Numerical Simulation Analysis of an Offshore Multi-Row Arrangement Longline Aquaculture Facility with Lantern Nets Under Environmental Loads
Abstract
1. Introduction
2. Materials and Methods
2.1. Motion Equation
2.2. Structural Composition
2.3. Wave Field
2.4. Buoy
2.5. Line System
2.6. Frame Wire
2.7. Netting
2.8. Numerical Model
2.9. Validation
2.10. Environmental Load Conditions
3. Results
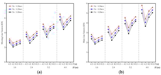
3.1. Maximum Tension in Mooring Lines and Main Lines Under Environmental Loads
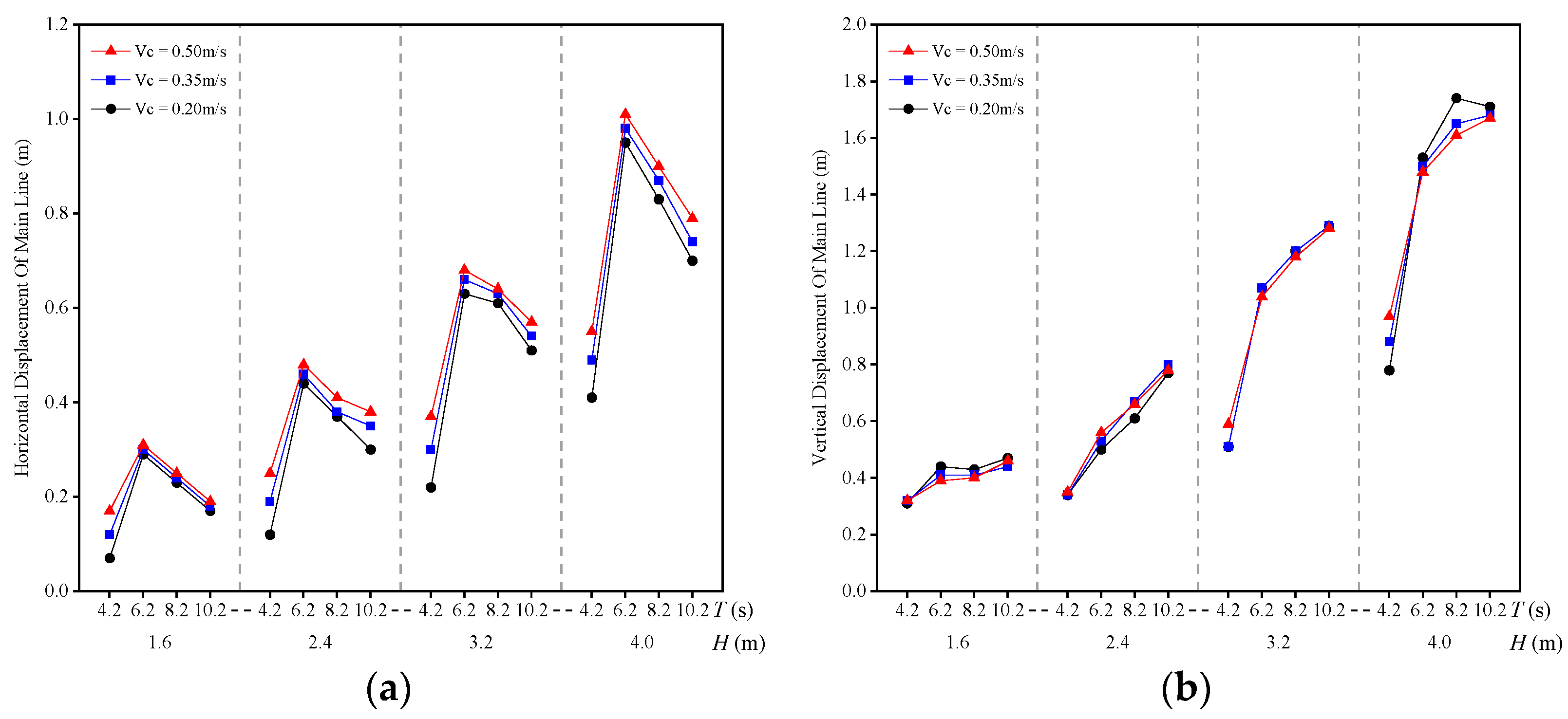
3.2. Displacement of Main Lines Under Environmental Loads
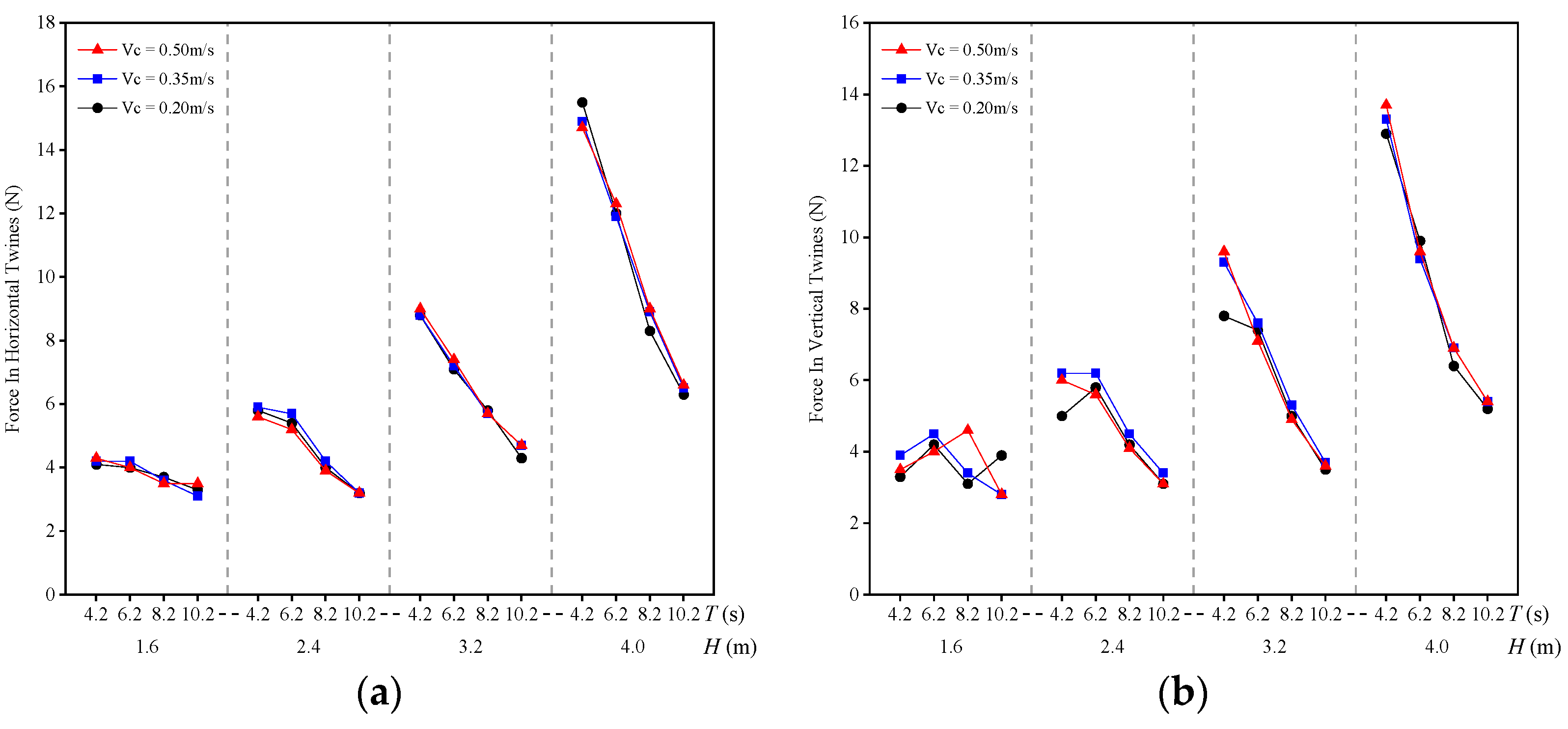
3.3. Maximum Tension of Lantern Nets Under Environmental Loads
4. Discussion
5. Conclusions
Author Contributions
Funding
Institutional Review Board Statement
Informed Consent Statement
Data Availability Statement
Conflicts of Interest
References
- Lopez, J.; Hurtado, C.F.; Gomez, A.; Zamora, V.; Queirolo, D.; Gutierrez, A. Stress Analysis of a Submersible Longline Culture System through Dynamic Simulation. Lat. Am. J. Aquat. Res. 2017, 45, 25–32. [Google Scholar] [CrossRef]
- Knysh, A.; Tsukrov, I.; Chambers, M.; Swift, M.R.; Sullivan, C.; Drach, A. Numerical Modeling of Submerged Mussel Longlines with Protective Sleeves. Aquac. Eng. 2020, 88, 102027. [Google Scholar] [CrossRef]
- Nasyrlayev, N.; Dyson, A.P.; Kefayati, G.; Tolooiyan, A. Modelling the Response of Offshore Aquaculture Fish Pens to Environmental Loads in High-Energy Regions. Appl. Ocean Res. 2023, 135, 103541. [Google Scholar] [CrossRef]
- Stevens, C.L.; Plew, D.R.; Smith, M.J.; Fredriksson, D.W. Hydrodynamic Forcing of Long-Line Mussel Farms: Observations. J. Waterw. Port Coast. Ocean Eng. 2007, 133, 192–199. [Google Scholar] [CrossRef]
- Grant, J.; Bacher, C. A Numerical Model of Flow Modification Induced by Suspended Aquaculture in a Chinese Bay. Can. J. Fish. Aquat. Sci. 2001, 58, 1003–1011. [Google Scholar] [CrossRef]
