Processing of Aqueous Graphite–Silicon Oxide Slurries and Its Impact on Rheology, Coating Behavior, Microstructure, and Cell Performance
Abstract
:1. Introduction
2. Materials and Methods
2.1. Mixing Setup
2.2. Slurry Mixing
2.3. Treatment of Slurry
2.4. Energy Input
2.5. Rheology and Coating
2.6. Coating Experiment
2.7. Manufacturing of Electrodes
2.8. Morphology
2.9. Resistivity Measurement
2.10. Peet Test
2.11. Cell Manufacturing
2.12. Electrochemical Measurements
3. Results and Discussion
3.1. Energy Input
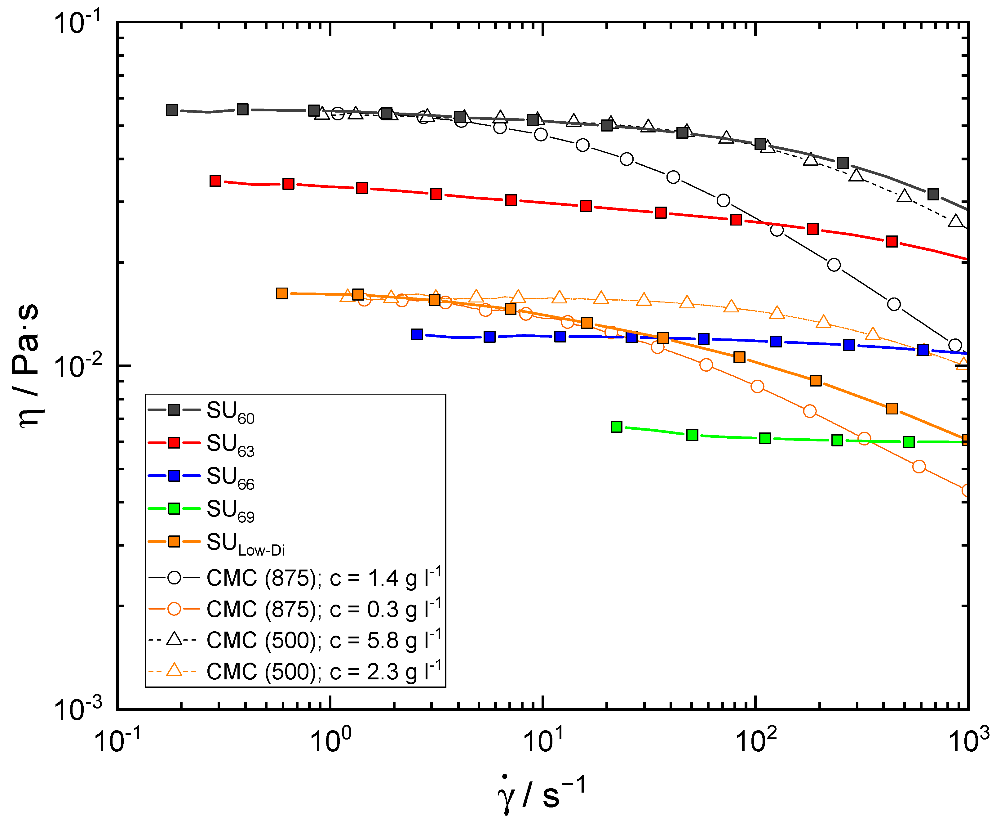
3.2. Flow Behavior
3.3. Coating
3.4. Electrode Microstructure
3.5. Cell
4. Conclusions
Supplementary Materials
Author Contributions
Funding
Data Availability Statement
Acknowledgments
Conflicts of Interest
References
- Liu, Y.; Zhang, R.; Wang, J.; Wang, Y. Current and future lithium-ion battery manufacturing. iScience 2021, 24, 102332. [Google Scholar] [CrossRef] [PubMed]
- Bauer, W.; Nötzel, D.; Wenzel, V.; Nirschl, H. Influence of dry mixing and distribution of conductive additives in cathodes for lithium ion batteries. J. Power Sourc. 2015, 288, 359–367. [Google Scholar] [CrossRef]
- Bitsch, B.; Willenbacher, N.; Wenzel, V.; Schmelzle, S.; Nirschl, H. Einflüsse der mechanischen Verfahrenstechnik auf die Herstellung von Elektroden für Lithium-Ionen-Batterien. Chem. Ing. Tech. 2015, 87, 1–10. [Google Scholar] [CrossRef]
- Liu, D.; Chen, L.-C.; Liu, T.-J.; Fan, T.; Tsou, E.-Y.; Tiu, C. An Effective Mixing for Lithium Ion Battery Slurries. Adv. Chem. Eng. Sci. 2014, 4, 515–528. [Google Scholar] [CrossRef]
- Nakajima, H.; Kitahara, T.; Higashinaka, Y.; Nagata, Y. Effect of Electrode Mixing Conditions on the Performance of Lithium-Ion Batteries Analyzed by Fast Fourier Transform Electrochemical Impedance Spectroscopy. ECS Trans. 2015, 64, 87–95. [Google Scholar] [CrossRef]
- Wang, M.; Dang, D.; Meyer, A.; Arsenault, R.; Cheng, Y.-T. Effects of the Mixing Sequence on Making Lithium Ion Battery Electrodes. J. Electrochem. Soc. 2020, 167, 100518. [Google Scholar] [CrossRef]
- Kwade, A.; Haselrieder, W.; Leithoff, R.; Modlinger, A.; Dietrich, F.; Droeder, K. Current status and challenges for auto-motive battery production technologies. Nat. Energy 2018, 3, 290–300. [Google Scholar] [CrossRef]
- Hawley, W.B.; Li, J. Electrode manufacturing for lithium-ion batteries—Analysis of current and next generation processing. J. Energy Storage 2019, 25, 100862. [Google Scholar] [CrossRef]
- Nitta, N.; Wu, F.; Lee, J.T.; Yushin, G. Li-ion battery materials: Present and future. Mater. Today 2015, 18, 252–264. [Google Scholar] [CrossRef]
