareban, M.; Simon, P.; Neuberger, E.W.I.; Finkenzeller, T.; Nunes, N.; Aglas, L.; Haller, N. The Salzburg 10/7 HIIT shock cycle study: The effects of a 7-day high-intensity interval training shock microcycle with or without additional low-intensity training on endurance performance, well-being, stress and recovery in endurance trained athletes—Study protocol of a randomized controlled trial. BMC Sports Sci. Med. Rehabil. 2022, 14, 84. [Google Scholar] [CrossRef]
- Gillen, J.B.; Martin, B.J.; MacInnis, M.J.; Skelly, L.E.; Tarnopolsky, M.A.; Gibala, M.J. Twelve weeks of sprint interval training improves indices of cardiometabolic health similar to traditional endurance training despite a five-fold lower exercise volume and time commitment. PLoS ONE 2016, 11, e0154075. [Google Scholar] [CrossRef]
- Burgomaster, K.A.; Hughes, S.C.; Heigenhauser, G.L.F.; Bradwell, S.N.; Gibala, M.J. Six sessions of sprint interval training increases muscle oxidative potential and cycle endurance capacity in humans. J. Appl. Physiol. 2005, 98, 1985–1990. [Google Scholar] [CrossRef]
- MacIntosh, B.R.; Murias, J.M.; Keir, D.A.; Weir, J.M. What Is Moderate to Vigorous Exercise Intensity? Front. Physiol. 2021, 12, 682233. [Google Scholar] [CrossRef]
- Bellar, D.; Judge, L.W. Modeling and relationship of respiratory exchange ratio to athletic performance. J. Strength Cond. Res. 2012, 26, 2484–2489. [Google Scholar] [CrossRef]
- Lovell, D.I.; Stuelcken, M.; Eagles, A. Exercise testing for metabolic flexibility: Time for protocol standardization. Sports Med.-Open 2025, 11, 31. [Google Scholar] [CrossRef]
- Diefenthaeler, F.; Silva, B.V.B.; Barros, R.M.L.; Ritti-Dias, R.M. Is respiratory exchange ratio an alternative to estimate anaerobic threshold in incremental tests? Rev. Bras. De Ciência Mov./Braz. J. Mov. Sci. Health 2017, 23, 151–159. [Google Scholar]
- Poole, D.C.; Jones, A.M. Measurement of the maximum oxygen uptake VO2max: VO2peak is no longer acceptable. J. Appl. Physiol. 2017, 122, 997–1002. [Google Scholar] [CrossRef]
- McLaughlin, J.E.; Howley, E.T.; Bassett, D.R., Jr.; Thompson, D.L.; Fitzhugh, E.C. Test of the classic model for predicting endurance running performance. Med. Sci. Sports Exerc. 2010, 42, 991–997. [Google Scholar] [CrossRef] [PubMed]
- Coyle, E.F. Integration of physiological factors determining endurance performance ability. Exerc. Sport Sci. Rev. 1995, 23, 25–63. [Google Scholar] [CrossRef] [PubMed]
- Bangsbo, J.; Gunnarsson, T.P.; Wendell, J.; Nybo, L.; Thomassen, M. Reduced volume and increased training intensity elevate muscle Na+–K+ pump α2-subunit expression as well as short- and long-term work capacity in humans. J. Appl. Physiol. 2009, 107, 1771–1780. [Google Scholar] [CrossRef]
- Iaia, F.M.; Pérez-Gómez, J.; Thomassen, M.; Nordsborg, N.B.; Hellsten, Y.; Bangsbo, J. Relationship between performance at different exercise intensities and skeletal muscle characteristics. J. Appl. Physiol. 2011, 110, 1555–1563. [Google Scholar] [CrossRef]
- Bangsbo, J. Performance in sports—With specific emphasis on the effect of intensified training. Scand. J. Med. Sci. Sports 2015, 25 (Suppl. 4), 88–99. [Google Scholar] [CrossRef]
- Ma, X.; Cao, Z.; Zhu, Z.; Chen, X.; Wen, D.; Cao, Z. VO2max (VO2peak) in elite athletes under high-intensity interval training: A meta-analysis. Heliyon 2023, 9, e16663. [Google Scholar] [CrossRef]
