Advanced Polymer Electrolytes in Solid-State Batteries
Abstract
1. Introduction
1.1. Overview and State of the Art
1.2. Structural Design and Operating Mechanisms of SSBs
- Thin-Film SSBs: Thin-film SSBs are ultra-thin, usually less than 15 µm in total thickness (Figure 2a). Such a design is highly advantageous for long-term stable cycling applications. In the thin architecture, the transport distance for Li+ is minimized, which is important because thin-film SSBs normally use SEs with relatively low ionic conductivity, such as LPO. In this configuration, lithium metal usually serves as the anode, while LiCoO2 is one of the typical cathode compositions. In the discharge process, the lithium ions from the anode traverse the thin LiPON layer to the cathode while the electrons pass through the outer circuit. The structure minimizes ion transport resistance and leads to stable cycling, though the low areal capacity limits energy output for larger applications.
- 3D SSBs: The 3D SSBs use an interconnected electrode/electrolyte structure that maximizes the surface area of ion transport, thus offering superior energy density and power. Lithium metal or its alloys are normally used as the anode materials in such configurations, with SEs based on garnets being rather popular due to their stability and ionic conductivity. Due to this 3D structure, ions can flow through higher surface areas for high discharge rates and rapid charging. During the discharge process, lithium ions will migrate across the 3D network of the SE from the anode to the cathode, and electrons will move externally, thereby achieving efficient energy release. However, because of the greater interfacial contact area and complex geometries, uniform and stable interfaces in the 3D architecture might not be so easily achieved (Figure 2b).
- Bulk-type SSBs: These involve thick electrodes, normally hundreds of microns, and these batteries are targeted for applications in which high energy density is required. Solid electrolytes with strong ionic conductivity are selected for this type of battery. Sulfide-based SEs such as lithium thiophosphate represent commonly used options due to their effectiveness in conducting lithium ions at ambient temperatures. The anode, in most cases, is lithium metal or lithium alloy. The cathode is manufactured from high-capacity materials such as NMC and LFP. The SE allows Li+ ions to pass between the thick layers of the anode and cathode during the discharging process, whereas electrons move through the external circuit. Compared with these, bulk SSBs possess higher energy density and longer cycle life. Still, the thick structure would be unfavorable for ionic transport efficiency, and thus, careful control of the interfacial contact and stability is required (Figure 2c) [49,50,51].
1.3. The Role of Electrolytes and the Importance of PEs
1.4. Challenges and Limitations
- Lower Ionic Conductivity: One of the most critical challenges regarding PEs in SSBs is that they present low ionic conductivity in principle, especially at room temperature. SPEs have the advantage of flexibility and processability, but their ionic conductivity, in the range between 10−5 and 10−6 S/cm, is much lower than that of liquid or ceramic electrolytes. This is a consequence of the slow ion transport in the polymer matrix, which is somewhat controlled by the segmental motion of the polymer chains. Enhancement of the ionic conductivity without lowering the mechanical or thermal properties of the electrolyte remains a challenge [17,75]. Emily S. Doyle et al. [76] reported that the ionic conductivity of the polymer electrolyte was significantly low at 1.55 × 10−11 S/cm before being enhanced to 2.26 × 10−5 S/cm at 60 °C by incorporating crosslinked poly(ethylene glycol) units within a perfluoropolyether matrix (Figure 4a).
- Poor Electrochemical Stability: The narrow electrochemical stability window of PEs also restricts their use in high-energy-density batteries. Since most PEs degrade at voltage levels higher than 4V, this results in parasitic reactions and leads to a high interfacial impedance between the electrolyte and electrodes. Such cathodes require improvement of the electrochemical stability window with current-limiting factors due to high working voltages, as used with nickel-rich layered oxides [77,78]. Xiaofei Yang et al. [79] herein report that PEO, the most commonly used SPE, suffers from limited ESW and cannot support voltages over 4 V. This has, in essence, been a significant barrier to its application in high-voltage SSLBs (Figure 4b).
- Dendrite Formation: Dendrite growth is a fatal risk point for LMBs. Over time, dendrite lithium deposits that form needle-like structures can breach the PE and create internal short circuits, which cause battery failure. However, the limited mechanical strength of PEs makes it challenging to inhibit the growth of dendrites during extended cycling. Technical aspects like these pose a strong impediment to polymer-based SSBs on a commercial scale [77]. Moreover, the mechanical properties of the materials influence the dendrite growth; for example, a material with a higher modulus of elasticity, such as LLZO or glass Li3PS4, reduces the formation, whereas that from lower-modulus polymers, such as PVDF-HFP, promotes the growth of dendrites [80]. Furthermore, the distribution of lithium dendrites inside the PEs is heterogeneous, with growth from both the plating and the stripping electrodes, which is paramount in devising effective mitigation strategies (Figure 4c) [81].
- Interfacial Stability: The formation of stable and low-resistance interfaces between PE and electrodes is required for high ion transport efficiency. Nevertheless, low interfacial adhesion or chemical incompatibility results in poor rate capability and cycling stability limited by higher interfacial resistance. In PEs, it is difficult to build stable SEIs at the lithium–metal interface, which inevitably leads to deteriorated long-term performance [82,83].
- Temperature Sensitivity: The performance of PEs is very dependent on temperature. However, they have poor ionic conductivities at lower temperatures, making them unsuitable for colder regions. By contrast, very high temperatures can enhance ionic conductivity, but at the expense of mechanical stability, because PEs can become soft or decompose. This poses a challenge in terms of maintaining good performance over a broad temperature range [84]. However, one of the PEs prepared by the method of in situ polymerization shows an ionic conductivity of 2.2 × 10−4 Scm−1 at −20 °C, which could work stably at such an ultralow temperature. Conversely, PEs are also subjected to shrinkage and deformation under high temperatures, probably due to the catastrophic failure of batteries. For example, adding ionic liquids and zeolites has improved room temperature ionic conductivity and thermal stability up to 300 °C [85].
- Strength and Durability: This can be an improvement, but, while PEs are already more flexible than ceramic electrolytes, many lack the mechanical strength necessary for robust use in a vehicle. Over time, this repeated cycling and mechanical stress causes the cells to crack or split, eventually leading to structure failure for the battery itself. To this end, efforts are ongoing to boost the mechanical properties of PEs further by constituting composites and incorporating them with inorganic fillers [86,87].
- Scalability and Manufacturing: PEs are easier to process than ceramics or sulfides overall, but there are numerous challenges in scaling their production while retaining quality and performance properties. PEs need to be synthesized to have good ionic conductivity and mechanical strength, which fundamentally depend on nano-structural control. The ability to produce defect-free PEs at scale via cost-effective manufacturing processes is required for the scalable commercialization of their use [88,89].

