Effects of Partial Substitution of Fish Meal with Soybean Products and Chicken Meal on Growth, Antioxidant Capacity and Intestinal Microbiota of Penaeus monodon
Abstract
1. Introduction
2. Materials and Methods
2.1. Experiment Materials
2.2. Experiment Feeds
2.3. Feeding Management
2.4. Sample Collection and Index Measurement
2.5. Composition Analysis of Whole Shrimp
2.6. Determination of Antioxidant Enzymes in Hepatopancreas of Shrimp
2.7. Determination of Intestinal Microbiota in Shrimp
2.8. Data Statistics and Analysis
3. Results
3.1. Growth Performance and Feed Utilization of P. monodon
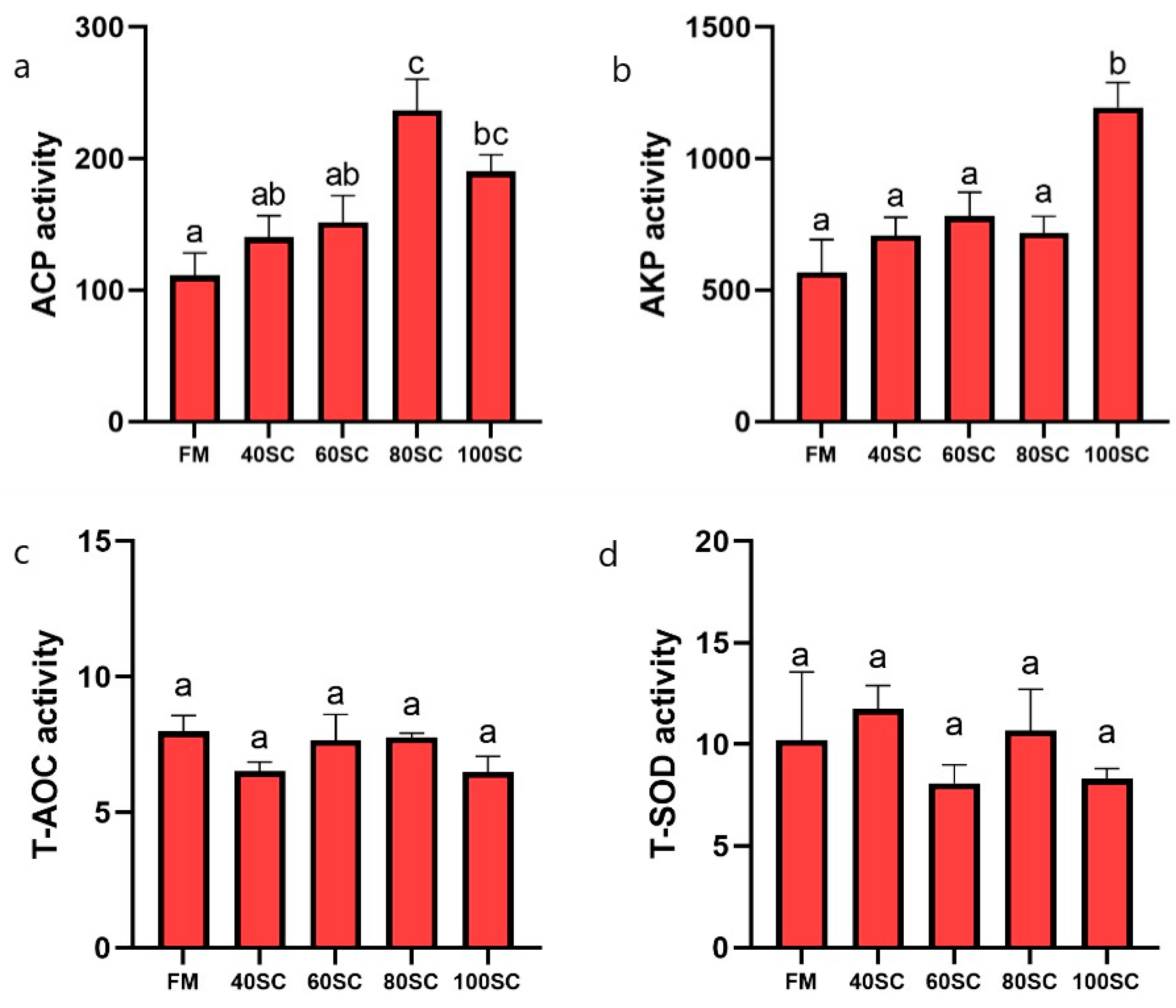
3.2. Hepatopancreas Antioxidant Capacity of P. monodon
3.3. Composition and Rationality Analysis of Intestinal Microbial ASVs in P. monodon
3.4. The Richness and Diversity of Intestinal Microbiota in P. monodon
3.5. Intestinal Microbiota Composition of P. monodon
3.6. Functional Gene Prediction Analysis of Intestinal Microbiota and Functional Prediction of FAPROTAX
4. Discussion
5. Conclusions
Author Contributions
Funding
Institutional Review Board Statement
Data Availability Statement
Conflicts of Interest
References
- Rahi, L.; Sabbir, W.; Salin, K.R.; Aziz, D.; Hurwood, D.A. Hurwood, Physiological, biochemical and genetic responses of black tiger shrimp (Penaeus monodon) to differential exposure to white spot syndrome virus and Vibrio parahaemolyticus. Aquaculture 2022, 546, 737337. [Google Scholar] [CrossRef]
- El-Sayed, A.F.M. Long-term evaluation of cotton seed meal as a protein source for Nile tilapia, Oreochromis niloticus (Linn.). Aquaculture 1990, 84, 315–320. [Google Scholar] [CrossRef]
- Suárez, J.; Gaxiola, G.; Mendoza, R.; Cadavid, S.; Garcia, G.; Alanis, G.; Suárez, A.; Faillace, J.; Cuzon, G. Substitution of fish meal with plant protein sources and energy budget for white shrimp Litopenaeus vannamei (Boone, 1931). Aquaculture 2009, 289, 118–123. [Google Scholar] [CrossRef]
- Watanabe, T. Strategies for further development of aquatic feeds. Fish. Sci. 2010, 68, 242–252. [Google Scholar] [CrossRef]
- Dawood, M.A.O.; Magouz, F.I.; Mansour, M.; Saleh, A.A.; El Asely, A.M.; Fadl, S.E.; Ahmed, H.A.; Al-Ghanim, K.A.; Mahboob, S.; Al-Misned, F. Evaluation of yeast fermented poultry by-product meal in Nile tilapia (Oreochromis niloticus) feed: Effects on growth performance, digestive enzymes activity, innate immunity, and antioxidant capacity. Front. Vet. Sci. 2020, 6, 516. [Google Scholar] [CrossRef] [PubMed]
- Moutinho, S.; Peres, H.; Serra, C.; Martínez-Llorens, S.; Tomás-Vidal, A.; Jover-Cerdá, M.; Oliva-Teles, A. Meat and bone meal as partial replacement of fish meal in diets for gilthead sea bream (Sparus aurata) juveniles: Diets digestibility, digestive function, and microbiota modulation. Aquaculture 2017, 479, 721–731. [Google Scholar] [CrossRef]
