Effect of Different Reduced Training Frequencies After 12 Weeks of Concurrent Ballistic and Aerobic Training on Muscle Power and Triceps Brachii Muscle Architecture
Abstract
1. Introduction
2. Materials and Methods
2.1. Experimental Approach
2.2. Participants
2.3. Procedures
2.3.1. Concurrent Resistance and Aerobic Training
2.3.2. Reduced Training and Complete Cessation of Exercise
2.3.3. Evaluation of Body Composition
2.3.4. Performance Evaluations
2.3.5. Ultrasonography
2.4. Statistical Analysis
3. Results
3.1. Systematic Concurrent Training (T1 to T2)
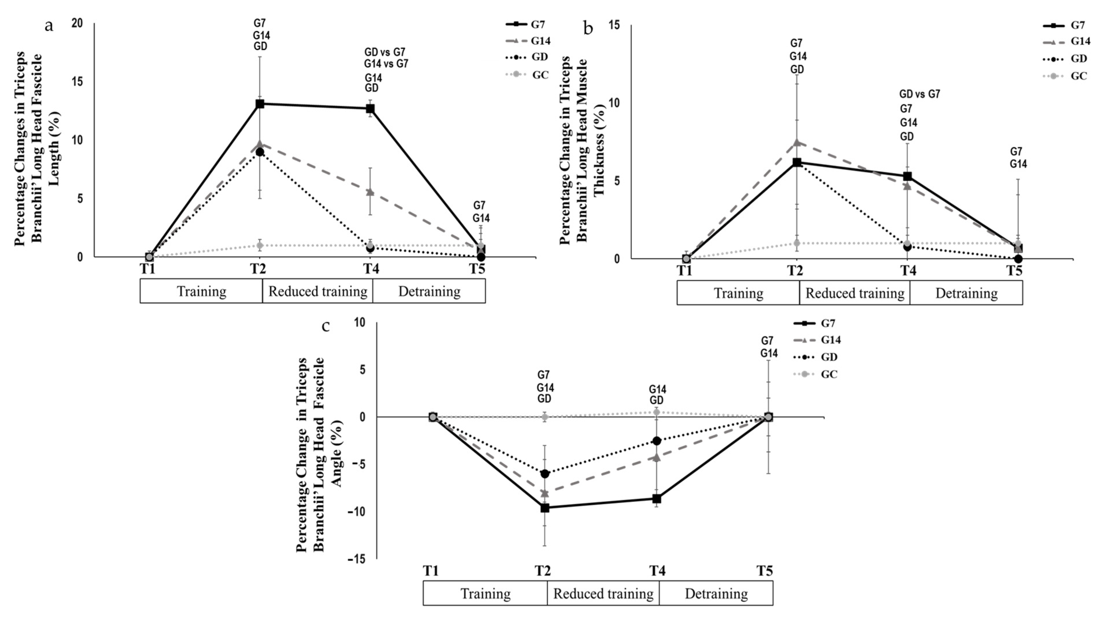
3.2. Reduced Training Frequency and Detraining (T2 to T5)
4. Discussion
5. Conclusions
Author Contributions
Funding
Institutional Review Board Statement
Informed Consent Statement
Data Availability Statement
Acknowledgments
Conflicts of Interest
References
- Garber, C.E.; Blissmer, B.; Deschenes, M.R.; Franklin, B.A.; Lamonte, M.J.; Lee, I.M.; Nieman, D.C.; Swain, D.P. American College of Sports Medicine position stand. Quantity and quality of exercise for developing and maintaining cardiorespiratory, musculoskeletal, and neuromotor fitness in apparently healthy adults: Guidance for prescribing exercise. Med. Sci. Sports Exerc. 2011, 43, 1334–1359. [Google Scholar] [CrossRef] [PubMed]
- Schumann, M.; Yli-Peltola, K.; Abbiss, C.R.; Häkkinen, K. Cardiorespiratory Adaptations During Concurrent Aerobic and Strength Training in Men and Women. PLoS ONE 2015, 10, e0139279. [Google Scholar] [CrossRef] [PubMed]
- Vina, J.; Sanchis-Gomar, F.; Martinez-Bello, V.; Gomez-Cabrera, M. Exercise acts as a drug; the pharmacological benefits of exercise. Br. J. Pharmacol. 2012, 167, 1–12. [Google Scholar] [CrossRef]
- Methenitis, S. A Brief Review on Concurrent Training: From Laboratory to the Field. Sports 2018, 6, 127. [Google Scholar] [CrossRef] [PubMed]
- Westcott, W.L. Resistance training is medicine: Effects of strength training on health. Curr. Sports Med. Rep. 2012, 11, 209–216. [Google Scholar] [CrossRef] [PubMed]
- Li, R.; Xia, J.; Zhang, X.I.; Gathirua-Mwangi, W.G.; Guo, J.; Li, Y.; McKenzie, S.; Song, Y. Associations of Muscle Mass and Strength with All-Cause Mortality Among US Older Adults. Med. Sci. Sports Exerc. 2018, 50, 458–467. [Google Scholar] [CrossRef] [PubMed]
- Mpampoulis, T.; Stasinaki, A.N.; Methenitis, S.; Zaras, N.; Bogdanis, G.C.; Terzis, G. Effect of Different Reduced Training Frequencies After 12 Weeks of Concurrent Resistance and Aerobic Training on Muscle Strength and Morphology. Sports 2024, 12, 198. [Google Scholar] [CrossRef]