- Chartrel, T.; Ndour, M.; Bonnet, V.; Cavalaglio, S.; Aymard, L.; Dolhem, F.; Monconduit, L.; Bonnet, J.-P. Revisiting and improving the preparation of silicon-based electrodes for lithium-ion batteries: Ball milling impact on poly(acrylic acid) polymer binders. Mater. Chem. Front. 2019, 3, 881–891. [Google Scholar] [CrossRef]
- Mishra, A.; Mehta, A.; Basu, S.; Malode, S.; Shetti, N.; Shukla, S.; Nadagouda, M.; Aminabhavi, T. Electrode materials for lithium-ion batteries. Mater. Sci. Energy Technol. 2018, 1, 182–187. [Google Scholar] [CrossRef]
- Placke, T.; Kloepsch, R.; Dühnen, S.; Winter, M. Lithium ion, lithium metal, and alternative rechargeable battery tech-nologies: The odyssey for high energy density. J. Solid State Electrochem. 2017, 21, 1939–1964. [Google Scholar] [CrossRef]
- Heubner, C.; Liebmann, T.; Lohrberg, O.; Cangaz, S.; Maletti, S.; Michaelis, A. Understanding Component-Specific Con-tributions and Internal Dynamics in Silicon/Graphite Blended Electrodes for High-Energy Lithium-Ion Batteries. Batter. Supercaps 2022, 5, e202100182. [Google Scholar] [CrossRef]
- Choi, J.W.; Aurbach, D. Promise and reality of post-lithium-ion batteries with high energy densities. Nat. Rev. Mater. 2016, 1, 16013. [Google Scholar] [CrossRef]
- Wu, H.; Chan, G.; Choi, J.W.; Yao, Y.; McDowell, M.T.; Lee, S.W.; Jackson, A.; Yang, Y.; Hu, L.; Cui, Y. Stable cycling of double-walled silicon nanotube battery anodes through solid-electrolyte interphase control. Nat. Nanotechnol. 2012, 7, 310–315. [Google Scholar] [CrossRef] [PubMed]
- Zhang, Q.; Yu, Z.; Du, P.; Su, C. Carbon Nanomaterials Used as Conductive Additives in Lithium Ion Batteries. Recent Patents Nanotechnol. 2010, 4, 100–110. [Google Scholar] [CrossRef] [PubMed]
- Drews, M.; Tepner, S.; Haberzettl, P.; Gentischer, H.; Beichel, W.; Breitwieser, M.; Vierrath, S.; Biro, D. Towards 3D-lithium ion microbatteries based on silicon/graphite blend anodes using a dispenser printing technique. RSC Adv. 2020, 10, 22440–22448. [Google Scholar] [CrossRef]
- Liu, W.-R.; Yang, M.-H.; Wu, H.-C.; Chiao, S.M.; Wu, N.-L. Enhanced Cycle Life of Si Anode for Li-Ion Batteries by Using Modified Elastomeric Binder. Electrochem. Solid State Lett. 2005, 8, A100–A103. [Google Scholar] [CrossRef]
- Akbar, A.; Lestari, Y.; Ramadhan, G.; Candra, S.; Sugiarti, E. The Influence of Carboxy Methyl Cellulose (CMC) and So-lution pH on Carbon Fiber Dispersion in White Cement Matrix. AMM 2014, 493, 661–665. [Google Scholar] [CrossRef]