- Nannan, S.; Zhicheng, S.; Cancan, X.; Hua, M.; Xiangning, C.; Hanliang, C.; Jianhe, X.; Yongkai, S.; Chaoqing, W.; Lu, Z. Comparative evaluation of soybean meal vs. extruded soybean meal as a replacer for fishmeal in diets of olive flounder (Paralichthys olivaceus): Effects on growth performance and muscle quality. Aquaculture 2024, 578, 740136. [Google Scholar]
- Dominy, W.G.; Ako, H. The utilization of blood meal as a protein ingredient in the diet of the marine shrimp Penaeus vannamei. Aquaculture 1988, 70, 289–299. [Google Scholar] [CrossRef]
- Lim, C. Substitution of cottonseed meal for marine animal protein in diets for Penaeus vannamei. J. World Aquac. Soc. 1996, 27, 402–409. [Google Scholar] [CrossRef]
- Liu, X.H.; dan Ye, J.; Wang, K.; Yang, W.; Zhou, L. Partial replacement of fish meal with peanut meal in practical diets for the Pacific white shrimp, Litopenaeus vannamei. Aquac. Res. 2012, 43, 745–755. [Google Scholar] [CrossRef]
- Liu, Y.L.; Zhong, L.; Chen, T.; Shi, Y.; Hu, Y.; Zeng, J.G.; Liu, H.Y.; Xu, S.D. Dietary sanguinarine supplementation on the growth performance, immunity and intestinal health of grass carp (Ctenopharyngodon idellus) fed cottonseed and rapeseed meal diets. Aquaculture 2020, 528, 735521. [Google Scholar] [CrossRef]
- Li, E.; Chen, L.; Cai, Y. Effects of Soy Protein Concentrate as a Dietary Protein Source on Digestive Enzyme Activities of Eriocheir sinensis. J. Zhanjiang Ocean. Univ. 2006, 26, 14–21. [Google Scholar]
- Amaya, E.A.; Davis, D.A.; Rouse, D.B. Replacement of fish meal in practical diets for the Pacific white shrimp (Litopenaeus Vannamei) reared under pond conditions. Aquaculture 2007, 262, 393–401. [Google Scholar] [CrossRef]
- Lü, J.X.; Guo, W.D. Dietary nutritional value of poultry by-product meal. China Feed 1995, 13, 25–26. (In Chinese) [Google Scholar]
- Ma, L.; Mu, Y.; Li, W.; Gen, X.; Jiang, M.; Wen, H.; Wang, G.; Li, Y. Effects of Peru Fish Meal Replacement by Pet Grade Chicken Meal on Growth Performance, Serum Biochemical Indexes, intestinal and Liver Histomorphology of Largemouth Bass (Micropterus salmoides). Chin. J. Anim. Nutr. 2021, 33, 4183–4193. [Google Scholar]
- Guo, X.; Dai, J.; Zhang, J.; Hu, Y. Research progress on chicken meal and enzymatic hydrolysates of chicken skeleton in aquatic feeds. Mod. Anim. Husb. Vet. Med. 2022, 2, 80–83. [Google Scholar]