- Tsitkanou, S.; Spengos, K.; Stasinaki, N.A.; Zaras, N.; Bogdanis, G.; Papadimas, G.; Terzis, G. Effects of high-intensity interval cycling performed after resistance training on muscle strength and hypertrophy. Scand. J. Med. Sci. Sports 2017, 27, 1317–1327. [Google Scholar] [CrossRef] [PubMed]
- Middelkamp, J.; van Rooijen, M.; Wolfhagen, P.; Steenbergen, B. The effects of a self-efficacy intervention on exercise behavior of fitness club members in 52 weeks and long-term relationships of transtheoretical model constructs. J. Sports Sci. Med. 2017, 16, 163–171. [Google Scholar] [PubMed]
- International Health, Racquet & Sports Club Association. The 2020 IHRSA Global Report; IHRSA: Boston, MA, USA, 2020; Available online: https://www.ihrsa.org/publications/the-2020-ihrsa-global-report/ (accessed on 20 November 2020).
- Vikne, H.; Strøm, V.; Pripp, A.H.; Gjøvaag, T. Human skeletal muscle fiber type percentage and area after reduced muscle use: A systematic review and meta-analysis. Scand. J. Med. Sci. Sports 2020, 30, 1298–1317. [Google Scholar] [CrossRef] [PubMed]
- Häkkinen, K.; Newton, R.U.; Walker, S.; Häkkinen, A.; Krapi, S.; Rekola, R.; Koponen, P.; Kraemer, W.J.; Haff, G.G.; Blazevich, A.J.; et al. Effects of Upper Body Eccentric versus Concentric Strength Training and Detraining on Maximal Force, Muscle Activation, Hypertrophy and Serum Hormones in Women. J. Sports Sci. Med. 2022, 21, 200–213. [Google Scholar] [CrossRef] [PubMed]
- Serra-Rexach, J.A.; Bustamante-Ara, N.; Hierro Villarán, M.; González Gil, P.; Sanz Ibáñez, M.J.; Blanco Sanz, N.; Ortega Santamaría, V.; Gutiérrez Sanz, N.; Marín Prada, A.B.; Gallardo, C.; et al. Short-term, light- to moderate-intensity exercise training improves leg muscle strength in the oldest old: A randomized controlled trial. J. Am. Geriatr. Soc. 2011, 59, 594–602. [Google Scholar] [CrossRef]
- Lovell, D.I.; Cuneo, R.; Gass, G.C. The effect of strength training and short-term detraining on maximum force and the rate of force development of older men. Eur. J. Appl. Physiol. 2010, 109, 429–435. [Google Scholar] [CrossRef] [PubMed]
- McMahon, G.; Morse, C.I.; Winwood, K.; Burden, A.; Onambélé, G.L. Circulating Tumor Necrosis Factor Alpha May Modulate the Short-Term Detraining Induced Muscle Mass Loss Following Prolonged Resistance Training. Front. Physiol. 2019, 10, 527. [Google Scholar] [CrossRef]
- Räntilä, A.; Ahtiainen, J.P.; Avela, J.; Restuccia, J.; Kidgell, D.; Häkkinen, K. High Responders to Hypertrophic Strength Training Also Tend to Lose More Muscle Mass and Strength During Detraining Than Low Responders. J. Strength Cond. Res. 2021, 35, 1500–1511. [Google Scholar] [CrossRef]
