Sign in to use this feature.

Years

Between: -

Subjects

remove_circle_outline
remove_circle_outline
remove_circle_outline
remove_circle_outline
remove_circle_outline
remove_circle_outline
remove_circle_outline
remove_circle_outline
remove_circle_outline

Journals

Article Types

Countries / Regions

Search Results (71)

Search Parameters:
Keywords = Penaeus monodon

Order results
Result details
Results per page
Select all
Export citation of selected articles as:
21 pages, 7924 KB  
Article
Genomic and GWAS-Based Insights into Antimicrobial Resistance in Shewanella algae Isolated from Penaeus monodon
by Ponsit Sathapondecha, Wichai Pornthanakasem, Timpika Thepsuwan, Pacharaporn Angthong, Wiyada Chumpol, Kamonwan Lunha, Suganya Yongkiettrakul and Wanilada Rungrassamee
Antibiotics 2026, 15(4), 405; https://doi.org/10.3390/antibiotics15040405 - 16 Apr 2026
Viewed by 507
Abstract
Background/Objectives: The emergence of antimicrobial-resistant (AMR) pathogens in aquaculture ecosystems poses a significant risk to both food security and human health. Shewanella species are recognized as significant AMR reservoirs, yet their prevalence and resistance mechanisms within a shrimp-related ecosystem remain poorly characterized. This [...] Read more.
Background/Objectives: The emergence of antimicrobial-resistant (AMR) pathogens in aquaculture ecosystems poses a significant risk to both food security and human health. Shewanella species are recognized as significant AMR reservoirs, yet their prevalence and resistance mechanisms within a shrimp-related ecosystem remain poorly characterized. This study aimed to perform a genotypic and phenotypic characterization of S. algae VK101, isolated from wild-caught black tiger shrimp (Penaeus monodon) broodstock. Methods: A complete 5.21 Mb genome was generated using a hybrid Illumina and Oxford Nanopore sequencing approach. Antimicrobial susceptibility was evaluated for 21 antibiotics via Minimum Inhibitory Concentration (MIC) testing. Comparative pangenomics and genome-wide association studies (GWAS) across 125 S. algae genomes were conducted to identify novel resistance determinants. Results: MIC analysis revealed that VK101 was resistant to ampicillin (>16 µg/mL) and colistin (8 µg/mL), while showing intermediate susceptibility to imipenem and ciprofloxacin. In silico analysis identified 205 antimicrobial resistance genes (ARGs), including a perfect hit for the fluoroquinolone resistance gene qnrA3. Notably, no mcr genes were detected. Although VK101 exhibited moderate resistance (8 µg/mL), GWAS across the broader S. algae population linked a specific lptA mutation (K140N) to high-level resistance (64 µg/mL). Other GWAS-identified genes (e.g., czcA, ampC, and oprM) likely represent indirect associations driven by genetic linkage or clade-specific markers rather than direct causal factors. Conclusions: These findings highlighted the presence of multidrug-resistant S. algae in wild-caught P. monodon broodstock, reflecting the occurrence of antimicrobial resistance in aquatic environments. Colistin resistance in these isolates was primarily mediated by chromosomal variants rather than mobile mcr elements, indicating the need for integrated genomic surveillance within the aquaculture value chain. Full article
Show Figures

Figure 1

17 pages, 1188 KB  
Article
Effects of Microbial Biomass and Mineral Premixes on Growth Performance and Nutrient Utilisation in Penaeus monodon Fed Low Fishmeal Diets
by Ha H. Truong, Matthew R. P. Briggs, Barney M. Hines, Nicholas A. Bourne, Artur N. Rombenso and Cedric J. Simon
Fishes 2026, 11(3), 141; https://doi.org/10.3390/fishes11030141 - 26 Feb 2026
Viewed by 458
Abstract
The growth performance of Penaeus monodon is often reduced when fishmeal is extensively replaced with terrestrial ingredients. This study evaluated the efficacy of a marine microbial biomass, NovaqPro™ (NQ), and inorganic mineral premixes in improving the performance of low fishmeal diets. Diets containing [...] Read more.
The growth performance of Penaeus monodon is often reduced when fishmeal is extensively replaced with terrestrial ingredients. This study evaluated the efficacy of a marine microbial biomass, NovaqPro™ (NQ), and inorganic mineral premixes in improving the performance of low fishmeal diets. Diets containing soybean meal, soy protein concentrate, and bloodmeal were formulated with fishmeal limited to 6%. Treatments included 10% NQ, an experimental inorganic mineral premix, a commercial mineral premix, and their combinations added to the low fishmeal control. A high fishmeal diet was also assessed as a benchmark of performance. NQ supplementation significantly improved shrimp growth, increasing weight gain by 78.7% compared with the low fishmeal control (2.77 vs. 1.55 g shrimp−1) and numerically improved by 25.3% compared with the high fishmeal diet (2.21 g shrimp−1). Similar responses were observed for FCR where NQ diets (1.47–1.68), as well as the high fishmeal diet (1.59), were superior to that of the control diet (2.02). Growth improvements were associated with increased feed intake and higher retention of protein and gross energy. In contrast, mineral premix supplementation did not improve growth, and weight gain was numerically reduced relative to the low fishmeal control. The NQ diet showed higher apparent digestibility of calcium, phosphorus, and magnesium compared with the high fishmeal diet. These results demonstrate that NQ is an effective mitigation strategy to reduce growth limitations associated with low fishmeal diets in P. monodon, without the need for additional inorganic mineral supplementation. Full article
(This article belongs to the Special Issue Sustainable Aquaculture of Crustaceans)
Show Figures

