Changes in Physiological Homeostasis in the Gills of Litopenaeus vannamei Under Carbonate Alkalinity Stress and Recovery Conditions
Abstract
1. Introduction
2. Materials and Methods
2.1. Shrimp and Culture Conditions
2.2. CA Stress Experiment and Sample Collection
2.3. Biochemical Index Determination
2.4. Gene Expression Analysis
2.5. Statistical Analysis
3. Results
3.1. Changes in the Biochemical Indicators of Oxidative Stress in the Gills
3.2. Changes in the Expression Levels of Antioxidant-Related Genes in the Gills
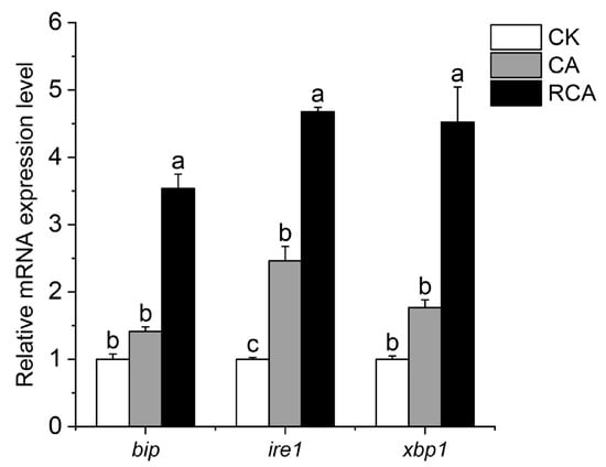
3.3. Changes in the Expression of ER Stress-Related Genes in the Gills
3.4. Changes in the Expression Levels of Immune-Related Genes in the Gills
3.5. Changes in the Expression Levels of Apoptosis-Related Genes in the Gills
3.6. Changes in the Expression Levels of Detoxification-Metabolism-Related Genes in the Gills
3.7. Changes in the Expression Levels of Osmoregulation-Related Enzyme Genes in the Gills
3.8. Changes in the Expression Levels of Osmotic-Adjustment-Related Protein Genes in the Gills
4. Discussion
5. Conclusions
Supplementary Materials
Author Contributions
Funding
Institutional Review Board Statement
Data Availability Statement
Acknowledgments
Conflicts of Interest
References
- Zhang, C.; Guo, C.Y.; Shu, K.H.; Xu, S.L.; Wang, D.L. Comparative analysis of the growth performance, vitality, body chemical composition and economic efficiency of the main cultivated strains of Pacific white shrimp (Litopenaeus vannamei) in coastal areas of China. Aquaculture 2024, 587, 740856. [Google Scholar] [CrossRef]
- Liu, Y.J.; Yao, M.Z.; Li, S.W.; Wei, X.F.; Ding, L.; Han, S.C.; Wang, P.; Lv, B.C.; Chen, Z.X.; Sun, Y.C. Integrated application of multi-omics approach and biochemical assays provides insights into physiological responses to saline-alkaline stress in the gills of crucian carp (Carassius auratus). Sci. Total Environ. 2022, 822, 153622. [Google Scholar] [CrossRef] [PubMed]
- Lu, B. Accurate computation of desalinated seawater re-mineralization processes using blending with surface water, chemicals dosing and minerals dissolution. Desalination 2023, 565, 116866. [Google Scholar] [CrossRef]
- Yao, Z.L.; Lai, Q.F.; Zhou, K.; Rizalita, R.E.; Wang, H. Developmental biology of medaka fish (Oryzias latipes) exposed to alkalinity stress. J. Appl. Ichthyol. 2010, 26, 397–402. [Google Scholar] [CrossRef]
- Xu, H.X.; Zhu, H.G.; Zhang, J.M.; Zhu, M.; Wang, H.H.; Chen, J.H. Effects of carbonate alkalinity on embryonic development and fecundity of Paralichthys olivaceus. S. China Fish. Sci. 2024, 2, 56–62. [Google Scholar]
- Song, Z.L.; Li, K.; Li, K.J. Integrated characterizations of intestinal bacteria and transcriptomics revealed the acute stress response to carbonate alkalinity in white shrimp Penaeus vannamei. Fish Shellfish Immun. 2024, 146, 109420. [Google Scholar] [CrossRef]