- Maeda, S.; Miyauchi, T.; Kakiyama, T.; Sugawara, J.; Iemitsu, M.; Irukayama-Tomobe, Y.; Murakami, H.; Kumagai, Y.; Kuno, S.; Matsuda, M. Effects of exercise training of 8 weeks and detraining on plasma levels of endothelium-derived factors, endothelin-1 and nitric oxide, in healthy young humans. Life Sci. 2001, 69, 1005–1016. [Google Scholar] [CrossRef]
- Nolan, P.B.; Keeling, S.M.; Robitaille, C.A.; Buchanan, C.A.; Dalleck, L.C. The Effect of Detraining after a Period of Training on Cardiometabolic Health in Previously Sedentary Individuals. Int. J. Environ. Res. Public Health 2018, 15, 2303. [Google Scholar] [CrossRef]
- Izquierdo, M.; Ibañez, J.; González-Badillo, J.J.; Ratamess, N.A.; Kraemer, W.J.; Häkkinen, K.; Bonnabau, H.; Granados, C.; French, D.N.; Gorostiaga, E.M. Detraining and tapering effects on hormonal responses and strength performance. J. Strength Cond. Res. 2007, 21, 768–775. [Google Scholar] [CrossRef]
- Graves, J.E.; Pollock, M.L.; Leggett, S.H.; Braith, R.W.; Carpenter, D.M.; Bishop, L.E. Effect of reduced training frequency on muscular strength. Int. J. Sports Med. 1988, 9, 316–319. [Google Scholar] [CrossRef]
- Sallinen, J.; Fogelholm, M.; Volek, J.S.; Kraemer, W.J.; Alen, M.; Häkkinen, K. Effects of strength training and reduced training on functional performance and metabolic health indicators in middle-aged men. Int. J. Sports Med. 2007, 28, 815–822. [Google Scholar] [CrossRef] [PubMed]
- Trappe, S.; Williamson, D.; Godard, M. Maintenance of whole muscle strength and size following resistance training in older men. J. Gerontol. Ser. A Biol. Sci. Med. Sci. 2002, 57, B138–B143. [Google Scholar] [CrossRef] [PubMed]
- Bickel, C.S.; Cross, J.M.; Bamman, M.M. Exercise dosing to retain resistance training adaptations in young and older adults. Med. Sci. Sports Exerc. 2011, 43, 1177–1187. [Google Scholar] [CrossRef] [PubMed]
- Tavares, L.D.; de Souza, E.O.; Ugrinowitsch, C.; Laurentino, G.C.; Roschel, H.; Aihara, A.Y.; Cardoso, F.N.; Tricoli, V. Effects of different strength training frequencies during reduced training period on strength and muscle cross-sectional area. Eur. J. Sport Sci. 2017, 17, 665–672. [Google Scholar] [CrossRef]
- Hickson, R.C.; Rosenkoetter, M.A. Reduced training frequencies and maintenance of increased aerobic power. Med. Sci. Sports Exerc. 1981, 13, 13–16. [Google Scholar] [CrossRef]
- Mujika, I.; Padilla, S. Muscular characteristics of detraining in humans. Med. Sci. Sports Exerc. 2001, 33, 1297–1303. [Google Scholar] [CrossRef]