2. Characteristics of PEs
2.1. Performance Requirements
2.1.1. Ion Transfer Mechanism
2.1.2. Electrochemical Stability Window
2.1.3. Mechanical and Thermal Stability
3. Types of Polymers Used as Electrolytes
3.1. Solid Polymer Electrolytes
3.1.1. Dry Solid Polymer Electrolytes
3.1.2. Polymer-In-Salt Electrolytes
3.1.3. Single-Ion-Conducting Polymer Electrolytes
3.2. Gel Polymer Electrolytes
3.3. Composite Polymer Electrolytes
3.4. Sustainable and Environmentally Friendly Polymers
4. Synthesis and Performance of PEs
4.1. In Situ Polymerization
4.2. Graft Polymerization
4.3. Electrospinning Method
4.4. Sol–Gel Method
4.5. Crosslinking Polymerization
4.6. Block Copolymerization
5. PEs: Film Casting, Characterization Techniques, Modifications, and Battery Fabrication
5.1. Solution Casting Method
5.2. Hot Press (Extrusion) Technique
5.3. Characterization Techniques
5.4. Electrochemical Properties
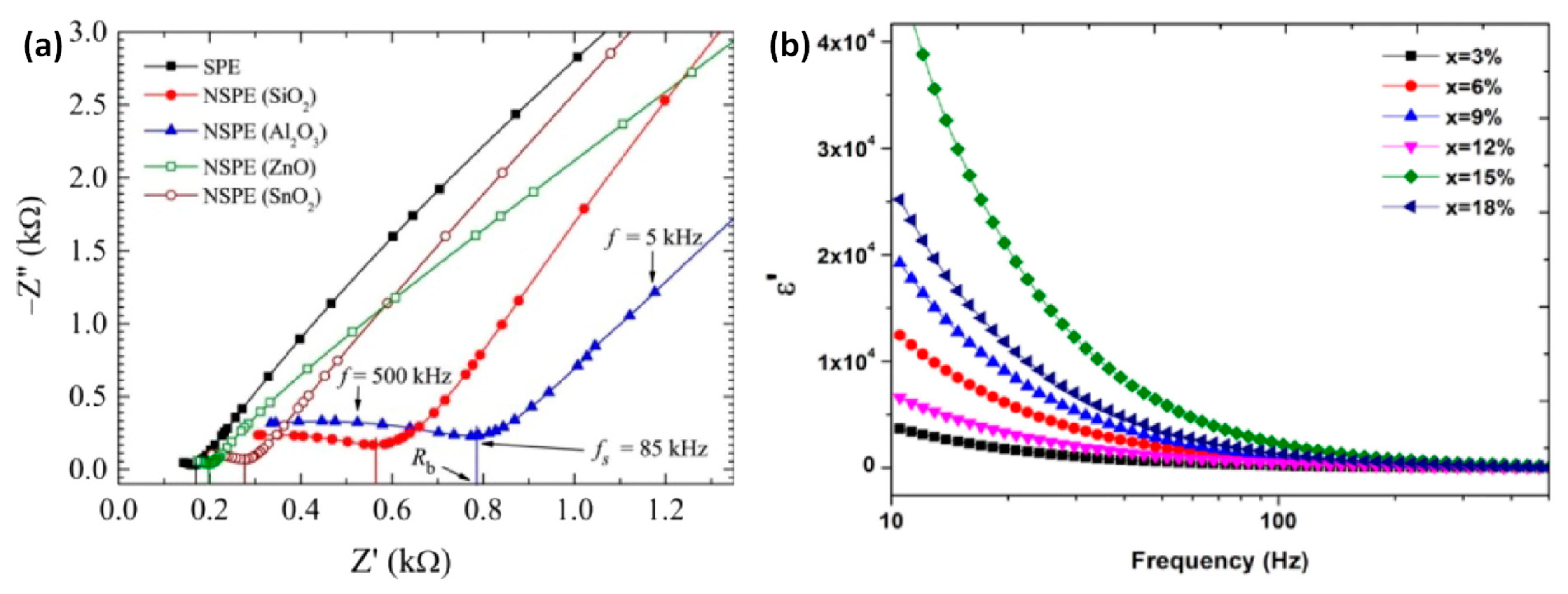
5.4.1. Impedance Spectroscopy
5.4.2. AC Conductivity
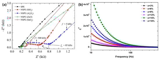
5.4.3. Dielectric Properties
5.5. Modifications of PEs
5.6. Battery Fabrication
6. Li-Ion Solvation and Desolvation of PEs
7. Potential Applications and Advances of PEs in Li-Based Batteries and Beyond
7.1. Lithium-Ion Polymer Batteries
7.2. Lithium-Ion Solid-State Batteries
7.3. Lithium–Sulfur Batteries
7.4. Lithium-Metal Batteries
7.5. “Beyond Li” Pes-Based Batteries
7.5.1. Sodium-Based Batteries
7.5.2. Potassium-Based Batteries
7.5.3. Zinc-Based Batteries
7.5.4. Aluminum-Based Batteries
8. Conclusions and Perspective
Author Contributions
Funding
Acknowledgments
Conflicts of Interest
Acronyms
| ABBs | Aluminum-based batteries |
| ACN | Acetonitrile |
| AMPS | 2-Acrylamido-2-methylpropanesulfonic acid |
| ASSBs | All-solid-state batteries |
| ASSLBs | All-solid-state lithium batteries |
| ASSLIBs | All-solid-state lithium-ion batteries |
| CPEs | Composite polymer electrolytes |
| DEBA | Diethylbenzylamine |
| DEC | Diethyl carbonate |
| DEGDA | Diethylene glycol diacrylate |
| DMAC | Dimethylacetamide |
| DMC | Dimethyl carbonate |
| DME | 1, 2-dimethoxyethane |
| DMF | Dimethylformamide |
| DMSO | Dimethyl Sulfoxide |
| DOL | 1,3-dioxolane |
| DSPEs | Dry solid polymer electrolytes |
| EC | Ethylene carbonate |
| EDT | 1,2-ethane dithiol |
| EGDMA | Ethylene glycol dimethacrylate |
| EMC | Ethyl methyl carbonate |
| ESW | Electrochemical stability window |
| FEC | Fluoroethylene carbonate |
| GPEs | Gel polymer electrolytes |
| HOMO | Highly occupied molecular orbitals |
| ILs | Ionic liquids |
| LATP | Lithium aluminum titanium phosphate |
| LEs | Liquid electrolytes |
| LFP | Lithium iron phosphate |
| LiBOB | Lithium bis(oxalate)borate |
| LIBs | Lithium-ion batteries |
| LiCTFPB | Lithium tetrakis(4-(chloromethyl)-2,3,5,6-tetrafluorophenyl)borate |
| LiDFOB | Lithium difluoroxalate borate |
| LiDMPA | Lithium dimethylol propionic acid |
| LiFSI | Lithium Bis(fluorosulfonyl)imide |
| LiODFB | Lithium difluoro(oxalato)borate |
| LIPBs | Lithium-ion polymer batteries |
| LiPCSI | Lithiated poly[(cyano)(4-styrenesulfonyl)imide |
| LiPhTFSI | Lithium phenylsulfonyl(trifluoromethanesulfonyl)imide |
| LiPON | Lithium phosphorus oxynitride |
| LISSBs | Lithium-ion solid-state batteries |
| LiTFSI | Lithium Bis(trifluoromethanesulfonyl)imide |
| LLTO | Lanthanum titanium oxide |
| LLZO | Lithium lanthanum zirconium oxide |
| LLZTO | lithium lanthanum zirconate |
| LMBs | Lithium metal batteries |
| LPEBs | Lithium-polymer electrolyte batteries |
| LPO | Lithium phosphate oxide |
| LSBs | Lithium–sulfur batteries |
| LUMO | Lower unoccupied molecular orbitals |
| MMA | Methyl methacrylate |
| NaFSI | Sodium bis(fluorosulfonyl)imide |
| NASICON | Sodium super ionic conductor |
| NMC | Nickel manganese cobalt oxide |
| NMP | N-Methyl-2-pyrrolidone |
| ODA | 4,4′-oxybisbenzenamine |
| P3HB-3HV | Poly(3-hydroxybutyrate-co-3-hydroxyvalerate) |
| PA6 | Polyamide 6 |
| PAM | Polyacrylamide |
| PAN | Polyacrylonitrile |
| PBBs | Potassium-based batteries |
| PBSEs | Polymer-based solid electrolytes |
| PCL | Poly(ε-caprolactone) |
| PEG | Poly(ethylene glycol) |
| PEG, α-CD | Polyethylene glycol, α-Cyclodextrin |
| PEGDA | Poly(ethylene glycol) Diacrylate |
| PEGDE | Poly(ethylene glycol) Diacrylate |
| PEGDME | Poly(ethylene glycol) dimethyl ether |
| PEGM | Poly(ethylene glycol) methyl ether |
| PEGMA | Poly(ethylene glycol)methyl ether methacrylate |
| PEGMEA | Poly(ethylene glycol)methyl ether acrylate |
| PEO | Poly(ethylene oxide) |
| PEs | Polymer electrolytes |
| PISEs | Polymer-in-salt electrolytes |
| PliSS | Poly(lithium 4-styrene sulfonate) |
| PLiSSPSI | Poly(lithium (4-styrenesulfonyl)(phenylsulfonyl) imide) |
| PMDA | 1,2,4,5-benzenetetracarboxylic anhydride |
| PMMA | Polymethyl methacrylate |
| PPEGMA | Poly(poly(ethylene glycol) methyl ether methacrylate |
| PVA | Polyvinyl alcohol |
| PVBN | Polyvinylbenzylamine |
| PVDF | Poly(vinylidene fluoride) |
| PVP | Polyvinyl pyrrolidone |
| SBBs | Sodium-based batteries |
| SEI | Solid electrolyte interphase |
| SEs | Solid electrolytes |
| SICPEs | Single-ion-conducting polymer electrolytes |
| SPEs | Solid polymer electrolytes |
| SSBs | Solid-state batteries |
| SSEBs | Solid-state electrolyte batteries |
| SSEs | Solid-state electrolytes |
| SSLBs | Solid-state lithium batteries |
| SSLPBs | Solid-state lithium polymer batteries |
| TEGDMA | Triethylene glycol dimethacrylate |
| TEGDME | Tetraethylene glycol dimethyl ether |
| TEP | Triethyl phosphate |
| TFSI | bis(trifluoromethanesulfonyl)imide |
| THF | Tetrahydrofuran |
| TFSI | bis(trifluoromethanesulfonyl)imide |
| THF | Tetrahydrofuran |
| VC | Vinylene carbonate |
| VEC | Vinyl ethylene carbonate |
| ZBBs | Zinc-based batteries |
References