- Duan, Y.F.; Xing, Y.F.; Zhu, X.Y.; Li, H.; Wang, Y.; Nan, Y.X. Integration of transcriptomic and metabolomic reveals carbonate alkalinity stress responses in the hepatopancreas of Litopenaeus vannamei. Aquat. Toxicol. 2023, 260, 106569. [Google Scholar] [CrossRef]
- Zhang, R.Q.; Shi, X.; Guo, J.T.; Mao, X.; Fan, B.Y. Acute stress response in gill of Pacific white shrimp Litopenaeus vannamei to high alkalinity. Aquaculture 2024, 586, 740766. [Google Scholar] [CrossRef]
- Zhang, R.Q.; Shi, X.; Guo, J.T.; Mao, X.; Fan, B.Y. Acute stress response in hepatopancreas of Pacific white shrimp Litopenaeus vannamei to high alkalinity. Aquacult. Rep. 2024, 35, 101981. [Google Scholar] [CrossRef]
- Zhang, R.Q.; Shi, X.; Liu, Z.; Sun, J.; Sun, T.Z.; Lei, M.Q. Histological, physiological and transcriptomic analysis reveal the acute alkalinity stress of the gill and hepatopancreas of Litopenaeus vannamei. Mar. Biotechnol. 2023, 25, 588–602. [Google Scholar] [CrossRef]
- Shi, X.; Zhang, R.; Liu, Z.; Sun, J.; Li, L.; Zhao, G.; Lu, J. Combined analysis of mRNA and miRNA reveals the mechanism of pacific white shrimp (Litopenaeus vannamei) under acute alkalinity stress. PLoS ONE 2023, 18, e0290157. [Google Scholar] [CrossRef] [PubMed]
- Ge, Q.; Wang, J.; Li, J.; Li, J. Effect of high alkalinity on shrimp gills: Histopathological alternations and cell specific responses. Ecotox. Environ. Safe. 2023, 256, 114902. [Google Scholar] [CrossRef] [PubMed]
- Tao, S.; Li, X.; Wang, J.; Bai, Y.; Wang, J.; Yang, Y.; Zhao, Z. Examination of the relationship of carbonate alkalinity stress and ammonia metabolism disorder-mediated apoptosis in the Chinese mitten crab, Eriocheir sinensis: Potential involvement of the ROS/MAPK signaling pathway. Aquaculture 2024, 579, 740179. [Google Scholar] [CrossRef]
- Xing, Y.F.; Duan, Y.F.; Wei, Z.K.; Zhu, X.Y.; Huang, J.H.; Zhang, J.S. Effects of nitrite and microplastic stress on immunity, detoxification metabolism and osmoregulation-related indexes in gills of Penaeus vannamei. S. China Fish. Sci. 2023, 2, 70–77. [Google Scholar]
- Wang, C.; An, L.; Dong, X.S.; Xu, X.; Feng, X.Y.; Wang, Z.Z.; He, F.; Chen, X.; Zhu, Y.A.; Meng, Q.L. The tricarboxylic acid cycle is inhibited under acute stress from carbonate alkalinity in the gills of Eriocheir sinensis. Comp. Biochem. Phys D 2024, 51, 101245. [Google Scholar] [CrossRef]
- Livak, K.J.; Schmittgen, T.D. Analysis of relative gene expression data using realtime quantitative PCR and the 2−ΔΔC(T) method. Methods 2001, 25, 402–408. [Google Scholar] [CrossRef]
- Shi, X.; Zhang, R.Q.; Liu, Z.; Zhao, G.Y.; Guo, J.T.; Mao, X.; Fan, B.Y. Alternative splicing reveals acute stress response of Litopenaeus vannamei at high alkalinity. Mar. Biotechnol. 2024, 26, 103–115. [Google Scholar] [CrossRef]
- Li, W.Y.; Wang, J.J.; Li, J.T.; Liu, P.; Fei, F.; Liu, B.L.; Li, J. The effect of astaxanthin on the alkalinity stress resistance of Exopalaemon carinicauda. Sci. Total Environ. 2024, 917, 170415. [Google Scholar] [CrossRef]
