Are Chemicals a Useful Tool for Glass Eel Traceability?
Abstract
1. Introduction
2. Material and Methods
2.1. Ethics Statement
2.2. Study Area
2.3. Analytical Methods and Statistical Approaches
- (1)
- Normality of all data was checked using the Shapiro–Wilk test (SPSS 28 software);
- (2)
- Logarithmic (base 10) transformed data were used whenever the normality of data failed;
- (3)
- Homogeneity of variances was tested using the Cochran test (WinGMAv 5 software, EICC, University of Sydney);
- (4)
- Two-way analysis of variance (ANOVA) was used to identify significant spatial and seasonal differences in chemical profiles (WinGMAv 5 software, EICC, University of Sydney);
- (5)
- Groups of statistically dissimilar locations/seasons were established using Student–Newman–Keuls (SNK) tests for ANOVAs (WinGMAv 5 software, EICC, University of Sydney).
3. Results and Discussion
3.1. Biological Profile
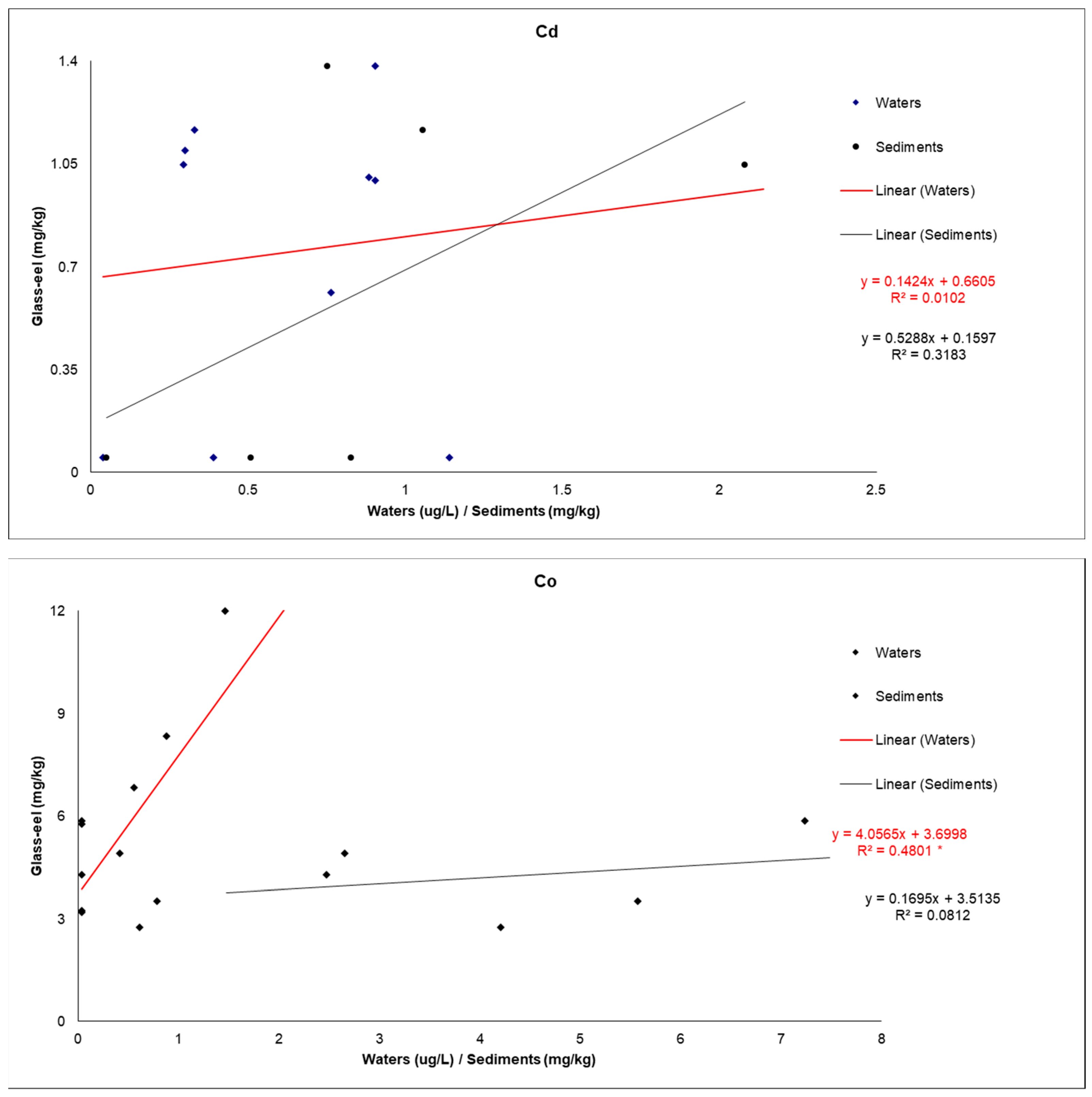
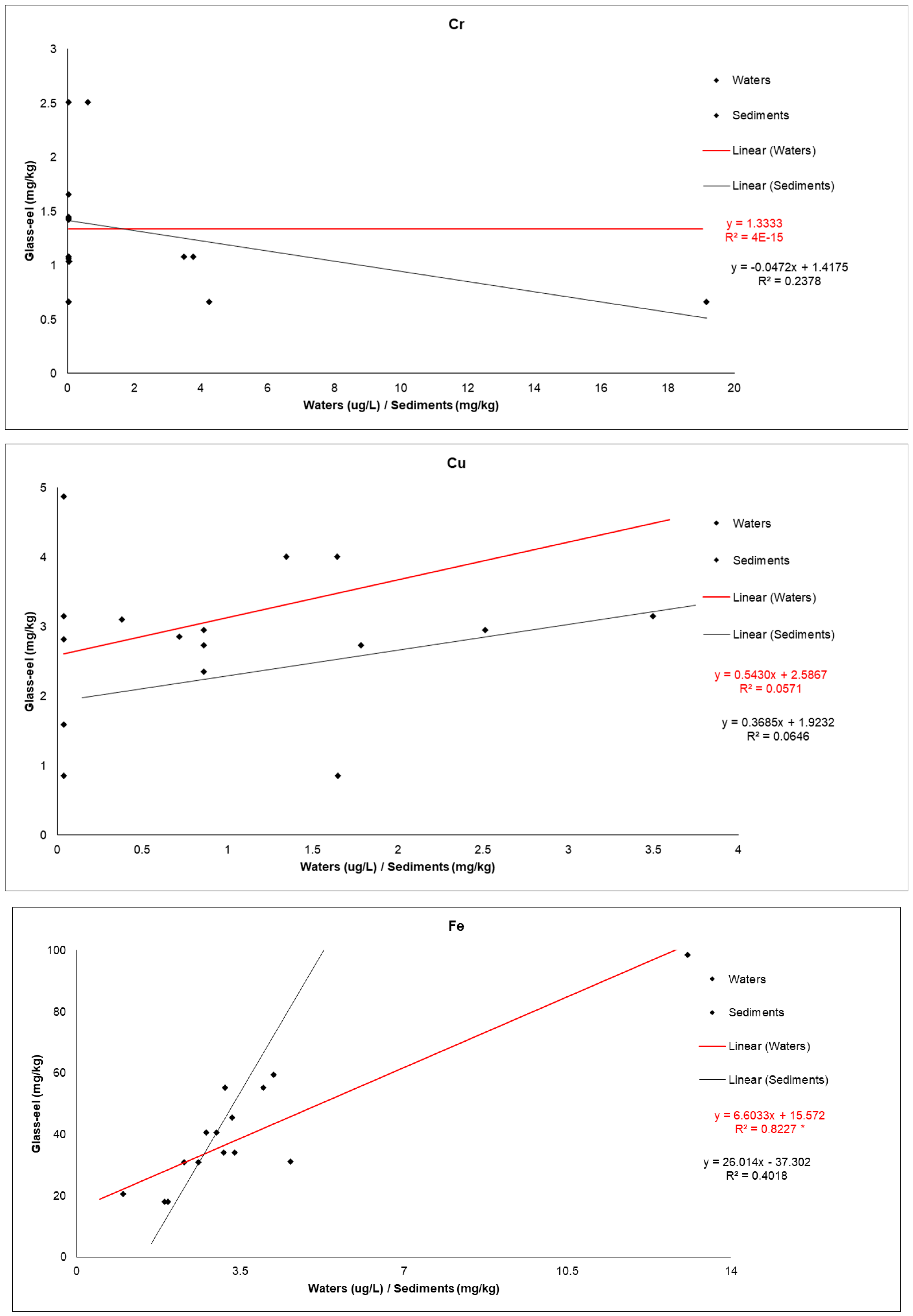
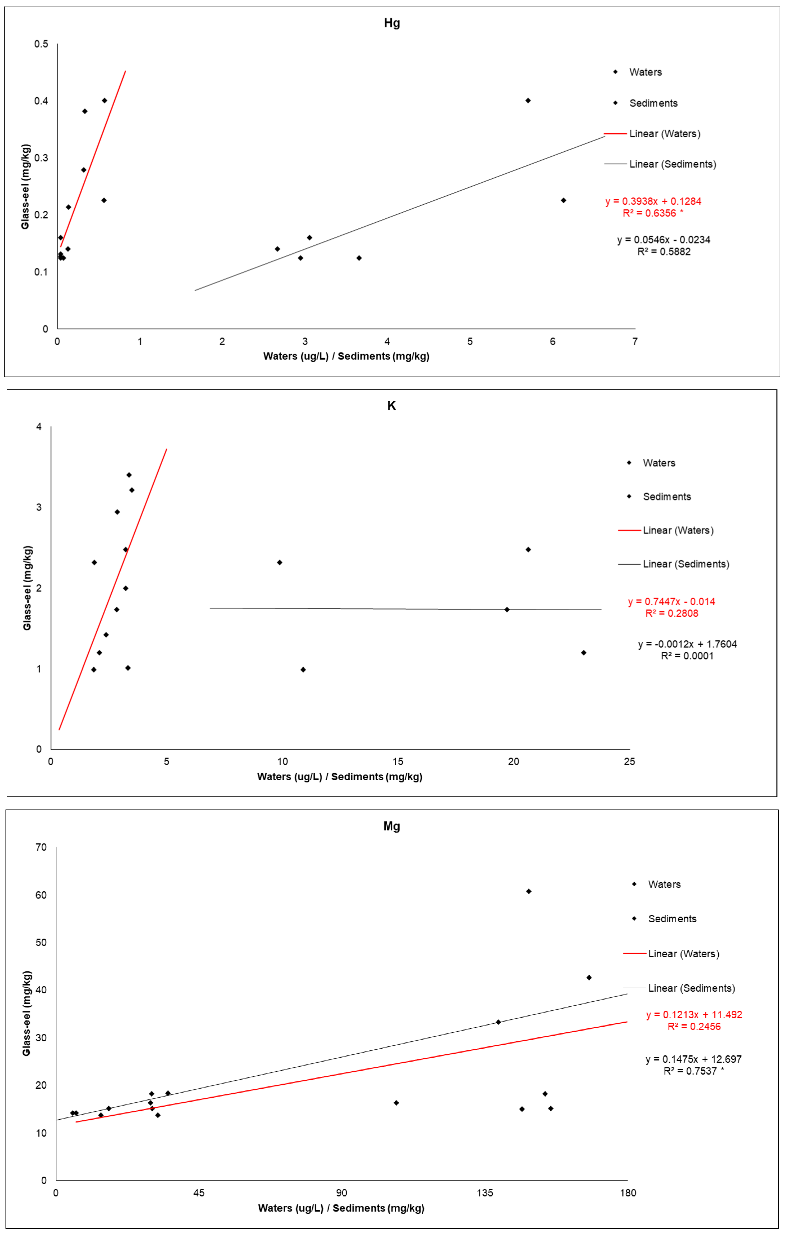
3.2. Metal Chemical Fingerprinting of Glass Eels
3.3. Assessment of Metabolome Chemical Profiles of Glass Eels
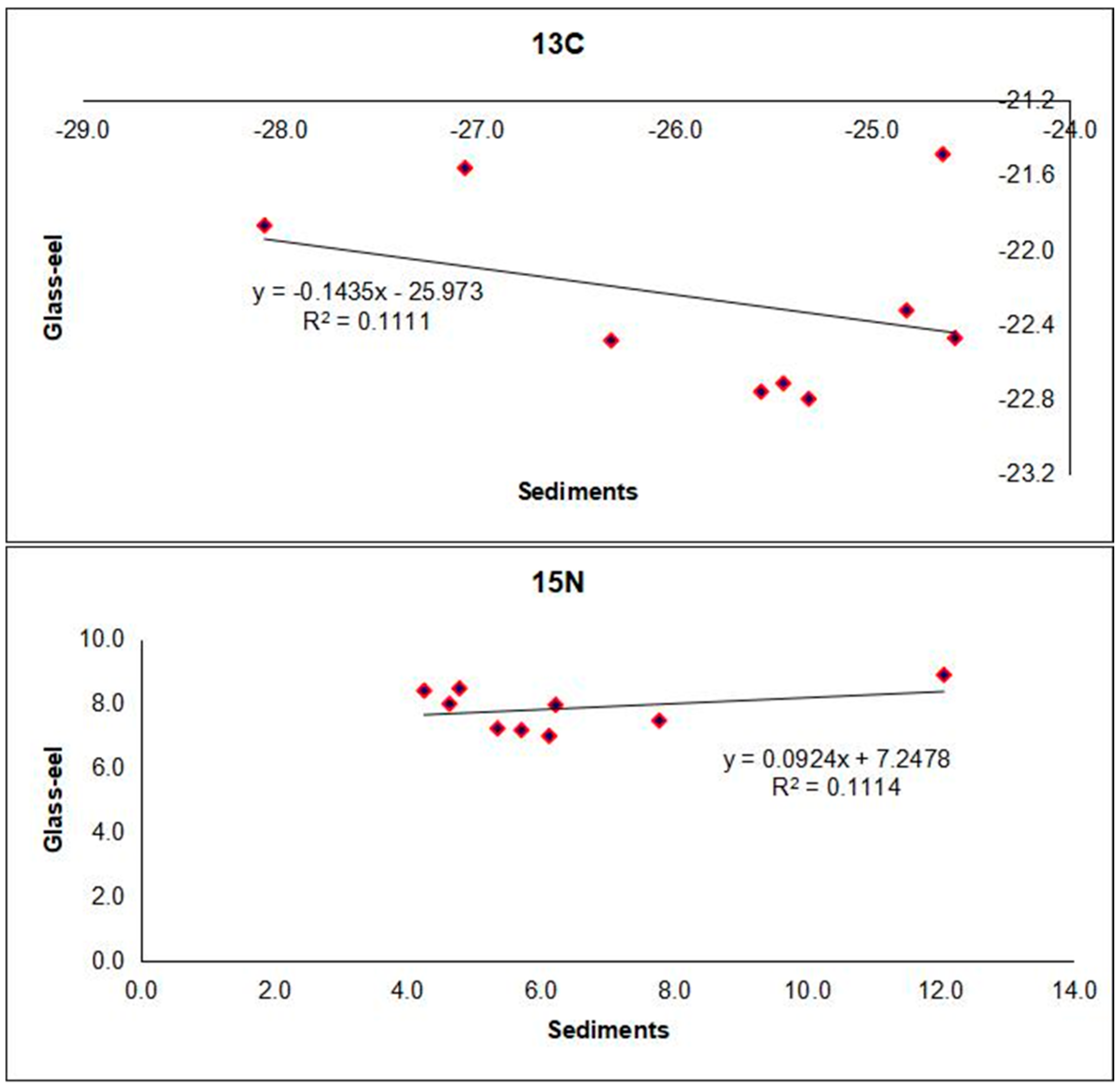
3.4. Assessment of Stable Isotopes Chemical Profiles
3.5. Assessment of Chemical Profiles of Captive Glass Eels
4. Conclusions
Supplementary Materials
Author Contributions
Funding
Institutional Review Board Statement
Informed Consent Statement
Data Availability Statement
Acknowledgments
Conflicts of Interest
References
