Previous Article in Journal
Cooperative Associations Between Fishes and Bacteria: The Influence of Different Ocean Fishes on the Gut Microbiota Composition
 
 
Font Type:
Arial Georgia Verdana
Font Size:
Aa Aa Aa
Line Spacing:
Column Width:
Background:
Article

Biological Validation of Cortisol in Zebrafish Trunk, Skin Mucus, and Water as a Biomarker of Acute or Chronic Stress

1
Instituto de Investigação e Inovação em Saúde (i3S), Universidade do Porto, 4200-135 Porto, Portugal
2
Centro Interdisciplinar de Investigação Marinha e Ambiental (CIIMAR), 4450-208 Matosinhos, Portugal
3
Instituto de Ciências Biomédicas Abel Salazar (ICBAS), Universidade do Porto, 4050-313 Porto, Portugal
4
Centre for the Research and Technology of Agro-Environmental and Biological Sciences (CITAB), University of Trás-os-Montes and Alto Douro (UTAD), 5000-801 Vila Real, Portugal
5
Centre for Environmental and Marine Studies (CESAM) and Department of Biology, University of Aveiro, 3810-193 Aveiro, Portugal
6
Tyndall National Institute, University College Cork, Lee Maltings, T12 R5CP Cork, Ireland
*
Authors to whom correspondence should be addressed.
Current address: iGii, Euro House, Wellgreen Place, Stirling FK8 2DJ, UK.
Fishes 2026, 11(1), 66; https://doi.org/10.3390/fishes11010066
Submission received: 17 December 2025 / Revised: 14 January 2026 / Accepted: 19 January 2026 / Published: 21 January 2026
(This article belongs to the Section Physiology and Biochemistry)

Abstract

The most used technique to assess cortisol in zebrafish is trunk sampling, a terminal procedure. Extracting cortisol non-terminally in adult zebrafish remains challenging, limiting longitudinal studies, and the reduction of the number of zebrafish used in research. This study explored non-terminal methods for cortisol measurement in adult zebrafish under acute and chronic stress, focusing on housing water and skin mucus as alternatives to terminal trunk sampling. Oxidative stress markers (cerebral and hepatic) were also assessed to confirm stress responses. In experiment A, zebrafish were exposed to no stress, acute stress (AS), or chronic stress for 14 days (CS14) to evaluate skin mucus and trunk cortisol as biomarkers. In experiment B, in addition to CS14, a 7-day unpredictable chronic stress protocol (CS7) was tested to discard stress habituation. Results showed significant effects on cerebral oxidative stress: AS increased ROS and AChE activity, CS7 reduced GPx and AChE, and CS14 raised GPx in experiment A, while it increased protein carbonyls and decreased ATPase levels in experiment B. Trunk and skin mucus cortisol increased following AS. Under chronic stress, trunk and skin mucus cortisol levels were not significantly altered, but water cortisol increased at CS7. In conclusion, skin mucus and trunk cortisol levels are reliable biomarkers for acute stress, while water cortisol holds promise for chronic stress.
Key Contribution: Skin mucus cortisol works as an acute stress biomarker in adult zebrafish.

1. Introduction

Zebrafish is a key animal model in scientific research [1], but despite attempts to control environmental conditions, the animals are inevitably exposed to stressors (e.g., handling [1,2], housing density [3,4], and noise [5]). Brief exposure is usually adaptive, but prolonged stress can adversely impact their performance and welfare, endangering survival [6] and the quality of research data.
Cortisol, the main output of stress response, is commonly used to assess acute and chronic (e.g., [1,7]) stress states in zebrafish. However, since cortisol sampling usually requires animal sacrifice, exploring non-invasive or non-terminal methods is crucial to better understand zebrafish stress responses and to effectively manage stress across facilities in the long term.
Skin mucus has already been identified as a welfare-friendly and non-terminal approach for cortisol measurement in fish. The collection procedure is effortless due to its accessible location and has been refined towards minor invasiveness, changing from bagging [8] or scraping [9,10,11,12,13,14] to absorption [15,16,17,18] and swabbing [17]. Moreover, skin mucus is enrolled in the animal’s defense against environmental stressors, modifying its integrity, composition, and quantity accordingly [19]. While larger fish species showed a positive skin mucus–blood cortisol correlation after acute stress [9,10,12,13,20], chronic stress research with skin mucus in adult zebrafish is scarce [21] or focused on secondary stress responses [16,22] rather than cortisol.
To date, our team showed a similar cortisol response in skin mucus and trunk when zebrafish were exposed to barren and enriched environments [17], but the potential of skin mucus to detect stress states in zebrafish remains unexplored. To address this, two experiments were conducted to (i) validate skin mucus cortisol as a reliable acute and chronic stress indicator for zebrafish and (ii) compare its potential to water, a popular non-terminal cortisol matrix, in reflecting chronic stress. Since cortisol levels fluctuate due to factors unrelated to stress (e.g., sampling procedure [23,24] or hormone rhythmicity [25]), relying only on cortisol data for stress inference can be misleading. Therefore, cellular biochemical homeostasis in other stress-responsive organs (brain and liver) was also evaluated. The brain is the first organ to respond to a stressor, initiating the neuroendocrine cascade that leads to cortisol production, while the liver is a cortisol target and plays a central role in the metabolic adjustments required for energy mobilization during the stress response. Both organs are commonly evaluated to study the effects of stressors in fish, in accordance with standard practices in stress-related research (e.g., [26,27,28]).

2. Materials and Methods

2.1. Ethical Note

All experiments complied with the European Directive and Portuguese legislation for the protection of animals used for scientific purposes (2010/63/EU and 113/2013, respectively). The experimental procedures were approved by the Animal Welfare and Ethics Review Body of the i3S (2021-24) and by the National Competent Authority for animal research (Direção-Geral de Alimentação e Veterinária—DGAV; 19606/24-S). The research was conducted by accredited researchers with personal licenses to work with animals approved by the DGAV. Reporting was performed following the ARRIVE guidelines [29].

2.2. Animals and Housing

Adult (9 months old) wild-type AB zebrafish (total length 2.84 ± 0.22 cm) were maintained in the i3s animal facility in a recirculation water system following standard practices [30], including a 14:10 h light/dark cycle, a temperature of 26.8 ± 0.8 °C, 6.9 ± 0.2 pH, and 793–803 µS of conductivity. All fish were fed daily at 9:00 a.m. and 5:00 p.m. with a commercial diet (Otohime B2; Marubeni Nisshin Feed, Tokyo, Japan) until apparent visual satiation. Adult zebrafish (sex ratio 1:1; 24 fish/3.5 L tank) were randomly assigned to stressed (acute (AS) and/or unpredictable chronic (CS) stress) or control groups (CTRL) two weeks prior to the experiments.

2.3. Experimental Set-Up

Two experiments were delineated (Figure 1), in which the CTRL remained undisturbed in the housing system, and trunk cortisol was set as the standard matrix. The first experiment (A) tested whether trunk and skin mucus cortisol levels respond to AS or CS. In the second experiment (B), trunk and skin mucus cortisol levels were again evaluated for CS but at different time points (7 (CS7) and 14 (CS14) days) to clarify the results of experiment A and discard stress habituation or resilience. Additionally, water cortisol was determined in experiment B as part of an exploratory study on cortisol biosensors.
To prevent feeding interference with cortisol levels, fish were fasted for 20 h before sampling. The water quality was maintained under the same optimal husbandry conditions described before.
In both experiments, collections occurred in the late morning (11 a.m.) to prevent diel fluctuations. Skin mucus and trunks were collected as previously described in the study by Jorge et al. [17], with each skin mucus sample representing pools of three fish of the same sex, and trunk samples representing individual fish. Skin mucus was collected by placing each fish on a sponge soaked with cooled water (0–4 °C) and swabbing the left side of the body six times with sterile swabs (155C, Copan, Brescia, Italy), from the pectoral fins to the base of the caudal fin. To optimize mucus collection, the swab was rotated midway through each swabbing. After sampling three fish, the cotton tips were immersed in 500 μL PBS (phosphate-buffered saline, pH 7.4; n = 1; GibcoTM, Bio-Cult, Glasgow, Scotland). For trunk samples, fish were decapitated and the trunks were placed in 5 mL PBS. The experimental unit for cortisol (trunk and skin mucus) and oxidative stress analyses was the sample (n = 8), whereas for water cortisol, it was the tank (n = 6 for CS7 and n = 2 for CS14). As the opportunity to measure water cortisol using biosensors became available only after the experiment was initiated, we were not able to have more than two tanks for CS14, limiting the conclusions for this time point. Nevertheless, we decided to include the values obtained as a reference for future and more complete studies. For oxidative stress analysis, each sample represented a pool of four brains or three livers that were stored at −20 °C for subsequent enzyme-linked immunosorbent assay (ELISA) and oxidative stress analysis. All animals were euthanized by rapid cooling (0–4 °C) followed by decapitation. Our goal was focused on group-level differences in cortisol response to stress; thus, trunk and skin mucus cortisol levels were not measured in the same animals.