- Panissa, V.L.G.; Fukuda, D.H.; de Oliveira, F.P.; Parmezzani, S.S.; Campos, E.Z.; Rossi, F.E.; Franchini, E.; Lira, F.S. Maximum Strength Development and Volume-Load during Concurrent High Intensity Intermittent Training Plus Strength or Strength-Only Training. J. Sports Sci. Med. 2018, 17, 623–632. [Google Scholar] [PubMed Central]
- Lee, M.J.; Ballantyne, J.K.; Chagolla, J.; Hopkins, W.G.; Fyfe, J.J.; Phillips, S.M.; Bishop, D.J.; Bartlett, J.D. Order of same-day concurrent training influences some indices of power development, but not strength, lean mass, or aerobic fitness in healthy, moderately-active men after 9 weeks of training. PLoS ONE 2020, 15, e0233134. [Google Scholar] [CrossRef]
- Spiliopoulou, P.; Zaras, N.; Methenitis, S.; Papadimas, G.; Papadopoulos, C.; Bogdanis, G.C.; Terzis, G. Effect of Concurrent Power Training and High-Intensity Interval Cycling on Muscle Morphology and Performance. J. Strength Cond. Res. 2021, 35, 2464–2471. [Google Scholar] [CrossRef] [PubMed]
- Borg, G.A.V. Borg’s Perceived Exertion and Pain Scales; Human Kinetics Press: Champaign, IL, USA, 1998. [Google Scholar]
- Parry, G.N.; Herrington, L.C.; Horsley, I.G. The Test-Retest Reliability of Force Plate-Derived Parameters of the Countermovement Push-Up as a Power Assessment Tool. J. Sport Rehabil. 2020, 29, 381–383. [Google Scholar] [CrossRef] [PubMed]
- Speranza, M.J.; Gabbett, T.J.; Johnston, R.D.; Sheppard, J.M. Muscular Strength and Power Correlates of Tackling Ability in Semiprofessional Rugby League Players. J. Strength Cond. Res. 2015, 29, 2071–2078. [Google Scholar] [CrossRef]
- Zaras, N.; Stasinaki, A.N.; Mpampoulis, T.; Spiliopoulou, P.; Hadjicharalambous, M.; Terzis, G. Effect of Inter-Repetition Rest Vs. Traditional Resistance Training on the Upper Body Strength Rate of Force Development and Triceps Brachii Muscle Architecture. J. Hum. Kinet. 2022, 81, 189–198. [Google Scholar] [CrossRef] [PubMed]
- Zaras, N.; Stasinaki, A.; Spiliopoulou, P.; Mpampoulis, T.; Terzis, G. Triceps brachii muscle architecture, upper-body rate of force development, and bench press maximum strength of strong and weak trained participants. Human. Movement. 2023, 24, 121–129. [Google Scholar] [CrossRef]
- American College of Sports Medicine. Laboratory Submaximal Exercise Testing: YMCA CycleνErgometer Test. In ACSM’s Health-Related Physical Fitness Assessment Manual, 2nd ed.; Wolters Kluwer: Philadelphia, PA, USA, 2008; pp. 112–116. [Google Scholar]
- Reeves, N.D.; Maganaris, C.N.; Narici, M.V. Ultrasonographic assessment of human skeletal muscle size. Eur. J. Appl. Physiol. 2004, 91, 116–118. [Google Scholar] [CrossRef] [PubMed]