- Yi, X.; Chen, R.; Xu, J. Effects of the Poultry By-Product Meal Replacing Partially Dietary Fishmeal on the Growth, Feed Utilization and Anti-Oxidative Capacity of Golden Pompano Trachinotus ovatus. Period. Ocean. Univ. China 2019, 49, 17–24. [Google Scholar] [CrossRef]
- Pan, Y.; Huang, Z.; Lv, F.; Lang, Y.; Zhao, Y.; Li, Y. Effect of enzymatic hydrolysis of soybean meal on growth and intestinal microbiota of Procambarus clarkii. Feed. Res. 2022, 45, 44–48. [Google Scholar] [CrossRef]
- Horwitz, W. Official Methods of Analysis of the Association of Official Analytical Chemists. J. Chem. Educ. 1961, 38, 431. [Google Scholar]
- Louca, S.; Parfrey, L.W.; Doebeli, M. Decoupling function and taxonomy in the global ocean microbiome. Science 2016, 353, 1272–1277. [Google Scholar] [CrossRef]
- Wong, S.; Waldrop, T.; Summerfelt, S.; Davidson, J.; Barrows, F.; Kenney, P.B.; Welch, T.; Wiens, G.D.; Snekvik, K.; Rawls, J.F.; et al. Aquacultured rainbow trout (Oncorhynchus mykiss) possessa large core intestinal microbiota that is resistant to variation in diet and rearing density. Appl. Environ. Microbiol. 2013, 79, 4974–4984. [Google Scholar] [CrossRef] [PubMed]
- Zhang, X.; Liang, M.; Wei, Y.; Liao, Z.; Zhang, Q.; Xu, H. Effects of Dietary Protein Content and Stocking Density on Growth Performance, Nitrogen Excretion, and Relevant Biochemica Parameters of Juvenile Takifuqu rubripes. Prog. Fish. Sci. 2021, 42, 74–83. [Google Scholar]
- Yan, Y. Effects of Several Feed Additives on Growth Performance, Immune Response and Intestinal Health of Litopenaeus Vannamei Fed Diets with Fish Meal Partially Replaced by Soybean Meal. Master’s Thesis, Jimei University, Xiamen, China, 2019. [Google Scholar]
- Zhang, J.; Lin, H.; Huang, Z.; Niu, J.; Zhou, F.; Chen, X.; Wang, Y.; Xia, D. Effects of plant proteins supplemented with amino acids on growth and non-specific immunity of Penaeus monodon. South. Fish. Sci. 2013, 9, 44–50. [Google Scholar]
- Sun, H.; Tang, J.W.; Yao, X.H.; Wu, Y.F.; Wang, X.; Liu, Y. Effects of replacement of fish meal with fermented cottonseed meal on growth performance, body composition and haemolymph indexes of Pacific white shrimp, Litopenaeus vannamei Boone, 1931. Aquac. Res. 2016, 47, 2623–2632. [Google Scholar] [CrossRef]
- Daniela, A.-H.; Crisantema, H.; Emmanuel, M.-M.; Leonardo, I.-C.; Esmeralda, L.-V.; Nayely, L.-L.; Cristina, C.-S.M. Fish meal replacement by soybean products in aquaculture feeds for white snook, Centropomus viridis: Effect on growth, diet digestibility, and digestive capacity. Aquaculture 2021, 530, 735823. [Google Scholar]
- Wu, J.; Liao, R.; Kuang, W.; Sun, H.; Chen, Y.; Tan, B.; Lin, S. Effects of Replacing Fish Meal with Domestic Poultry by-Product Meal on Growth, Liver Health Andintestinal Barrier of Micropterus salmoides. J. Fish. 2023, 47, 47–57. [Google Scholar]