2.3.1. Experiment A: Biological Validation

Seventy-two zebrafish were randomly distributed into stressed (AS or CS) and non-stressed CTRL groups. Over 14 days, the CS group was transferred to the facility procedures room and stressed twice a day, between 9:30 a.m. and 12:00 p.m., and between 11 a.m. and 3:00 p.m. (Table S1), and then returned to the housing system between and at the end of the sessions. Each session involved one of the following stressors: (i) tube (ratiolab™ 5515040; Dreieich, Germany) restrain for 60 min with a system water column of 2 cm; (ii) tank change three consecutive times; (iii) social isolation for 45 min at the bottoms (±8.5 cm diameter × 8.5 cm height) of 1.5 L commercial water bottles filled with 200 mL system water; (iv) net chasing animals individually for 8 min in 3.5 L tanks with 1.5 L system water; (v) individual dorsal body air exposure for 2 min after filling 1 L tanks with 50 mL system water; (vi) individual hypoxia for 30 s; and (vii) alteration of the light/dark cycle by applying three 15 min periods of darkness, separated with 5 min light intervals, after placing animals in containers similar to those used for social isolation. Stressors were randomized and not repeated on the same day to avoid habituation.
On the 15th day, 20 h after the last CS session, the CS and CTRL animals were euthanized and sampled for cortisol (trunk and skin mucus) and oxidative stress markers (brain and liver).
In the next day, to evaluate cortisol in an AS event, naïve animals were first acclimated to the procedure room for 30 min. Then, each animal of the AS group experienced 5 min of net chasing in 3.5 L tanks filled with 1.5 L system water, followed by 30 s of air exposure by lifting the net out of the water. Afterwards, the animals recovered individually for 20 min in 1 L tanks to allow the measurement of stress response through cortisol levels, which are described to peak around this time point after a stressful event [31,32]. Then, the animals were euthanized and sampled for cortisol matrices, brains, and livers. On the same day, animals from the CTRL group were transferred to the procedure room and immediately sacrificed for the same collection scheme.

2.3.2. Experiment B: Skin Mucus and Water Cortisol for Chronic Stress

Ninety-six zebrafish were randomly allocated to CS and CTRL groups. The CS protocol in experiment B was adapted from experiment A, with adjustments to stressor timing and order (Table S1). On the 8th and 15th days, one day after CS exposure for 7 or 14 days, respectively, the water flow was stopped for 2 h prior to water collection (0.5 L per tank) and tissue sampling. CTRL (treated as in experiment A) and CS animals were sacrificed and sampled for cortisol matrices, brains, and livers. Skin mucus and trunk cortisol levels were determined using an ELISA kit. Cortisol in water samples was measured using an electrochemical impedance biosensor.

2.4. Trunk and Skin Mucus Cortisol Analysis

To prepare the samples for cortisol extraction, skin mucus tubes were vortexed (2 min, 35 Hz), while zebrafish trunks were thawed and homogenized in 500 µL phosphate-buffered saline (PBS pH 7.4) using a FastPrep®-24 (MP Biomedicals, Solon, OH, USA), with five 3 mm steel beads/sample at 6 m/s for 40 s. Thereafter, 500 or 750 µL methanol (HPLC grade 99.8%; Fisher Scientific, Loughborough, UK) was added to skin mucus and trunk tubes, respectively. The samples were then mixed overnight (24 h) at room temperature using a lab roller (RML803, JOANLAB®, Zhejiang, Co., Ltd, Huzhou, China) at 60 rpm. After centrifugation at 10,000× g for 10 min at 4 °C, the swabs were removed, and the supernatant was transferred to new microcentrifuge tubes. The tubes were then evaporated on a vacuum concentrator (Savant™ SPD131DDA SpeedVac™ Concentrator, ThermoScientific Inc., Waltham, MA, USA) at 36 °C. The dried trunk and mucus samples were reconstituted with 500 or 125 µL PBS, respectively, and stored overnight at 4 °C. The next day, 500 µL n-Hexane (97+%, Acros Organics, Geel, Belgium) was added to the trunk samples, intensely hand-shaken, and frozen at 20 °C for 15 min to remove the precipitated lipids layer.
The cortisol levels of all samples were determined using an ELISA kit DetectX® kit (Arbor Assays, Anne Arbor, MI, USA; K003-H1) as described by Jorge et al. [33]. Cortisol concentrations were reported as pg/mg protein after measuring protein at 280 nm in a BioTek Take3 microvolume plate (Bio-Tek Instruments Inc., Winooski, VT, USA).

2.5. Water Cortisol Analysis

Electrochemical impedance biosensors were fabricated according to Perkins et al. [34] with slight modifications. Electrochemical impedance spectroscopy (EIS) and cyclic voltammetry (CV) were carried out using a MAC90389 potentiostat (Metrohm Autolab, Utrecht, the Netherlands), connected to a laptop equipped with DropView 8400 v.1.01 Software (Metrohm Inula GmbH, Vienna, Austria). The measurements were performed at room temperature. CV potential ranged from −0.5 V to 0.5 V at 0.05 V/s, EIS frequency ranged from 0.5 Hz to 10 KHz, and amplitude was 10 mV.
Firstly, the graphene electrode was cleaned with double-distilled water, and a manual air pressurization method was used to remove residual liquid from the sensor surface. Next, 100 μL of 5 mM potassium ferricyanide/potassium ferrocyanide (redox probe) solution was added, and a CV scan of 3 cycles was performed as a control method. The cleaning step was repeated, and 100 μL polyaniline was added to the chip sensor and read at 50 mV/s for 20 cycles with a −0.1 to 1.2 V potential sweep. After, the sensor was incubated for 2 h at room temperature with 4 μL of antibody NHS/EDAC mixture. All sensors were CV and EIS scanned in redox probe solution to ensure correct modification and stored at 4 °C with a PBS drop prior to analysis.
Finally, 8 µL of each water sample was evaluated by EIS using 50 frequencies with an amplitude of 10 mV and a frequency ranging from 0.5 Hz to 10 KHz. The impedance data were fitted to a [R/(RC) (RC)] circuit. Each sample was analyzed on one chip, with three replicate readings to ensure analytical accuracy and reproducibility.

2.6. Biochemical Analysis

Brain and liver samples were homogenized in ice-cold HEPES buffer prepared as in the study by Deng et al. [35] and centrifuged at 15,000× g for 20 min at 4 °C. The resulting supernatant was used for the determination of oxidative stress biomarkers. The level of reactive oxygen species (ROS) was quantified by determining DCF fluorescence as described before [35,36]. The superoxidase dismutase (SOD) and catalase (CAT) activities were determined by the reduction of nitroblue tetrazolium (NBT) formation and the decrease in the absorbance of a hydrogen peroxide solution, respectively. Glutathione reductase (GR), peroxidase (GPx), and S-transferase (GST) activity and the reduced (GSH)/oxidized (GSSG) state ratio (OSI) were assayed as in the study by Félix et al. [37]. Lipid peroxidation was determined through thiobarbituric acid reactive substance (TBARS) levels as in the study by Wallin et al. [38]. Carbonyl (CO) levels were calculated using the method by Mesquita et al. [39]. DNA damage is represented by double-strand DNA (DNAds) levels and was measured following an adapted version of Olive’s method [40]. Adenosine triphosphatase (ATPase) activity was assayed as reported by Lança et al. [41], while acetylcholinesterase (AChE) activity was adapted from Ellman et al. [42]. Lactate dehydrogenase (LDH) activity was determined using Domingues et al.’s [43] method. All samples were read at 30 °C using a PowerWave XS2 microplate scanning spectrophotometer (Bio-Tek Instruments, Winooski, VT, USA) or Variant Cary Eclipse Spectrofluorometer (Variant, Palo Alto, CA, USA) and had their protein content measured with a BioTek Take3 microvolume plate (Bio-Tek Instruments Inc., Winooski, VT, USA).

2.7. Statistical Analysis

Data analysis was performed using the IBM SPSS Statistics 27.0 computer program (SPSS, Chicago, IL, USA) and graphically represented using GraphPad Prism 6 (GraphPad, Inc., San Diego, CA, USA). Data normality and equal variance were confirmed by Shapiro–Wilk and Levene’s tests, respectively. Some values were excluded from the analysis due to issues with the measurement process. Data was log-transformed if needed to achieve normality. The animal group and sex were treated as fixed factors. When both factors met normality, a univariate analysis of variance was used for comparisons between groups. If not, each factor was compared individually using a one-way ANOVA, Kruskal–Wallis test, Mann–Whitney U-test, or independent samples t-test. Tukey’s and Dunnett’s post hoc or Bonferroni tests were used to identify in which groups significance was detected. The level of significance set for all tests was p < 0.05. Data that did not achieve significance in the statistical tests are graphically presented in the Supplementary Materials (Figures S1–S4).

3. Results

3.1. Experiment A: Cortisol

Trunk and skin mucus cortisol levels (Figure 2) increased following AS (p ≤ 0.001) compared to the CTRL, while CS did not affect cortisol in both matrices. The animals’ sex did not affect cortisol levels in both matrices.