- Stasinaki, A.N.; Zaras, N.; Methenitis, S.; Tsitkanou, S.; Krase, A.; Kavvoura, A.; Terzis, G. Triceps Brachii Muscle Strength and Architectural Adaptations with Resistance Training Exercises at Short or Long Fascicle Length. J. Funct. Morphol. Kinesiol. 2018, 3, 28. [Google Scholar] [CrossRef]
- Cantrell, G.S.; Schilling, B.K.; Paquette, M.R.; Murlasits, Z. Maximal strength, power, and aerobic endurance adaptations to concurrent strength and sprint interval training. Eur. J. Appl. Physiol. 2014, 114, 763–771. [Google Scholar] [CrossRef]
- Hendrickson, N.R.; Sharp, M.A.; Alemany, J.A.; Walker, L.A.; Harman, E.A.; Spiering, B.A.; Hatfield, D.L.; Yamamoto, L.M.; Maresh, C.M.; Kraemer, W.J.; et al. Combined resistance and endurance training improves physical capacity and performance on tactical occupational tasks. Eur. J. Appl. Physiol. 2010, 109, 1197–1208. [Google Scholar] [CrossRef] [PubMed]
- Hickson, R.C. Interference of strength development by simultaneously training for strength and endurance. Eur. J. Appl. Physiol. Occup. Physiol. 1980, 45, 255–263. [Google Scholar] [CrossRef]
- Cadore, E.L.; Pinto, R.S.; Lhullier, F.L.; Correa, C.S.; Alberton, C.L.; Pinto, S.S.; Almeida, A.P.; Tartaruga, M.P.; Silva, E.M.; Kruel, L.F. Physiological effects of concurrent training in elderly men. Int. J. Sports Med. 2010, 31, 689–697. [Google Scholar] [CrossRef] [PubMed]
- Mikkola, J.; Rusko, H.; Izquierdo, M.; Gorostiaga, E.M.; Häkkinen, K. Neuromuscular and cardiovascular adaptations during concurrent strength and endurance training in untrained men. Int. J. Sports Med. 2012, 33, 702–710. [Google Scholar] [CrossRef]
- Coffey, V.G.; Hawley, J.A. Concurrent exercise training: Do opposites distract? J. Physiol. 2017, 595, 2883–2896. [Google Scholar] [CrossRef]
- Fyfe, J.J.; Bishop, D.J.; Stepto, N.K. Interference between concurrent resistance and endurance exercise: Molecular bases and the role of individual training variables. Sports Med. 2014, 44, 743–762. [Google Scholar] [CrossRef] [PubMed]
- Terzis, G.; Spengos, K.; Methenitis, S.; Aagaard, P.; Karandreas, N.; Bogdanis, G. Early phase interference between low-intensity running and power training in moderately trained females. Eur. J. Appl. Physiol. 2016, 116, 1063–1073. [Google Scholar] [CrossRef] [PubMed]
- Fyfe, J.J.; Bartlett, J.D.; Hanson, E.D.; Stepto, N.K.; Bishop, D.J. Endurance Training Intensity Does Not Mediate Interference to Maximal Lower-Body Strength Gain During Short-Term Concurrent Training. Front. Physiol. 2016, 7, 487. [Google Scholar] [CrossRef] [PubMed]
