Potassium-Doped Para-Terphenyl: Structure, Electrical Transport Properties and Possible Signatures of a Superconducting Transition
Abstract
1. Introduction
2. Experimental
3. Results and Discussion
3.1. Raman Spectroscopy
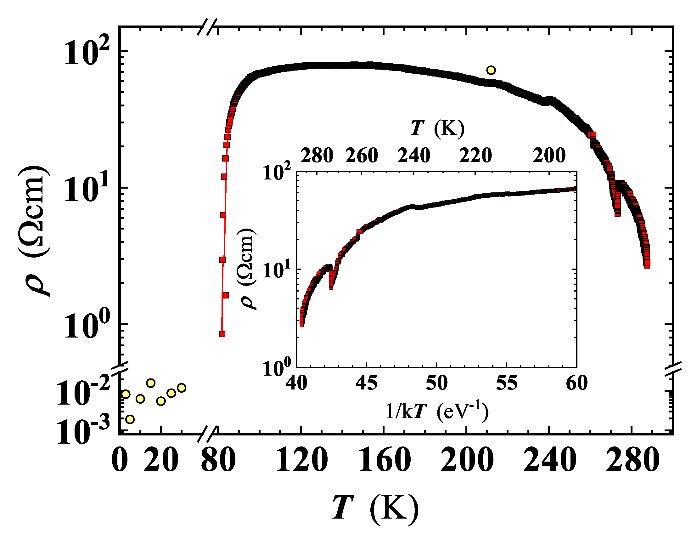
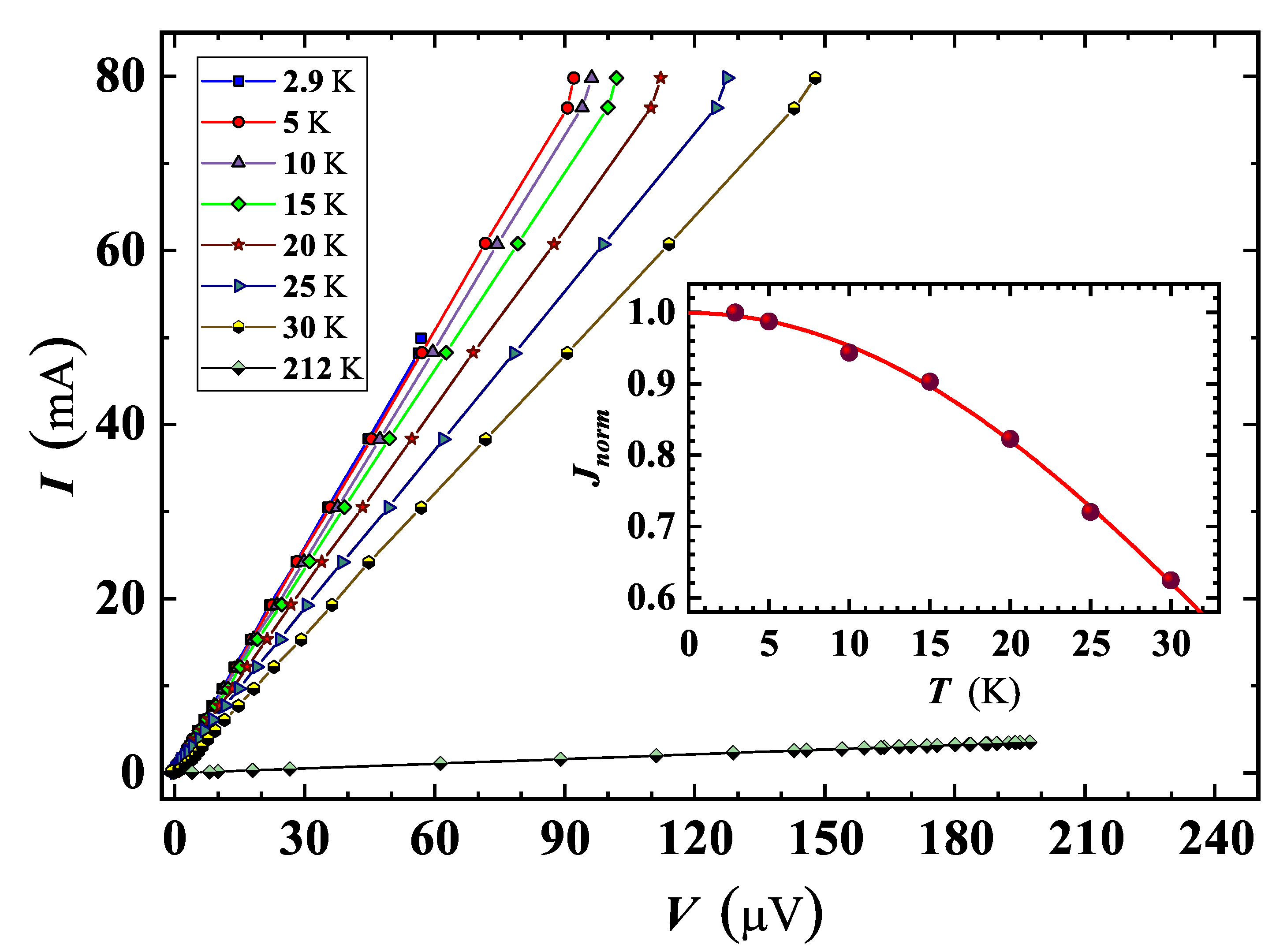
3.2. Electrical Characterization
4. Conclusions
Author Contributions
Funding
Acknowledgments
Conflicts of Interest
References
- Romero, F.D.; Pitcher, M.J.; Hiley, C.I.; Whitehead, G.F.S.; Kar, S.; Ganin, A.Y.; Antypov, D.; Collins, C.; Dyer, M.S.; Klupp, G.; et al. Redox-controlled potassium intercalation into two polyaromatic hydrocarbon solids. Nat. Chem. 2017, 9, 644. [Google Scholar] [CrossRef] [PubMed]
- Mitsuhashi, R.; Suzuki, Y.; Yamanari, Y.; Mitamura, H.; Kambe, T.; Ikeda, N.; Okamoto, H.; Fujiwara, A.; Yamaji, M.; Kawasaki, N.; et al. Superconductivity in alkali-metal-doped picene. Nature 2010, 464, 76–79. [Google Scholar] [CrossRef]
- Rietveld, H.M.; Maslen, E.N.; Clews, C.J.B. An x-ray and neutron diffraction refinement of the structure of p-terphenyl. Acta Crystal. B Struct. Crystallog. Cryst. Chem. 1970, 26, 693. [Google Scholar] [CrossRef]
- Baudour, J.L.; Cailleau, H.; Yelon, W.B. Structural phase transition in polyphenyls. IV. double-well potential in the disordered phase of p-terphenyl from neutron (200 K) and x-ray (room-temperature) diffraction data. Acta Crystal. B Struct. Crystallog. Cryst. Chem. 1977, 33, 1773. [Google Scholar] [CrossRef]
- Cailleau, H.; Heidemann, A.; Zeyen, C.M.E. Observation of critical slowing down at the structural phase transition in p-terphenyl by high-resolution neutron spectroscopy. J. Phys. C Solid State Phys. 1979, 12, L411. [Google Scholar] [CrossRef]
- Lechner, R.E.; Toudic, B.; Cailleau, H. Observation of the effects of critical phenomena in paraterphenyl on quasielastic incoherent neutron spectra. J. Phys. C Sol. State Phys. 1984, 17, 405. [Google Scholar] [CrossRef]
- Cailleau, H.; Baudour, J.L.; Meinnel, J.; Dworkin, A.; Moussa, F.; Zeyen, C.M.E. Double-well potentials and structural phase-transitions in polyphenyls. Faraday Discus. Chem. Soc. 1980, 69, 7. [Google Scholar] [CrossRef]
- Baranyai, A.; Welberry, T.R. Molecular dynamics simulation study of solid polyphenyls: Structures determined by the interplay between intra- and intermolecular forces. Mol. Phys. 1992, 75, 867. [Google Scholar] [CrossRef]