- Yu, F.; Zhu, L.; Wu, W.; Zhao, S. Research on brown fish meal replacement with soy protein concentrate in the feed of penaeus vannamel. Food Feed. Ind. 2020, 5, 48–52. [Google Scholar]
- Chen, J. The Application of Soy Protein Concentrate, Methionine, and Hydroxyl Methionine Calcium in White Shrimp Feed. Master’s Thesis, Shanghai Ocean University, Shanghai, China, 2018. [Google Scholar]
- Wang, J. Application of Enzymatic Chicken Mash and Soy Protein Concentrate in the Feed of Hybrid Grouper. Master’s Thesis, Guangdong Ocean University, Zhanjiang, China, 2021. [Google Scholar] [CrossRef]
- Franco, R.; Sánchez-Olea, R.; Reyes-Reyes, E.M.; Panayiotidis, M.I. Environmental toxicity, oxidative stress and apoptosis: Ménage à trois. Mutat. Res. Genet. Toxicol. Environ. Mutagen. 2009, 674, 3–22. [Google Scholar] [CrossRef]
- Mathew, S.; Kumar, K.A.; Anandan, R.; Viswanathan Nair, P.G.; Devadasan, K. Changes in tissue defence system inwhite spot syndrome virus (WSSV) infected Penaeus monodon. Compart. Biochem. Physiol. Toxicol. Pharmacol. 2007, 145, 315–320. [Google Scholar] [CrossRef]
- Wu, Z.; You, F.; Wang, Y.; Wen, A.; Ma, D.; Xu, Y.; Zhang, P. The effects of hypoxia and hyperoxia on nucleus anomaly, SOD, CAT activities and MDA content in juvenile turbot Scophthalmus maximus. J. Shanghai Ocean. Univ. 2011, 20, 808–813. [Google Scholar]
- Chen, Q.; Chen, S.; Shi, Y.; Zhu, L.; Yan, S. Characterization of Alkaline Phosphatasefrom Penaeus Penicillatus. J. Xiamen Univ. (Nat. Sci.) 1996, 35, 257–261. [Google Scholar]
- Jiang, S.; Chen, Z.; Zhou, F.; Yang, Q.; Huang, J.; Yang, L.; Li, Y.; Jiang, S. Study on partial replacement of fish meal with concentrated dephenolized cottonseed protein in feed of Penaeus monodon. Aquac. Res. 2021, 52, 3871–3881. [Google Scholar] [CrossRef]
- Cui, Y.; Zhang, N.; Ma, Q.; Chen, Q.; Shen, Z.; Du, Z.; Chen, L. Effects of four plant proteins on growth performance, amino acid deposition rate and antioxidant enzyme activity of juvenile Chinese Mitten crab. J. Hydrobiol. 2017, 41, 146–154. [Google Scholar]
- Luo, Q.; Zhao, Y.; Li, H.; Gu, X.; Ding, G.; Wang, G.; Xu, Q.; Liu, C. Effects of Replacement of Fish Meal by Stickwater on Growth Performance, Body Composition, immune Indexes and Intestinal Digestive Enzyme Activities of Macrobrachium rosenbergii. Chin. J. Anim. Nutr. 2021, 33, 6366–6375. [Google Scholar]
- Wang, Z.; Liao, S.; Wang, J.; Wang, Y.; Huang, Z.; Yu, W.; Huang, X.; Lin, H.; Luo, M.; Cheng, Z.; et al. Effects of Fermented Cottonseed Meal Substitution for Fish Meal on Intestinal Enzymatic Activity, Inflammatory and Physical-Barrier-Related Gene Expression, and Intestinal Microflora of Juvenile Golden Pompano (Trachinotus ovatus). Fishes 2023, 8, 466. [Google Scholar] [CrossRef]
