Identification of Internal Short-Circuit Faults in Lithium-Ion Batteries Based on a Multi-Machine Learning Fusion
Abstract
1. Introduction
- (1)
- The voltage curve is normalized and directly inputted into the neural network model without complicated data feature extraction.
- (2)
- Using simulation data in the ResNet model to learn the complex mapping relationship between the voltage curve and the degree of ISC faults, the problem of less actual battery failure data is effectively solved.
- (3)
- Based on the transfer learning method, part of the ResNet neural network layer is frozen, and part of the battery experimental data is inputted into the pretraining model for parameter fine-tuning to establish a multi-machine learning fusion model to identify the ISC faults of the target battery in advance.
2. Learning Data Acquisition of Experiments and Simulation
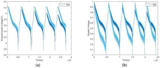
2.1. ISC Fault Experiments
2.2. ISC Fault Simulation Model with the Battery Pack
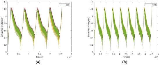
2.3. Simulation Results of ISC Fault Model
3. Methodology
3.1. ISC Fault Diagnosis Construction of ResNet-CNN Model
3.2. Multi-Machine Learning Fusion Method for ISC Fault Identification
4. Results and Discussion
4.1. Identification Results of ResNet-CNN Model
4.2. Identification Results Based on Multiple Machine Learning Models
5. Conclusions
Author Contributions
Funding
Data Availability Statement
Acknowledgments
Conflicts of Interest
Abbreviations
| ISC | Internal short circuit |
| LIBs | lithium-ion batteries |
| CNN | Convolutional neural network |
| BMS | Battery management system |
| RCC | Remaining charge capacity |
| KPCA | Kernel principal component analysis |
| ECM | Equivalent circuit model |
| RCC | Remaining charge capacity |
| Bi-LSTM | Bi-directional long- and short-term memory network |
| SVM | Support vector machine |
| SOC | State of charge |
| OCV | Open-circuit voltage |
| PSO | Particle swarm optimization algorithm |
| NEDC | New European Driving Cycle |
References
- Ren, D.; Liu, X.; Feng, X.; Lu, L.; Ouyang, M.; Li, J.; He, X. Model-based thermal runaway prediction of lithium-ion batteries from kinetics analysis of cell components. Appl. Energ. 2018, 228, 633–644. [Google Scholar] [CrossRef]
- Coman, P.T.; Darcy, E.C.; Veje, C.T.; White, R.E. Numerical analysis of heat propagation in a battery pack using a novel technology for triggering thermal runaway. Appl. Energ. 2017, 203, 189–200. [Google Scholar] [CrossRef]
- Sun, T.; Shen, T.; Zheng, Y.; Ren, D.; Zhu, W.; Li, J.; Wang, Y.; Kuang, K.; Rui, X.; Wang, S.; et al. Modeling the inhomogeneous lithium plating in lithium-ion batteries induced by non-uniform temperature distribution. Electrochim. Acta 2022, 425, 140701. [Google Scholar] [CrossRef]
- Cai, T.; Valecha, P.; Tran, V.; Engle, B.; Stefanopoulou, A.; Siegel, J. Detection of Li-ion battery failure and venting with Carbon Dioxide sensors. eTransportation 2021, 7, 100100. [Google Scholar] [CrossRef]
- Yin, H.; Ma, S.; Li, H.; Wen, G.; Santhanagopalan, S.; Zhang, C. Modeling strategy for progressive failure prediction in lithium-ion batteries under mechanical abuse. eTransportation 2021, 7, 100098. [Google Scholar] [CrossRef]
- Hu, G.; Huang, P.; Bai, Z.; Wang, Q.; Qi, K. Comprehensively analysis the failure evolution and safety evaluation of automotive lithium ion battery. eTransportation 2021, 10, 100140. [Google Scholar] [CrossRef]
- Lai, X.; Jin, C.; Yi, W.; Han, X.; Feng, X.; Zheng, Y.; Ouyang, M. Mechanism, modeling, detection, and prevention of the internal short circuit in lithium-ion batteries: Recent advances and perspectives. Energ. Storage Mater. 2021, 35, 470–499. [Google Scholar] [CrossRef]