Figure 1

17 pages, 2212 KB  
Article
Effects of Different Application Methods of Copper-Loaded Montmorillonite on Growth Performance, Antioxidant Capacity, Gene Expression, and Intestinal Microbiota of Penaeus monodon
by Jieyi Wang, Yangyang Ding, Falin Zhou, Jianzhi Shi, Qibin Yang, Yundong Li, Jianhua Huang, Lishi Yang, Xueliang Sun and Song Jiang
Int. J. Mol. Sci. 2026, 27(4), 1682; https://doi.org/10.3390/ijms27041682 - 9 Feb 2026
Viewed by 408
Abstract
Penaeus monodon is a major marine aquaculture species; however, production intensification has increased water-quality deterioration and disease pressure. Copper-loaded montmorillonite (Cu-MMT) is a functional clay additive with adsorption and antimicrobial properties, yet the optimal application mode remains unclear. We compared a control (KZ), [...] Read more.
Penaeus monodon is a major marine aquaculture species; however, production intensification has increased water-quality deterioration and disease pressure. Copper-loaded montmorillonite (Cu-MMT) is a functional clay additive with adsorption and antimicrobial properties, yet the optimal application mode remains unclear. We compared a control (KZ), water application (PZ), and dietary inclusion (BZ) of Cu-MMT in P. monodon. BZ was associated with higher survival and a numerically higher specific growth rate, whereas final body weight did not differ among treatments. Antioxidant status improved in BZ, with higher catalase (CAT) and total superoxide dismutase (T-SOD) activities (both p < 0.05). Hepatopancreas RNA-seq identified 949 differentially expressed genes (DEGs) for KZ vs. PZ and 814 DEGs for KZ vs. BZ. Gene Ontology (GO) and Kyoto Encyclopedia of Genes and Genomes (KEGG) analyses showed that PZ was enriched for redox processes, transporter activity, and amino-acid biosynthesis—indicative of a stress-defense state—whereas BZ was enriched for proteolysis, endoplasmic-reticulum protein processing, and proteasome pathways, consistent with an anabolic, protein-quality-control–oriented mode. Intestinal 16S rRNA profiling indicated higher diversity and reduced putative pathogens in BZ. Overall, dietary Cu-MMT is the preferred application, shifting shrimp from an energy-consuming stress response to efficient anabolism and thereby improving performance and survival. Full article
Show Figures

Figure 1

15 pages, 2491 KB  
Article
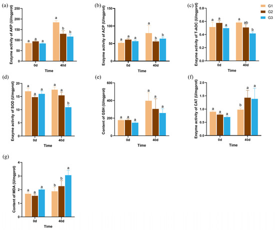
Effects of Stocking Density on Growth Performance, Physiological Responses, and Transcriptomic Profile of Penaeus monodon
by Jianzhi Shi, Wenzhe Li, Song Jiang, Hongshan Diao, Jianhua Huang, Lishi Yang, Yundong Li, Yangyang Ding, Yafei Duan, Xu Chen, Qibin Yang and Falin Zhou
Int. J. Mol. Sci. 2026, 27(3), 1505; https://doi.org/10.3390/ijms27031505 - 3 Feb 2026
Viewed by 589
Abstract
Stocking density plays an important role in P. monodon aquaculture. However, its underlying molecular mechanisms remain unknown. In this work, after a 40-day culture period, we studied the effects of different stocking densities (G1: 50, G2: 100, G3: 150 ind/m3) on [...] Read more.
Stocking density plays an important role in P. monodon aquaculture. However, its underlying molecular mechanisms remain unknown. In this work, after a 40-day culture period, we studied the effects of different stocking densities (G1: 50, G2: 100, G3: 150 ind/m3) on P. monodon, assessing their growth performances, physiological indexes, and transcriptome profiles. It was found that increased stocking density greatly decreased the growth performance and survival rate as well as the level of immune enzymes (alkaline phosphatase, acid phosphatase) and antioxidant component (total antioxidant capacity, superoxide dismutase, reduced glutathione) activities. Transcriptomic analysis showed that there are 2284 differentially expressed genes in all groups. Enrichment analysis of WGCNA results indicated that the green module associated with G2 was enriched for amino acid metabolism, lipid metabolism and immunity-related pathway. Furthermore, the G3 associated turquoise module was dominated by stress response, detoxification and energy metabolism pathways. Together, high stocking density causes the occurrence of oxidative stress, disturbance to immune system and alteration of metabolism profiles in P. monodon, whereas medium density (G2) is favorable to maintain physiological homeostasis. The results provide theoretical support to optimize aquaculture practice and contribute valuable information for subsequent studies. Full article
(This article belongs to the Special Issue Molecular Genetics and Genomics of Aquatic Crustaceans)
Show Figures