- Plew, D.R.; Stevens, C.L.; Spigel, R.H.; Hartstein, N.D. Hydrodynamic Implications of Large Offshore Mussel Farms. IEEE J. Ocean. Eng. 2005, 30, 95–108. [Google Scholar] [CrossRef]
- Buck, B.H. Experimental Trials on the Feasibility of Offshore Seed Production of the Mussel Mytilus Edulis in the German Bight: Installation, Technical Requirements and Environmental Conditions. Helgol. Mar. Res. 2007, 61, 87–101. [Google Scholar] [CrossRef]
- Raman-Nair, W.; Colbourne, B.; Gagnon, M.; Bergeron, P. Numerical Model of a Mussel Longline System: Coupled Dynamics. Ocean Eng. 2008, 35, 1372–1380. [Google Scholar] [CrossRef]
- Wang, J.; Liu, Z.; Yang, H. Virtual Design and Simulation Research for the Float Raft of Deep-Sea Farming. Fish. Mod. 2008, 35, 32–35. [Google Scholar] [CrossRef]
- Deng, T.; Dong, G.; Zhao, Y.; Li, Y. Numerical Simulation of Raft-Cultivation Model under Wave Action. Fish. Mod. 2010, 2, 26–30. [Google Scholar] [CrossRef]
- Cui, Y.; Guan, C.; Huang, B. Dynamic Analysis of the Long-Line Culture Facility under Waves. Prog. Fish. Sci. 2014, 35, 125–131. [Google Scholar] [CrossRef]
- Zhang, G.; Huang, Y.; Liang, J.; Chen, Y.; Deng, C. Research on Method of Evaluating Anti-Wave Ability of Deepwater Long-Line Rope Aquaculture Facility. Fish. Mod. 2014, 41, 22–27. [Google Scholar] [CrossRef]
- Zhao, Y.-P.; Yang, H.; Bi, C.-W.; Chen, Q.-P.; Dong, G.-H.; Cui, Y. Hydrodynamic Responses of Longline Aquaculture Facility with Lantern Nets in Waves. Aquac. Eng. 2019, 86, 101996. [Google Scholar] [CrossRef]
- Zhang, G.; Chu, B.; Zhang, Y.; Zhang, X. Hydroelastic Analyses of a Floating Raft for Marine Aquaculture in Waves. Ocean Eng. 2021, 39, 67–77. [Google Scholar] [CrossRef]
- Cheng, W.; Xu, Y.; Mu, P. Experimental and Numerical Investigation of the Dynamic Responses of Longline Aquacultural Structures under Waves. Ocean Eng. 2023, 276, 114234. [Google Scholar] [CrossRef]