- Zhai, D.; Lau, K.C.; Wang, H.-H.; Wen, J.; Miller, D.J.; Lu, J.; Kang, F.; Li, B.; Yang, W.; Gao, J.; et al. Interfacial Effects on Lithium Superoxide Disproportionation in Li-O2 Batteries. Nano Lett. 2015, 15, 1041–1046. [Google Scholar] [CrossRef] [PubMed]
- Elia, G.A.; Hassoun, J. A Polymer Lithium-Oxygen Battery. Sci. Rep. 2015, 5, 12307. [Google Scholar] [CrossRef] [PubMed]
- Li, Y.; Bai, Y.; Bi, X.; Qian, J.; Ma, L.; Tian, J.; Wu, C.; Wu, F.; Lu, J.; Amine, K. An Effectively Activated Hierarchical Nano-/Microspherical Li1.2Ni0.2Mn0.6O2 Cathode for Long-Life and High-Rate Lithium-Ion Batteries. ChemSusChem 2016, 9, 728–735. [Google Scholar] [CrossRef]
- Tarascon, J.-M.; Armand, M. Issues and Challenges Facing Rechargeable Lithium Batteries. Nature 2001, 414, 359–367. [Google Scholar] [CrossRef]
- Mauger, A.; Julien, C.M.; Paolella, A.; Armand, M.; Zaghib, K. Building Better Batteries in the Solid State: A Review. Materials 2019, 12, 3892. [Google Scholar] [CrossRef] [PubMed]
- Quartarone, E.; Mustarelli, P. Electrolytes for Solid-State Lithium Rechargeable Batteries: Recent Advances and Perspectives. Chem. Soc. Rev. 2011, 40, 2525. [Google Scholar] [CrossRef]
- Zhao, Y.; Wu, C.; Peng, G.; Chen, X.; Yao, X.; Bai, Y.; Wu, F.; Chen, S.; Xu, X. A New Solid Polymer Electrolyte Incorporating Li10GeP2S12 into a Polyethylene Oxide Matrix for All-Solid-State Lithium Batteries. J. Power Sources 2016, 301, 47–53. [Google Scholar] [CrossRef]
- Kato, Y.; Hori, S.; Saito, T.; Suzuki, K.; Hirayama, M.; Mitsui, A.; Yonemura, M.; Iba, H.; Kanno, R. High-Power All-Solid-State Batteries Using Sulfide Superionic Conductors. Nat. Energy 2016, 1, 16030. [Google Scholar] [CrossRef]
- Goodenough, J.B.; Park, K.-S. The Li-Ion Rechargeable Battery: A Perspective. J. Am. Chem. Soc. 2013, 135, 1167–1176. [Google Scholar] [CrossRef]
- Yue, L.; Ma, J.; Zhang, J.; Zhao, J.; Dong, S.; Liu, Z.; Cui, G.; Chen, L. All Solid-State Polymer Electrolytes for High-Performance Lithium Ion Batteries. Energy Storage Mater. 2016, 5, 139–164. [Google Scholar] [CrossRef]
- Fu, K.; Gong, Y.; Liu, B.; Zhu, Y.; Xu, S.; Yao, Y.; Luo, W.; Wang, C.; Lacey, S.D.; Dai, J.; et al. Toward Garnet Electrolyte–Based Li Metal Batteries: An Ultrathin, Highly Effective, Artificial Solid-State Electrolyte/Metallic Li Interface. Sci. Adv. 2017, 3, e1601659. [Google Scholar] [CrossRef]
- Homann, G.; Meister, P.; Stolz, L.; Brinkmann, J.P.; Kulisch, J.; Adermann, T.; Winter, M.; Kasnatscheew, J. High-Voltage All-Solid-State Lithium Battery with Sulfide-Based Electrolyte: Challenges for the Construction of a Bipolar Multicell Stack and How to Overcome Them. ACS Appl. Energy Mater. 2020, 3, 3162–3168. [Google Scholar] [CrossRef]
- Méry, A.; Rousselot, S.; Lepage, D.; Dollé, M. A Critical Review for an Accurate Electrochemical Stability Window Measurement of Solid Polymer and Composite Electrolytes. Materials 2021, 14, 3840. [Google Scholar] [CrossRef]
- Che, H.; Chen, S.; Xie, Y.; Wang, H.; Amine, K.; Liao, X.-Z.; Ma, Z.-F. Electrolyte Design Strategies and Research Progress for Room-Temperature Sodium-Ion Batteries. Energy Environ. Sci. 2017, 10, 1075–1101. [Google Scholar] [CrossRef]
- Kim, J.; Yoon, K.; Park, I.; Kang, K. Progress in the Development of Sodium-Ion Solid Electrolytes. Small Methods 2017, 1, 1700219. [Google Scholar] [CrossRef]
- Fan, L.; Wei, S.; Li, S.; Li, Q.; Lu, Y. Recent Progress of the Solid-State Electrolytes for High-Energy Metal-Based Batteries. Adv. Energy Mater. 2018, 8, 1702657. [Google Scholar] [CrossRef]
- Manthiram, A.; Yu, X.; Wang, S. Lithium Battery Chemistries Enabled by Solid-State Electrolytes. Nat. Rev. Mater. 2017, 2, 16103. [Google Scholar] [CrossRef]
- Hou, H.; Xu, Q.; Pang, Y.; Li, L.; Wang, J.; Zhang, C.; Sun, C. Efficient Storing Energy Harvested by Triboelectric Nanogenerators Using a Safe and Durable All-Solid-State Sodium-Ion Battery. Adv. Sci. 2017, 4, 1700072. [Google Scholar] [CrossRef] [PubMed]
- Lanjan, A.; Ghalami Choobar, B.; Amjad-Iranagh, S. Promoting Lithium-Ion Battery Performance by Application of Crystalline Cathodes LixMn1-zFezPO4. J. Solid State Electrochem. 2020, 24, 157–171. [Google Scholar] [CrossRef]
- Experimental Researches on Electricity, Third Series. Proc. R. Soc. Lond. 1837, 3, 161–163. [CrossRef]
- Scrosati, B. Recent Advances in Lithium Solid State Batteries. J. Appl. Electrochem. 1972, 2, 231–238. [Google Scholar] [CrossRef]
- Lehovec, K.; Broder, J. Semiconductors as Solid Electrolytes in Electrochemical Systems. J. Electrochem. Soc. 1954, 101, 208. [Google Scholar] [CrossRef]
- Diaz, G.; Peckler, L.; Sampurno, Y.; Philipossian, A. Communication—Tribology of Retaining Rings in Chemical Mechanical Planarization. ECS J. Solid State Sci. Technol. 2018, 7, P266–P268. [Google Scholar] [CrossRef]
- Jin, Y.; Liu, K.; Lang, J.; Jiang, X.; Zheng, Z.; Su, Q.; Huang, Z.; Long, Y.; Wang, C.; Wu, H.; et al. High-Energy-Density Solid-Electrolyte-Based Liquid Li-S and Li-Se Batteries. Joule 2020, 4, 262–274. [Google Scholar] [CrossRef]
- Liang, C.C.; Epstein, J.; Boyle, G.H. A High-Voltage, Solid-State Battery System. II. Fabrication of Thin-Film Cells. J. Electrochem. Soc. 1969, 116, 1452. [Google Scholar] [CrossRef]
- Liang, C.C.; Bro, P. A High-Voltage, Solid-State Battery System. I. Design Considerations. J. Electrochem. Soc. 1969, 116, 1322. [Google Scholar] [CrossRef]
- Liang, C.C. Conduction Characteristics of the Lithium Iodide-Aluminum Oxide Solid Electrolytes. J. Electrochem. Soc. 1973, 120, 1289. [Google Scholar] [CrossRef]
- Voropaeva, D.Y.; Stenina, I.A.; Yaroslavtsev, A.B. Solid-State Electrolytes: A Way to Increase the Power of Lithium-Ion Batteries. Russ. Chem. Rev. 2024, 93, RCR5126. [Google Scholar] [CrossRef]
- Owens, B.B. Solid State Electrolytes: Overview of Materials and Applications during the Last Third of the Twentieth Century. J. Power Sources 2000, 90, 2–8. [Google Scholar] [CrossRef]
- Aono, H.; Sugimoto, E.; Sadaoka, Y.; Imanaka, N.; Adachi, G.-Y. Ionic Conductivity and Sinterability of Lithium Titanium Phosphate System. Solid State Ion. 1990, 40–41, 38–42. [Google Scholar] [CrossRef]