Figure 1

28 pages, 9454 KB  
Article
Integrative Transcriptomic and Network Analysis of Hemocyte Volume Plasticity and Redox Regulation Under Osmotic Stress in Penaeus monodon
by Sheng Huang, Falin Zhou, Qibin Yang, Song Jiang, Jilin Chen, Jie Xiong, Erchao Li and Yundong Li
Antioxidants 2026, 15(1), 147; https://doi.org/10.3390/antiox15010147 - 22 Jan 2026
Viewed by 500
Abstract
Osmotic stress affects ion transport and cell hydration, potentially disrupting redox homeostasis through altered proteostasis and mitochondrial metabolism. However, how immune hemocytes coordinate volume regulation with these stress-linked processes, particularly oxidative stress and antioxidant responses, remains unclear in crustaceans. This study integrated quantitative [...] Read more.
Osmotic stress affects ion transport and cell hydration, potentially disrupting redox homeostasis through altered proteostasis and mitochondrial metabolism. However, how immune hemocytes coordinate volume regulation with these stress-linked processes, particularly oxidative stress and antioxidant responses, remains unclear in crustaceans. This study integrated quantitative cytology, RNA sequencing, and network analysis to profile hemocyte volume plasticity in the euryhaline shrimp Penaeus monodon across a salinity gradient. Hemocytes were incubated for 24 h in hypoosmotic, isosmotic, and hyperosmotic media, with significant volume shifts observed while maintaining membrane integrity and morphology. The permeability of solutes (urea and sorbitol) suggested that volume adjustment is coupled with solute transport. Transcriptomic analyses identified key salinity-responsive pathways, including oxidative phosphorylation, MAPK signaling, ribosome biogenesis, and antioxidant defense mechanisms, underscoring the activation of redox-regulatory systems under osmotic stress. Weighted gene co-expression network analysis highlighted ribosomal proteins as central hubs in a salinity-responsive module, with qRT-PCR confirming the co-regulation of these hubs alongside representative osmoregulatory and antioxidant genes (AQP4, Na+/K+-ATPase, HSP70, CHOP, and antioxidant enzymes). These findings reveal how hemocyte volume dynamics are coupled to redox regulation, providing a mechanistic framework for understanding osmotic stress–redox coupling in crustacean immune cells. Full article
Show Figures

Figure 1

14 pages, 2042 KB  
Article
Effects of Different Application Strategies of Copper-Loaded Montmorillonite on Growth, Intestinal Histology, and Rearing-Water Quality in Penaeus monodon
by Jieyi Wang, Yangyang Ding, Falin Zhou, Jianzhi Shi, Qibin Yang, Yundong Li, Jianhua Huang, Lishi Yang, Xueliang Sun and Song Jiang
Fishes 2026, 11(1), 63; https://doi.org/10.3390/fishes11010063 - 18 Jan 2026
Viewed by 444
Abstract
Penaeus monodon is widely cultured in Asia; however, intensive farming practices often result in water-quality deterioration and compromised production performance. Copper-loaded montmorillonite (Cu-MMT) is a functional additive with adsorption and antimicrobial properties, yet the relative effectiveness of different application strategies remains insufficiently evaluated. [...] Read more.
Penaeus monodon is widely cultured in Asia; however, intensive farming practices often result in water-quality deterioration and compromised production performance. Copper-loaded montmorillonite (Cu-MMT) is a functional additive with adsorption and antimicrobial properties, yet the relative effectiveness of different application strategies remains insufficiently evaluated. In this study, 270 shrimp were assigned to three treatments: a control group (KZ), water application of Cu-MMT (PZ), and dietary inclusion of Cu-MMT (BZ). Juvenile Penaeus monodon with an initial body weight of 3.25 ± 0.15 g were used in the trial. Growth performance, intestinal histology, and rearing-water quality were assessed over a 56-day culture period. Shrimp in the BZ group exhibited a significantly higher weight gain rate (311.88 ± 38.17%) and survival rate (88.04%) than those in the KZ (247.45 ± 32.82%; 76.67%) and PZ (286.49 ± 29.78%; 83.33%) groups (p < 0.05). Intestinal histological observations revealed treatment-associated differences in morphology, with more pronounced intestinal enlargement observed in the PZ group, whereas the BZ group exhibited a more moderate intestinal architecture. Water-quality analyses showed that dietary Cu-MMT supplementation was associated with higher dissolved oxygen levels and lower concentrations of total ammonia nitrogen, sulfide, and dissolved iron, particularly during the later stages of the experiment. Overall, these results indicate that dietary inclusion of Cu-MMT provides more favorable outcomes than water application in improving growth performance and rearing-water quality in P. monodon culture under the experimental conditions tested. These findings highlight the importance of application strategy when evaluating functional additives in shrimp aquaculture. Full article
(This article belongs to the Special Issue Diet and Intestinal Microbiota of Fish)
Show Figures