- Lee, J.-H.; Paik, U.; Hackley, V.A.; Choi, Y.-M. Effect of Carboxymethyl Cellulose on Aqueous Processing of Natural Graphite Negative Electrodes and their Electrochemical Performance for Lithium Batteries. J. Electrochem. Soc. 2005, 152, A1763–A1769. [Google Scholar] [CrossRef]
- Lingappan, N.; Kong, L.; Pecht, M. The significance of aqueous binders in lithium-ion batteries. Renew. Sustain. Energy Rev. 2021, 147, 111227. [Google Scholar] [CrossRef]
- Wood, D.L., III; Li, J.; Daniel, C. Prospects for reducing the processing cost of lithium ion batteries. J. Power Sources 2015, 275, 234–242. [Google Scholar] [CrossRef]
- Wenzel, V.; Nirschl, H.; Nötzel, D. Challenges in Lithium-Ion-Battery Slurry Preparation and Potential of Modifying Electrode Structures by Different Mixing Processes. Energy Technol. 2015, 3, 692–698. [Google Scholar] [CrossRef]
- Ding, X.; Liu, J.; Harris, T.A.L. A review of the operating limits in slot die coating processes. AIChE J. 2016, 62, 2508–2524. [Google Scholar] [CrossRef]
- Li, C.-C.; Lin, Y.-S. Interactions between organic additives and active powders in water-based lithium iron phos-phate electrode slurries. J. Power Sources 2012, 220, 413–421. [Google Scholar] [CrossRef]
- Kim, K.; Jeon, W.; Chang, S. Effect of mixing sequences on the electrode characteristics of lithium-ion rechargeable batteries. J. Power Source 1999, 83, 108–113. [Google Scholar] [CrossRef]
- Shaibani, M.; Mirshekarloo, M.S.; Singh, R.; Easton, C.D.; Cooray, M.C.D.; Eshraghi, N.; Abendroth, T.; Dörfler, S.; Althues, H.; Kaskel, S.; et al. Expansion-tolerant architectures for stable cycling of ultrahigh-loading sulfur cathodes in lithium-sulfur batteries. Sci. Adv. 2020, 6, eaay2757. [Google Scholar] [CrossRef]
- Ruschak, K.J. Limiting flow in a pre-metered coating device. Chem. Eng. Sci. 1976, 31, 1057–1060. [Google Scholar] [CrossRef]
- Schmitt, M.; Baunach, M.; Wengeler, L.; Peters, K.; Junges, P.; Scharfer, P.; Schabel, W. Slot-die processing of lithium-ion battery electrodes—Coating window characterization. Chem. Eng. Process. Process. Intensif. 2013, 68, 32–37. [Google Scholar] [CrossRef]
- Kistler, S.; Schweizer, P. Liquid Film Coating; Springer: Dordrecht, The Netherlands, 2012. [Google Scholar]
- Pallas, N.; Harrison, Y. An automated drop shape apparatus and the surface tension of pure water. Colloids Surfaces 1990, 43, 169–194. [Google Scholar] [CrossRef]
- Mewis, J.; Wagner, N. Colloidal Suspension Rheology; Cambridge University Press: Cambridge, MA, USA, 2011. [Google Scholar]
- Electrode Resistance Measurement System RM2610, Hioki. Available online: https://www.hioki.com/euro-en/products/resistance-meters/resistance/id_6740 (accessed on 9 July 2023).