- Inaguma, Y.; Liquan, C.; Itoh, M.; Nakamura, T.; Uchida, T.; Ikuta, H.; Wakihara, M. High Ionic Conductivity in Lithium Lanthanum Titanate. Solid State Commun. 1993, 86, 689–693. [Google Scholar] [CrossRef]
- Murugan, R.; Thangadurai, V.; Weppner, W. Fast Lithium Ion Conduction in Garnet-Type Li7La3Zr2O12. Angew. Chem. Int. Ed. 2007, 46, 7778–7781. [Google Scholar] [CrossRef]
- Birke, P. A First Approach to a Monolithic All Solid State Inorganic Lithium Battery. Solid State Ion. 1999, 118, 149–157. [Google Scholar] [CrossRef]
- Ribes, M.; Barrau, B.; Souquet, J.L. Sulfide Glasses: Glass Forming Region, Structure and Ionic Conduction of Glasses in Na2S-XS2 (X = Si; Ge), Na2S-P2S5 and Li2S-GeS2 Systems. J. Non-Cryst. Solids 1980, 38–39, 271–276. [Google Scholar] [CrossRef]
- Kamaya, N.; Homma, K.; Yamakawa, Y.; Hirayama, M.; Kanno, R.; Yonemura, M.; Kamiyama, T.; Kato, Y.; Hama, S.; Kawamoto, K.; et al. A Lithium Superionic Conductor. Nat. Mater. 2011, 10, 682–686. [Google Scholar] [CrossRef] [PubMed]
- Wang, S.; Xu, H.; Li, W.; Dolocan, A.; Manthiram, A. Interfacial Chemistry in Solid-State Batteries: Formation of Interphase and Its Consequences. J. Am. Chem. Soc. 2018, 140, 250–257. [Google Scholar] [CrossRef]
- Strauss, F.; Teo, J.H.; Maibach, J.; Kim, A.-Y.; Mazilkin, A.; Janek, J.; Brezesinski, T. Li2 ZrO3 -Coated NCM622 for Application in Inorganic Solid-State Batteries: Role of Surface Carbonates in the Cycling Performance. ACS Appl. Mater. Interfaces 2020, 12, 57146–57154. [Google Scholar] [CrossRef]
- Sastre, J.; Futscher, M.H.; Pompizi, L.; Aribia, A.; Priebe, A.; Overbeck, J.; Stiefel, M.; Tiwari, A.N.; Romanyuk, Y.E. Blocking Lithium Dendrite Growth in Solid-State Batteries with an Ultrathin Amorphous Li-La-Zr-O Solid Electrolyte. Commun. Mater. 2021, 2, 76. [Google Scholar] [CrossRef]
- Okur, F.; Zhang, H.; Karabay, D.T.; Muench, K.; Parrilli, A.; Neels, A.; Dachraoui, W.; Rossell, M.D.; Cancellieri, C.; Jeurgens, L.P.H.; et al. Intermediate-Stage Sintered LLZO Scaffolds for Li-Garnet Solid-State Batteries. Adv. Energy Mater. 2023, 13, 2203509. [Google Scholar] [CrossRef]
- Meng, Y.S. Lithium Metal Anode—Advanced Characterization, Slides from the Web Seminar by Dr. Y. Shirley Meng 2020. Available online: https://osf.io/preprints/ecsarxiv/6fr7c (accessed on 18 December 2024).
- Feng, X.; Ouyang, M.; Liu, X.; Lu, L.; Xia, Y.; He, X. Thermal Runaway Mechanism of Lithium Ion Battery for Electric Vehicles: A Review. Energy Storage Mater. 2018, 10, 246–267. [Google Scholar] [CrossRef]
- Wang, Q.; Ping, P.; Zhao, X.; Chu, G.; Sun, J.; Chen, C. Thermal Runaway Caused Fire and Explosion of Lithium Ion Battery. J. Power Sources 2012, 208, 210–224. [Google Scholar] [CrossRef]
- Iturrondobeitia, A.; Aguesse, F.; Genies, S.; Waldmann, T.; Kasper, M.; Ghanbari, N.; Wohlfahrt-Mehrens, M.; Bekaert, E. Post-Mortem Analysis of Calendar-Aged 16 Ah NMC/Graphite Pouch Cells for EV Application. J. Phys. Chem. C 2017, 121, 21865–21876. [Google Scholar] [CrossRef]
- Perea, A.; Dontigny, M.; Zaghib, K. Safety of Solid-State Li Metal Battery: Solid Polymer versus Liquid Electrolyte. J. Power Sources 2017, 359, 182–185. [Google Scholar] [CrossRef]
- Zhang, W.; Nie, J.; Li, F.; Wang, Z.L.; Sun, C. A Durable and Safe Solid-State Lithium Battery with a Hybrid Electrolyte Membrane. Nano Energy 2018, 45, 413–419. [Google Scholar] [CrossRef]
- Janek, J.; Zeier, W.G. A Solid Future for Battery Development. Nat. Energy 2016, 1, 16141. [Google Scholar] [CrossRef]
- Gutiérrez-Pardo, A.; Pitillas Martinez, A.I.; Otaegui, L.; Schneider, M.; Roters, A.; Llordés, A.; Aguesse, F.; Buannic, L. Will the Competitive Future of Solid State Li Metal Batteries Rely on a Ceramic or a Composite Electrolyte? Sustain. Energy Fuels 2018, 2, 2325–2334. [Google Scholar] [CrossRef]
- Julien, C.; Nazri, G.-A. Solid State Batteries: Materials Design and Optimization; The Kluwer International Series in Engineering and Computer Science; Springer US: Boston, MA, USA, 1994; Volume 271, ISBN 978-0-7923-9460-0. [Google Scholar]
- Solid State Batteries. Volume 1: Emerging Materials and Applications; Gupta, R.K., Ed.; ACS symposium series; American Chemical Society: Washington, DC, USA, 2022; ISBN 978-0-8412-9768-5. [Google Scholar]
- Grady, Z.A.; Wilkinson, C.J.; Randall, C.A.; Mauro, J.C. Emerging Role of Non-Crystalline Electrolytes in Solid-State Battery Research. Front. Energy Res. 2020, 8, 218. [Google Scholar] [CrossRef]
- Nanda, J.; Wang, C.; Liu, P. Frontiers of Solid-State Batteries. MRS Bull. 2018, 43, 740–745. [Google Scholar] [CrossRef]
- Zhang, Z.; Shao, Y.; Lotsch, B.; Hu, Y.-S.; Li, H.; Janek, J.; Nazar, L.F.; Nan, C.-W.; Maier, J.; Armand, M.; et al. New Horizons for Inorganic Solid State Ion Conductors. Energy Environ. Sci. 2018, 11, 1945–1976. [Google Scholar] [CrossRef]
- Zhao, C.; Liu, L.; Qi, X.; Lu, Y.; Wu, F.; Zhao, J.; Yu, Y.; Hu, Y.; Chen, L. Solid-State Sodium Batteries. Adv. Energy Mater. 2018, 8, 1703012. [Google Scholar] [CrossRef]
- Han, X.; Gong, Y.; Fu, K.; He, X.; Hitz, G.T.; Dai, J.; Pearse, A.; Liu, B.; Wang, H.; Rubloff, G.; et al. Negating Interfacial Impedance in Garnet-Based Solid-State Li Metal Batteries. Nat. Mater. 2017, 16, 572–579. [Google Scholar] [CrossRef] [PubMed]
- Famprikis, T.; Canepa, P.; Dawson, J.A.; Islam, M.S.; Masquelier, C. Fundamentals of Inorganic Solid-State Electrolytes for Batteries. Nat. Mater. 2019, 18, 1278–1291. [Google Scholar] [CrossRef] [PubMed]
- Kerman, K.; Luntz, A.; Viswanathan, V.; Chiang, Y.-M.; Chen, Z. Review—Practical Challenges Hindering the Development of Solid State Li Ion Batteries. J. Electrochem. Soc. 2017, 164, A1731–A1744. [Google Scholar] [CrossRef]