Figure 1

12 pages, 1361 KB  
Article
Assessing Productivity and Economic Returns of Integrated Aquaculture of Red Seaweed with Shrimp and Fish During Extensive Floodings in Central Java, Indonesia
by Reindert Wieger Nauta, Lestari Lakhsmi Widowati, Restiana Wisnu Ariyati, Sri Rejeki and Adolphe Oscar Debrot
Aquac. J. 2025, 5(4), 26; https://doi.org/10.3390/aquacj5040026 - 5 Dec 2025
Viewed by 929
Abstract
The Indonesian coastline holds significant potential for aquaculture but is increasingly vulnerable to climate change impacts such as land subsidence, salinization, and floodings. Ensuring stable income for local communities is essential, especially during extreme events like King Tides, which cause extensive floodings. This [...] Read more.
The Indonesian coastline holds significant potential for aquaculture but is increasingly vulnerable to climate change impacts such as land subsidence, salinization, and floodings. Ensuring stable income for local communities is essential, especially during extreme events like King Tides, which cause extensive floodings. This study assessed the productivity and economic returns of an agaroid seaweed monoculture compared to co-cultivation with Giant tiger prawn, Milkfish, and Barramundi during a King Tide. The experiment was conducted in conventional ponds with seaweed monoculture or combined with one of the three other commodities. The experiment ran from May until October in 2022 and was performed in triplicate. Floodings equalized water parameters. The results demonstrated that all systems provided stable income, with co-cultivation increasing profitability. Average revenues per hectare were USD 777 (seaweed monoculture), USD 832 (with shrimp), USD 1622 (with Milkfish), and USD 2014 (with Barramundi). Agar content was significantly higher in the seaweed monoculture, and gel strength was found to be significantly higher in the seaweeds co-cultivated with shrimp and Milkfish. Total agar production did not differ between the treatments. These findings suggest that integrated aquaculture systems can enhance income resilience while supporting food security in climate-impacted coastal zones. The approach offers a promising strategy for combining livelihood stability with adaptive coastal management and reduced environmental impact but needs to be tailored to local conditions. Full article
Show Figures

Figure 1

15 pages, 5144 KB  
Article
Insights on Minimizing False Positives in IHHNV Detection: Experiences from Ecuador’s Penaeus vannamei Aquaculture
by Pablo Intriago, Melany del Barco, María Mercedes Vásquez, Bolivar Montiel and Ronald Villamar
Int. J. Mol. Sci. 2025, 26(23), 11484; https://doi.org/10.3390/ijms262311484 - 27 Nov 2025
Viewed by 672
Abstract
Detection of infectious hypodermal and hematopoietic necrosis virus (IHHNV) in shrimp aquaculture is complicated by endogenous viral elements (EVEs) causing false positives in conventional PCR assays. This study analyzed 277 Penaeus vannamei samples from Ecuador using World Organization for Animal Health (WOAH)-recommended short-fragment [...] Read more.
Detection of infectious hypodermal and hematopoietic necrosis virus (IHHNV) in shrimp aquaculture is complicated by endogenous viral elements (EVEs) causing false positives in conventional PCR assays. This study analyzed 277 Penaeus vannamei samples from Ecuador using World Organization for Animal Health (WOAH)-recommended short-fragment primers (IHHNV-309, -389, -392, -77012; ~1.5 kb amplicons) and long-amplicon PCR (LA-PCR; ~3.7 kb, 90% of the genome), complemented by histopathology. Short-fragment primers showed high positivity rates (72.9–83.0% individually; 69.3% combined), while LA-PCR reduced positives to 29.6%, with 95.1% overlap indicating true infections as a subset of conventional results. Approximately 55.6% of samples likely contained EVEs mimicking IHHNV, and 14.8% were true negatives. Histopathology confirmed classic IHHNV lesions (Cowdry A-type inclusions) in only one sample (0.36%), which also showed co-infections (hepatopancreatic atrophy, gregarines, and unidentified viral inclusions), suggesting multifactorial pathology. These findings highlight inflated IHHNV prevalence due to single-primer PCR, particularly in Ecuador, where reliance on WOAH-suggested primers (e.g., 389F/R) fails to distinguish infectious IHHNV from EVEs or confirm subclinical status, risking misattribution of losses to IHHNV while overlooking pathogens like Vibrio spp. We advocate LA-PCR and histopathology to enhance diagnostics and support sustainable shrimp fisheries. Full article
(This article belongs to the Special Issue Viral Biology: Infection and Pathology, Diagnosis and Treatment)
Show Figures