- Mascorda-Cabre, L. Assessing the Impact of an Offshore Longline Mussel Farm on Local Water Circulation in a Highly Hydrodynamic Energetic Bay. Aquaculture 2024, 585, 740697. [Google Scholar] [CrossRef]
- Landmann, J.; Flack, C.; Kowalsky, U.; Wüchner, R.; Hildebrandt, A.; Goseberg, N. Hydrodynamic Coefficients of Mussel Dropper Lines Derived from Large-Scale Experiments and Structural Dynamics. J. Ocean. Eng. Mar. Energy 2024, 10, 175–192. [Google Scholar] [CrossRef]
- Berstad, A.J. The AquaSim Package Theory User Manual; Aquastructures AS: Trondheim, Norway, 2022. [Google Scholar]
- Berstad, A.J.; Heimstad, L.F.; Walaunet, J. Model Testing of Fish Farms for Validation of Analysis Programs. In Proceedings of the ASME 2014 33th International Conference on Ocean, Offshore and Arctic, Engineering, San Francisco, CA, USA, 8–13 June 2014; p. V007T05A026. [Google Scholar]
- Newmark, N.M. A Method of Computation for Structural Dynamics. J. Engrg. Mech. Div. 1959, 85, 67–94. [Google Scholar] [CrossRef]
- Faltinsen, O. Sea Loads on Ships and Offshore Structures; Cambridge University Press: Cambridge, UK, 1993; Volume 1, ISBN 0-521-45870-6. [Google Scholar]
- Morison, J.R.; Johnson, J.W.; Schaaf, S.A. The Force Exerted by Surface Waves on Piles. J. Pet. Technol. 1950, 2, 149–154. [Google Scholar] [CrossRef]
- Eggen, T.E. Buckling and Geometrical Nonlinear Beam-Type Analyses of Timber Structures. Doctoral Thesis, NTNU, Trondheim, Norway, 2000. [Google Scholar]
- Hagen, B. Buckling and Stability Problems for Thin Shell Structures Using High Performance Finite Elements. Ph.D. Thesis, University of Colorado at Boulder, Boulder, CO, USA, 1994. [Google Scholar]
- Berstad, A.J.; Walaunet, J.; Heimstad, L.F. Loads from Currents and Waves on Net Structures. In Proceedings of the ASME 2012 31st International Conference on Ocean, Offshore and Arctic Engineering, Rio de Janeiro, Brazil, 1 July 2012; pp. 95–104. [Google Scholar]
- Løland, G. Current Forces on and Flow Through Fish Farms; Institutt for Marin Hydrodynamikk: Trondheim, Norway, 1991; ISBN 82-7119-269-8. [Google Scholar]