3.2. Experiment A: Oxidative Stress Markers

Significant alterations in the cerebral oxidative stress markers are presented in Figure 3. ROS (p = 0.004) and AChE (p = 0.011) activity were higher in AS than in CTRL animals. GPx also increased, but only after CS (p = 0.042). CAT activity was not affected by stress, but there were differences between sexes (p = 0.01) and an interaction between sex and group (p = 0.004). CTRL females had higher CAT activity compared to all males and females subjected to AS. GSSG was unaffected by sex or animal group despite a group*sex interaction (p = 0.043), with females subjected to AS showing increased GSSG levels compared to males (p = 0.004). Hepatic activity was not altered by stress conditions.

3.3. Experiment B: Cortisol

Chronic stress for 7 days (CS7) did not alter trunk cortisol levels, but skin mucus cortisol levels showed an increasing trend (p = 0.054), and water cortisol was significantly higher (p = 0.005) in CS7 compared to the CTRL. Trunk and skin mucus cortisol levels were at CTRL levels after 14 days of CS (Figure 4). Trunk cortisol showed significant group*sex interaction (p = 0.025) and differences between sexes (p = 0.039), with higher levels in stressed males.

3.4. Experiment B: Oxidative Stress Markers

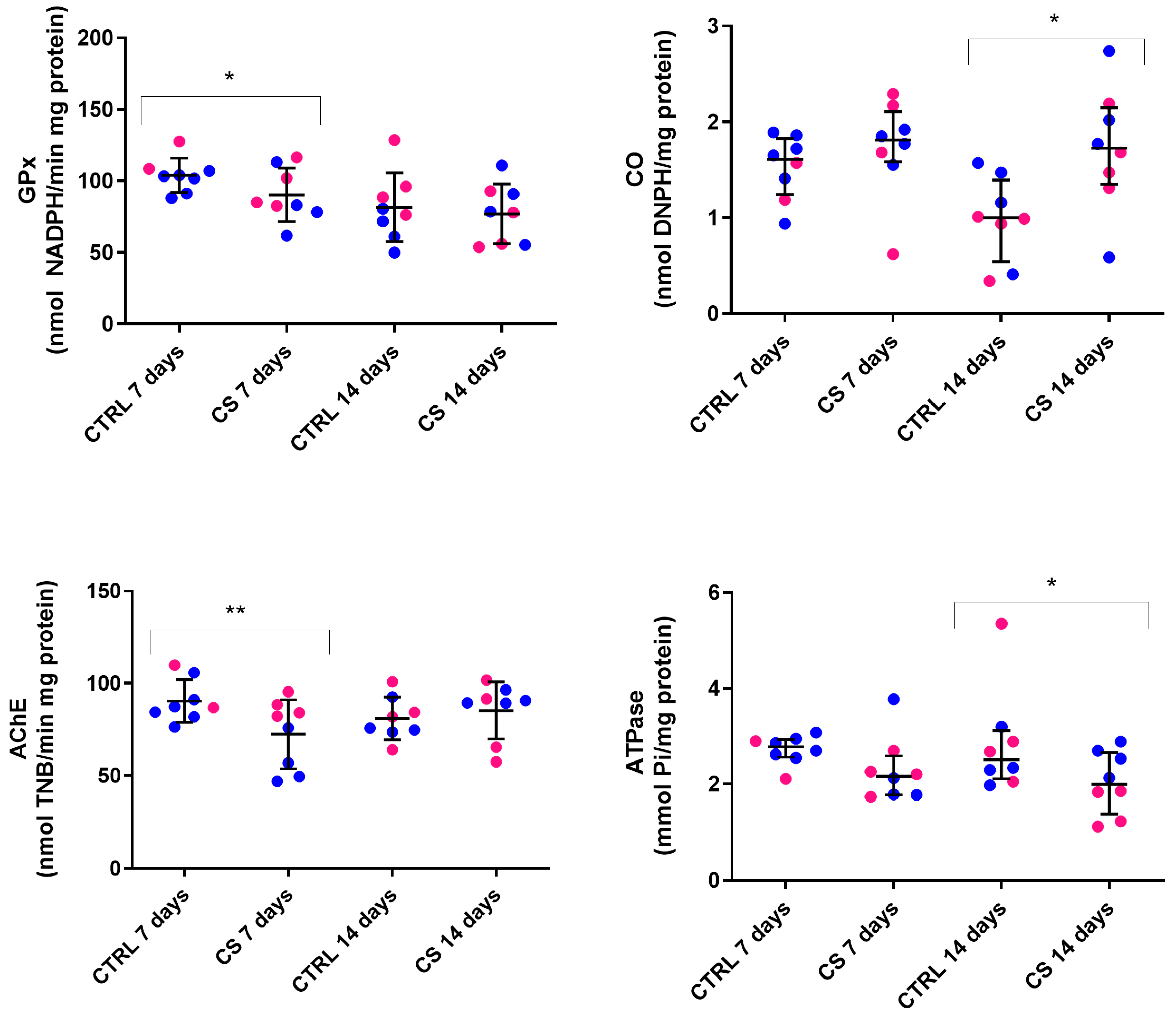
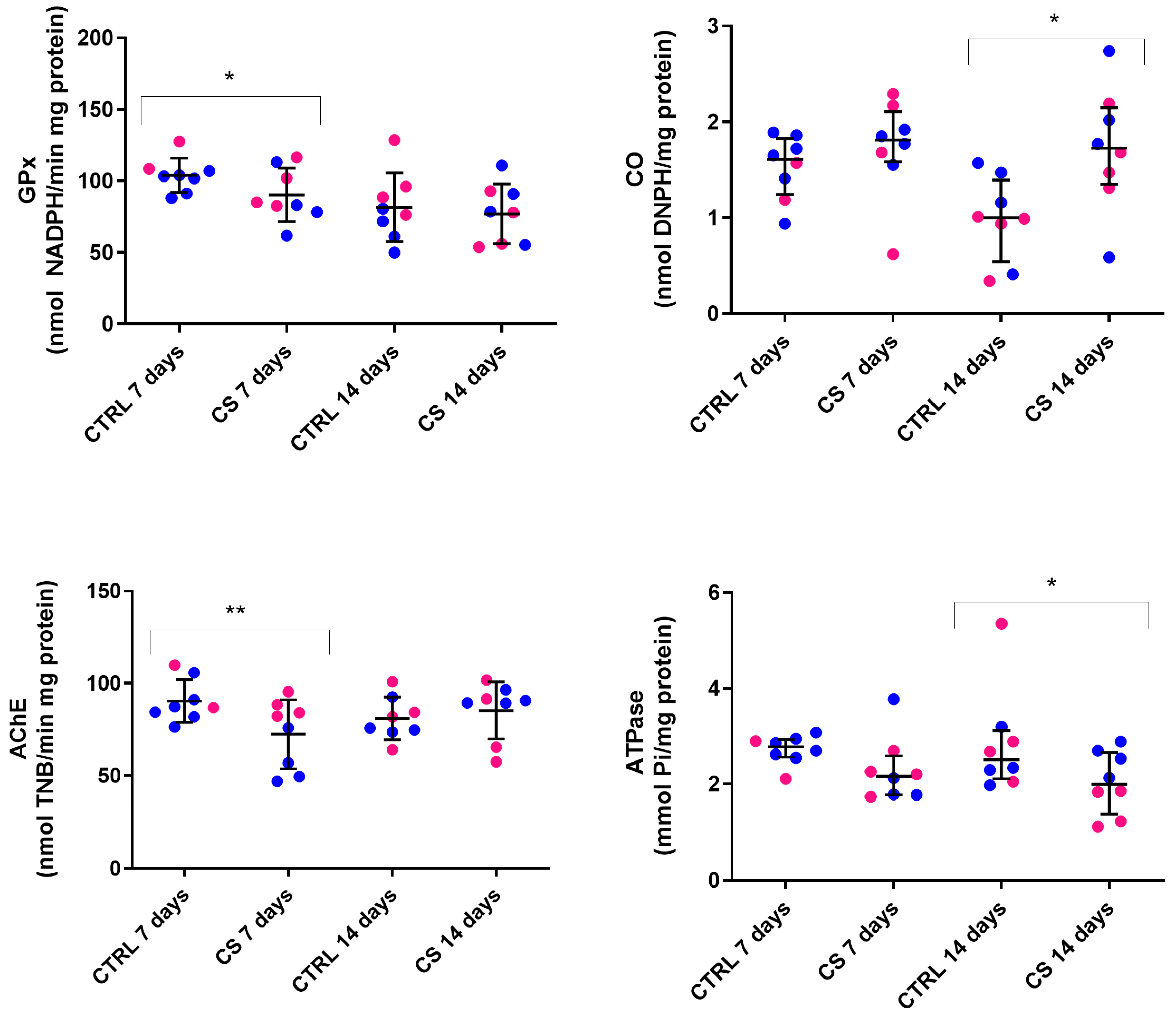
Some cerebral oxidative stress biomarkers (Figure 5) were significantly altered at CS7 and CS14. AChE activity was higher in the CTRL than CS7 (p = 0.004), with increased levels in females compared to males (p = 0.004), though no group*sex interaction was detected. GR was unaffected by sex or group despite an interaction between factors at day 7 (p = 0.005). This interaction showed that, depending on the group, the sexes had different GR activity; males had higher values when stressed compared with stressed females (p = 0.01) and CTRL males (p = 0.012). GPx was lower (p = 0.040) in CS7 than the CTRL, with a group*sex interaction (p = 0.041) observed at 14 days; in the CTRL, males had higher GPx than females (p = 0.043). ATPase exhibited higher activity in the CTRL compared to CS14 (p = 0.029), and a group*sex interaction was observed at day 14 (p = 0.014); stress induced increased ATPase activity in females compared to the CTRL (p = 0.003) and stressed males (p = 0.014). CO levels were higher in CS14 than in the CTRL (p = 0.025). Data on hepatic activities did not vary significantly among groups.