Figure 1

19 pages, 1895 KB  
Article
Effects of Polyculture Patterns in Ponds on Water Quality and Intestinal Flora of Penaeus monodon
by Xueliang Sun, Zhenzhen Fang, Hong Yu, Honghao Zhao, Yuanyuan Yang, Falin Zhou, Yongjun Guo, Chengxun Chen, Lin Zhao and Yunchen Tian
Water 2025, 17(22), 3194; https://doi.org/10.3390/w17223194 - 8 Nov 2025
Viewed by 1181
Abstract
Shrimp aquaculture ponds are dynamic ecosystems in which water quality and microbial interactions play a central role in animal health. This study aimed to investigate the relationship between the intestinal microbiota of Penaeus monodon and the microbial community of polyculture pond water. Shrimp [...] Read more.
Shrimp aquaculture ponds are dynamic ecosystems in which water quality and microbial interactions play a central role in animal health. This study aimed to investigate the relationship between the intestinal microbiota of Penaeus monodon and the microbial community of polyculture pond water. Shrimp and water samples were collected from polyculture ponds at four time points during the rearing period. Water-quality parameters were measured, and microbial community structures were analyzed by high-throughput 16S rRNA sequencing. Statistical analyses, including one-way ANOVA, revealed significant variations in water-quality parameters and microbial diversity among sampling stages (p < 0.05). Water quality indicators showed progressive changes from July to September, with pH decreasing from 8.1 to 7.5 but remaining within a suitable range. Nitrogen compounds, including ammonia, nitrite, and nitrate, increased steadily, with total nitrogen rising from 0.71 to 1.86 mg·L−1, while phosphate and total phosphorus reached 0.31 and 0.36 mg·L−1, respectively, exceeding thresholds commonly associated with algal bloom risk. Microbial community profiling using Illumina MiSeq sequencing revealed 166 OTUs shared between shrimp intestine and pond water, while both habitats contained more than 350 OTUs overall. Alpha diversity analysis showed higher microbial richness in water than in shrimp intestines, dominated by unclassified taxa, whereas shrimp guts were enriched in specific genera such as Vibrio. Cluster analysis indicated partial overlap but distinct grouping of gut and water microbiota, with the PMB intestinal community diverging most strongly. These findings highlight a close link between water quality and microbial composition, emphasizing the importance of pond management for maintaining ecological stability and shrimp health. Full article
Show Figures

Figure 1

16 pages, 2078 KB  
Article
Changes in Intestinal Microbial Community of the Black Tiger Shrimp Penaeus monodon in Response to Triclocarban Exposure
by Yafei Duan, Yuxiu Nan, Jianhua Huang, Zhe Zhang, Yanming Sui and Xueming Dan
Biology 2025, 14(11), 1542; https://doi.org/10.3390/biology14111542 - 3 Nov 2025
Viewed by 775
Abstract
Triclocarban (TCC), a synthetic antimicrobial compound prevalent in personal care products, has emerged as a typical contaminant in aquatic ecosystems. Intestinal microbiota maintains the host’s health homeostasis by regulating nutrient metabolism and immunity and is regarded as a sensitive biomarker for the risk [...] Read more.
Triclocarban (TCC), a synthetic antimicrobial compound prevalent in personal care products, has emerged as a typical contaminant in aquatic ecosystems. Intestinal microbiota maintains the host’s health homeostasis by regulating nutrient metabolism and immunity and is regarded as a sensitive biomarker for the risk assessment of pollutants. Currently, there is still a lack of toxicity assessment of TCC on the intestinal microbiota homeostasis of shrimp. Therefore, this study employed 16S rDNA sequencing to explore intestinal microbiota perturbations in Penaeus monodon following subchronic exposure (14 days) to graded TCC concentrations (1 and 10 μg/L). The results showed that TCC exposure altered intestinal microbiota diversity, marked by increases in the ACE, Chao1, and Shannon indices and a decrease in the Simpson index; however, none of these changes reached statistical significance (p > 0.05). Furthermore, the community composition was also altered, characterized by a significant increase in Bacteroidetes and a significant decrease in Tenericutes (p < 0.05), alongside non-significant increases in Proteobacteria and decreases in Firmicutes (p > 0.05). The abundances of some putative beneficial bacterial genera (Alloprevotella, Bacteroidales S24-7 group_norank, Cetobacterium, Enterococcus and Lactobacillus) and harmful bacteria (Photobacterium and Aeromonas) were decreased (p > 0.05); the abundance of Vibrio was decreased in the T1 group but increased in the T10 group (p > 0.05). Additionally, the predicted functions of the intestinal microbiota, such as glycan biosynthesis and degradation, steroid and isoflavone biosynthesis, and nucleotide metabolism, were enhanced. These results indicated that TCC exposure had a negative effect on the homeostasis of the intestinal microbiota of P. monodon. Full article
(This article belongs to the Special Issue Metabolic and Stress Responses in Aquatic Animals)
Show Figures