- Bolyen, E.; Rideout, J.R.; Dillon, M.R.; Bokulich, N.A.; Abnet, C.C.; Al-Ghalith, G.A.; Alexander, H.; Alm, E.J.; Arumugam, M.; Asnicar, F.; et al. Reproducible, interactive, scalable and extensible microbiome data science using QIIME 2. Nat. Biotechnol. 2019, 37, 852–857. [Google Scholar] [CrossRef] [PubMed]
- Knight, R.; Vrbanac, A.; Taylor, B.C.; Aksenov, A.; Callewaert, C.; Debelius, J.; Gonzalez, A.; Kosciolek, T.; McCall, L.I.; McDonald, D.; et al. Best practices for analyzing microbiomes. Nat. Rev. Microbiol. 2018, 16, 410–422. [Google Scholar] [CrossRef]
- El-Saadony, M.T.; Alagawany, M.; Patra, A.K.; Kar, I.; Tiwari, R.; Dawood, M.A.; Dhama, K.; Abdel-Latif, H.M. The functionality of probiotics in aquaculture: An overview. Fish Shellfish. Immunol. 2021, 117, 36–52. [Google Scholar] [CrossRef]
- Rungrassamee, W.; Klanchui, A.; Maibunkaew, S.; Chaiyapechara, S.; Jiravanichpaisal, P.; Karoonuthaisiri, N. Characterization of intestinal bacteria in wild and domesticated adult black tiger shrimp (Penaeus monodon). PLoS ONE 2014, 9, e91853. [Google Scholar] [CrossRef]
- Huang, Z.; Li, X.; Wang, L.; Shao, Z. Changes in the intestinal bacterial community during the growth of white shrimp, Litopenaeus vannamei. Aquac. Res. 2016, 47, 1737–1746. [Google Scholar] [CrossRef]
- Kersters, K.; De Vos, P.; Gillis, M.; Swings, J.; Vandamme, P.; Stackebrandt, E.R.K.O. Introduction to the Proteobacteria; Dworkin, M., Falkow, S., Rosenberg, E., Schleifer, K.-H., Eds.; The Prokaryotes; Springer: New York, NY, USA, 2016; pp. 3–37. [Google Scholar]
- Deng, Y.; Xu, X.; Yin, X.; Lu, H.; Chen, G.; Yu, J.; Ruan, Y. Effect of stock density on the microbial community in biofloc water and Pacific white shrimp (Litopenaeus vannamei) gut microbiota. Appl. Microbiol. Biotechnol. 2019, 103, 4241–4252. [Google Scholar] [CrossRef]
- Zhang, Z.M. Spatiotemporal Heterogeneity of Microbiome in Southern Catfish. Ph.D. Thesis, Huazhong Agricultural University, Wuhan, China, 2018. (In Chinese). [Google Scholar]
- Wang, P.; Chen, S.; Wei, C.; Yan, Q.; Sun, Y.Z.; Yi, G.; Li, D.; Fu, W. Monascus purpureus M-32 improves growth performance, immune response, intestinal morphology, microbiota and disease resistance in Litopenaeus vannamei. Aquaculture 2021, 530, 735947. [Google Scholar] [CrossRef]






| FM | 40SC | 60SC | 80SC | 100SC | |
|---|---|---|---|---|---|
| Fish meal | 25.00 | 15.00 | 10.00 | 5.00 | 0.00 |
| Soybean meal | 23.00 | 23.50 | 23.50 | 24.50 | 24.50 |
| Chicken meal | 0.00 | 4.50 | 6.50 | 8.50 | 11.00 |