- Zaras, N.; Spengos, K.; Methenitis, S.; Papadopoulos, C.; Karampatsos, G.; Georgiadis, G.; Stasinaki, A.; Manta, P.; Terzis, G. Effects of Strength vs. Ballistic-Power Training on Throwing Performance. J. Sports Sci. Med. 2013, 12, 130–137. [Google Scholar] [PubMed]
- Stasinaki, A.N.; Zaras, Ν.; Methenitis, S.; Bogdanis, G.; Terzis, G. Rate of force development and muscle architecture after fast and slow velocity eccentric training. Sports 2019, 7, 41. [Google Scholar] [CrossRef]
- Zaras, N.D.; Stasinaki, A.N.; Methenitis, S.K.; Krase, A.A.; Karampatsos, G.P.; Georgiadis, G.V.; Spengos, K.M.; Terzis, G.D. Rate of Force Development, Muscle Architecture, and Performance in Young Competitive Track and Field Throwers. J. Strength Cond. Res. 2016, 30, 81–92. [Google Scholar] [CrossRef]
- Zacharia, E.; Spiliopoulou, P.; Methenitis, S.; Stasinaki, A.N.; Zaras, N.; Papadopoulos, C.; Papadimas, G.; Karampatsos, G.; Bogdanis, G.; Terzis, G. Changes in muscle power and muscle morphology with different volumes of fast eccentric half-squats. Sports 2019, 7, 164. [Google Scholar] [CrossRef]
- Hughes, D.C.; Ellefsen, S.; Baar, K. Adaptations to Endurance and Strength Training. Cold Spring Harb. Perspect. Med. 2018, 8, a029769. [Google Scholar] [CrossRef]
- Methenitis, S.; Mpampoulis, T.; Spiliopoulou, P.; Papadimas, G.; Papadopoulos, C.; Chalari, E.; Evangelidou, E.; Stasinaki, A.N.; Nomikos, T.; Terzis, G. Muscle fiber composition, jumping performance, and rate of force development adaptations induced by different power training volumes in females. Appl. Physiol. Nutr. Metab. 2020, 45, 996–1006. [Google Scholar] [CrossRef] [PubMed]
- Andersen, L.L.; Andersen, J.L.; Magnusson, S.P.; Aagaard, P. Neuromuscular adaptations to detraining following resistance training in previously untrained subjects. Eur. J. Appl. Physiol. 2005, 93, 511–518. [Google Scholar] [CrossRef]
- Correa, C.S.; Baroni, B.M.; Radaelli, R.; Lanferdini, F.J.; Cunha, G.d.S.; Reischak-Oliveira, Á.; Vaz, M.A.; Pinto, R.S. Effects of strength training and detraining on knee extensor strength, muscle volume and muscle quality in elderly women. Age 2013, 35, 1899–1904. [Google Scholar] [CrossRef] [PubMed]







| Training Group (N = 27) | Control Group (Ν = 7) | ||||
|---|---|---|---|---|---|
| Before | After | Before | After | ||
| Fat mass (kg) | 17.6 ± 4.2 | 17.9 ± 4.1 | 17.8 ± 2.8 | 18 ± 1.8 | |
| Total LBM (kg) | 40.1 ± 2.5 | 40.3 ± 3.9 | 38.9 ± 2.5 | 38.6 ± 2.1 | |
| LBM of upper extremities (kg) | 3.8 ± 0.5 | 4.1 ± 0.5 *# | 3.7 ± 0.2 | 3.8 ± 0.3 | |
| TB fascicle length (cm) | 6.2 ± 0.8 | 6.8 ± 0.9 *# | 6.1 ± 0.1 | 6.1 ± 0.1 | |