Figure 1

19 pages, 4710 KB  
Article
Identification of SNP Markers in the Glutamate Dehydrogenase (GDH) and Aspartate Aminotransferase 2 (AST2) Associated with Ammonia Nitrogen Tolerance in Penaeus monodon
by Yangyang Ding, Jinsong Chen, Song Jiang, Qibin Yang, Yundong Li, Jianhua Huang, Lishi Yang, Jianzhi Shi, Yebing Yu, Shigui Jiang and Falin Zhou
Biology 2025, 14(11), 1532; https://doi.org/10.3390/biology14111532 - 31 Oct 2025
Viewed by 682
Abstract
Black tiger shrimp (Penaeus monodon) is the largest species of penaeid, being commercially cultured globally, ranking as the second most farmed species in the shrimp industry. However, with the transformation of shrimp aquaculture from semi-intensive to high-density farming, the concentration of [...] Read more.
Black tiger shrimp (Penaeus monodon) is the largest species of penaeid, being commercially cultured globally, ranking as the second most farmed species in the shrimp industry. However, with the transformation of shrimp aquaculture from semi-intensive to high-density farming, the concentration of ammonia nitrogen in the aquatic environment has increased, severely affecting the growth and survival of shrimps. To increase production efficiency, breeding new strains of shrimp with the trait of tolerance to high ammonia nitrogen is desired in the black tiger shrimp aquaculture. Previous studies have shown that glutamate dehydrogenase (GDH) and aspartate aminotransferase 2 (AST2) play important roles in the metabolism of ammonia nitrogen in crustaceans. In the present study, we conducted synteny analysis of PmGDH and PmAST2 in different species. The interactions of PmGDH with ammonium (NH4+) and PmAST2 with aspartate were analyzed by docking. To develop molecule markers associated with ammonia nitrogen tolerance, SNPs of PmGDH and PmAST2 were identified by direct sequencing, genotyped by the SNaPshot technique, and characterized through genotype-phenotype association analysis by PLINK software version 1.9 in the three geographical populations, two families with different ammonia tolerance, and 120 susceptible and resistant individuals of black tiger shrimp. The results indicate that the GDH and AST2 genes are evolutionarily conserved in vertebrates, except for the black tiger shrimp, which suggests divergence in selective pressure between invertebrates and vertebrates. Notably, PmGDH may interact with NH4+ via the residue Asp178 within loop 1 in the GdhA domain through a hydrogen bonding interaction, and PmAST2 may interact with aspartate via helix 1, sheet 1, loop 1, and loop 2, through both hydrogen bonding interactions and a salt bridge interaction. A total of 12 SNPs were detected in the exons of PmGDH and PmAST2. Among these candidate SNPs, the distributions of PmGDH-1227 and PmAST2-132 showed both significant differences in the genotype and allele association analysis between susceptible and resistant groups. Haplotype association analysis showed that three haplotypes exhibited significantly different distributions between susceptible and resistant groups. In conclusion, PmGDH-1227 and PmAST2-132 were associated with ammonia nitrogen tolerance, and these SNP markers are expected to contribute to marker-assisted selection (MAS) breeding programs to obtain new strains of Penaeus monodon. Full article
Show Figures