- Grießl, D.; Adam, A.; Huber, K.; Kwade, A. Effect of the Slurry Mixing Process on the Structural Properties of the Anode and the Resulting Fast-Charging Performance of the Lithium-Ion Battery Cell. J. Electrochem. Soc. 2022, 169, 020531. [Google Scholar] [CrossRef]
- Seidl, C.; Thieme, S.; Frey, M.; Nikolowski, K.; Michaelis, A. Comparison of Electronic Resistance Measurement Methods and Influencing Parameters for Lmfp and High-Nickel Ncm Cathodes; SSRN: Rochester, NY, USA, 2023. [Google Scholar]
- Pahl, M. Mischen und Rühren; Wiley-VCH: Weinheim, Germany, 2007. [Google Scholar]
- Gordon, R.; Orias, R.; Willenbacher, N. Effect of carboxymethyl cellulose on the flow behavior of lithium-ion battery an-ode slurries and the electrical as well as mechanical properties of corresponding dry layers. J. Mater. Sci. 2020, 55, 15867–15881. [Google Scholar] [CrossRef]
- Ndour, M.; Bonnet, J.-P.; Cavalaglio, S.; Lombard, T.; Courty, M.; Aymard, L.; Przybylski, C.; Bonnet, V. The formulation of a CMC binder/silicon composite anode for Li-ion batteries: From molecular effects of ball milling on polymer chains to consequences on electrochemical performances. Mater. Adv. 2022, 3, 8522–8533. [Google Scholar] [CrossRef]
- Soares, E.J. Review of mechanical degradation and de-aggregation of drag reducing polymers in turbulent flows. J. Non-Newton. Fluid Mech. 2020, 276, 104225. [Google Scholar] [CrossRef]
- Rubinstein, M.; Colby, R. Polymer Physics; Oxford University Press: Oxford, UK, 2014. [Google Scholar]
- Park, K.; Myeong, S.; Lee, D.; Yoo, H.E.; Kim, J.; Kim, C.; Kim, J.; Sun, S.; Kwon, J.; Kim, S.C.; et al. Improved Li-ion kinetics of the anode by kneading process of binder for lithium-ion batteries with high energy density. Electrochim. Acta 2023, 464, 142900. [Google Scholar] [CrossRef]
- Weber, M.; Moschner, R.; Kwade, A. Modifying the Network Structures of High Energy Anodes for Lithium-Ion Batter-ies through Intensive Dry Mixing. Energy Technol. 2022, 11, 2200852. [Google Scholar] [CrossRef]
- Park, J.; Willenbacher, N.; Ahn, K.H. How the interaction between styrene-butadiene-rubber (SBR) binder and a secondary fluid affects the rheology, microstructure and adhesive properties of capillary-suspension-type graphite slurries used for Li-ion battery anodes. Colloids Surf. Physicochem. Eng. Asp. 2019, 579, 123692. [Google Scholar] [CrossRef]











| Material | Gravimetric Content (NV)/wt% | Gravimetric Content (NV + V)/wt% |
|---|---|---|
| Graphite | 86.58 | 51.95 |
| SiOx | 9.62 | 5.77 |
| CB | 2.00 | 1.20 |
| CMC | 0.90 | 0.54 |
| SBR | 0.90 | 0.54 |
| Water | - | 40.00 |
| Specific Energy Input | |||||
|---|---|---|---|---|---|
| /Wh dm−3 | 29.1 | 45.0 | 59.0 | 85.9 | 11.5 |
| of step 3 (SBR)/Wh dm−3 | 3.0 | 4.1 | 7.7 | 31.9 | 0.6 |
Disclaimer/Publisher’s Note: The statements, opinions and data contained in all publications are solely those of the individual author(s) and contributor(s) and not of MDPI and/or the editor(s). MDPI and/or the editor(s) disclaim responsibility for any injury to people or property resulting from any ideas, methods, instructions or products referred to in the content. |
© 2023 by the authors. Licensee MDPI, Basel, Switzerland. This article is an open access article distributed under the terms and conditions of the Creative Commons Attribution (CC BY) license (https://creativecommons.org/licenses/by/4.0/).
Share and Cite
Haberzettl, P.; Filipovic, N.; Vrankovic, D.; Willenbacher, N. Processing of Aqueous Graphite–Silicon Oxide Slurries and Its Impact on Rheology, Coating Behavior, Microstructure, and Cell Performance. Batteries 2023, 9, 581. https://doi.org/10.3390/batteries9120581
Haberzettl P, Filipovic N, Vrankovic D, Willenbacher N. Processing of Aqueous Graphite–Silicon Oxide Slurries and Its Impact on Rheology, Coating Behavior, Microstructure, and Cell Performance. Batteries. 2023; 9(12):581. https://doi.org/10.3390/batteries9120581
Chicago/Turabian StyleHaberzettl, Peter, Nicholas Filipovic, Dragoljub Vrankovic, and Norbert Willenbacher. 2023. "Processing of Aqueous Graphite–Silicon Oxide Slurries and Its Impact on Rheology, Coating Behavior, Microstructure, and Cell Performance" Batteries 9, no. 12: 581. https://doi.org/10.3390/batteries9120581
APA StyleHaberzettl, P., Filipovic, N., Vrankovic, D., & Willenbacher, N. (2023). Processing of Aqueous Graphite–Silicon Oxide Slurries and Its Impact on Rheology, Coating Behavior, Microstructure, and Cell Performance. Batteries, 9(12), 581. https://doi.org/10.3390/batteries9120581