| TB fascicle angle (°) | 14.7 ± 2.5 | 13.5 ± 2.2 *# | 14.9 ± 4.7 | 14.8 ± 4.7 | |
| TB thickness (cm) | 1.3 ± 0.2 | 1.4 ± 0.2 *# | 1.3 ± 0.2 | 1.3 ± 0.2 | |
| CMPU power (W) | 127 ± 71 | 178 ± 77 *# | 83.8 ± 17.2 | 80.4 ± 17.5 | |
| CMPU height (cm) | 2.2 ± 1.1 | 3.4 ± 1.6 *# | 1.4 ± 0.3 | 1.3 ± 0.4 | |
| Maximal aerobic power (W) | 124.5 ± 22.4 | 148.0 ± 21.2 *# | 117.2 ± 12.2 | 117.4 ± 12.7 | |
| Heart rate | 100 W | 153.1 ± 15.3 | 137.2 ± 14.1 *# | 151.5 ± 8.2 | 155.4 ± 9.3 |
| 125 W | 166.5 ± 11.3 | 148.2 ± 10.4 *# | 169.9 ± 11.2 | 173.5 ± 7.7 | |
| 1-RM bench press (kg) | 53 ± 6 | 70 ± 6 *# | 52 ± 3 | 49 ± 5 | |
| Τ2 | Τ3 | Τ4 | Τ5 | |
|---|---|---|---|---|
| G7 (N = 10) | ||||
| CMPU power (W) | 210.2 ± 96.1 | 198.3 ± 96.7 * | 192.1 ± 94.1 * | 163.4 ± 97.5 *‡ |
| CMPU height (cm) | 4.5 ± 1.9 | 3.8 ± 1.4 * | 3.8 ± 1.3 * | 3.1 ± 1.5 *‡ |
| G14 (N = 10) | ||||
| CMPU power (W) | 175.5 ± 70.9 | 160.6 ± 69.1 * | 156.5 ± 64.9 * | 120.8 ± 41.5 *‡ |
| CMPU height (cm) | 3.7 ± 1.4 | 3.2 ± 1.1 * | 2.9 ± 1.5 * | 2.2 ± 0.9 *‡ |
| GD (N = 7) | ||||
| CMPU power (W) | 137.1 ± 32.4 | 111.5 ± 17.1 * | 84.2 ± 17.1 *± G7 G14 | 82.5 ± 18.1 * |
| CMPU height (cm) | 2.9 ± 0.7 | 2.3 ± 0.6 * | 1.6 ± 0.3 *± G7 G14 | 1.5 ± 0.3 * |
| G7 | G14 | GD | ||||||||
|---|---|---|---|---|---|---|---|---|---|---|
| Τ2 | Τ4 | Τ5 | Τ2 | Τ4 | Τ5 | Τ2 | Τ4 | Τ5 | ||
| Fat Mass (kg) | 15.63 ± 2.72 | 14.91 ± 3.12 | 15.76 ± 2.83 | 19.13 ± 4.46 | 19.40 ± 5.11 | 20.12 ± 4.71 | 18.62 ± 3.51 | 19.11 ± 3.91 | 20.12 ± 4.21 | |
| LBM (kg) | 40.91 ± 3.92 | 40.91 ± 3.90 | 40.12 ± 3.83 | 41.62 ± 4.33 | 41.52 ± 4.11 | 41.3- ± 4.62 | 39.51 ± 4.82 | 39.31 ± 4.62 | 38.50 ± 4.52 | |
| UE LBM (kg) | 4.21 ± 0.42 | 4.10 ± 0.40 | 4.01 ± 0.41 *± | 4.11 ± 0.61 | 4.01 ± 0.62 * | 3.91 ± 0.62 *± | 3.91 ± 0.61 | 3.71 ± 0.62 * | 3.62 ± 0.61 * | |
| Triceps Brachii Long Head | ||||||||||
| Fascicle Length (cm) | 6.81 ± 0.84 | 6.84 ± 0.80 | 6.02 ± 0.61 *± | 6.70 ± 0.91 | 6.41 ± 0.62 * G7 | 6.03 ± 0.60 *± | 7.01 ± 1.12 | 6.32 ± 0.60 * G7 | 6.30 ± 0.91 * | |
| Fascicle Angle (°) | 13.01 ± 2.32 | 13.13 ± 2.25 | 14.11 ± 2.12 *± | 13.90 ± 2.71 | 14.52 ± 3.21 * | 15.17 ± 3.10 *± | 13.71 ± 1.51 | 14.37 ± 1.81 * | 14.62 ± 2.13 * | |
| Thickness (cm) | 1.41 ± 0.12 | 1.39 ± 0.13 * | 1.33 ± 0.11 *± | 1.51 ± 0.20 | 1.47 ± 0.21 * | 1.41 ± 0.20 *± | 1.55 ± 0.30 | 1.48 ± 0.37 * G7 | 1.47 ± 0.31 * | |
| Bench Press | ||||||||||
| 1-RM (kg) | 75.21 ± 4.81 | 71.52 ± 3.91 | 54.84 ± 5.39 *± | 73.20 ± 5.13 | 68.71 ± 2.01 * | 53.46 ± 5.62 *± | 64.61 ± 8.63 | 54.27 ± 7.31 * G7 G14 | 48.28 ± 8.24 *± | |
| Cardiovascular Performance | ||||||||||