Figure 1

15 pages, 2668 KB  
Article
WSSV Infection in the Gut Microbiota of the Black Tiger Shrimp Penaeus monodon
by Youhong Wang, Xiaolu Wang, Chunlei Gai, Yuanyuan Li, La Xu, Shuxian Wang, Li Li, Xiaoqing Yu, Ranghui Fu, Jing Diao, Haibin Ye, Ying Fan and Haipeng Cao
Fishes 2025, 10(9), 440; https://doi.org/10.3390/fishes10090440 - 3 Sep 2025
Cited by 2 | Viewed by 1345
Abstract
This study investigated the impacts of white spot syndrome virus (WSSV) on the gut microbiota of Penaeus monodon through a comparative microbiota analysis of infected and healthy shrimp using 16S rDNA sequencing. The WSSV-infected shrimp exhibited characteristic white spots, reduced feeding activity, and [...] Read more.
This study investigated the impacts of white spot syndrome virus (WSSV) on the gut microbiota of Penaeus monodon through a comparative microbiota analysis of infected and healthy shrimp using 16S rDNA sequencing. The WSSV-infected shrimp exhibited characteristic white spots, reduced feeding activity, and behavioral lethargy preceding 100% mortality. The comparative microbiota analysis revealed a significantly diminished α-diversity in the infected specimens, marked by phylum-level dominance shifts from Proteobacteria (72.68%) and Firmicutes (11.27%) in the controls to Cyanobacteria (75.51%) and Proteobacteria (15.63%) in the WSSV-infected shrimp. An LEfSe analysis identified Arthrospira_PCC-7345 and Halochromatium as significantly enriched taxa during infection, contrasting with depleted populations of Ruegeria, Marivita, Bacillus, and seven other genera. The distinct dysbiosis pattern characterized by the pathogen-favored taxa proliferation and commensal species suppression demonstrates WSSV-associated microbiota restructuring, potentially contributing to disease progression in farmed P. monodon. These findings establish intestinal microbial biomarkers for early WSSV detection in aquaculture systems. Full article
(This article belongs to the Section Welfare, Health and Disease)
Show Figures

Figure 1

16 pages, 1805 KB  
Article
Integrated Diagnostic Approach Using Basophil Activation Test and IgE Assays for Shrimp and Prawn Allergy
by Nhu N. Q. Nguyen, Thao H. Nguyen, Minh K. Le, Tram B. Duong, Duy L. Pham, Tai T. Tran and Tu H. K. Trinh
Medicina 2025, 61(6), 1040; https://doi.org/10.3390/medicina61061040 - 5 Jun 2025
Cited by 1 | Viewed by 2004
Abstract
Background and Objectives: Shellfish allergies are common in Vietnam. The basophil activation test (BAT) is a powerful tool in the diagnosis of food allergies. We aimed to evaluate the application of BAT to distinguish shrimp allergy in comparison with skin prick test [...] Read more.
Background and Objectives: Shellfish allergies are common in Vietnam. The basophil activation test (BAT) is a powerful tool in the diagnosis of food allergies. We aimed to evaluate the application of BAT to distinguish shrimp allergy in comparison with skin prick test and specific IgE measurement. Materials and Methods: We recruited adult shrimp- or prawn-allergic subjects from the University Medical Center (Vietnam). BAT was performed using the in-house crude extracts for two allergens: black tiger shrimp Penaeus monodon (shrimp) and giant freshwater prawn Macrobrachium rosenbergii (prawn). The percentages of CD63 in response to shrimp and prawn were recorded. The results of skin prick tests (SPT) and the specific IgE (sIgE) levels in response to commercial shrimp/prawn were noted. Receiver operating characteristic (ROC) analysis and area under the curve (AUC) were calculated. Results: Of 43 recruited subjects, 9 (26.5%) subjects had a specific allergy to shrimp, 2 (5.9%) subjects had a specific allergy to prawn, and 23 (67.6%) subjects had both shrimp and prawn allergy. Basophil CD63% was significantly increased in subjects with allergy to shrimp and prawn (p < 0.05% for all). Compared with SPT and sIgE, CD63 expression-based BAT was better in discriminating subjects with allergies to these species from their non-allergic counterparts (AUC/sensitivity/specificity = 0.88/77%/89% for shrimp, and 0.74/88%/77% for prawn, p < 0.05 for all). The addition of SPT and BAT improved the diagnostic power. A positive BAT could help identify shrimp/prawn allergy among cases with negative SPT/sIgE to shrimp/prawn. BAT facilitated the diagnosis of shrimp allergy among prawn-allergic subjects (100% accurate). Conclusions: The BAT test can help predict clinical reactions to shrimp and prawn in allergic patients, and enhance diagnostic accuracy in cases where SPT or specific IgE tests yield negative results. Full article
(This article belongs to the Special Issue Research on Allergy, Asthma, and Clinical Immunology)
Show Figures