- Ouyang, M.; Zhang, M.; Feng, X.; Lu, L.; Li, J.; He, X.; Zheng, Y. Internal short circuit detection for battery pack using equivalent parameter and consistency method. J. Power Sources 2015, 294, 272–283. [Google Scholar] [CrossRef]
- Feng, X.; Weng, C.; Ouyang, M.; Sun, J. Online internal short circuit detection for a large format lithium ion battery. Appl. Energ. 2016, 161, 168–180. [Google Scholar] [CrossRef]
- Feng, X.; Pan, Y.; He, X.; Wang, L.; Ouyang, M. Detecting the internal short circuit in large-format lithium-ion battery using model-based fault-diagnosis algorithm. J. Energ. Storage 2018, 18, 26–39. [Google Scholar] [CrossRef]
- Kang, Y.; Duan, B.; Zhou, Z.; Shang, Y.; Zhang, C. A multi-fault diagnostic method based on an interleaved voltage measurement topology for series connected battery packs. J. Power Sources 2019, 417, 132–144. [Google Scholar] [CrossRef]
- Pan, Y.; Feng, X.; Zhang, M.; Han, X.; Lu, L.; Ouyang, M. Internal short circuit detection for lithium-ion battery pack with parallel-series hybrid connections. J. Clean. Prod. 2020, 255, 120277. [Google Scholar] [CrossRef]
- Schmid, M.; Kleiner, J.; Endisch, C. Early detection of Internal Short Circuits in series-connected battery packs based on nonlinear process monitoring. J. Energ. Storage 2022, 48, 103732. [Google Scholar] [CrossRef]
- Xu, C.; Li, L.; Xu, Y.; Han, X.; Zheng, Y. A vehicle-cloud collaborative method for multi-type fault diagnosis of lithium-ion batteries. eTransportation 2022, 12, 100172. [Google Scholar] [CrossRef]
- Lu, Y.; Li, K.; Han, X.; Feng, X.; Chu, Z.; Lu, L.; Huang, P.; Zhang, Z.; Zhang, Y.; Yin, F.; et al. A method of cell-to-cell variation evaluation for battery packs in electric vehicles with charging cloud data. eTransportation 2020, 6, 100077. [Google Scholar] [CrossRef]
- Hong, J.; Wang, Z.; Yao, Y. Fault prognosis of battery system based on accurate voltage abnormity prognosis using long short-term memory neural networks. Appl. Energ. 2019, 251, 113381. [Google Scholar] [CrossRef]
- Kong, X.; Zheng, Y.; Ouyang, M.; Lu, L.; Li, J.; Zhang, Z. Fault diagnosis and quantitative analysis of micro-short circuits for lithium-ion batteries in battery packs. J. Power Sources 2018, 395, 358–368. [Google Scholar] [CrossRef]
- Zheng, Y.; Shen, A.; Han, X.; Ouyang, M. Quantitative short circuit identification for single lithium-ion cell applications based on charge and discharge capacity estimation. J. Power Sources 2022, 517, 230716. [Google Scholar] [CrossRef]
- Sun, T.; Wang, S.; Jiang, S.; Xu, B.; Han, X.; Lai, X.; Zheng, Y. A cloud-edge collaborative strategy for capacity prognostic of lithium-ion batteries based on dynamic weight allocation and machine learning. Energy 2022, 239, 122185. [Google Scholar] [CrossRef]
- Sun, T.; Xu, B.; Cui, Y.; Feng, X.; Han, X.; Zheng, Y. A sequential capacity estimation for the lithium-ion batteries combining incremental capacity curve and discrete Arrhenius fading model. J. Power Sources 2021, 484, 229248. [Google Scholar] [CrossRef]
- Qiao, D.; Wang, X.; Lai, X.; Zheng, Y.; Wei, X.; Dai, H. Online quantitative diagnosis of internal short circuit for lithium-ion batteries using incremental capacity method. Energy 2022, 243, 123082. [Google Scholar] [CrossRef]
- Jiang, J.; Li, T.; Chang, C.; Yang, C.; Liao, L. Fault diagnosis method for lithium-ion batteries in electric vehicles based on isolated forest algorithm. J. Energ. Storage 2022, 50, 104177. [Google Scholar] [CrossRef]
- Yang, H.; Wang, P.; An, Y.; Shi, C.; Sun, X.; Wang, K.; Zhang, X.; Wei, T.; Ma, Y. Remaining useful life prediction based on denoising technique and deep neural network for lithium-ion capacitors. eTransportation 2020, 5, 100078. [Google Scholar] [CrossRef]