- Strauss, F.; Bartsch, T.; De Biasi, L.; Kim, A.-Y.; Janek, J.; Hartmann, P.; Brezesinski, T. Impact of Cathode Material Particle Size on the Capacity of Bulk-Type All-Solid-State Batteries. ACS Energy Lett. 2018, 3, 992–996. [Google Scholar] [CrossRef]
- Zhang, Q.; Liu, K.; Ding, F.; Liu, X. Recent Advances in Solid Polymer Electrolytes for Lithium Batteries. Nano Res. 2017, 10, 4139–4174. [Google Scholar] [CrossRef]
- Zhu, X.; Wang, K.; Xu, Y.; Zhang, G.; Li, S.; Li, C.; Zhang, X.; Sun, X.; Ge, X.; Ma, Y. Strategies to Boost Ionic Conductivity and Interface Compatibility of Inorganic—Organic Solid Composite Electrolytes. Energy Storage Mater. 2021, 36, 291–308. [Google Scholar] [CrossRef]
- Wang, Y.; Fan, F.; Agapov, A.L.; Saito, T.; Yang, J.; Yu, X.; Hong, K.; Mays, J.; Sokolov, A.P. Examination of the Fundamental Relation between Ionic Transport and Segmental Relaxation in Polymer Electrolytes. Polymer 2014, 55, 4067–4076. [Google Scholar] [CrossRef]
- Porcarelli, L.; Gerbaldi, C.; Bella, F.; Nair, J.R. Super Soft All-Ethylene Oxide Polymer Electrolyte for Safe All-Solid Lithium Batteries. Sci. Rep. 2016, 6, 19892. [Google Scholar] [CrossRef] [PubMed]
- Fenton, D.E.; Parker, J.M.; Wright, P.V. Complexes of Alkali Metal Ions with Poly(Ethylene Oxide). Polymer 1973, 14, 589. [Google Scholar] [CrossRef]
- Berthier, C.; Gorecki, W.; Minier, M.; Armand, M.B.; Chabagno, J.M.; Rigaud, P. Microscopic Investigation of Ionic Conductivity in Alkali Metal Salts-Poly(Ethylene Oxide) Adducts. Solid State Ion. 1983, 11, 91–95. [Google Scholar] [CrossRef]
- Gao, H.; Zhou, W.; Park, K.; Goodenough, J.B. A Sodium-Ion Battery with a Low-Cost Cross-Linked Gel-Polymer Electrolyte. Adv. Energy Mater. 2016, 6, 1600467. [Google Scholar] [CrossRef]
- Osman, Z.; Md Isa, K.B.; Ahmad, A.; Othman, L. A Comparative Study of Lithium and Sodium Salts in PAN-Based Ion Conducting Polymer Electrolytes. Ionics 2010, 16, 431–435. [Google Scholar] [CrossRef]
- Feuillade, G.; Perche, P. Ion-Conductive Macromolecular Gels and Membranes for Solid Lithium Cells. J. Appl. Electrochem. 1975, 5, 63–69. [Google Scholar] [CrossRef]
- Cui, Y.; Liang, X.; Chai, J.; Cui, Z.; Wang, Q.; He, W.; Liu, X.; Liu, Z.; Cui, G.; Feng, J. High Performance Solid Polymer Electrolytes for Rechargeable Batteries: A Self-Catalyzed Strategy toward Facile Synthesis. Adv. Sci. 2017, 4, 1700174. [Google Scholar] [CrossRef] [PubMed]
- Long, L.; Wang, S.; Xiao, M.; Meng, Y. Polymer Electrolytes for Lithium Polymer Batteries. J. Mater. Chem. A 2016, 4, 10038–10069. [Google Scholar] [CrossRef]
- Sun, C.; Liu, J.; Gong, Y.; Wilkinson, D.P.; Zhang, J. Recent Advances in All-Solid-State Rechargeable Lithium Batteries. Nano Energy 2017, 33, 363–386. [Google Scholar] [CrossRef]
- Hu, Y.; Xie, X.; Li, W.; Huang, Q.; Huang, H.; Hao, S.-M.; Fan, L.-Z.; Zhou, W. Recent Progress of Polymer Electrolytes for Solid-State Lithium Batteries. ACS Sustain. Chem. Eng. 2023, 11, 1253–1277. [Google Scholar] [CrossRef]
- Vasudevan, S.; Dwivedi, S.; Balaya, P. Overview and Perspectives of Solid Electrolytes for Sodium Batteries. Int. J. Appl. Ceram. Tech. 2023, 20, 563–584. [Google Scholar] [CrossRef]
- Zhu, Q.; Ye, C.; Mao, D. Solid-State Electrolytes for Lithium–Sulfur Batteries: Challenges, Progress, and Strategies. Nanomaterials 2022, 12, 3612. [Google Scholar] [CrossRef] [PubMed]
- Botros, M.; Janek, J. Embracing Disorder in Solid-State Batteries. Science 2022, 378, 1273–1274. [Google Scholar] [CrossRef]
- Huo, S.; Sheng, L.; Xue, W.; Wang, L.; Xu, H.; Zhang, H.; He, X. Challenges of Polymer Electrolyte with Wide Electrochemical Window for High Energy Solid-state Lithium Batteries. InfoMat 2023, 5, e12394. [Google Scholar] [CrossRef]
- Xue, Z.; He, D.; Xie, X. Poly(Ethylene Oxide)-Based Electrolytes for Lithium-Ion Batteries. J. Mater. Chem. A 2015, 3, 19218–19253. [Google Scholar] [CrossRef]
- Doyle, E.S.; Mirmira, P.; Ma, P.; Vu, M.C.; Hixson-Wells, T.; Kumar, R.; Amanchukwu, C.V. Phase Morphology Dependence of Ionic Conductivity and Oxidative Stability in Fluorinated Ether Solid-State Electrolytes. Chem. Mater. 2024, 36, 5063–5076. [Google Scholar] [CrossRef]
- Cheng, X.-B.; Zhang, R.; Zhao, C.-Z.; Zhang, Q. Toward Safe Lithium Metal Anode in Rechargeable Batteries: A Review. Chem. Rev. 2017, 117, 10403–10473. [Google Scholar] [CrossRef] [PubMed]
- Wan, J.; Xie, J.; Kong, X.; Liu, Z.; Liu, K.; Shi, F.; Pei, A.; Chen, H.; Chen, W.; Chen, J.; et al. Ultrathin, Flexible, Solid Polymer Composite Electrolyte Enabled with Aligned Nanoporous Host for Lithium Batteries. Nat. Nanotechnol. 2019, 14, 705–711. [Google Scholar] [CrossRef] [PubMed]
- Yang, X.; Jiang, M.; Gao, X.; Bao, D.; Sun, Q.; Holmes, N.; Duan, H.; Mukherjee, S.; Adair, K.; Zhao, C.; et al. Determining the Limiting Factor of the Electrochemical Stability Window for PEO-Based Solid Polymer Electrolytes: Main Chain or Terminal –OH Group? Energy Environ. Sci. 2020, 13, 1318–1325. [Google Scholar] [CrossRef]
- Pala, R.G.; Kankani, K.; Chakraborty, P. Phase-Field Modeling of Electrolyte Transport Properties and Elasticity Modulus in Suppression of Dendrite Growth in Solid-State-Lithium-Ion-Batteries. Electrochem. Soc. Meet. Abstr. 2024. [Google Scholar] [CrossRef]
- Yi, T.; Zhao, E.; He, Y.; Liang, T.; Wang, H. Quantification and Visualization of Spatial Distribution of Dendrites in Solid Polymer Electrolytes. eScience 2024, 4, 100182. [Google Scholar] [CrossRef]
- Krauskopf, T.; Richter, F.H.; Zeier, W.G.; Janek, J. Physicochemical Concepts of the Lithium Metal Anode in Solid-State Batteries. Chem. Rev. 2020, 120, 7745–7794. [Google Scholar] [CrossRef] [PubMed]
- Um, J.H.; Kim, K.; Park, J.; Sung, Y.-E.; Yu, S.-H. Revisiting the Strategies for Stabilizing Lithium Metal Anodes. J. Mater. Chem. A 2020, 8, 13874–13895. [Google Scholar] [CrossRef]
- Yao, P.; Yu, H.; Ding, Z.; Liu, Y.; Lu, J.; Lavorgna, M.; Wu, J.; Liu, X. Review on Polymer-Based Composite Electrolytes for Lithium Batteries. Front. Chem. 2019, 7, 522. [Google Scholar] [CrossRef] [PubMed]