| Maximal Power (W) | 147.51 ± 24.82 | 145.27 ± 22.95 | 125.32 ± 33.31 *± | 157.54 ± 16.84 | 142.54 ± 12.14 * G7 | 127.56 ± 18.01 *± | 135.73 ± 15.02 | 114.29 ± 19.63 * G7 G14 | 107.53 ± 26.71 * | |
| Heart Rate | 100 W | 141.23 ± 13.27 | 146.17 ± 13.87 | 152.55 ± 10.13 *± | 128.94 ± 16.07 | 142.72 ± 8.22 * | 148.15 ± 14.35 * | 145.16 ± 9.13 | 159.84 ± 9.26 * | 162.82 ± 10.33 * |
| 125 W | 160.21 ± 13.34 | 162.56 ± 12.27 | 167.51 ± 7.52 *± | 148.41 ± 14.15 | 160.26 ± 8.21 * G7 | 164.74 ± 6.87 * | 156.33 ± 8.01 | 167.03 ± 8.64 * G7 | 167.23 ± 4.03 * | |
Disclaimer/Publisher’s Note: The statements, opinions and data contained in all publications are solely those of the individual author(s) and contributor(s) and not of MDPI and/or the editor(s). MDPI and/or the editor(s) disclaim responsibility for any injury to people or property resulting from any ideas, methods, instructions or products referred to in the content. |
© 2025 by the authors. Licensee MDPI, Basel, Switzerland. This article is an open access article distributed under the terms and conditions of the Creative Commons Attribution (CC BY) license (https://creativecommons.org/licenses/by/4.0/).
Share and Cite
Mpampoulis, T.; Methenitis, S.; Stasinaki, A.N.; Zaras, N.; Bogdanis, G.C.; Terzis, G. Effect of Different Reduced Training Frequencies After 12 Weeks of Concurrent Ballistic and Aerobic Training on Muscle Power and Triceps Brachii Muscle Architecture. J. Funct. Morphol. Kinesiol. 2025, 10, 37. https://doi.org/10.3390/jfmk10010037
Mpampoulis T, Methenitis S, Stasinaki AN, Zaras N, Bogdanis GC, Terzis G. Effect of Different Reduced Training Frequencies After 12 Weeks of Concurrent Ballistic and Aerobic Training on Muscle Power and Triceps Brachii Muscle Architecture. Journal of Functional Morphology and Kinesiology. 2025; 10(1):37. https://doi.org/10.3390/jfmk10010037
Chicago/Turabian StyleMpampoulis, Thomas, Spyridon Methenitis, Angeliki N. Stasinaki, Nikolaos Zaras, Gregory C. Bogdanis, and Gerasimos Terzis. 2025. "Effect of Different Reduced Training Frequencies After 12 Weeks of Concurrent Ballistic and Aerobic Training on Muscle Power and Triceps Brachii Muscle Architecture" Journal of Functional Morphology and Kinesiology 10, no. 1: 37. https://doi.org/10.3390/jfmk10010037
APA StyleMpampoulis, T., Methenitis, S., Stasinaki, A. N., Zaras, N., Bogdanis, G. C., & Terzis, G. (2025). Effect of Different Reduced Training Frequencies After 12 Weeks of Concurrent Ballistic and Aerobic Training on Muscle Power and Triceps Brachii Muscle Architecture. Journal of Functional Morphology and Kinesiology, 10(1), 37. https://doi.org/10.3390/jfmk10010037