- Goossens, D.J.; Beasley, A.G.; Welberry, T.R.; Gutmann, M.J.; Piltz, R.O. Neutron diffuse scattering in deuterated para-Terphenyl, C 18 D 14. J. Phys. Cond. Mat. 2009, 21, 124204. [Google Scholar] [CrossRef][Green Version]
- Rice, A.P.; Tham, F.S.; Chronister, E.L. A temperature dependent x-ray study of the Order–Disorder enantiotropic phase transition of p-terphenyl. J. Chem. Crystal. 2013, 43, 14. [Google Scholar] [CrossRef]
- Pinto, N.; Rezvani, S.J.; Favre, L.; Berbezier, I.; Fretto, M.; Boarino, L. Geometrically induced electron-electron interaction in semiconductor nanowires. Appl. Phys. Lett. 2016. [Google Scholar] [CrossRef]
- Rezvani, S.J.; Gunnella, R.; Neilson, D.; Boarino, L.; Croin, L.; Aprile, G.; Fretto, M.; Rizzi, P.; Antonioli, D.; Pinto, N. Effect of carrier tunneling on the structure of Si nanowires fabricated by metal assisted etching. Nanotechnology 2016. [Google Scholar] [CrossRef] [PubMed]
- Mazziotti, M.V.; Valletta, A.; Campi, G.; Innocenti, D.; Perali, A.; Bianconi, A. Possible Fano resonance for high-Tc multi-gap superconductivity in p-Terphenyl doped by K at the Lifshitz transition. EPL (Europhys. Lett.) 2017, 118, 37003. [Google Scholar] [CrossRef]
- Barba, L.; Chita, G.; Campi, G.; Suber, L.; Bauer, E.M.; Marcelli, A.; Bianconi, A. Anisotropic thermal expansion of p-terphenyl: A self-assembled supramolecular array of poly-p-phenyl nanoribbons. J. Supercond. Novel Magnet. 2018, 31, 703. [Google Scholar] [CrossRef]
- Wang, R.S.; Gao, Y.; Huang, Z.B.; Chen, X.J. Superconductivity in p-terphenyl. arXiv 2017, arXiv:1703.05803. [Google Scholar]
- Huang, G.; Zhong, G.H.; Wang, R.S.; Han, J.X.; Lin, H.Q.; Chen, X.J. Superconductivity and phase stability of potassium-doped p-quinquephenyl. Carbon 2019, 143, 837. [Google Scholar] [CrossRef]
- Yan, J.F.; Zhong, G.H.; Wang, R.S.; Zhang, K.; Lin, H.Q.; Chen, X.J. Superconductivity and Phase Stability of Potassium-Intercalated p-Quaterphenyl. J. Phys. Chem. Lett. 2019, 10, 40. [Google Scholar] [CrossRef]
- Zhong, G.H.; Yang, D.Y.; Zhang, K.; Wang, R.S.; Zhang, C.; Lin, H.Q.; Chen, X.J. Superconductivity and phase stability of potassium-doped biphenyl. Phys. Chem. Chem. Phys. 2018, 20, 25217. [Google Scholar] [CrossRef]
- Gao, Y.; Wang, R.S.; Wu, X.L.; Cheng, J.; Deng, T.G.; Yan, X.-W.; Huang, Z.B. Searching superconductivity in potassium-doped p-terphenyl. Acta Phys. Sin. 2016, 65, 077402. [Google Scholar]