| Peanut hull | 14.00 | 14.00 | 14.00 | 14.00 | 14.00 |
| Wheatmeal | 23.20 | 22.30 | 22.19 | 21.36 | 21.11 |
| Beer yeast | 3.00 | 3.00 | 3.00 | 3.00 | 3.00 |
| Shrimp med | 3.00 | 3.00 | 4.00 | 4.00 | 4.00 |
| Soy protein concentrate | 0.00 | 4.50 | 6.00 | 8.00 | 10.00 |
| Soybean lecithin | 1.00 | 1.00 | 1.00 | 1.00 | 1.00 |
| Fish oil | 1.55 | 1.65 | 1.70 | 1.80 | 1.85 |
| Soybean oil | 1.55 | 1.65 | 1.70 | 1.80 | 1.85 |
| Vitamin C polyphosphate | 0.10 | 0.10 | 0.10 | 0.10 | 0.10 |
| Cholesterol | 0.50 | 0.50 | 0.50 | 0.50 | 0.50 |
| Vitamin premix (Prawn) | 1.00 | 1.00 | 1.00 | 1.00 | 1.00 |
| Mineral premix (Prawn) | 1.00 | 1.00 | 1.00 | 1.00 | 1.00 |
| Ca(H2PO4)2 | 1.00 | 1.75 | 2.05 | 2.45 | 2.85 |
| Lysine hydrochloride (78%) | 0.00 | 0.21 | 0.31 | 0.41 | 0.53 |
| Methionine (99%) | 0.00 | 0.10 | 0.14 | 0.19 | 0.24 |
| Threonine (98%) | 0.00 | 0.09 | 0.13 | 0.18 | 0.23 |
| Carboxymethyl cellulose | 1.00 | 1.00 | 1.00 | 1.00 | 1.00 |
| Taurine (99%) | 0.10 | 0.15 | 0.18 | 0.21 | 0.24 |
| Total | 100.00 | 100.00 | 100.00 | 100.00 | 100.00 |
| Crude protein | 39.92 | 40.00 | 39.91 | 39.93 | 39.89 |
| Crude lipid | 7.26 | 7.22 | 7.19 | 7.25 | 7.26 |
| Methionine | 0.83 | 0.83 | 0.83 | 0.83 | 0.83 |
| Lysine | 2.58 | 2.58 | 2.58 | 2.58 | 2.58 |
| Threonine | 1.63 | 1.63 | 1.63 | 1.63 | 1.63 |
| Taurine | 0.27 | 0.26 | 0.26 | 0.26 | 0.26 |
| Total phosphorus | 1.31 | 1.31 | 1.29 | 1.29 | 1.30 |
| Items | Diets | ||||
|---|---|---|---|---|---|
| FM | 40SC | 60SC | 80SC | 100SC | |
| IW (g) | 3.41 ± 0.01 | 3.44 ± 0.01 | 3.47 ± 0.02 | 3.42 ± 0.03 | 3.46 ± 0.03 |
| FW (g) | 13.70 ± 0.45 c | 13.22 ± 0.85 bc | 13.38 ± 1.23 c | 11.52 ± 0.74 ab | 10.44 ± 0.08 a |
| WG (%) | 302.26 ± 12.02 c | 283.69 ± 25.01 bc | 285.98 ± 35.84 bc | 236.65 ± 24.64 ab | 201.90 ± 1.95 a |
| SR (%) | 82.67 ± 0.02 c | 80.67 ± 0.01 bc | 80 ± 0.02 bc | 76.67 ± 0.01 b | 71.33 ± 0.01 a |
| FCR | 1.33 ± 0.08 a | 1.42 ± 0.15 ab | 1.48 ± 0.29 ab | 1.51 ± 0.09 ab | 1.78 ± 0.14 b |
| Items | Diets | ||||
|---|---|---|---|---|---|
| FM | 40SC | 60SC | 80SC | 100SC | |
| Moisture | 74.00 ± 0.31 | 74.42 ± 0.71 | 74.81 ± 0.55 | 74.28 ± 0.71 | 72.32 ± 0.47 |
| Crude protein | 73.42 ± 1.06 | 73.58 ± 0.48 | 74.04 ± 0.16 | 73.29 ± 0.77 | 72.83 ± 0.47 |
| Crude fat | 7.13 ± 0.18 | 6.95 ± 0.20 | 5.97 ± 0.56 | 6.16 ± 0.74 | 6.69 ± 0.09 |
| Crude ash | 16.20 ± 0.28 | 15.91 ± 0.71 | 16.60 ± 0.10 | 16.65 ± 0.56 | 14.50 ± 0.47 |
| Phylum | Group | ||||
|---|---|---|---|---|---|
| FM | 40SC | 60SC | 80SC | 100SC | |
| Proteobacteria | 37.67 ± 19.03 | 66.00 ± 9.00 | 40 ± 21.70 | 40 ± 15.10 | 43.33 ± 19.29 |