- Skovgaard, C.; Christensen, P.M.; Larsen, S.; Andersen, T.R.; Thomassen, M.; Bangsbo, J. Concurrent speed endurance and resistance training improves performance, running economy, and muscle NHE1 in moderately trained runners. J. Appl. Physiol. 2014, 117, 1097–1109. [Google Scholar] [CrossRef]
- Llanos-Lagos, C.; Ramírez-Campillo, R.; Moran, J.; Sáez de Villarreal, E. The effect of strength training methods on middle-distance and long-distance runners’ athletic performance: A systematic review with meta-analysis. Sports Med. 2024, 54, 1801–1833. [Google Scholar] [CrossRef] [PubMed]
- Padulo, J.; Attene, G.; Pizzolato, F. The impact of training load on running gait variability: A pilot study. Acta Kinesiol. 2023, 17, 31–38. [Google Scholar] [CrossRef]
- Astorino, T.A.; Schubert, M.M. Changes in fat oxidation in response to various regimes of high-intensity interval training (HIIT). Eur. J. Appl. Physiol. 2018, 118, 51–63. [Google Scholar] [CrossRef]
- Granata, C.; Jamnick, N.A.; Bishop, D.J. Training-Induced Changes in Mitochondrial Content and Respiratory Function in Human Skeletal Muscle. Sports Med. 2018, 48, 1809–1828. [Google Scholar] [CrossRef] [PubMed]
- Cipryan, L.; Tschakert, G.; Hofmann, P. Acute and post-exercise physiological responses to high-intensity interval training in endurance and sprint athletes. J. Sports Sci. Med. 2017, 16, 219–229. [Google Scholar]
- Khodadadi, F.; Bagheri, R.; Negaresh, R.; Moradi, S.; Nordvall, M.; Camera, D.M.; Wong, A.; Suzuki, K. The effect of high-intensity interval training type on body fat percentage, fat and fat-free mass: A systematic review and meta-analysis of randomized clinical trials. J. Clin. Med. 2023, 12, 2291. [Google Scholar] [CrossRef]
- Li, Y.; Zhao, W.; Yang, Q. Effects of high-intensity interval training and moderate-intensity continuous training on mitochondrial dynamics in human skeletal muscle. Front. Physiol. 2025, 16, 1554222. [Google Scholar] [CrossRef]
- Hung, C.-H.; Su, C.-H.; Wang, D. The Role of High-Intensity Interval Training (HIIT) in Neuromuscular Adaptations: Implications for Strength and Power Development—A Review. Life 2025, 15, 657. [Google Scholar] [CrossRef] [PubMed]
- Mølmen, K.S.; Almquist, N.W.; Skattebo, Ø. Effects of exercise training on mitochondrial and capillary growth in human skeletal muscle: A systematic review and meta-regression. Sports Med. 2025, 55, 115–144. [Google Scholar] [CrossRef] [PubMed]
- Jin, K.; Cai, M.; Zhang, Y.; Wu, B.; Yang, Y. Effects of 6-week sprint interval training compared to traditional training on the running performance of distance runners: A randomized controlled trial. Front. Physiol. 2025, 16, 1536287. [Google Scholar] [CrossRef] [PubMed]
- Gurd, B.J.; Menezes, E.S.; Arhen, B.B.; Islam, H. Impacts of Altered Exercise Volume, Intensity, and Duration on the Activation of AMPK and CaMKII and Increases in PGC-1α mRNA. Semin. Cell Dev. Biol. 2023, 141, 48–58. [Google Scholar] [CrossRef]
- Hopkins, W.G. Measures of reliability in sports medicine and science. Sports Med. 2000, 30, 1–15. [Google Scholar] [CrossRef]
- Hecksteden, A.; Pitsch, W.; Rosenberger, F.; Meyer, T. Repeated testing for the assessment of individual response to exercise training. J. Appl. Physiol. 2018, 124, 1567–1579. [Google Scholar] [CrossRef]
- Davis, R.A.H.; Halbrooks, J.E.; Watkins, E.E.; Fisher, G.; Hunter, G.R.; Nagy, T.R.; Plaisance, E.P. High-intensity interval training and calorie restriction promote remodeling of glucose and lipid metabolism in diet-induced obesity. Am. J. Physiol. Endocrinol. Metab. 2017, 313, E410–E421. [Google Scholar] [CrossRef]