- Xing, Y.F.; Zhu, X.Y.; Duan, Y.F.; Huang, J.H.; Nan, Y.X.; Zhang, J.S. Toxic effects of nitrite and microplastics stress on histology, oxidative stress, and metabolic function in the gills of Pacific white shrimp, Litopenaeus vannamei. Mar. Pollut. Bull. 2023, 187, 114531. [Google Scholar] [CrossRef]
- Arun, S.; Subramanian, P. Antioxidant enzymes in freshwater prawn Macrobrachium malcolmsonii during embryonic and larval development. Comp. Biochem. Phys B 1998, 121, 273–277. [Google Scholar] [CrossRef]
- Wei, Z.K.; Dong, H.B.; Zhao, W.; Chen, F.; Zhang, C.J.; Chen, J.; Gong, B.H.; Zhu, C.B.; Zhang, Z.S. Effects of two anesthetics on anesthesia and tissue oxidative damage of Penaeus vannamei. S. China Fish. Sci. 2023, 1, 136–146. [Google Scholar]
- Giffard-Mena, I.; Boulo, V.; Aujoulat, F.; Fowden, H.; Castille, R.; Charmantier, G.; Cramb, G. Aquaporin molecular characterization in the sea-bass (Dicentrarchus labrax): The effect of salinity on AQP1 and AQP3 expression. Comp. Biochem. Phys A 2007, 148, 430–444. [Google Scholar] [CrossRef] [PubMed]
- Chung, Y.M.; Kim, J.S.; Do Yoo, Y. A novel protein, Romo1, induces ROS production in the mitochondria. Biochem. Bioph. Res. Co. 2006, 347, 649–655. [Google Scholar] [CrossRef] [PubMed]
- Norton, M.; Ng, A.C.H.; Baird, S.; Dumoulin, A.; Shutt, T.; Mah, N.; Andrade-Navarro, M.A.; McBride, H.M.; Screaton, R.A. ROMO1 is an essential redox-dependent regulator of mitochondrial dynamics. Sci. Sinnal. 2014, 7, ra10. [Google Scholar] [CrossRef] [PubMed]
- Battino, M.; Giampieri, F.; Pistollato, F.; Sureda, A.; de Oliveira, M.R.; Pittalà, V.; Fallarino, F.; Nabavi, S.F.; Atanasov, A.G.; Nabavi, S.M. Nrf2 as regulator of innate immunity: A molecular Swiss army knife! Biotechnol. Adv. 2018, 36, 358–370. [Google Scholar] [CrossRef]
- Duan, Y.F.; Zhang, J.S.; Dong, H.B.; Wang, Y.; Liu, Q.S.; Li, H. Oxidative stress response of the black tiger shrimp Penaeus monodon to Vibrio parahaemolyticus challenge. Fish Shellfish Immun. 2015, 46, 354–365. [Google Scholar] [CrossRef]
- Shorter, J. The mammalian disaggregase machinery: Hsp110 synergizes with Hsp70 and Hsp40 to catalyze protein disaggregation and reactivation in a cell-free system. PLoS ONE 2011, 6, e26319. [Google Scholar] [CrossRef]
- Schröder, M. Endoplasmic reticulum stress responses. Cell. Mol. Life Sci. 2008, 65, 862–894. [Google Scholar] [CrossRef]
- Mai, T.; Hilt, J.Z. Magnetic nanoparticles: Reactive oxygen species generation and potential therapeutic applications. J. Nanopart. Res. 2017, 19, 253. [Google Scholar] [CrossRef]
- Liu, L.; Wu, J.; Zhang, C.L.; Cao, T.; Lu, Y.L.; He, Z.; Li, Z.C. Inhibition of endoplasmic reticulum stress attenuates morphine protracted abstinence-induced anxiety-like behaviors in the male mice. Brain Res. 2024, 1835, 148930. [Google Scholar] [CrossRef]