- Kristiansen, T.; Faltinsen, O.M. Modelling of Current Loads on Aquaculture Lantern nets. J. Fluids Struct. 2012, 34, 218–235. [Google Scholar] [CrossRef]









| Components | Properties | Parameters | Type |
|---|---|---|---|
| Lantern net | Material | PE | Membrane element |
| Diameter | 0.35 cm | ||
| Length | 2.5 m | ||
| Mass density | 1025 kg/m3 | ||
| Twine diameter | 2 mm | ||
| Twine length | 12 mm | ||
| Aquaculture weight of per layer | 14.72 N | ||
| Frame wire | Material | Standard wire | Beam element |
| Cross-sectional diameter | 5 mm | ||
| Mass density | 7850 kg/m3 | ||
| Main line | Material | PP | Truss element |
| Diameter | 24 mm | ||
| Length | 28 m | ||
| Linear density | 0.26 kg/m | ||
| Mooring line | Material | PP | Truss element |
| Diameter | 28 mm | ||
| Length | 38 m | ||
| Linear density | 0.355 kg/m | ||
| Whip line | Material | PP | Truss element |
| Diameter | 6 mm | ||
| Length | 1 m | ||
| Linear density | 0.017 kg/m | ||
| Buoy-connecting line | Material | PP | Truss element |
| Diameter | 6 mm | ||
| Length | 2 mm | ||
| Linear density | 0.017 kg/m | ||
| Marker buoy | Volume | 1 m3 | Spring |
| Maximum buoyancy | 1 E 4 N | ||
| Ordinary buoy | Volume | 0.057 m3 | Spring |
| Maximum buoyancy | 568 N |
| Environmental Load | Zhao (2019) [13] | Numerical Simulation | Difference (%) |
|---|---|---|---|
| H = 0.08 m; T = 1 s | 4.10 | 4.52 | 10.24 |
| H = 0.12 m; T = 1 s | 7.20 | 6.50 | 9.72 |
| H = 0.16 m; T = 1 s | 8.60 | 7.63 | 11.28 |
| Environmental Load | Zhao (2019) [13] | Numerical Simulation | Difference (%) |
|---|---|---|---|
| H = 0.08 m; T = 1 s | 0.90 | 1.10 | 22.20 |
| H = 0.12 m; T = 1 s | 1.30 | 1.60 | 23.08 |
| H = 0.16 m; T = 1 s | 1.80 | 2.00 | 11.11 |
| Wave Height H/(m) | Wave Period T/(s) | Current Velocity Vc/(m/s) | Incident Angle /(deg) |
|---|---|---|---|
| 1.6 | 4.2, 6.2, 8.2, 10.2 | 0.2, 0.35, 0.5 | 0 |