- Kottelat, M.; Freyhof, J. Handbook of European Freshwater Fish; Publications Kottelat; Cornol and Freyhof: Berlin, Germany, 2007; Volume 642. [Google Scholar] [CrossRef]
- Maes, G.E.; Raeymaekers, J.A.M.; Pampoulie, C.; Seynaeve, A.; Goemans, G.; Belpaire, C.; Volckaert, F.A.M. The catadromous European eel Anguilla anguilla (L.) as a model for freshwater evolutionary ecotoxicology: Relationship between heavy metal bioaccumulation, condition and genetic variability. Aquat. Toxicol. 2005, 73, 99–114. [Google Scholar] [CrossRef] [PubMed]
- Tesch, F.W.; Thorpe, J.E. The Eel; Blackwell Science: Oxford, UK, 2003; Volume 15, ISBN 0-632-06389-0. [Google Scholar]
- Antunes, C. The seasonal occurrence of glass eels (Anguilla anguilla L.) in the Rio Minho between 1991 and 1993 (North of Portugal). Int. Rev. Ges. Hydrobiol. 1994, 79, 287–294. [Google Scholar] [CrossRef]
- ICES. Report of the Joint EIFAAC/ICES/GFCM Working Group on Eels (WGEEL); ICES: København, Denmark, 2023. [Google Scholar]
- ASAE. ASAE Makes the Largest Seizure of Elvers ever in Portugal and Dismantles Elver Trafficking Network. Public Communication of 10 October 2019; 2p. Available online: https://www.asae.gov.pt/espaco-publico/noticias/comunicados-de-imprensa/asae-faz-a-maior-apreensao-de-meixao-de-sempre-em-portugal-e-desmantela-rede-de-trafico-de-meixao-pdf.aspx (accessed on 10 September 2024).
- Baeta, F.; Pinheiro, A.; Corte-Real, M.; Costa, J.L.; Almeida, P.R.; Cabral, H.; Costa, M.J. Are the fisheries in the Tagus estuary sustainable? Fish. Res. 2005, 76, 243–251. [Google Scholar] [CrossRef]
- EEA. EU Open Data Portal—European Red List. Available online: https://www.eea.europa.eu/data-and-maps/data/european-red-lists-2/european-red-list (accessed on 10 September 2024).
- EUROPOL. Trafficking Threatens Eel Recovery. Public Press Release of 6 April 2018. Available online: https://www.sustainableeelgroup.org/wp-content/uploads/2018/04/SEG-Statement-Madrid-Conf-April-2018.pdf (accessed on 12 September 2024).
- EUROPOL. Environmental Crime in the Age of Climate Change. Available online: https://www.europol.europa.eu/cms/sites/default/files/documents/Environmental%20Crime%20in%20the%20Age%20of%20Climate%20Change%20-%20Public%20report_5.pdf (accessed on 12 September 2024).