- De la Vega, E.; O’Leary, N.A.; Shockey, J.E.; Robalino, J.; Payne, C.; Browdy, C.L.; Warr, G.W.; Gross, P.S. Anti-lipopolysaccharide factor in Litopenaeus vannamei (LvALF): A broad spectrum antimicrobial peptide essential for shrimp immunity against bacterial and fungal infection. Mol. Immunol. 2008, 45, 1916–1925. [Google Scholar] [CrossRef]
- Tassanakajon, A.; Amparyup, P.; Somboonwiwat, K.; Supungul, P. Cationic antimicrobial peptides in penaeid shrimp. Mar. Biotechnol. 2011, 13, 639–657. [Google Scholar] [CrossRef]
- Liu, Q.N.; Zhao, X.; Zhang, D.Z.; Jiang, S.H.; Chai, X.Y.; Li, C.F.; Zhou, C.L.; Tang, B.X. Molecular identification and expression analysis of a goose-type lysozyme (LysG) gene in yellow catfish Pelteobagrus fulvidraco. Fish Shellfish Immun. 2016, 58, 423–428. [Google Scholar] [CrossRef]
- Purbiantoro, W.; Huynh-Phuoc, V.; Castillo-Corea, B.R.J.; Byadgi, O.V.; Cheng, T.C. Effectiveness of dietary heat-killed Bacillus subtilis harboring plasmid containing 60 copies of CpG-ODN 1668 against Vibrio harveyi in Penaeus vannamei. Vet. Res. Commun. 2024, 48, 85–101. [Google Scholar] [CrossRef]
- Sangsuriya, P.; Charoensapsri, W.; Chomwong, S.; Senapin, S.; Tassanakajon, A.; Amparyup, P. A shrimp pacifastin light chain-like inhibitor: Molecular identification and role in the control of the prophenoloxidase system. Dev. Comp. Immunol. 2016, 54, 32–45. [Google Scholar] [CrossRef]
- Elmore, S. Apoptosis: A review of programmed cell death. Toxicol. Pathol. 2007, 35, 495–516. [Google Scholar] [CrossRef]
- Fischer, T.W.; Zmijewski, M.A.; Wortsman, J.; Slominski, A. Melatonin maintains mitochondrial membrane potential and attenuates activation of initiator (casp-9) and effector caspases (casp-3/casp-7) and parp in uvr-exposed hacat keratinocytes. J. Pineal Res. 2010, 44, 397–407. [Google Scholar] [CrossRef]
- Wang, X. The expanding role of mitochondria in apoptosis. Genes Dev. 2001, 15, 2922–2933. [Google Scholar]
- Nan, Y.X.; Xiao, M.; Duan, Y.F.; Yang, Y.K. Toxicity of ammonia stress on the physiological homeostasis in the gills of Litopenaeus vannamei under seawater and low-salinity conditions. Biology 2024, 13, 281. [Google Scholar] [CrossRef]
- Nan, Y.X.; Zhu, X.Y.; Huang, J.H.; Zhang, Z.; Xing, Y.F.; Yang, Y.K.; Xiao, M.; Duan, Y.F. Toxic effects of triclocarban on the histological morphology, physiological and immune response in the gills of the black tiger shrimp Penaeus monodon. Mar. Environ. Res. 2023, 192, 106245. [Google Scholar] [CrossRef]
- Rahi, M.L.; Moshtaghi, A.; Mather, P.B.; Hurwood, D.A. Osmoregulation in decapod crustaceans: Physiological and genomic perspectives. Hydrobiologia 2018, 825, 177–188. [Google Scholar] [CrossRef]
- Esbaugh, A.J.; Perry, S.F.; Bayaa, M.; Georgalis, T.; Nickerson, J.; Tufts, B.L.; Gilmour, K.M. Cytoplasmic carbonic anhydrase isozymes in rainbow trout Oncorhynchus mykiss: Comparative physiology and molecular evolution. J. Exp. Biol. 2005, 208, 1951–1961. [Google Scholar] [CrossRef]
- Lin, Y.M.; Chen, C.N.; Lee, T.H. The expression of gill Na+/K+-V-ATPase in milkfish, Chanos chanos, acclimated to seawater, brackish water and fresh water. Comp. Biochem. Phys A 2003, 135, 489–497. [Google Scholar] [CrossRef]