- Wang, R.S.; Gao, Y.; Huang, Z.B.; Chen, X.J. Superconductivity at 43 K in a single C-C bond linked terphenyl. arXiv 2017, arXiv:1703.05804. [Google Scholar]
- Wang, R.S.; Gao, Y.; Huang, Z.B.; Chen, X.J. Superconductivity above 120 kelvin in a chain link molecule. arXiv 2017, arXiv:1703.06641. [Google Scholar]
- Liu, W.; Lin, H.; Kang, R.; Zhang, Y.; Zhu, X.; Wen, H.H. Magnetization of potassium doped p-terphenyl and p-quaterphenyl by high pressure synthesis. Phys. Rev. B 2017, 96, 224501. [Google Scholar] [CrossRef]
- Neha, P.; Bhardwaj, A.; Sahu, V.; Patnaik, S. Facile synthesis of potassium intercalated p-terphenyl and signatures of a possible high Tc phase. Phys. C Supercond. App. 2018, 554, 1. [Google Scholar] [CrossRef]
- Carrera, M.; McDonald, J.L.; Untiedt, C.; García-Hernández, M.; Mompean, F.; Vergés, J.A.; Guijarro, A. Characterization of Main Phase in Kxp-Terphenyl and Its Largest Congener Kxpoly(p-phenylene): A Report of Their Magnetic and Electric Properties. J. Phys. Chem. C 2019, 123, 5264–5272. [Google Scholar] [CrossRef]
- Li, H.; Zhou, X.; Parham, S.; Nummy, T.; Griffith, J.; Gordon, K.; Chronister, E.L.; Dessau, D.S. Spectroscopic evidence of low-ernergy gaps persisting up to 120 Kelvin in surface-doped p-terphenyl cristals. Phys. Rev. B 2019, 100, 064511. [Google Scholar] [CrossRef]
- Ren, M.Q.; Chen, W.; Liu, Q.; Chen, C.; Qiao, Y.J.; Chen, Y.J.; Zhou, G.; Zhang, T.; Yan, Y.J.; Feng, D.L. Observation of novel gapped phases in potassium doped single layer p-terphenyl on Au (111). Phys. Rev. B 2019, 99, 045417. [Google Scholar] [CrossRef]
- Perali, A.; Pieri, P.; Strinati, G.C.; Castellani, C. Pseudogap and spectral function from superconducting fluctuations to the bosonic limit. Phys. Rev. B 2002, 66, 024510. [Google Scholar] [CrossRef]
- Palestini, F.; Perali, A.; Pieri, P.; Strinati, G.C. Dispersions, weights, and widths of the single-particle spectral function in the normal phase of a Fermi gas. Phys. Rev. B 2012, 85, 024517. [Google Scholar] [CrossRef]
- Gaebler, J.P.; Stewart, J.T.; Drake, T.E.; Jin, D.S.; Perali, A.; Pieri, P.; Strinati, G.C. Observation of pseudogap behaviour in a strongly interacting Fermi gas. Nat. Phys. 2010, 6, 569. [Google Scholar] [CrossRef]
- Marsiglio, F.; Pieri, P.; Perali, A.; Palestini, F.; Strinati, G.C. Pairing effects in the normal phase of a two-dimensional Fermi gas. Phys. Rev. B 2015, 91, 054509. [Google Scholar] [CrossRef]