- Li, Z.; Yu, R.; Weng, S.; Zhang, Q.; Wang, X.; Guo, X. Tailoring Polymer Electrolyte for High-Voltage Solid-State Li Metal Batteries Working at Ultra-Low Temperatures. Res. Sq. 2022. [CrossRef]
- Ren, Y.; Hatzell, K.B. Elasticity-Oriented Design of Solid-State Batteries: Challenges and Perspectives. J. Mater. Chem. A 2021, 9, 13804–13821. [Google Scholar] [CrossRef]
- Yu, X.; Manthiram, A. Electrode–Electrolyte Interfaces in Lithium–Sulfur Batteries with Liquid or Inorganic Solid Electrolytes. Acc. Chem. Res. 2017, 50, 2653–2660. [Google Scholar] [CrossRef]
- Agrawal, R.C.; Pandey, G.P. Solid Polymer Electrolytes: Materials Designing and All-Solid-State Battery Applications: An Overview. J. Phys. D Appl. Phys. 2008, 41, 223001. [Google Scholar] [CrossRef]
- Sun, Y.-Z.; Huang, J.-Q.; Zhao, C.-Z.; Zhang, Q. A Review of Solid Electrolytes for Safe Lithium-Sulfur Batteries. Sci. China Chem. 2017, 60, 1508–1526. [Google Scholar] [CrossRef]
- Meziane, R.; Bonnet, J.-P.; Courty, M.; Djellab, K.; Armand, M. Single-Ion Polymer Electrolytes Based on a Delocalized Polyanion for Lithium Batteries. Electrochim. Acta 2011, 57, 14–19. [Google Scholar] [CrossRef]
- Zhu, Y.S.; Gao, X.W.; Wang, X.J.; Hou, Y.Y.; Liu, L.L.; Wu, Y.P. A Single-Ion Polymer Electrolyte Based on Boronate for Lithium Ion Batteries. Electrochem. Commun. 2012, 22, 29–32. [Google Scholar] [CrossRef]
- Zhu, Y.S.; Wang, X.J.; Hou, Y.Y.; Gao, X.W.; Liu, L.L.; Wu, Y.P.; Shimizu, M. A New Single-Ion Polymer Electrolyte Based on Polyvinyl Alcohol for Lithium Ion Batteries. Electrochim. Acta 2013, 87, 113–118. [Google Scholar] [CrossRef]
- Mitra, S. Electrical Conductivity Studies on the Plasticised PEO–DBP–CdX (X = Cl; SO4) Polymer Electrolytes. Solid State Ion. 2002, 154–155, 37–43. [Google Scholar] [CrossRef]
- Diederichsen, K.M.; McShane, E.J.; McCloskey, B.D. Promising Routes to a High Li+ Transference Number Electrolyte for Lithium Ion Batteries. ACS Energy Lett. 2017, 2, 2563–2575. [Google Scholar] [CrossRef]
- Hao, S.-M.; Liang, S.; Sewell, C.D.; Li, Z.; Zhu, C.; Xu, J.; Lin, Z. Lithium-Conducting Branched Polymers: New Paradigm of Solid-State Electrolytes for Batteries. Nano Lett. 2021, 21, 7435–7447. [Google Scholar] [CrossRef]
- Lafont, U.; Anastasopol, A.; Garcia-Tamayo, E.; Kelder, E. Electrostatic Spray Pyrolysis of LiNi0.5Mn1.5O4 Films for 3D Li-Ion Microbatteries. Thin Solid Film. 2012, 520, 3464–3471. [Google Scholar] [CrossRef]
- Yu, X.; Manthiram, A. A Review of Composite Polymer-Ceramic Electrolytes for Lithium Batteries. Energy Storage Mater. 2021, 34, 282–300. [Google Scholar] [CrossRef]
- Stoeva, Z.; Martin-Litas, I.; Staunton, E.; Andreev, Y.G.; Bruce, P.G. Ionic Conductivity in the Crystalline Polymer Electrolytes PEO6:LiXF6, X = P, As, Sb. J. Am. Chem. Soc. 2003, 125, 4619–4626. [Google Scholar] [CrossRef]
- Sun, J.; Liao, X.; Minor, A.M.; Balsara, N.P.; Zuckermann, R.N. Morphology-Conductivity Relationship in Crystalline and Amorphous Sequence-Defined Peptoid Block Copolymer Electrolytes. J. Am. Chem. Soc. 2014, 136, 14990–14997. [Google Scholar] [CrossRef] [PubMed]
- Borodin, O.; Smith, G.D. Mechanism of Ion Transport in Amorphous Poly(Ethylene Oxide)/LiTFSI from Molecular Dynamics Simulations. Macromolecules 2006, 39, 1620–1629. [Google Scholar] [CrossRef]
- Young, W.; Kuan, W.; Epps, T.H. Block Copolymer Electrolytes for Rechargeable Lithium Batteries. J. Polym. Sci. B Polym. Phys. 2014, 52, 1–16. [Google Scholar] [CrossRef]
- Christie, A.M.; Lilley, S.J.; Staunton, E.; Andreev, Y.G.; Bruce, P.G. Increasing the Conductivity of Crystalline Polymer Electrolytes. Nature 2005, 433, 50–53. [Google Scholar] [CrossRef] [PubMed]
- MacGlashan, G.S.; Andreev, Y.G.; Bruce, P.G. Structure of the Polymer Electrolyte Poly(Ethylene Oxide)6:LiAsF6. Nature 1999, 398, 792–794. [Google Scholar] [CrossRef]
- Gadjourova, Z.; Andreev, Y.G.; Tunstall, D.P.; Bruce, P.G. Ionic Conductivity in Crystalline Polymer Electrolytes. Nature 2001, 412, 520–523. [Google Scholar] [CrossRef]
- Zhang, C.; Staunton, E.; Andreev, Y.G.; Bruce, P.G. Raising the Conductivity of Crystalline Polymer Electrolytes by Aliovalent Doping. J. Am. Chem. Soc. 2005, 127, 18305–18308. [Google Scholar] [CrossRef] [PubMed]
- Lilley, S.J.; Andreev, Y.G.; Bruce, P.G. Ionic Conductivity in Crystalline PEO6:Li(AsF6)1−x(SbF6)x. J. Am. Chem. Soc. 2006, 128, 12036–12037. [Google Scholar] [CrossRef]
- Prasanth, R.; Shubha, N.; Hng, H.H.; Srinivasan, M. Effect of Poly(Ethylene Oxide) on Ionic Conductivity and Electrochemical Properties of Poly(Vinylidenefluoride) Based Polymer Gel Electrolytes Prepared by Electrospinning for Lithium Ion Batteries. J. Power Sources 2014, 245, 283–291. [Google Scholar] [CrossRef]
- Fan, L.; Li, M.; Li, X.; Xiao, W.; Chen, Z.; Lu, J. Interlayer Material Selection for Lithium-Sulfur Batteries. Joule 2019, 3, 361–386. [Google Scholar] [CrossRef]
- Li, C.; Huang, Y.; Feng, X.; Zhang, Z.; Liu, P. High Electrochemical Performance Poly(Ethylene Oxide)/2,4-Toluene Diisocyante/Polyethylene Glycol as Electrolytes for All-Solid-State Lithium Batteries. J. Membr. Sci. 2019, 587, 117179. [Google Scholar] [CrossRef]
- Liang, J.; Sun, Q.; Zhao, Y.; Sun, Y.; Wang, C.; Li, W.; Li, M.; Wang, D.; Li, X.; Liu, Y.; et al. Stabilization of All-Solid-State Li–S Batteries with a Polymer–Ceramic Sandwich Electrolyte by Atomic Layer Deposition. J. Mater. Chem. A 2018, 6, 23712–23719. [Google Scholar] [CrossRef]
- Nie, K.; Hong, Y.; Qiu, J.; Li, Q.; Yu, X.; Li, H.; Chen, L. Interfaces Between Cathode and Electrolyte in Solid State Lithium Batteries: Challenges and Perspectives. Front. Chem. 2018, 6, 616. [Google Scholar] [CrossRef]
- Goodenough, J.B. Electrochemical Energy Storage in a Sustainable Modern Society. Energy Environ. Sci. 2014, 7, 14–18. [Google Scholar] [CrossRef]