- Tresguerres, M.; Parks, S.K.; Katoh, F.; Goss, G.G. Microtubule-dependent relocation of branchial V-H+-ATPase to the basolateral membrane in the Pacific spiny dogfish (Squalus acanthias): A role in base secretion. J. Exp. Biol. 2006, 209, 599–609. [Google Scholar] [CrossRef]
- Faleiros, R.O.; Goldman, M.H.S.; Furriel, R.P.; McNamara, J.C. Differential adjustment in gill Na+/K+-V-ATPase activities and transporter mRNA expression during osmoregulatory acclimation in the cinnamon shrimp Macrobrachium amazonicum (Decapoda, Palaemonidae). J. Exp. Biol. 2010, 213, 3894–3905. [Google Scholar] [CrossRef]
- Sáez, A.G.; Lozano, E.; Zaldívar-Riverón, A. Evolutionary history of Na+/K+-ATPases and their osmoregulatory role. Genetica 2009, 136, 479–490. [Google Scholar] [CrossRef]
- Cozza, R.; Pangaro, T. Tissue expression pattern of two aquaporin-encoding genes in different organs of the seagrass Posidonia oceanica. Aquat. Bota. 2009, 91, 117–121. [Google Scholar] [CrossRef]
- Ruan, W.; Dong, Y.; Lin, Z.; He, L. Molecular characterization of aquaporins genes from the razor clam Sinonovacula constricta and their potential role in salinity tolerance. Fishes 2022, 7, 69. [Google Scholar] [CrossRef]








Disclaimer/Publisher’s Note: The statements, opinions and data contained in all publications are solely those of the individual author(s) and contributor(s) and not of MDPI and/or the editor(s). MDPI and/or the editor(s) disclaim responsibility for any injury to people or property resulting from any ideas, methods, instructions or products referred to in the content. |
© 2024 by the authors. Licensee MDPI, Basel, Switzerland. This article is an open access article distributed under the terms and conditions of the Creative Commons Attribution (CC BY) license (https://creativecommons.org/licenses/by/4.0/).
Share and Cite
Xiao, M.; Nan, Y.; Yang, Y.; Li, H.; Duan, Y. Changes in Physiological Homeostasis in the Gills of Litopenaeus vannamei Under Carbonate Alkalinity Stress and Recovery Conditions. Fishes 2024, 9, 463. https://doi.org/10.3390/fishes9110463
Xiao M, Nan Y, Yang Y, Li H, Duan Y. Changes in Physiological Homeostasis in the Gills of Litopenaeus vannamei Under Carbonate Alkalinity Stress and Recovery Conditions. Fishes. 2024; 9(11):463. https://doi.org/10.3390/fishes9110463
Chicago/Turabian StyleXiao, Meng, Yuxiu Nan, Yukai Yang, Hua Li, and Yafei Duan. 2024. "Changes in Physiological Homeostasis in the Gills of Litopenaeus vannamei Under Carbonate Alkalinity Stress and Recovery Conditions" Fishes 9, no. 11: 463. https://doi.org/10.3390/fishes9110463
APA StyleXiao, M., Nan, Y., Yang, Y., Li, H., & Duan, Y. (2024). Changes in Physiological Homeostasis in the Gills of Litopenaeus vannamei Under Carbonate Alkalinity Stress and Recovery Conditions. Fishes, 9(11), 463. https://doi.org/10.3390/fishes9110463