- Voss, C.; Metcalfe, R.S.; Williams, S.; Kelly, B.; Martin, B.J. High-intensity interval training promotes spontaneous dietary intake modulation in normal-weight adults. Appetite 2023, 172, 106145. [Google Scholar] [CrossRef]
- Monsalves-Álvarez, M.; Jiménez, T.; Bunout, D.; Barrera, G.; Hirsch, S.; Sepúlveda-Guzman, C.; Silva, C.; Rodriguez, J.M.; Troncoso, R.; de la Maza, M.P. High-intensity interval training prevents muscle mass loss in overweight Chilean young adults during a hypocaloric-Mediterranean diet: A randomized trial. Front. Nutr. 2023, 10, 1181436. [Google Scholar] [CrossRef]
- Dudley, C.; Johnston, R.; Jones, B.; Till, K.; Westbrook, H.; Weakley, J. Methods of monitoring internal and external loads and their relationships with physical qualities, injury, or illness in adolescent athletes: A systematic review and best-evidence synthesis. Sports Med. 2023, 53, 1559–1593. [Google Scholar] [CrossRef] [PubMed]
- Wang, Z.; Wang, Y.; Gao, W.; Zhong, Y. Effects of tapering on performance in endurance athletes: A systematic review and meta-analysis. PLoS ONE 2023, 18, e0282838. [Google Scholar] [CrossRef] [PubMed]
- Jafer, A.A.; Mondal, S.; Abdulkedir, M.; Mathivanan, D. Effect of Two Tapering Strategies on Endurance-Related Physiological Markers in Athletes from Selected Training Centres of Ethiopia. BMJ Open Sports Exerc. Med. 2019, 5, e000503. [Google Scholar] [CrossRef]
- Hart, B.L.; Buckley, S.; Burgomaster, K.A. High intensity interval training shock microcycles for enhancing sport performance: A brief review. J. Exerc. Sci. Fitness 2019, 17, 35–39. [Google Scholar]






Disclaimer/Publisher’s Note: The statements, opinions and data contained in all publications are solely those of the individual author(s) and contributor(s) and not of MDPI and/or the editor(s). MDPI and/or the editor(s) disclaim responsibility for any injury to people or property resulting from any ideas, methods, instructions or products referred to in the content. |
© 2025 by the authors. Licensee MDPI, Basel, Switzerland. This article is an open access article distributed under the terms and conditions of the Creative Commons Attribution (CC BY) license (https://creativecommons.org/licenses/by/4.0/).
Share and Cite
Jakovics, M.; Bernans, E.; Saulgriezis, R.; Pontaga, I. A Novel Two-Week Dynamic HIIT Protocol Improves Roller Skiing Speed and Metabolic Efficiency in Trained Cross-Country Skiers: A Pilot Study. J. Funct. Morphol. Kinesiol. 2025, 10, 407. https://doi.org/10.3390/jfmk10040407
Jakovics M, Bernans E, Saulgriezis R, Pontaga I. A Novel Two-Week Dynamic HIIT Protocol Improves Roller Skiing Speed and Metabolic Efficiency in Trained Cross-Country Skiers: A Pilot Study. Journal of Functional Morphology and Kinesiology. 2025; 10(4):407. https://doi.org/10.3390/jfmk10040407
Chicago/Turabian StyleJakovics, Marcis, Edgars Bernans, Raivo Saulgriezis, and Inese Pontaga. 2025. "A Novel Two-Week Dynamic HIIT Protocol Improves Roller Skiing Speed and Metabolic Efficiency in Trained Cross-Country Skiers: A Pilot Study" Journal of Functional Morphology and Kinesiology 10, no. 4: 407. https://doi.org/10.3390/jfmk10040407
APA StyleJakovics, M., Bernans, E., Saulgriezis, R., & Pontaga, I. (2025). A Novel Two-Week Dynamic HIIT Protocol Improves Roller Skiing Speed and Metabolic Efficiency in Trained Cross-Country Skiers: A Pilot Study. Journal of Functional Morphology and Kinesiology, 10(4), 407. https://doi.org/10.3390/jfmk10040407