4. Discussion

This study evaluated for the first time the efficacy of skin mucus cortisol in detecting acute and chronic stress in zebrafish. Since stress has been described to alter zebrafish oxidative status [28,44,45,46] and water cortisol [47,48], these parameters were also evaluated to confirm the efficacy of the stress protocols used in zebrafish.
AS was induced using 5 min of net chasing followed by 30 s of hypoxia; cortisol was measured in the trunk 20 min after this stressful event. Pavlidis et al. [3] reported a peak in trunk cortisol 30 min following multiple acute stress events of 4 min of chasing and 1 min of hypoxia, whereas Pavlidis et al. [31] noted a faster peak at 15 min after increased chasing by a minute. Philippe et al. [1] also detected a cortisol peak at 15 min using shorter chasing (2 min) and/or hypoxia (30 s) times. All of these data suggest that our sampling of 20 min post-stress was likely within the ideal range to capture the cortisol peak, which was confirmed by our results.
Regarding skin mucus cortisol, this study suggests that its levels reflect trunk cortisol and increase after AS, similarly to larger fish species [20,49,50]. When air exposure is applied alone in larger species, the response appears to be species-specific since cortisol levels increased in trout [50] and meager [11], but not in sole [51] or seabream [13] when the same AS exposure was used. We used net chasing in addition to air exposure to ensure the induction of a cortisol response to AS. The timing of sample collection is also crucial for capturing cortisol peaks. For instance, the 20 min post-AS sampling in our zebrafish study likely captured a peak that immediate sampling in Guardiola et al.’s [13] study missed, as delayed peaks post-AS have been reported in other species (e.g., 24 h in seabream [13] and 90 min in salmon [52]). Despite these differences, all studies reinforce the utility of skin mucus in detecting AS.
The impact of CS on cortisol levels seems to be influenced by the matrix type, experiment protocols, strains, stress duration, and intensity. The type of stressor has been shown to influence the trunk cortisol levels in different ways [53]. Therefore, as in other studies, we applied different stressors randomly (unpredictable stress). In experiment A, skin mucus and trunk cortisol levels in stressed animals were comparable to the CTRL. Pavlidis et al. [31] suggested that low-grade CS may not elevate trunk cortisol. Thus, the CS14 protocol might not have been intense enough to trigger a significant matrix effect. Another hypothesis is that CS14 induced physiological acclimation or resilience, mitigating the expected cortisol response.
To clarify this, experiment B maintained stress exposure but introduced an earlier sampling time point at 7 days. Following CS7, cortisol levels rose in water and in skin mucus (non-significantly, p = 0.054), but not in trunk. The slight increase in cortisol levels in skin mucus could potentially reflect a secondary stress response related to skin barrier alterations, as suggested by Mateus et al. [54] and Carbajal et al. [9] in larger fish species. By 14 days, cortisol in all matrices was at CTRL levels. These data suggest that CS suppresses or desensitizes the HPI axis due to potential allostatic overload [55,56] as observed by Carbajal et al. [9] with rainbow trout. In addition, the higher trunk cortisol levels observed in stressed males compared with stressed females corroborates the suggestion of Rambo et al. [57] that females’ HPI axis may be exhausted after CS7.
Therefore, only water cortisol significantly increased in response to chronic stress. The trunk represents a combination of matrices, which may mask individual tissue responses to this type of stress. Nevertheless, the trunk mainly reflects circulating cortisol and cortisol accumulated in the organs. Here, cortisol binds to glucocorticoid and mineralocorticoid receptors and is subsequently metabolized [58] rather than being stored, not showing a response to chronic stress. In fact, in the literature, there are contradictory results regarding the presence of alterations in trunk cortisol in response to chronic stress [31,59]. Skin mucus is a dynamic matrix that is continuously secreted and shed, and its cortisol levels are closely linked to the timing of the stressful stimulus [60]. Since chronic stress can alter mucus production and composition [9], it may introduce variability that prevents cortisol mucus from being suitable to assess long-term stress, as observed in the present study. In contrast, cortisol measured in the water accumulates over time through excretion via the gills, skin, and urine [61]. This allows for the detection of cortisol alterations under chronic stress, even after physiological adaptation occurs [62]; in addition, there is a delay between the stressful event and the secretion of cortisol into the water [60].
Regarding biochemical analysis, redox homeostasis after stress was only altered in the brain. This was probably related to the brain’s primary role in the stress response. The high demand in oxygen, low antioxidant defenses, and elevated polyunsaturated fatty acid and iron contents make the brain susceptible to oxidative damage [63]. The observed increase in ROS after AS likely reflects the heightened metabolic demands of the stress event [64], whereas the rise in AChE activity suggests a compensatory response to regulate increased cholinergic signaling [65].
Following CS, irrespective of the experiment, the glutathione cycle and cholinergic system were affected by the stress protocol used. After CS7, there was a decrease in the enzymatic antioxidant activity via GPx and an increase in the non-enzymatic antioxidant defense through GR. In addition, AChE inhibition points to alterations in the cholinergic system, which has been associated with chronic stress [66]. After 14 days of CS, GPx activity decreased, and protein carbonylation increased, suggesting oxidative damage [67]. The ATPase, an indicator of ATP hydrolysis, was also reduced. This alteration could be related to cholinergic dysfunction since ATP hydrolysis regulates the AChE content during neurotransmission [68]. Since AChE activity was significantly decreased in the first week of stress (CS7), it is possible that this inhibition, although no longer observed in the second week, continued to influence ATPase activity. Moreover, the sustained 14-day stress exposure period may have contributed to an overall impairment of energy production. The prolonged inhibition of AChE has been associated with the disruption of synaptic communication, redox homeostasis [69], and increased cortisol levels and anxiety-like behaviors in zebrafish [70,71].
Overall, the results of the biochemical analysis confirm that the stress protocols used induced acute or chronic stress. However, the antioxidant defense response and the cortisol levels in the matrices and sexes varied significantly, though the same chronic stress protocol was used in both experiments. Also, this study only tested the AB zebrafish strain, and a recent study highlighted the importance of zebrafish genetic background in stress research [72]. Future research should determine the mechanisms underlying these alterations to better understand how zebrafish manage stress and whether the CS response is (mal)adaptive. Furthermore, measuring cortisol levels over longer periods would determine when complete stress recovery occurs.

5. Conclusions

In conclusion, this study confirms that skin mucus is a viable non-terminal matrix for assessing cortisol levels’ response to acute stress in zebrafish. Holding water also appears to be a useful matrix for measuring the response of cortisol to chronic stress at group and tank level. However, the results highlight the need for caution regarding the duration of chronic stress due to HPI axis modulation. Additional biomarkers are required to more comprehensively and reliably assess chronic stress in fish, such as indicators of metabolic activity, redox status, immune function, growth, and reproductive performance, as well as anxiety-like behaviors, among others.