| Bacteroidota | 33.00 ± 18.36 | 14.00 ± 3.00 | 34.00 ± 7.81 | 40.00 ± 25.06 | 24.67 ± 16.65 |
| Actinobacteriota | 10.67 ± 7.37 | 12.33 ± 11.50 | 14.33 ± 7.23 | 10.67 ± 4.04 | 13.67 ± 10.12 |
| Firmicutes | 0.80 ± 1.04 | 3.02 ± 2.98 | 0.30 ± 0.10 | 3.53 ± 5.60 | 9.06 ± 13.83 |
| Verrucomicrobiota | 1.43 ± 1.40 | 1.10 ± 0.85 | 6.23 ± 6.24 | 2.67 ± 1.52 | 3.50 ± 2.78 |
| Desulfobacterota | 3.08 ± 5.12 | 1.53 ± 1.46 | 0.40 ± 0.53 | 1.17 ± 0.72 | 3.13 ± 2.42 |
| Fusobacteriota | 13.33 ± 10.40 a | 1.13 ± 0.81 b | 3.03 ± 3.56 b | 0.84 ± 10.3 b | 10.6 ± 0.90 b |
| Planctomycetota | 0.38 ± 0.54 | 0.16 ± 0.14 | 0.63 ± 0.58 | 0.30 ± 0.30 | 0.38 ± 0.53 |
| Patescibacteria | 0.37 ± 0.11 | 0.15 ± 0.05 | 0.37 ± 0.54 | 0.05 ± 0.04 | 0.17 ± 0.21 |
| Dependentiae | 0.01 ± 0.11 | 0.15 ± 0.15 | 0.27 ± 0.30 | 0.08 ± 0.10 | 0.06 ± 0.06 |
Disclaimer/Publisher’s Note: The statements, opinions and data contained in all publications are solely those of the individual author(s) and contributor(s) and not of MDPI and/or the editor(s). MDPI and/or the editor(s) disclaim responsibility for any injury to people or property resulting from any ideas, methods, instructions or products referred to in the content. |
© 2024 by the authors. Licensee MDPI, Basel, Switzerland. This article is an open access article distributed under the terms and conditions of the Creative Commons Attribution (CC BY) license (https://creativecommons.org/licenses/by/4.0/).
Share and Cite
Yang, W.; Jiang, S.; Yang, Q.; Huang, J.; Shi, J.; Li, Y.; Yang, Y.; Zhou, F. Effects of Partial Substitution of Fish Meal with Soybean Products and Chicken Meal on Growth, Antioxidant Capacity and Intestinal Microbiota of Penaeus monodon. Fishes 2024, 9, 42. https://doi.org/10.3390/fishes9010042
Yang W, Jiang S, Yang Q, Huang J, Shi J, Li Y, Yang Y, Zhou F. Effects of Partial Substitution of Fish Meal with Soybean Products and Chicken Meal on Growth, Antioxidant Capacity and Intestinal Microbiota of Penaeus monodon. Fishes. 2024; 9(1):42. https://doi.org/10.3390/fishes9010042
Chicago/Turabian StyleYang, Wanli, Song Jiang, Qibin Yang, Jianhua Huang, Jianzhi Shi, Yundong Li, Yukai Yang, and Falin Zhou. 2024. "Effects of Partial Substitution of Fish Meal with Soybean Products and Chicken Meal on Growth, Antioxidant Capacity and Intestinal Microbiota of Penaeus monodon" Fishes 9, no. 1: 42. https://doi.org/10.3390/fishes9010042
APA StyleYang, W., Jiang, S., Yang, Q., Huang, J., Shi, J., Li, Y., Yang, Y., & Zhou, F. (2024). Effects of Partial Substitution of Fish Meal with Soybean Products and Chicken Meal on Growth, Antioxidant Capacity and Intestinal Microbiota of Penaeus monodon. Fishes, 9(1), 42. https://doi.org/10.3390/fishes9010042