- Salasnich, L.; Shanenko, A.A.; Vagov, A.; Aguiar, J.A.; Perali, A. Screening of pair fluctuations in superconductors with coupled shallow and deep bands: A route to higher-temperature superconductivity. Phys. Rev. B 2019, 100, 064510. [Google Scholar] [CrossRef]
- Tajima, H.; Yerin, Y.; Perali, A.; Pieri, P. Enhanced critical temperature, pairing fluctuation effects, and BCS-BEC crossover in a two-band Fermi gas. Phys. Rev. B 2019, 99, 180503(R). [Google Scholar] [CrossRef]
- Valletta, A.; Bianconi, A.; Perali, A.; Saini, N.L. Electronic and superconducting properties of a superlattice of quantum stripes at the atomic limit. Z. Phys. B 1997, 104, 707. [Google Scholar] [CrossRef]
- Fabrizio, M.; Qin, T.; Naghavi, S.S.; Tosatti, E. Two-Band s± Strongly Correlated Superconductivity in K3 p-Terphenyl ? arXiv 2017, arXiv:1705.05066. [Google Scholar]
- Connelly, N.G.; Geiger, W.E. Chemical redox agent for organometallic chemistry. Chem. Rev. 1996, 96, 877. [Google Scholar] [CrossRef] [PubMed]
- Zhong, G.H.; Wang, X.H.; Wang, R.S.; Han, J.X.; Zhang, C.; Chen, X.J.; Lin, H.Q. Structural and Bonding Characteristics of Potassium-Doped p-Terphenyl Superconductors. J. Phys. Chem. C 2018, 122, 3801. [Google Scholar] [CrossRef]
- Pinto, N.; Rezvani, S.J.; Perali, A.; Flammia, L.; Milosevic, M.V.; Fretto, M.; Cassiago, C.; Leo, N.D. Dimensional crossover and incipient quantum size effects in superconducting niobium nanofilms. Sci. Rep. 2018, 8, 4710. [Google Scholar] [CrossRef]
- Rezvani, S.J.; Perali, A.; Fretto, M.; Leo, N.D.; Flammia, L.; Milosevic, M.V.; Nannarone, S.; Pinto, N. Substrate-Induced Proximity Effect in Superconducting Niobium Nanofilms. Cond. Matter 2019, 4, 4. [Google Scholar] [CrossRef]
- Bolton, B.A.; Prasad, P.N. Phase transitions in polyphenyls: Raman spectra of p-terphenyl and p-quaterphenyl in the solid state. Chem. Phys. 1978, 35, 331. [Google Scholar] [CrossRef]
- da Costa, A.A.; Amado, A.; Becucci, M.; Kryschi, C. Order-disorder phase transition in p-terphenyl and p-terphenyl: Tetracene doped crystals as studied by Raman spectroscopy. J. Mol. Struct. 1997, 416, 69. [Google Scholar] [CrossRef]
- Zhang, K.; Wang, R.; Chen, X. Vibrational Properties of p-terphenyl. J. Phys. Chem. A 2018, 122, 6903. [Google Scholar] [CrossRef] [PubMed]