Supplementary Materials

The following supporting information can be downloaded at https://www.mdpi.com/article/10.3390/fishes11010066/s1, Figure S1: Cerebral oxidative stress markers of adult zebrafish in experiment A. CTRL, control; AS, acute stress; CS, chronic stress. n = 6, except for CTRL (SOD, CAT, and GR, n = 5) and AS (GSH, n = 5). Data are expressed as mean ± standard deviation (SOD, CAT, GR, GSSG, OSI, TBARS, carbonyls, DNAds, LDH, and ATPase) or median [IQR] (GST, GSH, and AChE). SOD—superoxide dismutase; GR—glutathione reductase; CAT—catalase; GST—glutathione-s-transferase; GSSG—oxidized glutathione; GSH—reduced glutathione; OSI—oxidative stress index; TBARS—thiobarbituric acid reactive substance; DNAds—DNA strand breaks; ATPase—adenosine triphosphatase; LDH—lactate dehydrogenase. Figure S2: Hepatic activity in experiment A. CTRL, control; AS, acute stress; CS, chronic stress. n = 4, except for AS (CAT, GSH, and OSI, n = 3), CS (CAT, n = 5), and CTRL (LDH, TBARS, and AChE, n = 3). Data are expressed as mean ± standard deviation (SOD, CAT, GST, GSH, GSSG, TBARS, carbonyls, DNAds, and ATPase) or median [IQR] (GPx, GR, OSI, LDH, and AChE). ROS—reactive oxygen species; SOD—superoxide dismutase; CAT—catalase; GPx—glutathione peroxidase; GR—glutathione reductase; GST—glutathione-s-transferase; GSH—reduced glutathione; GSSG—oxidized glutathione; OSI—oxidative stress index; TBARS—thiobarbituric acid reactive substances; DNAds—DNA strand breaks; LDH—lactate dehydrogenase; AChE—acetylcholinesterase; ATPase—adenosine triphosphatase. Figure S3: Markers of cerebral oxidative stress in adult zebrafish of experiment B. CTRL, control; AS, acute stress; CS, chronic stress. n = 8 for each group. Data are expressed as mean ± standard deviation (ROS, SOD, CAT, GR, GSH, and LDH) or median [IQR] (GST, GSSG, OSI, DNAds, and TBARS). ROS—reactive oxygen species; SOD—superoxide dismutase; CAT—catalase; GR—glutathione reductase; GST—glutathione-s-transferase; GSH—reduced glutathione; OSI—oxidative stress index; DNAds—DNA strand breaks; LDH—lactate dehydrogenase; GSSG—oxidized glutathione; TBARS—thiobarbituric acid reactive substances. Figure S4: Hepatic activity observed in experiment B. n = 4 for each group. Data are expressed as mean ± standard deviation (GSSG, OSI, DNAds, LDH, AChE, carbonyls, and TBARS) or median [IQR] (ROS, SOD, CAT, GP, GR, GST, GSH, and ATPase). ROS—reactive oxygen species; SOD—superoxide dismutase; CAT—catalase; GPx—glutathione peroxidase; GR—glutathione reductase; GST—glutathione-s-transferase; GSH—reduced glutathione; GSSG—oxidized glutathione; OSI—oxidative stress index; DNAds—DNA strand breaks; LDH—lactate dehydrogenase; AChE—acetylcholinesterase; ATPase—adenosine triphosphatase; TBARS—thiobarbituric acid reactive substances. Table S1: Unpredictable chronic stress protocol applied to adult zebrafish in experiments A and B. TR, tube restrain; TC, tank change; LW, low water level; AE, air exposure; LD, light/dark changes; NC, net chasing; SI, social isolation.

Author Contributions

Conceptualization, A.M.V. and S.J.; methodology, S.J., L.F., L.R.-P., S.R.T., B.C. and A.M.V.; investigation, S.J., A.M.V. and L.F.; formal analysis, S.J., L.F., L.R.-P. and S.R.T.; funding acquisition, S.J. and A.M.V.; resources, L.F., B.C. and S.R.T.; writing—original draft preparation, S.J.; supervision, A.M.V.; validation, S.R.T., L.R.-P., A.M.V. and S.J.; writing—review and editing, A.M.V., L.F., B.C., L.R.-P., S.R.T. and S.J. All authors have read and agreed to the published version of the manuscript.

Funding

This research was funded by national funds through FCT (Fundação para a Ciência e a Tecnologia), I.P., and by the European Commission’s Recovery and Resilience Facility, within the scope of UID/04423/2025 (https://doi.org/10.54499/UID/04423/2025), UID/PRR/04423/2025 (https://doi.org/10.54499/UID/PRR/04423/2025), and LA/P/0101/2020 (https://doi.org/10.54499/LA/P/0101/2020), and in association with the ESF (European Social Fund) under the scope of Norte2020—North Regional Operational Program (grant number 2020.04584.BD to S.J. (https://doi.org/10.54499/2020.04584.BD)). It was also funded by a 3R award given in 2023 by Animal Research Tomorrow. This research was also supported by the European Union and UKRI through the IGNITION project (grant number 101084651). A.M.V. was supported by Fundação para a Ciência e a Tecnologia (FCT; Portugal) through a Norma Transitória contract with i3S.

Institutional Review Board Statement

All experiments complied with the European Directive and Portuguese legislation for the protection of animals used for scientific purposes (2010/63/EU and 113/2013, respectively). All procedures were approved by the National Competent Authority for animal research (Direção-Geral de Alimentação e Veterinária, Lisbon, Portugal; approval number 19606/24-S) and by the Animal Welfare and Ethics Review Body of the Institute for Research and Innovation in Health (i3S; approval number 2021-24). The approval date was 29 October 2021.

Data Availability Statement

Data will be made available upon reasonable request.

Acknowledgments

The authors thank Elena Van Os (i3S), the A2S team (CIIMAR), and Sara Cartan (INMAR) for providing technical assistance. The i3s animal facility staff is also acknowledged for helping to keep the animals in ideal conditions.

Conflicts of Interest

Author Sofia R. Teixeira was employed by the company iGii. The remaining authors declare that the research was conducted in the absence of any commercial or financial relationships that could be construed as a potential conflict of interest.

Abbreviations

The following abbreviations are used in this manuscript:
AChEAcetylcholinesterase
AEAir exposure
ASAcute stress
ATPaseAdenosine triphosphatase
CATCatalase
COCarbonyls
CSChronic stress
CTRLControl
DNAdsDouble-stranded DNA
GPxGlutathione peroxidase
GRGlutathione reductase
GSSGGlutathione oxidized
GSHGlutathione reduced
GSTGlutathione S-transferase
LDLight/dark changes
LDHLactate dehydrogenase
LWLow water level
NBTNitroblue tetrazolium
NCNet chasing
OSIOxidative stress index
OSMOxidative stress markers
ROSReactive oxygen species
SISocial isolation
SODSuperoxidase dismutase
TBARSThiobarbituric acid reactive substances
TCTank change
TRTube restrain