- Pons-Hernandez, M. Missing the trees for the forest? An analysis oh the harms to European eels caused by their trafficking and trade. Crit. Criminol. 2024, 32, 77–95. [Google Scholar] [CrossRef]
- Zupicic, I.G.; Oraic, D.; Pavlinec, Z.; Novosel, D.; Zuvic, L.; Segvic-Bubic, T.; Zrncic, S. Is the illegal trade of glass eels (Anguilla anguilla) increasing the spread of disease? A case of EVEX. Microorganisms 2022, 10, 2208. [Google Scholar] [CrossRef]
- SEF. Quantifying the Illegal Trade in European Glass Eels (Anguilla anguilla): Evidences and Indicators. Sustainable Eel Group Report 2018-1-v15p. 2018. Available online: https://www.sustainableeelgroup.org/wp-content/uploads/2018/02/SEG-Report-2018-1-V1-1.pdf (accessed on 12 September 2024).
- ICES. Joint EIFAAC/ICES/GFCM Working Group on Eels (WGEEL); ICES Scientific Reports; ICES: København, Denmark, 2022; Volume 4, 297p. [Google Scholar] [CrossRef]
- Belpaire, C.; Goemans, G. The European eel Anguilla anguilla, a rapporteur of the chemical status for the water framework directive? Vie Milieu Life Environ. 2007, 57, 235–252. Available online: https://hal.sorbonne-universite.fr/hal-03234845/document (accessed on 12 September 2024).
- Boyd, C.E. Water Quality: An Introduction. Kluwer Academic Publishers, 2000. Available online: https://link.springer.com/book/10.1007/978-1-4615-4485-2 (accessed on 12 September 2024).
- Cavanna, D.; Righetti, L.; Elliott, C.; Suman, M. The scientific challenges in moving from targeted to non-targeted mass spectrometric methods for food fraud analysis: A proposed validation workflow to bring about a harmonized approach. Trends Food Sci. Technol. 2018, 80, 223–241. [Google Scholar] [CrossRef]
- Oliveira, E.J.V.M.O.; Sant’Ana, L.S.; Ducatti, C.; Denadai, J.C.; Kruliski, C.R.S. The use of stable isotopes for authentication of gadoid fish species. EU Food Res. Tec. 2011, 232, 97–101. [Google Scholar] [CrossRef]
- Gamboa-Delgado, J.; Molina-Poveda, C.; Godínez, D.; Villarreal-Cavazos, D.A. Application of stable isotope analysis to differentiate shrimp extracted by industrial fishing or produced through aquaculture practices. Can. J. Fish Aquat. Sci. 2014, 71, 1520–1528. [Google Scholar] [CrossRef]
- Turchini, M.T.; Quinn, G.P.; Jones, P.L.; Palmeri, G.; Gooley, G. Traceability and Discrimination among Differently Farmed Fish: A Case Study on Australian Murray Cod. J. Agric. Food Chem. 2009, 57, 274–281. [Google Scholar] [CrossRef] [PubMed]
- Weber, P.K.; Hutcheon, I.D.; McKeegan, K.D.; Ingram, B.L. Otolith sulfur isotope method to reconstruct salmon (Oncorhynchus tshawytscha) life history. Can. J. Fish Aquat. Sci. 2002, 59, 587–591. [Google Scholar] [CrossRef][Green Version]
- Li, L.; Boyd, C.E.; Sun, Z. Authentication of fishery and aquaculture products by multi-element and stable isotope analysis. Food Chemistry 2016, 194, 1238–1244. [Google Scholar] [CrossRef] [PubMed]
- Weber, M. Fishing method and seasonal occurrence of glass eels Anguilla anguilla (L.) in the Rio Minho, West Coast of the Iberian Peninsula. Vie Et Milieu 1986, 36, 243–250. [Google Scholar]
- Elie, P.; Lecomte-Finiger, R.; Cantrelle, I.; Charlon, N. Definition des limites des differents stades pigmentaires durant la phase civelle d’Anguilla anguilla L. (Poisson teléostéen anguilliforme). Vie Et Milieu 1982, 32, 149–157. [Google Scholar]