- Baudour, J.L.; Delugeard, Y.; Cailleau, H. Transition structurale dans les polyphényles. I. Structure cristalline de la phase basse température du p-terphényle à 113 K. Acta Crystallogr. Sect. B 1976, 32, 150–154. [Google Scholar] [CrossRef]
- Brédas, J.; Thémans, B.; Fripiat, J.; André, J.; Chance, J.R. An ab-initio study of the geometry and electronic-structure modifications upon doping. Phys. Rev. B 1984, 29, 6761. [Google Scholar] [CrossRef]
- Furukawa, Y. Electronic Absorption and Vibrational Spectroscopies of Conjugated Conducting Polymers. J. Phys. Chem. 1996, 100, 15644. [Google Scholar] [CrossRef]
- Péres, L.; Spiesser, M.; Froyer, G. Reduction of p-terphenyl, p-quaterphenyl and p-sexiphenyl using alkali metal in liquid ammonia: Process and characterization of the reduced compounds. Synth. Met. 2005, 155, 450. [Google Scholar] [CrossRef]
- Furukawa, Y.; Ohtsuka, H.; Tasumi, M. Raman studies of polarons and bipolarons in sodium-doped poly-p-phenylene. Synth. Met. 1993, 55, 516. [Google Scholar] [CrossRef]
- Dubois, M.; Froyer, G.; Louarn, G.; Billaud, D. Raman spectroelectrochemical study of sodium intercalation into poly(p-phenylene). Spectrochim. Acta A Mol. Biomol. Spectros. 2003, 59, 1849. [Google Scholar] [CrossRef]
- Chakraverty, B.K. Bipolarons and superconductivity. J. Phys. 1981, 42, 1351. [Google Scholar] [CrossRef]
- Alexandrov, A.; Ranninger, J. Bipolaronic superconductivity. Phys. Rev. B 1981, 24, 1164. [Google Scholar] [CrossRef]
- Lipinski, A.; Mycielski, W.; Swiatek, J. Charge carrier transport and d.c. conductivity in thin polycrystalline p-terphenyl films. J. Phys. Chem. Solids 1980, 41, 455. [Google Scholar] [CrossRef]
- Staryga, E.; Swiatek, J. The electrical conductivity in thin polycrystalline p-terphenyl films. Thin Sol. Films 1979, 56, 311. [Google Scholar] [CrossRef]
- Tkaczyk, S.W. Electrical conductivity of the polycrystalline films of p-terphenyl. Proc. SPIE 1999, 3725, 232. [Google Scholar] [CrossRef]
- Bizzarri, P.C.; Casa, C.D.; Pietra, S. Electrical conductivity of o-, m-, and p-terphenyls. Z. Naturforsch 1973, 28b, 331. [Google Scholar] [CrossRef]
- Teranishi, K.; He, X.; Sakai, Y.; Izumi, M.; Goto, H.; Eguchi, R.; Takabayashi, Y.; Kambe, T.; Kubozono, Y. Observation of zero resistivity in K-doped picene. Phys. Rev. B 2013, 87, 060505. [Google Scholar] [CrossRef]