| 2.4 | 4.2, 6.2, 8.2, 10.2 | 0.2, 0.35, 0.5 | 0 |
| 3.2 | 4.2, 6.2, 8.2, 10.2 | 0.2, 0.35, 0.5 | 0 |
| 4.0 | 4.2, 6.2, 8.2, 10.2 | 0.2, 0.35, 0.5 | 0 |
| 1.6 | 6.2 | 0.2 | 30, 60, 90 |
| 4.0 | 6.2 | 0.5 | 30, 60, 90 |
Disclaimer/Publisher’s Note: The statements, opinions and data contained in all publications are solely those of the individual author(s) and contributor(s) and not of MDPI and/or the editor(s). MDPI and/or the editor(s) disclaim responsibility for any injury to people or property resulting from any ideas, methods, instructions or products referred to in the content. |
© 2024 by the authors. Licensee MDPI, Basel, Switzerland. This article is an open access article distributed under the terms and conditions of the Creative Commons Attribution (CC BY) license (https://creativecommons.org/licenses/by/4.0/).
Share and Cite
Mu, Y.; Liang, G.; Chen, C.; Zhang, R.; Teng, F.; Tan, Y. Numerical Simulation Analysis of an Offshore Multi-Row Arrangement Longline Aquaculture Facility with Lantern Nets Under Environmental Loads. Fishes 2024, 9, 523. https://doi.org/10.3390/fishes9120523
Mu Y, Liang G, Chen C, Zhang R, Teng F, Tan Y. Numerical Simulation Analysis of an Offshore Multi-Row Arrangement Longline Aquaculture Facility with Lantern Nets Under Environmental Loads. Fishes. 2024; 9(12):523. https://doi.org/10.3390/fishes9120523
Chicago/Turabian StyleMu, Yingna, Guoxuan Liang, Changping Chen, Ruitong Zhang, Fei Teng, and Yanbin Tan. 2024. "Numerical Simulation Analysis of an Offshore Multi-Row Arrangement Longline Aquaculture Facility with Lantern Nets Under Environmental Loads" Fishes 9, no. 12: 523. https://doi.org/10.3390/fishes9120523
APA StyleMu, Y., Liang, G., Chen, C., Zhang, R., Teng, F., & Tan, Y. (2024). Numerical Simulation Analysis of an Offshore Multi-Row Arrangement Longline Aquaculture Facility with Lantern Nets Under Environmental Loads. Fishes, 9(12), 523. https://doi.org/10.3390/fishes9120523