- Yao, L.; Fang, Z.; Xiao, Y.; Hou, J.; Fu, Z. An Intelligent Fault Diagnosis Method for Lithium Battery Systems Based on Grid Search Support Vector Machine. Energy 2021, 214, 118866. [Google Scholar] [CrossRef]
- Naha, A.; Khandelwal, A.; Agarwal, S.; Tagade, P.; Hariharan, K.S.; Kaushik, A.; Yadu, A.; Kolake, S.M.; Han, S.; Oh, B. Internal short circuit detection in Li-ion batteries using supervised machine learning. Sci. Rep. 2020, 10, 1–10. [Google Scholar] [CrossRef]
- Li, D.; Zhang, Z.S.; Liu, P.; Wang, Z.P.; Zhang, L. Battery Fault Diagnosis for Electric Vehicles Based on Voltage Abnormality by Combining the Long Short-Term Memory Neural Network and the Equivalent Circuit Model. IEEE Trans. Power Electron. 2021, 36, 1303–1315. [Google Scholar] [CrossRef]
- Jia, Y.; Li, J.; Yao, W.; Li, Y.; Xu, J. Precise and fast safety risk classification of lithium-ion batteries based on machine learning methodology. J. Power Sources 2022, 548, 232064. [Google Scholar] [CrossRef]
- Xie, J.; Zhang, L.; Yao, T.; Li, Z. Quantitative diagnosis of internal short circuit for cylindrical li-ion batteries based on multiclass relevance vector machine. J. Energ. Storage 2020, 32, 101957. [Google Scholar] [CrossRef]
- Kaiming, H.; Xiangyu, Z.; Shaoqing, R.; Jian, S. Deep residual learning for image recognition. arXiv 2015, arXiv:1512.03385. [Google Scholar]
- Paszke, A.; Gross, S.; Massa, F.; Lerer, A.; Bradbury, J.; Chanan, G.; Killeen, T.; Lin, Z.; Gimelshein, N.; Antiga, L.; et al. Pytorch: An imperative style, high-performance deep learning library. Adv. Neural Inf. Process. Syst. 2019, 32, 1–12. [Google Scholar]












| Projects | Square-Shell Battery |
|---|---|
| Positive and negative electrode materials | NCM/C |
| Capacity (Ah) | 100 |
| Voltage (V) | 3.7 |
| Charge/discharge cutoff voltage (V) | 4.25/2.75 |
| Size (mm) | 148 × 95 × 50 |
| ISC Resistance Value (Ω) | ISC Fault Level |
|---|---|
| 1–30 | I |
| 31–80 | II |
| 81–150 | III |
| 151–300 | IV |
| Training Set | Test Set | |
|---|---|---|
| Normal cell module unit | 9 | 3 |
| ISC cell module unit | 32 | 8 |
| Data Source | Class | Training Set | Test Set |
|---|---|---|---|
| Source domain | Normal | 9 | 3 |
| Fault | 32 | 8 | |
| Target domain | Normal | 2 | 3 |
| Fault | 0 | 1 |
Disclaimer/Publisher’s Note: The statements, opinions and data contained in all publications are solely those of the individual author(s) and contributor(s) and not of MDPI and/or the editor(s). MDPI and/or the editor(s) disclaim responsibility for any injury to people or property resulting from any ideas, methods, instructions or products referred to in the content. |
© 2023 by the authors. Licensee MDPI, Basel, Switzerland. This article is an open access article distributed under the terms and conditions of the Creative Commons Attribution (CC BY) license (https://creativecommons.org/licenses/by/4.0/).
Share and Cite
Zhu, G.; Sun, T.; Xu, Y.; Zheng, Y.; Zhou, L. Identification of Internal Short-Circuit Faults in Lithium-Ion Batteries Based on a Multi-Machine Learning Fusion. Batteries 2023, 9, 154. https://doi.org/10.3390/batteries9030154
Zhu G, Sun T, Xu Y, Zheng Y, Zhou L. Identification of Internal Short-Circuit Faults in Lithium-Ion Batteries Based on a Multi-Machine Learning Fusion. Batteries. 2023; 9(3):154. https://doi.org/10.3390/batteries9030154
Chicago/Turabian StyleZhu, Guangying, Tao Sun, Yuwen Xu, Yuejiu Zheng, and Long Zhou. 2023. "Identification of Internal Short-Circuit Faults in Lithium-Ion Batteries Based on a Multi-Machine Learning Fusion" Batteries 9, no. 3: 154. https://doi.org/10.3390/batteries9030154
APA StyleZhu, G., Sun, T., Xu, Y., Zheng, Y., & Zhou, L. (2023). Identification of Internal Short-Circuit Faults in Lithium-Ion Batteries Based on a Multi-Machine Learning Fusion. Batteries, 9(3), 154. https://doi.org/10.3390/batteries9030154