- Wu, F.; Zhu, N.; Bai, Y.; Liu, L.; Zhou, H.; Wu, C. Highly Safe Ionic Liquid Electrolytes for Sodium-Ion Battery: Wide Electrochemical Window and Good Thermal Stability. ACS Appl. Mater. Interfaces 2016, 8, 21381–21386. [Google Scholar] [CrossRef] [PubMed]
- Fang, Z.; Luo, Y.; Liu, H.; Hong, Z.; Wu, H.; Zhao, F.; Liu, P.; Li, Q.; Fan, S.; Duan, W.; et al. Boosting the Oxidative Potential of Polyethylene Glycol-Based Polymer Electrolyte to 4.36 V by Spatially Restricting Hydroxyl Groups for High-Voltage Flexible Lithium-Ion Battery Applications. Adv. Sci. 2021, 8, 2100736. [Google Scholar] [CrossRef]
- Marchiori, C.F.N.; Carvalho, R.P.; Ebadi, M.; Brandell, D.; Araujo, C.M. Understanding the Electrochemical Stability Window of Polymer Electrolytes in Solid-State Batteries from Atomic-Scale Modeling: The Role of Li-Ion Salts. Chem. Mater. 2020, 32, 7237–7246. [Google Scholar] [CrossRef]
- Li, Q.; Takeda, Y.; Imanish, N.; Yang, J.; Sun, H.Y.; Yamamoto, O. Cycling Performances and Interfacial Properties of a Li/PEO-Li(CF3SO2)2N-Ceramic Filler/LiNi0.8Co0.2O2 Cell. J. Power Sources 2001, 97–98, 795–797. [Google Scholar] [CrossRef]
- Seki, S.; Kobayashi, Y.; Miyashiro, H.; Yamanaka, A.; Mita, Y.; Iwahori, T. Degradation Mechanism Analysis of All-Solid-State Lithium Polymer Secondary Batteries by Using the Impedance Measurement. J. Power Sources 2005, 146, 741–744. [Google Scholar] [CrossRef]
- Sasaki, Y.; Handa, M.; Kurashima, K.; Tonuma, T.; Usami, K. Application of Lithium Organoborate with Salicylic Ligand to Lithium Battery Electrolyte. J. Electrochem. Soc. 2001, 148, A999. [Google Scholar] [CrossRef]
- Shimonishi, Y.; Zhang, T.; Imanishi, N.; Im, D.; Lee, D.J.; Hirano, A.; Takeda, Y.; Yamamoto, O.; Sammes, N. A Study on Lithium/Air Secondary Batteries—Stability of the NASICON-Type Lithium Ion Conducting Solid Electrolyte in Alkaline Aqueous Solutions. J. Power Sources 2011, 196, 5128–5132. [Google Scholar] [CrossRef]
- Dashjav, E.; Ma, Q.; Xu, Q.; Tsai, C.-L.; Giarola, M.; Mariotto, G.; Tietz, F. The Influence of Water on the Electrical Conductivity of Aluminum-Substituted Lithium Titanium Phosphates. Solid State Ion. 2018, 321, 83–90. [Google Scholar] [CrossRef]
- Xia, Y.; Fujieda, T.; Tatsumi, K.; Prosini, P.P.; Sakai, T. Thermal and Electrochemical Stability of Cathode Materials in Solid Polymer Electrolyte. J. Power Sources 2001, 92, 234–243. [Google Scholar] [CrossRef]
- Zhao, Y.; Huang, Z.; Chen, S.; Chen, B.; Yang, J.; Zhang, Q.; Ding, F.; Chen, Y.; Xu, X. A Promising PEO/LAGP Hybrid Electrolyte Prepared by a Simple Method for All-Solid-State Lithium Batteries. Solid State Ion. 2016, 295, 65–71. [Google Scholar] [CrossRef]
- Jiang, Y.; Yan, X.; Ma, Z.; Mei, P.; Xiao, W.; You, Q.; Zhang, Y. Development of the PEO Based Solid Polymer Electrolytes for All-Solid State Lithium Ion Batteries. Polymers 2018, 10, 1237. [Google Scholar] [CrossRef] [PubMed]
- He, Z.; Chen, L.; Zhang, B.; Liu, Y.; Fan, L.-Z. Flexible Poly(Ethylene Carbonate)/Garnet Composite Solid Electrolyte Reinforced by Poly(Vinylidene Fluoride-Hexafluoropropylene) for Lithium Metal Batteries. J. Power Sources 2018, 392, 232–238. [Google Scholar] [CrossRef]
- Vignarooban, K.; Kushagra, R.; Elango, A.; Badami, P.; Mellander, B.-E.; Xu, X.; Tucker, T.G.; Nam, C.; Kannan, A.M. Current Trends and Future Challenges of Electrolytes for Sodium-Ion Batteries. Int. J. Hydrogen Energy 2016, 41, 2829–2846. [Google Scholar] [CrossRef]
- Karatas, Y.; Banhatti, R.D.; Kaskhedikar, N.; Burjanadze, M.; Funke, K.; Wiemhöfer, H.-D. Synthesis and Modeling of Polysiloxane-Based Salt-in-Polymer Electrolytes with Various Additives. J. Phys. Chem. B 2009, 113, 15473–15484. [Google Scholar] [CrossRef] [PubMed]
- Paulsdorf, J. Ionic Conductivity in Polyphosphazene Polymer Electrolytes Prepared by the Living Cationic Polymerization. Solid State Ion. 2004, 169, 25–33. [Google Scholar] [CrossRef]
- Tominaga, Y.; Ohno, H. Lithium Ion Conduction in Linear- and Network-Type Polymers of PEO/Sulfonamide Salt Hybrid. Electrochim. Acta 2000, 45, 3081–3086. [Google Scholar] [CrossRef]
- Wang, Q.; Zhang, H.; Cui, Z.; Zhou, Q.; Shangguan, X.; Tian, S.; Zhou, X.; Cui, G. Siloxane-Based Polymer Electrolytes for Solid-State Lithium Batteries. Energy Storage Mater. 2019, 23, 466–490. [Google Scholar] [CrossRef]
- Wang, Q.; Cui, Z.; Zhou, Q.; Shangguan, X.; Du, X.; Dong, S.; Qiao, L.; Huang, S.; Liu, X.; Tang, K.; et al. A Supramolecular Interaction Strategy Enabling High-Performance All Solid State Electrolyte of Lithium Metal Batteries. Energy Storage Mater. 2020, 25, 756–763. [Google Scholar] [CrossRef]
- Zhang, J.; Yang, J.; Dong, T.; Zhang, M.; Chai, J.; Dong, S.; Wu, T.; Zhou, X.; Cui, G. Aliphatic Polycarbonate-Based Solid-State Polymer Electrolytes for Advanced Lithium Batteries: Advances and Perspective. Small 2018, 14, 1800821. [Google Scholar] [CrossRef]
- Rolland, J.; Brassinne, J.; Bourgeois, J.-P.; Poggi, E.; Vlad, A.; Gohy, J.-F. Chemically Anchored Liquid-PEO Based Block Copolymer Electrolytes for Solid-State Lithium-Ion Batteries. J. Mater. Chem. A 2014, 2, 11839–11846. [Google Scholar] [CrossRef]
- Kondou, S.; Abdullah, M.; Popov, I.; Martins, M.L.; O’Dell, L.A.; Ueda, H.; Makhlooghiazad, F.; Nakanishi, A.; Sudoh, T.; Ueno, K.; et al. Poly(Ionic Liquid) Electrolytes at an Extreme Salt Concentration for Solid-State Batteries. J. Am. Chem. Soc. 2024. [Google Scholar] [CrossRef]
- Zhang, J.; Zeng, Y.; Li, Q.; Tang, Z.; Sun, D.; Huang, D.; Zhao, L.; Tang, Y.; Wang, H. Polymer-in-Salt Electrolyte Enables Ultrahigh Ionic Conductivity for Advanced Solid-State Lithium Metal Batteries. Energy Storage Mater. 2023, 54, 440–449. [Google Scholar] [CrossRef]
- Wu, H.; Gao, P.; Jia, H.; Zou, L.; Zhang, L.; Cao, X.; Engelhard, M.H.; Bowden, M.E.; Ding, M.S.; Hu, J.; et al. A Polymer-in-Salt Electrolyte with Enhanced Oxidative Stability for Lithium Metal Polymer Batteries. ACS Appl. Mater. Interfaces 2021, 13, 31583–31593. [Google Scholar] [CrossRef]