References

  1. Philippe, C.; Vergauwen, L.; Huyghe, K.; De Boeck, G.; Knapen, D. Chronic handling stress in zebrafish Danio rerio husbandry. J. Fish Biol. 2023, 103, 367–377. [Google Scholar] [CrossRef] [PubMed]
  2. Shishis, S.; Tsang, B.; Ren, G.J.; Gerlai, R. Effects of different handling methods on the behavior of adult zebrafish. Physiol. Behav. 2023, 262, 114106. [Google Scholar] [CrossRef]
  3. Pavlidis, M.; Digka, N.; Theodoridi, A.; Campo, A.; Barsakis, K.; Skouradakis, G.; Samaras, A.; Tsalafouta, A. Husbandry of zebrafish, Danio rerio, and the cortisol stress response. Zebrafish 2013, 10, 524–531. [Google Scholar] [CrossRef] [PubMed]
  4. Ramsay, J.M.; Feist, G.W.; Varga, Z.M.; Westerfield, M.; Kent, M.L.; Schreck, C.B. Whole-body cortisol is an indicator of crowding stress in adult zebrafish, Danio rerio. Aquaculture 2006, 258, 565–574. [Google Scholar] [CrossRef]
  5. Neo, Y.Y.; Parie, L.; Bakker, F.; Snelderwaard, P.; Tudorache, C.; Schaaf, M.; Slabbekoorn, H. Behavioral changes in response to sound exposure and no spatial avoidance of noisy conditions in captive zebrafish. Front. Behav. Neurosci. 2015, 9, 28. [Google Scholar] [CrossRef]
  6. Piato, Â.L.; Capiotti, K.M.; Tamborski, A.R.; Oses, J.P.; Barcellos, L.J.; Bogo, M.R.; Lara, D.R.; Vianna, M.R.; Bonan, C.D. Unpredictable chronic stress model in zebrafish (Danio rerio): Behavioral and physiological responses. Prog. Neuro-Psychopharmacol. Biol. Psychiatry 2011, 35, 561–567. [Google Scholar]
  7. Shams, S.; Khan, A.; Gerlai, R. Early social deprivation does not affect cortisol response to acute and chronic stress in zebrafish. Stress 2021, 24, 273–281. [Google Scholar] [CrossRef] [PubMed]
  8. Khoei, A.J. Evaluation of potential immunotoxic effects of iron oxide nanoparticles (IONPs) on antioxidant capacity, immune responses and tissue bioaccumulation in common carp (Cyprinus carpio). Comp. Biochem. Physiol. Part C Toxicol. Pharmacol. 2021, 244, 109005. [Google Scholar] [CrossRef]
  9. Carbajal, A.; Reyes-López, F.E.; Tallo-Parra, O.; Lopez-Bejar, M.; Tort, L. Comparative assessment of cortisol in plasma, skin mucus and scales as a measure of the hypothalamic-pituitary-interrenal axis activity in fish. Aquaculture 2019, 506, 410–416. [Google Scholar]
  10. Fernández-Alacid, L.; Sanahuja, I.; Ordóñez-Grande, B.; Sánchez-Nuño, S.; Herrera, M.; Ibarz, A. Skin mucus metabolites and cortisol in meagre fed acute stress-attenuating diets: Correlations between plasma and mucus. Aquaculture 2019, 499, 185–194. [Google Scholar] [CrossRef]
  11. Fernández-Alacid, L.; Sanahuja, I.; Ordóñez-Grande, B.; Sánchez-Nuño, S.; Viscor, G.; Gisbert, E.; Herrera, M.; Ibarz, A. Skin mucus metabolites in response to physiological challenges: A valuable non-invasive method to study teleost marine species. Sci. Total Environ. 2018, 644, 1323–1335. [Google Scholar]
  12. Fernández-Montero, A.; Torrecillas, S.; Tort, L.; Ginés, R.; Acosta, F.; Izquierdo, M.; Montero, D. Stress response and skin mucus production of greater amberjack (Seriola dumerili) under different rearing conditions. Aquaculture 2020, 520, 735005. [Google Scholar] [CrossRef]
  13. Guardiola, F.A.; Cuesta, A.; Esteban, M.Á. Using skin mucus to evaluate stress in gilthead seabream (Sparus aurata L.). Fish Shellfish Immunol. 2016, 59, 323–330. [Google Scholar] [PubMed]
  14. Parma, L.; Pelusio, N.F.; Gisbert, E.; Esteban, M.A.; D’Amico, F.; Soverini, M.; Candela, M.; Dondi, F.; Gatta, P.P.; Bonaldo, A. Effects of rearing density on growth, digestive conditions, welfare indicators and gut bacterial community of gilthead sea bream (Sparus aurata, L. 1758) fed different fishmeal and fish oil dietary levels. Aquaculture 2020, 518, 734854. [Google Scholar] [CrossRef]
  15. Fæste, C.; Tartor, H.; Moen, A.; Kristoffersen, A.; Dhanasiri, A.; Anonsen, J.; Furmanek, T.; Grove, S. Proteomic profiling of salmon skin mucus for the comparison of sampling methods. J. Chromatogr. B 2020, 1138, 121965. [Google Scholar] [CrossRef]
  16. Fiordelmondo, E.; Magi, G.E.; Friedl, A.; El-Matbouli, M.; Roncarati, A.; Saleh, M. Effects of stress conditions on plasma parameters and gene expression in the skin mucus of farmed rainbow trout (Oncorhynchus mykiss). Front. Vet. Sci. 2023, 10, 1183246. [Google Scholar] [CrossRef]
  17. Jorge, S.; Félix, L.; Costas, B.; Valentim, A.M. Housing conditions affect adult zebrafish (Danio rerio) behavior but not their physiological status. Animals 2023, 13, 1120. [Google Scholar] [CrossRef]
  18. Tartor, H.; Luis Monjane, A.; Grove, S. Quantification of defensive proteins in skin mucus of Atlantic salmon using minimally invasive sampling and high-sensitivity ELISA. Animals 2020, 10, 1374. [Google Scholar] [CrossRef] [PubMed]
  19. Sanahuja, I.; Guerreiro, P.M.; Girons, A.; Fernandez-Alacid, L.; Ibarz, A. Evaluating the repetitive mucus extraction effects on mucus biomarkers, mucous cells, and the skin-barrier status in a marine fish model. Front. Mar. Sci. 2023, 9, 1095246. [Google Scholar] [CrossRef]
  20. Bertotto, D.; Poltronieri, C.; Negrato, E.; Majolini, D.; Radaelli, G.; Simontacchi, C. Alternative matrices for cortisol measurement in fish. Aquac. Res. 2010, 41, 1261–1267. [Google Scholar]
  21. Ordóñez-Grande, B.; Guerreiro, P.M.; Sanahuja, I.; Fernández-Alacid, L.; Ibarz, A. Environmental salinity modifies mucus exudation and energy use in European sea bass juveniles. Animals 2021, 11, 1580. [Google Scholar] [CrossRef]
  22. Jia, R.; Liu, B.-L.; Feng, W.-R.; Han, C.; Huang, B.; Lei, J.-L. Stress and immune responses in skin of turbot (Scophthalmus maximus) under different stocking densities. Fish Shellfish Immunol. 2016, 55, 131–139. [Google Scholar]
  23. Brydges, N.M.; Boulcott, P.; Ellis, T.; Braithwaite, V.A. Quantifying stress responses induced by different handling methods in three species of fish. Appl. Anim. Behav. Sci. 2009, 116, 295–301. [Google Scholar] [CrossRef]
  24. Caipang, C.M.A.; Fatira, E.; Lazado, C.C.; Pavlidis, M. Short-term handling stress affects the humoral immune responses of juvenile Atlantic cod, Gadus Morhua. Aquac. Int. 2014, 22, 1283–1293. [Google Scholar] [CrossRef]
  25. Montoya, A.; López-Olmeda, J.; Garayzar, A.; Sánchez-Vázquez, F. Synchronization of daily rhythms of locomotor activity and plasma glucose, cortisol and thyroid hormones to feeding in Gilthead seabream (Sparus aurata) under a light–dark cycle. Physiol. Behav. 2010, 101, 101–107. [Google Scholar] [CrossRef]
  26. Basto, A.; Peixoto, D.; Machado, M.; Costas, B.; Murta, D.; Valente, L.M. Physiological response of European Sea Bass (Dicentrarchus labrax) juveniles to an acute stress challenge: The impact of partial and total Dietary Fishmeal replacement by an insect meal. J. Mar. Sci. Eng. 2024, 12, 815. [Google Scholar] [CrossRef]
  27. de Fatima Pereira de Faria, C.; dos Reis Martinez, C.B.; Takahashi, L.S.; de Mello, M.M.M.; Martins, T.P.; Urbinati, E.C. Modulation of the innate immune response, antioxidant system and oxidative stress during acute and chronic stress in pacu (Piaractus mesopotamicus). Fish Physiol. Biochem. 2021, 47, 895–905. [Google Scholar] [CrossRef] [PubMed]
  28. Marcon, M.; Mocelin, R.; Sachett, A.; Siebel, A.M.; Herrmann, A.P.; Piato, A. Enriched environment prevents oxidative stress in zebrafish submitted to unpredictable chronic stress. PeerJ 2018, 6, e5136. [Google Scholar] [CrossRef] [PubMed]
  29. Du Sert, N.P.; Ahluwalia, A.; Alam, S.; Avey, M.T.; Baker, M.; Browne, W.J.; Clark, A.; Cuthill, I.C.; Dirnagl, U.; Emerson, M. Reporting animal research: Explanation and elaboration for the ARRIVE guidelines 2.0. PLoS Biol. 2020, 18, e3000411. [Google Scholar]
  30. Westerfield, M. A Guide for the Laboratory Use of Zebrafish (Danio rerio), 4th ed.; University of Oregon Press: Eugene, OR, USA, 2000. [Google Scholar]
  31. Pavlidis, M.; Theodoridi, A.; Tsalafouta, A. Neuroendocrine regulation of the stress response in adult zebrafish, Danio rerio. Prog. Neuro-Psychopharmacol. Biol. Psychiatry 2015, 60, 121–131. [Google Scholar]
  32. Ramsay, J.M.; Feist, G.W.; Varga, Z.M.; Westerfield, M.; Kent, M.L.; Schreck, C.B. Whole-body cortisol response of zebrafish to acute net handling stress. Aquaculture 2009, 297, 157–162. [Google Scholar] [CrossRef]
  33. Jorge, S.; Félix, L.; Costas, B.; Valentim, A.M. Advancing cortisol measurements in zebrafish: Analytical validation of a commercial ELISA kit for skin mucus cortisol analysis. MethodsX 2024, 12, 102726. [Google Scholar] [CrossRef]
  34. Perkins, H.; Higgins, M.; Marcato, M.; Galvin, P.; Teixeira, S.R. Immunosensor for assessing the welfare of trainee guide dogs. Biosensors 2021, 11, 327. [Google Scholar] [CrossRef] [PubMed]
  35. Deng, J.; Yu, L.; Liu, C.; Yu, K.; Shi, X.; Yeung, L.W.; Lam, P.K.; Wu, R.S.; Zhou, B. Hexabromocyclododecane-induced developmental toxicity and apoptosis in zebrafish embryos. Aquat. Toxicol. 2009, 93, 29–36. [Google Scholar] [CrossRef] [PubMed]
  36. Capriello, T.; Félix, L.M.; Monteiro, S.M.; Santos, D.; Cofone, R.; Ferrandino, I. Exposure to aluminium causes behavioural alterations and oxidative stress in the brain of adult zebrafish. Environ. Toxicol. Pharmacol. 2021, 85, 103636. [Google Scholar] [CrossRef]
  37. Félix, L.; Carreira, P.; Peixoto, F. Effects of chronic exposure of naturally weathered microplastics on oxidative stress level, behaviour, and mitochondrial function of adult zebrafish (Danio rerio). Chemosphere 2023, 310, 136895. [Google Scholar]
  38. Wallin, B.; Rosengren, B.; Shertzer, H.G.; Camejo, G. Lipoprotein oxidation and measurement of thiobarbituric acid reacting substances formation in a single microtiter plate: Its use for evaluation of antioxidants. Anal. Biochem. 1993, 208, 10–15. [Google Scholar] [CrossRef]
  39. Mesquita, C.S.; Oliveira, R.; Bento, F.; Geraldo, D.; Rodrigues, J.V.; Marcos, J.C. Simplified 2, 4-dinitrophenylhydrazine spectrophotometric assay for quantification of carbonyls in oxidized proteins. Anal. Biochem. 2014, 458, 69–71. [Google Scholar]
  40. Olive, P.L. DNA precipitation assay: A rapid and simple method for detecting DNA damage in mammalian cells. Environ. Mol. Mutagen. 1988, 11, 487–495. [Google Scholar] [CrossRef] [PubMed]
  41. Lança, M.J.; Machado, M.; Ferreira, A.F.; Quintella, B.R.; de Almeida, P.R. Structural lipid changes and Na+/K+-ATPase activity of gill cells’ basolateral membranes during saltwater acclimation in sea lamprey (Petromyzon marinus, L.) juveniles. Comp. Biochem. Physiol. Part A Mol. Integr. Physiol. 2015, 189, 67–75. [Google Scholar]
  42. Ellman, G.L.; Courtney, K.D.; Andres, V., Jr.; Featherstone, R.M. A new and rapid colorimetric determination of acetylcholinesterase activity. Biochem. Pharmacol. 1961, 7, 88–95. [Google Scholar] [CrossRef] [PubMed]
  43. Domingues, I.; Oliveira, R.; Lourenço, J.; Grisolia, C.K.; Mendo, S.; Soares, A. Biomarkers as a tool to assess effects of chromium (VI): Comparison of responses in zebrafish early life stages and adults. Comp. Biochem. Physiol. Part C Toxicol. Pharmacol. 2010, 152, 338–345. [Google Scholar]
  44. Balmuș, I.-M.; Lefter, R.M.; Robea, M.-A.; Lungu, F.; Săvucă, A.; Ciobîcă, A.; Gorgan, L.; Hurjui, I.A.; Nicușor, M. Study on some behavioral and oxidative changes observed in zebrafish exposed to chronic stress. Bull. Integr. Psychiatry 2024, 1, 19. [Google Scholar] [CrossRef]
  45. Chowdhury, S.; Saikia, S.K. Use of zebrafish as a model organism to study oxidative stress: A review. Zebrafish 2022, 19, 165–176. [Google Scholar] [CrossRef]
  46. Dal Santo, G.; Conterato, G.M.; Barcellos, L.J.; Rosemberg, D.B.; Piato, A.L. Acute restraint stress induces an imbalance in the oxidative status of the zebrafish brain. Neurosci. Lett. 2014, 558, 103–108. [Google Scholar] [CrossRef] [PubMed]