- Kubozono, Y.; Goto, H.; Jabuchi, T.; Yokoya, T.; Kambe, T.; Sakai, Y.; Izumi, M.; Zheng, L.; Hamao, S.; Nguyen, H.L.; et al. Superconductivity in aromatic hydrocarbons. Physica C 2015, 514, 199. [Google Scholar] [CrossRef]
- Ponta, L.; Andreoli, V.; Carbone, A. Superconducting-insulator transition in disordered Josephson junctions networks. Eur. Phys. J. B 2013, 86, 24. [Google Scholar] [CrossRef]
- Geilhufe, R.M.; Borysov, S.S.; Kalpakchi, D.; Balatsky, A.V. Towards novel organic high-Tc superconductors: Data mining using density of states similarity search. Phys. Rev. Mater. 2018, 2, 024802. [Google Scholar] [CrossRef]






Publisher’s Note: MDPI stays neutral with regard to jurisdictional claims in published maps and institutional affiliations. |
© 2020 by the authors. Licensee MDPI, Basel, Switzerland. This article is an open access article distributed under the terms and conditions of the Creative Commons Attribution (CC BY) license (http://creativecommons.org/licenses/by/4.0/).
Share and Cite
Pinto, N.; Di Nicola, C.; Trapananti, A.; Minicucci, M.; Di Cicco, A.; Marcelli, A.; Bianconi, A.; Marchetti, F.; Pettinari, C.; Perali, A. Potassium-Doped Para-Terphenyl: Structure, Electrical Transport Properties and Possible Signatures of a Superconducting Transition. Condens. Matter 2020, 5, 78. https://doi.org/10.3390/condmat5040078
Pinto N, Di Nicola C, Trapananti A, Minicucci M, Di Cicco A, Marcelli A, Bianconi A, Marchetti F, Pettinari C, Perali A. Potassium-Doped Para-Terphenyl: Structure, Electrical Transport Properties and Possible Signatures of a Superconducting Transition. Condensed Matter. 2020; 5(4):78. https://doi.org/10.3390/condmat5040078
Chicago/Turabian StylePinto, Nicola, Corrado Di Nicola, Angela Trapananti, Marco Minicucci, Andrea Di Cicco, Augusto Marcelli, Antonio Bianconi, Fabio Marchetti, Claudio Pettinari, and Andrea Perali. 2020. "Potassium-Doped Para-Terphenyl: Structure, Electrical Transport Properties and Possible Signatures of a Superconducting Transition" Condensed Matter 5, no. 4: 78. https://doi.org/10.3390/condmat5040078
APA StylePinto, N., Di Nicola, C., Trapananti, A., Minicucci, M., Di Cicco, A., Marcelli, A., Bianconi, A., Marchetti, F., Pettinari, C., & Perali, A. (2020). Potassium-Doped Para-Terphenyl: Structure, Electrical Transport Properties and Possible Signatures of a Superconducting Transition. Condensed Matter, 5(4), 78. https://doi.org/10.3390/condmat5040078