Figure 1

20 pages, 5008 KB  
Article
Integration of Transcriptomics and Metabolomics Reveals Mechanisms of High-Temperature Stress Tolerance in the Hepatopancreas of Penaeus monodon
by Li Liu, Peng Zhao, Lishi Yang, Yundong Li, Zhong Huang, Qibin Yang, Yukai Yang, Jianzhi Shi, Yibiao Chen and Jianhua Huang
Biology 2025, 14(6), 591; https://doi.org/10.3390/biology14060591 - 23 May 2025
Cited by 5 | Viewed by 1739
Abstract
High temperatures in summer often trigger disease outbreaks in shrimp, resulting in significant economic losses. To investigate the heat tolerance mechanisms of Penaeus monodon, juvenile tiger shrimp were subjected to a high-temperature stress of 38 °C for 144 h. The cumulative survival [...] Read more.
High temperatures in summer often trigger disease outbreaks in shrimp, resulting in significant economic losses. To investigate the heat tolerance mechanisms of Penaeus monodon, juvenile tiger shrimp were subjected to a high-temperature stress of 38 °C for 144 h. The cumulative survival rate of shrimp sharply decreased to 5.29% in the later 144 h. The heat-sensitive shrimps (S group) were collected in the first 24 h, while those that survived beyond 120 h were collected as the heat-tolerant group (T group). The hepatopancreas of two groups was subjected to transcriptomic and metabolomic analysis. The results revealed that, compared to the S group, the T group exhibited a total of 3527 DEGs, including 2199 upregulated and 1328 downregulated genes. Additionally, 353 DAMs were identified in the T group, with 75 metabolites showing increased levels and 278 metabolites displaying decreased levels. The results revealed that the mechanisms of heat tolerance involve energy supply strategies, immune system regulation, amino acid metabolism, and glutathione metabolism. Energy supply strategies include the digestion and absorption of carbohydrates and proteins, glycolysis/gluconeogenesis, fructose and mannose metabolism, and pyruvate metabolism, all of which collectively meet energy demands in high-temperature environments. The immune system is regulated by C-type lectin receptor pathways and IL-17 signaling pathways, which together coordinate innate immunity to prevent pathogen invasion. In amino acid metabolism, various glycogenic amino acids, such as histidine, phenylalanine, valine, and serine, are metabolized for energy, while excess ammonia is converted to γ-glutamyl-glutamate and L-glutamate to mitigate ammonia accumulation. Combined transcriptomic and metabolomic analyses further indicate that glutathione metabolism plays a crucial role in the adaptation of P. monodon to high-temperature environments. This study explains the high-temperature tolerance mechanism of P. monodon from the aspects of gene expression regulation and material metabolism regulation and also provides a scientific basis and basic data for the selection and breeding of new varieties of P. monodon with a high-temperature tolerance. Full article
Show Figures

Figure 1

14 pages, 2786 KB  
Article
Metabolic Response of Black Tiger Shrimp (Penaeus monodon) to Acute Ammonia Nitrogen Stress
by Yangyang Ding, Shigui Jiang, Song Jiang, Yundong Li, Qibin Yang, Lishi Yang, Jianhua Huang, Jianzhi Shi, Pengying Li, Hongshan Diao and Falin Zhou
Biology 2025, 14(5), 501; https://doi.org/10.3390/biology14050501 - 4 May 2025
Cited by 6 | Viewed by 2301
Abstract
High concentrations of ammonia nitrogen could result in the death of aquatic animals and cause a huge economic loss in the aquaculture industry. However, the metabolic responses to acute ammonia nitrogen stress remain largely unknown in Penaeus monodon. In this study, we [...] Read more.
High concentrations of ammonia nitrogen could result in the death of aquatic animals and cause a huge economic loss in the aquaculture industry. However, the metabolic responses to acute ammonia nitrogen stress remain largely unknown in Penaeus monodon. In this study, we first investigated the histological change in tissues in Penaeus monodon under 96 h acute ammonia nitrogen stress. The result of the paraffin section showed that acute ammonia nitrogen stress induced severe epithelial detachment and lumen dilatation of the hepatopancreas, swollen and hemocyte infiltration of the gills, and mucosa exfoliation and shortened villi of the intestine in Penaeus monodon, suggesting the impairment of the normal physiological function in these tissues. We next examined the change in the metabolic product in the plasma and the enzyme activity in the hepatopancreas after ammonia nitrogen stress. Upon ammonia stress, both the concentration of ammonia and urea nitrogen significantly increased, while there was no significant increase in the concentration of uric acid, which is consistent with the results that the enzyme activity of glutamine synthetase (GS), glutamate dehydrogenase (GDH), and aspartate transaminase (GOT) became significantly elevated and the enzyme activity of adenosine deaminase (ADA) in the purine metabolism pathway significantly decreased after ammonia stress, suggesting that shrimp could convert excessive ammonia to urea for ammonia detoxification through the ammonia–nitrogen metabolism pathways. Interestingly, we also observed a significant increase in superoxide dismutase (SOD) activity, suggesting a potential role of this antioxidant enzyme in the clearance of reactive oxygen species (ROS) induced via ammonia stress. Moreover, we found that acute ammonia nitrogen stress inhibited the enzyme activity of caspase 3 and caspase 8, suggesting an important role of apoptosis in protecting Penaeus monodon against acute ammonia stress. Overall, our findings revealed that Penaeus monodon may employ metabolic and purine pathways and undergo oxidative stress and apoptosis for ammonia detoxification under ammonia nitrogen stress, thus providing new insight into the metabolic response of shrimp to acute ammonia stress. Full article
(This article belongs to the Special Issue Advances in Biological Research into Shrimps, Crabs and Lobsters)
Show Figures

Figure 1

Back to TopTop