  47. Félix, A.S.; Faustino, A.I.; Cabral, E.M.; Oliveira, R.F. Noninvasive measurement of steroid hormones in zebrafish holding-water. Zebrafish 2013, 10, 110–115. [Google Scholar] [CrossRef] [PubMed]
  48. Midttun, H.; Øverli, Ø.; Tudorache, C.; Mayer, I.; Johansen, I. Non-invasive sampling of water-borne hormones demonstrates individual consistency of the cortisol response to stress in laboratory zebrafish (Danio rerio). Sci. Rep. 2022, 12, 6278. [Google Scholar] [CrossRef]
  49. De Mercado, E.; Larrán, A.M.; Pinedo, J.; Tomás-Almenar, C. Skin mucous: A new approach to assess stress in rainbow trout. Aquaculture 2018, 484, 90–97. [Google Scholar] [CrossRef]
  50. Franco-Martinez, L.; Brandts, I.; Reyes-López, F.; Tort, L.; Tvarijonaviciute, A.; Teles, M. Skin mucus as a relevant low-invasive biological matrix for the measurement of an acute stress response in rainbow trout (Oncorhynchus mykiss). Water 2022, 14, 1754. [Google Scholar] [CrossRef]
  51. Vatsos, I.; Kotzamanis, Y.; Henry, M.; Angelidis, P.; Alexis, M. Monitoring stress in fish by applying image analysis to their skin mucous cells. Eur. J. Histochem. EJH 2010, 54, e22. [Google Scholar]
  52. Madaro, A.; Nilsson, J.; Whatmore, P.; Roh, H.; Grove, S.; Stien, L.H.; Olsen, R.E. Acute stress response on Atlantic salmon: A time-course study of the effects on plasma metabolites, mucus cortisol levels, and head kidney transcriptome profile. Fish Physiol. Biochem. 2023, 49, 97–116. [Google Scholar]
  53. Li, X.-h.; Fu, C.; Tan, X.-t.; Fu, S.-j. Responses of zebrafish to chronic environmental stressors: Anxiety-like behavior and its persistence. Front. Mar. Sci. 2025, 12, 1551595. [Google Scholar] [CrossRef]
  54. Mateus, A.P.; Mourad, M.M.; Power, D.M. Skin damage caused by scale loss modifies the intestine of chronically stressed gilthead sea bream (Sparus aurata, L.). Dev. Comp. Immunol. 2021, 118, 103989. [Google Scholar] [CrossRef] [PubMed]
  55. Patel, D.M.; Brinchmann, M.F.; Hanssen, A.; Iversen, M.H. Changes in the skin proteome and signs of allostatic overload type 2, chronic stress, in response to repeated overcrowding of lumpfish (Cyclopterus lumpus L.). Front. Mar. Sci. 2022, 9, 891451. [Google Scholar] [CrossRef]
  56. Sopinka, N.M.; Donaldson, M.R.; O’Connor, C.M.; Suski, C.D.; Cooke, S.J. Stress Indicators in Fish. In Fish Physiology; Elsevier Inc.: Amsterdam, The Netherlands, 2016; Volume 35, pp. 405–462. [Google Scholar]
  57. Rambo, C.L.; Mocelin, R.; Marcon, M.; Villanova, D.; Koakoski, G.; de Abreu, M.S.; Oliveira, T.A.; Barcellos, L.J.; Piato, A.L.; Bonan, C.D. Gender differences in aggression and cortisol levels in zebrafish subjected to unpredictable chronic stress. Physiol. Behav. 2017, 171, 50–54. [Google Scholar] [CrossRef]
  58. Faught, E.; Aluru, N.; Vijayan, M.M. The molecular stress response. In Fish Physiology; Elsevier Inc.: London, UK, 2016; Volume 35, pp. 113–166. [Google Scholar]
  59. Marcon, M.; Mocelin, R.; Benvenutti, R.; Costa, T.; Herrmann, A.P.; de Oliveira, D.L.; Koakoski, G.; Barcellos, L.J.; Piato, A. Environmental enrichment modulates the response to chronic stress in zebrafish. J. Exp. Biol. 2018, 221, jeb176735. [Google Scholar] [CrossRef] [PubMed]
  60. Lemos, L.S.; Angarica, L.M.; Hauser-Davis, R.A.; Quinete, N. Cortisol as a stress indicator in fish: Sampling methods, analytical techniques, and organic pollutant exposure assessments. Int. J. Environ. Res. Public Health 2023, 20, 6237. [Google Scholar]
  61. Ellis, T.; Sanders, M.; Scott, A. Non-invasive monitoring of steroids in fishes. Vet. Med. Austria 2013, 100, 255–269. [Google Scholar]
  62. Ruane, N.M.; Komen, H. Measuring cortisol in the water as an indicator of stress caused by increased loading density in common carp (Cyprinus carpio). Aquaculture 2003, 218, 685–693. [Google Scholar] [CrossRef]
  63. Saada, H.N.; Said, U.Z.; Mahdy, E.M.; Elmezayen, H.E.; Shedid, S.M. Fish oil omega-3 fatty acids reduce the severity of radiation-induced oxidative stress in the rat brain. Int. J. Radiat. Biol. 2014, 90, 1179–1183. [Google Scholar] [CrossRef]
  64. da Santa Lopes, T.; Costas, B.; Ramos-Pinto, L.; Reynolds, P.; Imsland, A.K.; Fernandes, J.M. Exploring the effects of acute stress exposure on lumpfish plasma and liver biomarkers. Animals 2023, 13, 3623. [Google Scholar] [CrossRef] [PubMed]
  65. Canzian, J.; Fontana, B.D.; Quadros, V.A.; Rosemberg, D.B. Conspecific alarm substance differently alters group behavior of zebrafish populations: Putative involvement of cholinergic and purinergic signaling in anxiety-and fear-like responses. Behav. Brain Res. 2017, 320, 255–263. [Google Scholar]
  66. Das, A.; Kapoor, K.; Sayeepriyadarshini, A.; Dikshit, M.; Palit, G.; Nath, C. Immobilization stress-induced changes in brain acetylcholinesterase activity and cognitive function in mice. Pharmacol. Res. 2000, 42, 213–217. [Google Scholar] [CrossRef]
  67. Pradhan, L.K.; Sahoo, P.K.; Chauhan, N.R.; Das, S.K. Temporal exposure to chronic unpredictable stress induces precocious neurobehavioral deficits by distorting neuromorphology and glutathione biosynthesis in zebrafish brain. Behav. Brain Res. 2022, 418, 113672. [Google Scholar] [CrossRef]
  68. Adedara, I.A.; Souza, T.P.; Canzian, J.; Olabiyi, A.A.; Borba, J.V.; Biasuz, E.; Sabadin, G.R.; Goncalves, F.L.; Costa, F.V.; Schetinger, M.R. Induction of aggression and anxiety-like responses by perfluorooctanoic acid is accompanied by modulation of cholinergic-and purinergic signaling-related parameters in adult zebrafish. Ecotoxicol. Environ. Saf. 2022, 239, 113635. [Google Scholar]
  69. Sanchez-Aceves, L.M.; Pérez-Alvarez, I.; Onofre-Camarena, D.B.; Gutiérrez-Noya, V.M.; Rosales-Pérez, K.E.; Orozco-Hernández, J.M.; Hernández-Navarro, M.D.; Flores, H.I.; Gómez-Olivan, L.M. Prolonged exposure to the synthetic glucocorticoid dexamethasone induces brain damage via oxidative stress and apoptotic response in adult Danio rerio. Chemosphere 2024, 364, 143012. [Google Scholar] [CrossRef] [PubMed]
  70. Giacomini, A.C.; Bueno, B.W.; Marcon, L.; Scolari, N.; Genario, R.; Demin, K.A.; Kolesnikova, T.O.; Kalueff, A.V.; de Abreu, M.S. An acetylcholinesterase inhibitor, donepezil, increases anxiety and cortisol levels in adult zebrafish. J. Psychopharmacol. 2020, 34, 1449–1456. [Google Scholar] [CrossRef]
  71. Raja, G.L.; Subhashree, K.D.; Lite, C.; Santosh, W.; Barathi, S. Transient exposure of methylparaben to zebrafish (Danio rerio) embryos altered cortisol level, acetylcholinesterase activity and induced anxiety-like behaviour. Gen. Comp. Endocrinol. 2019, 279, 53–59. [Google Scholar] [CrossRef]
  72. Kolesnikova, T.O.; Prokhorenko, N.O.; Amikishiev, S.V.; Nikitin, V.S.; Shevlyakov, A.D.; Ikrin, A.N.; Mukhamadeev, R.R.; Buglinina, A.D.; Apukhtin, K.V.; Moskalenko, A.M. Differential effects of chronic unpredictable stress on behavioral and molecular (cortisol and microglia-related neurotranscriptomic) responses in adult leopard (leo) zebrafish. Fish Physiol. Biochem. 2025, 51, 30. [Google Scholar] [CrossRef] [PubMed]
Figure 1. Schematic representation of the experiments (A,B). In (A), the animals were subjected to chronic stress (CS) for 14 days, and a different batch of animals was subjected to acute stress (AS) the day after CS protocol testing. In (B), the animals were exposed to unpredictable CS for 7 or 14 days. Animals were sacrificed in the sampling time points of cortisol and oxidative stress markers (OSMs).
Figure 1. Schematic representation of the experiments (A,B). In (A), the animals were subjected to chronic stress (CS) for 14 days, and a different batch of animals was subjected to acute stress (AS) the day after CS protocol testing. In (B), the animals were exposed to unpredictable CS for 7 or 14 days. Animals were sacrificed in the sampling time points of cortisol and oxidative stress markers (OSMs).
Fishes 11 00066 g001
Figure 2. Cortisol levels in (a) trunk and (b) skin mucus of zebrafish under control (CTRL) or stressed conditions. AS, acute stress; CS, chronic stress. n = 8 for all groups, except for CTRL in skin mucus (n = 6). Cortisol samples from females are shown as pink dots, while male samples are shown as blue dots. Data are expressed as median [IQR]. *** p ≤ 0.001 for comparisons between groups.
Figure 2. Cortisol levels in (a) trunk and (b) skin mucus of zebrafish under control (CTRL) or stressed conditions. AS, acute stress; CS, chronic stress. n = 8 for all groups, except for CTRL in skin mucus (n = 6). Cortisol samples from females are shown as pink dots, while male samples are shown as blue dots. Data are expressed as median [IQR]. *** p ≤ 0.001 for comparisons between groups.
Fishes 11 00066 g002
Figure 3. Cerebral oxidative stress markers of adult zebrafish in experiment A. CTRL, control; AS, acute stress; CS, chronic stress. n = 6. Data are expressed as mean ± standard deviation (ROS and GPx) or median [IQR] (AChE). ROS—reactive oxygen species; GPx—glutathione peroxidase; AChE—acetylcholinesterase. Female samples are shown as pink dots and male samples as blue dots. * p < 0.05; ** p < 0.01.
Figure 3. Cerebral oxidative stress markers of adult zebrafish in experiment A. CTRL, control; AS, acute stress; CS, chronic stress. n = 6. Data are expressed as mean ± standard deviation (ROS and GPx) or median [IQR] (AChE). ROS—reactive oxygen species; GPx—glutathione peroxidase; AChE—acetylcholinesterase. Female samples are shown as pink dots and male samples as blue dots. * p < 0.05; ** p < 0.01.
Fishes 11 00066 g003
Figure 4. Trunk (a), skin mucus (b), and water (c) cortisol levels of zebrafish stressed for 7 and 14 days. CTRL, control; CS, chronic stress. n = 8, except for skin mucus (CTRL 7 days, n = 7) and water (CTRL and CS for 7 days, n = 4; CTRL and CS for 14 days, n = 2). Cortisol samples from females are shown as pink dots and male samples as blue dots, except in graph (c), where water was collected from each tank that had a balanced sex ratio. In graph (c), CTRL fish are represented as gray dots and CS fish as reddish dots. Data are expressed as mean ± standard deviation. ** p < 0.01.
Figure 4. Trunk (a), skin mucus (b), and water (c) cortisol levels of zebrafish stressed for 7 and 14 days. CTRL, control; CS, chronic stress. n = 8, except for skin mucus (CTRL 7 days, n = 7) and water (CTRL and CS for 7 days, n = 4; CTRL and CS for 14 days, n = 2). Cortisol samples from females are shown as pink dots and male samples as blue dots, except in graph (c), where water was collected from each tank that had a balanced sex ratio. In graph (c), CTRL fish are represented as gray dots and CS fish as reddish dots. Data are expressed as mean ± standard deviation. ** p < 0.01.
Fishes 11 00066 g004
Figure 5. Cerebral oxidative stress markers of adult zebrafish in experiment B. CS, chronic stress for 7 and 14 days. n = 8. Data are expressed as mean ± standard deviation (GPx and AChE) or median [IQR] (CO and ATPase). GPx—glutathione peroxidase; CO—carbonyls; AChE—acetylcholinesterase; ATPase—adenosine triphosphatase. Female samples are shown as pink dots and male samples as blue dots. * p < 0.05; ** p < 0.01.
Figure 5. Cerebral oxidative stress markers of adult zebrafish in experiment B. CS, chronic stress for 7 and 14 days. n = 8. Data are expressed as mean ± standard deviation (GPx and AChE) or median [IQR] (CO and ATPase). GPx—glutathione peroxidase; CO—carbonyls; AChE—acetylcholinesterase; ATPase—adenosine triphosphatase. Female samples are shown as pink dots and male samples as blue dots. * p < 0.05; ** p < 0.01.
Fishes 11 00066 g005
Disclaimer/Publisher’s Note: The statements, opinions and data contained in all publications are solely those of the individual author(s) and contributor(s) and not of MDPI and/or the editor(s). MDPI and/or the editor(s) disclaim responsibility for any injury to people or property resulting from any ideas, methods, instructions or products referred to in the content.