- Reis, P.A.; Salgado, M.A.; Vasconcelos, V. Goose barnacle Pollicipes pollicipes as biomonitor of metal contamination in the northwest coast of Portugal. Environ. Monit. Assess. 2012, 184, 6987–7000. [Google Scholar] [CrossRef]
- Reis, P.A.; Salgado, M.A.; Vasconcelos, V. Chthamalus montagui as biomonitor of metal contamination in the northwest coast of Portugal. Environ. Monit. Assess. 2012, 184, 5421–5437. [Google Scholar] [CrossRef] [PubMed]
- Dias, E.; Morais, P.; Cotter, M.; Antunes, C.; Hoffman, J.C. Estuarine consumers utilize marine, estuarine and terrestrial organic matter and provide connectivity among these food webs. Marine Ecol. Prog. Ser. 2016, 554, 21–34. [Google Scholar] [CrossRef]
- Lagarde, R.; Peyre, J.; Amilhat, E.; Bourrin, F.; Prellwitz, F.; Perrault, A.; Simon, G.; Faliex, E. Phenology and environmental drivers of glass eel entrance in a Mediterranean lagoon. ICES J. Mar. Sci. 2022, 79, 2107–2116. [Google Scholar] [CrossRef]
- Briand, C.; Fatin, D.; Lambert, P. Effects de la temperature et de la salinité sur le developpment de la pigmentation des civelles (Anguilla anguilla). Cybium 2004, 28, 247–254. [Google Scholar]
- Neto, A.F.; Costa, J.L.; Costa, M.J.; Pereira, M.E.; Duarte, A.C.; Caçador, I.; Domingos, I. Accumulation of metals in Anguilla anguilla from the Tagus estuary and relationship to environmental contamination. J. Appl. Ichthyol. 2011, 27, 1265–1271. [Google Scholar] [CrossRef]
- Neto, A.F.; Passos, D.; Costa, J.L.; Costa, M.J.; Caçador, I.; Pereira, M.E.; Duarte, A.C.; Pacheco, M.; Domingos, I. Metal concentrations in the liver on the European eel, Anguilla anguilla, in the estuaries and coastal lagoons from Portugal. Vie Et Millieu 2011, 61, 167–177. [Google Scholar]
- Clark, R.B. Marine Pollution, 5th ed.; Oxford University Press: New York, NY, USA, 2001. [Google Scholar]
- Bruslé, J. Effects of heavy metals on eels, Anguilla sp. Aquat. Living Resour. 1990, 3, 131–141. [Google Scholar] [CrossRef]
- APHA. Section: Metals; Method: 3010B—Introduction. In Standard Methods for the Examination of Water and Wastewater, 20th ed.; American Public Health Association: Washington, DC, USA, 1998. [Google Scholar]
- APHA. Section: Introdution; Method: 1030C—Data Quality. In Standard Methods for the Examination of Water and Wastewater, 20th ed.; American Public Health Association,: Washington, DC, USA, 1998. [Google Scholar]
- El Morhit, M.; Fekhaoui, M.; Élie, P.; Girard, P.; Yahyaoui, A.; El Abidi, A.; Jbilou, M. Heavy metals in sediment, water and the European glass eel, Anguilla anguilla (Osteichthyes: Anguillidae), from Loukkos River estuary (Morocco, eastern Atlantic). Cybium 2009, 33, 219–228. [Google Scholar]
- Amiard-Triquet, C.; Amiard, C.; Andersen, A.C.; Elie, P.; Metayer, C. The eel (Anguilla anguilla L.) as a bioindicator of metal pollution: Factors limiting its use. Wat. Sci. Tech. 1987, 19, 1229–1232. [Google Scholar] [CrossRef]
- Briand, C.; Fatin, D.; Cicotti, E.; Lambert, P. A stage-structured model to predict the effect of temperature and salinity on glass eel Anguilla anguilla pigmentation development. J. Fish Biol. 2005, 67, 993–1009. [Google Scholar] [CrossRef]