Share and Cite

MDPI and ACS Style

Jorge, S.; Félix, L.; Costas, B.; Ramos-Pinto, L.; Teixeira, S.R.; Valentim, A.M. Biological Validation of Cortisol in Zebrafish Trunk, Skin Mucus, and Water as a Biomarker of Acute or Chronic Stress. Fishes 2026, 11, 66. https://doi.org/10.3390/fishes11010066

AMA Style

Jorge S, Félix L, Costas B, Ramos-Pinto L, Teixeira SR, Valentim AM. Biological Validation of Cortisol in Zebrafish Trunk, Skin Mucus, and Water as a Biomarker of Acute or Chronic Stress. Fishes. 2026; 11(1):66. https://doi.org/10.3390/fishes11010066

Chicago/Turabian Style

Jorge, Sara, Luís Félix, Benjamín Costas, Lourenço Ramos-Pinto, Sofia R. Teixeira, and Ana M. Valentim. 2026. "Biological Validation of Cortisol in Zebrafish Trunk, Skin Mucus, and Water as a Biomarker of Acute or Chronic Stress" Fishes 11, no. 1: 66. https://doi.org/10.3390/fishes11010066

APA Style

Jorge, S., Félix, L., Costas, B., Ramos-Pinto, L., Teixeira, S. R., & Valentim, A. M. (2026). Biological Validation of Cortisol in Zebrafish Trunk, Skin Mucus, and Water as a Biomarker of Acute or Chronic Stress. Fishes, 11(1), 66. https://doi.org/10.3390/fishes11010066

Article Metrics

Article metric data becomes available approximately 24 hours after publication online.
Back to TopTop