- Pang, Z.; Chong, J.; Zhou, G.; Morais, D.A.L.; Chang, L.; Barrette, M.; Gauthier, C.; Jacques, P.-E.; Li, S.; Xia, J. MetaboAnalyst 5.0: Narrowing the gap between raw spect ra and functional insights. Nucleic Acids Res. 2021, 49, W388–W396. [Google Scholar] [CrossRef] [PubMed]
- Arcagni, M.; Campbell, L.M.; Arribére, M.A.; Kyser, K.; Klassen, K.; Casaux, R.; Miserendino, M.L.; Guevara, S.R. Food web structure in a double-basin ultraoligotrophic lake in Northwest Patagonia, Argentina, using carbon and nitrogen stable isotopes. Limnologica 2013, 43, 131–142. [Google Scholar] [CrossRef]
- Suh, Y.J.; Shin, K.H. Size-related and seasonal diet of the manila clam (Ruditapes philippinarum), as determined using dual stable isotopes. Estuar. Coast. Shelf Sci. 2013, 135, 94–105. [Google Scholar] [CrossRef]
- Zhao, J.; Li, A.; Jin, X.; Liang, G.; Pan, L. Discrimination of geographical origin of agricultural products from small-scale districts by widely targeted metabolomics with a case study on Pinggu peache. Front. Nutr. 2022, 9, 891302. [Google Scholar] [CrossRef]
- Camin, F.; Perini, M.; Bontempo, L.; Galeotti, M.; Tibaldi, E.; Piasentier, E. Stable isotope ratios of H, C, O, N and S for the geographical traceability of Italian rainbow trout (Oncorhynchus mykiss). Food Chem. 2018, 267, 288–295. [Google Scholar] [CrossRef] [PubMed]
- Chung, I.-M.; Kim, J.-K.; Lee, K.-J.; Park, S.-K.; Lee, J.-H.; Son, N.-Y.; Jin, Y.-I.; Kim, S.-H. Geographic authentication of Asian rice (Oryza sativa L.) using multi-elemental and stable isotopic data combined with multivariate analysis. Food Chem. 2018, 240, 840–849. [Google Scholar] [CrossRef] [PubMed]
- Ni, K.; Wang, J.; Zhang, Q.; Yi, X.; Ma, L.; Shi, Y.; Ruan, J. Multi-element composition and isotopic signatures for the geographical origin discrimination of green tea in China: A case study of Xihu Longjing. J. Food Compos. Anal. 2018, 67, 104–109. [Google Scholar] [CrossRef]













Disclaimer/Publisher’s Note: The statements, opinions and data contained in all publications are solely those of the individual author(s) and contributor(s) and not of MDPI and/or the editor(s). MDPI and/or the editor(s) disclaim responsibility for any injury to people or property resulting from any ideas, methods, instructions or products referred to in the content. |
© 2024 by the authors. Licensee MDPI, Basel, Switzerland. This article is an open access article distributed under the terms and conditions of the Creative Commons Attribution (CC BY) license (https://creativecommons.org/licenses/by/4.0/).
Share and Cite
Reis, P.; Fernandes, M.; Pereira, L.; Antunes, C. Are Chemicals a Useful Tool for Glass Eel Traceability? Fishes 2025, 10, 7. https://doi.org/10.3390/fishes10010007
Reis P, Fernandes M, Pereira L, Antunes C. Are Chemicals a Useful Tool for Glass Eel Traceability? Fishes. 2025; 10(1):7. https://doi.org/10.3390/fishes10010007
Chicago/Turabian StyleReis, Pedro, Mafalda Fernandes, Luís Pereira, and Carlos Antunes. 2025. "Are Chemicals a Useful Tool for Glass Eel Traceability?" Fishes 10, no. 1: 7. https://doi.org/10.3390/fishes10010007
APA StyleReis, P., Fernandes, M., Pereira, L., & Antunes, C. (2025). Are Chemicals a Useful Tool for Glass Eel Traceability? Fishes, 10(1), 7. https://doi.org/10.3390/fishes10010007