- Sun, M.; Zeng, Z.; Zhong, W.; Han, Z.; Peng, L.; Yu, C.; Cheng, S.; Xie, J. In Situ Prepared “Polymer-in-Salt” Electrolytes Enabling High-Voltage Lithium Metal Batteries. J. Mater. Chem. A 2022, 10, 11732–11741. [Google Scholar] [CrossRef]
- Yan, K.; Fan, Y.; Hu, F.; Li, G.; Yang, X.; Wang, X.; Li, X.; Peng, C.; Wang, W.; Fan, H.; et al. A “Polymer-in-Salt” Solid Electrolyte Enabled by Fast Phase Transition Route for Stable Zn Batteries. Adv. Funct. Mater. 2024, 34, 2307740. [Google Scholar] [CrossRef]
- Xie, J.; Xu, H.; Wang, Q.; Ke, R.; Han, B.; Chang, J.; Wang, J.; Deng, Y. A Polymer-in-Salt Electrolyte Enables Room Temperature Lithium Metal Batteries. J. Electrochem. Soc. 2022, 169, 040562. [Google Scholar] [CrossRef]
- Bai, S.; Zhang, X.; Chen, Z.; Lin, J.; Wang, Q.; Zhang, Y. Design of Polymer-in-Salt Electrolyte for Solid State Lithium Battery with Wide Working Temperature Range. ChemistrySelect 2022, 7, e202201571. [Google Scholar] [CrossRef]
- Zhang, J.; Cui, C.; Wang, P.-F.; Li, Q.; Chen, L.; Han, F.; Jin, T.; Liu, S.; Choudhary, H.; Raghavan, S.R.; et al. “Water-in-Salt” Polymer Electrolyte for Li-Ion Batteries. Energy Environ. Sci. 2020, 13, 2878–2887. [Google Scholar] [CrossRef]
- Yang, J.; Li, R.; Zhang, P.; Zhang, J.; Meng, J.; Li, L.; Li, Z.; Pu, X. Crosslinked Polymer-in-Salt Solid Electrolyte with Multiple Ion Transport Paths for Solid-State Lithium Metal Batteries. Energy Storage Mater. 2024, 64, 103088. [Google Scholar] [CrossRef]
- Yang, J.; Chu, Y.; Zhang, X.; Li, Y.; Cui, X.; Pan, Q. Realizing Highly Conductive “Polymer in Salt” Electrolytes through Li-Ion-Highway for Room Temperature All-Solid-State Li-S Batteries. J. Energy Storage 2024, 96, 112539. [Google Scholar] [CrossRef]
- Liu, W.; Yi, C.; Li, L.; Liu, S.; Gui, Q.; Ba, D.; Li, Y.; Peng, D.; Liu, J. Designing Polymer-in-Salt Electrolyte and Fully Infiltrated 3D Electrode for Integrated Solid-State Lithium Batteries. Angew. Chem. 2021, 133, 13041–13050. [Google Scholar] [CrossRef]
- Li, H.; Du, Y.; Wu, X.; Xie, J.; Lian, F. Developing “Polymer-in-Salt” High Voltage Electrolyte Based on Composite Lithium Salts for Solid-State Li Metal Batteries. Adv. Funct. Mater. 2021, 31, 2103049. [Google Scholar] [CrossRef]
- Nguyen, M.L.; Nguyen, V.-C.; Lee, Y.-L.; Jan, J.-S.; Teng, H. Synergistic Combination of Ether-Linkage and Polymer-in-Salt for Electrolytes with Facile Li+ Conducting and High Stability in Solid-State Lithium Batteries. Energy Storage Mater. 2024, 65, 103178. [Google Scholar] [CrossRef]
- Pan, L.; Feng, S.; Sun, H.; Liu, X.X.; Yuan, P.; Cao, M.; Gao, M.; Wang, Y.; Sun, Z. Ultrathin, Mechanically Durable, and Scalable Polymer-in-Salt Solid Electrolyte for High-Rate Lithium Metal Batteries. Small 2024, 20, 2400272. [Google Scholar] [CrossRef]
- Zhu, J.; Zhang, Z.; Zhao, S.; Westover, A.S.; Belharouak, I.; Cao, P. Single-Ion Conducting Polymer Electrolytes for Solid-State Lithium–Metal Batteries: Design, Performance, and Challenges. Adv. Energy Mater. 2021, 11, 2003836. [Google Scholar] [CrossRef]
- Yang, M.; Epps, T.H. Solid-State, Single-Ion Conducting, Polymer Blend Electrolytes with Enhanced Li+ Conduction, Electrochemical Stability, and Limiting Current Density. Chem. Mater. 2024, 36, 1855–1869. [Google Scholar] [CrossRef]
- Fraile-Insagurbe, D.; Boaretto, N.; Aldalur, I.; Raposo, I.; Bonilla, F.J.; Armand, M.; Martínez-Ibañez, M. Novel Single-Ion Conducting Polymer Electrolytes with High Toughness and High Resistance against Lithium Dendrites. Nano Res. 2023, 16, 8457–8468. [Google Scholar] [CrossRef]
- Zhang, J.; Zhu, J.; Zhao, R.; Liu, J.; Song, X.; Xu, N.; Liu, Y.; Zhang, H.; Wan, X.; Ma, Y.; et al. An All-in-One Free-Standing Single-Ion Conducting Semi-Solid Polymer Electrolyte for High-Performance Practical Li Metal Batteries. Energy Environ. Sci. 2024, 17, 7119–7128. [Google Scholar] [CrossRef]
- Yuan, H.; Luan, J.; Yang, Z.; Zhang, J.; Wu, Y.; Lu, Z.; Liu, H. Single Lithium-Ion Conducting Solid Polymer Electrolyte with Superior Electrochemical Stability and Interfacial Compatibility for Solid-State Lithium Metal Batteries. ACS Appl. Mater. Interfaces 2020, 12, 7249–7256. [Google Scholar] [CrossRef] [PubMed]
- Li, H.; Du, Y.; Zhang, Q.; Zhao, Y.; Lian, F. A Single-Ion Conducting Network as Rationally Coordinating Polymer Electrolyte for Solid-State Li Metal Batteries. Adv. Energy Mater. 2022, 12, 2103530. [Google Scholar] [CrossRef]
- Li, Z.; Liu, F.; Chen, S.; Zhai, F.; Li, Y.; Feng, Y.; Feng, W. Single Li Ion Conducting Solid-State Polymer Electrolytes Based on Carbon Quantum Dots for Li-Metal Batteries. Nano Energy 2021, 82, 105698. [Google Scholar] [CrossRef]
- Lingua, G.; Grysan, P.; Vlasov, P.S.; Verge, P.; Shaplov, A.S.; Gerbaldi, C. Unique Carbonate-Based Single Ion Conducting Block Copolymers Enabling High-Voltage, All-Solid-State Lithium Metal Batteries. Macromolecules 2021, 54, 6911–6924. [Google Scholar] [CrossRef] [PubMed]
- Liang, H.; Zarrabeitia, M.; Chen, Z.; Jovanovic, S.; Merz, S.; Granwehr, J.; Passerini, S.; Bresser, D. Polysiloxane-Based Single-Ion Conducting Polymer Blend Electrolyte Comprising Small-Molecule Organic Carbonates for High-Energy and High-Power Lithium-Metal Batteries. Adv. Energy Mater. 2022, 12, 2200013. [Google Scholar] [CrossRef]
- He, Y.; Li, H.; Huo, S.; Chen, Y.; Zhang, Y.; Wang, Y.; Cai, W.; Zeng, D.; Li, C.; Cheng, H. Enabling Interfacial Stability via 3D Networking Single Ion Conducting Nano Fiber Electrolyte for High Performance Lithium Metal Batteries. J. Power Sources 2021, 490, 229545. [Google Scholar] [CrossRef]
- Zhou, M.; Liu, R.; Jia, D.; Cui, Y.; Liu, Q.; Liu, S.; Wu, D. Ultrathin Yet Robust Single Lithium-Ion Conducting Quasi-Solid-State Polymer-Brush Electrolytes Enable Ultralong-Life and Dendrite-Free Lithium-Metal Batteries. Adv. Mater. 2021, 33, 2100943. [Google Scholar] [CrossRef] [PubMed]
- Zhou, X.; Zhou, Y.; Yu, L.; Qi, L.; Oh, K.-S.; Hu, P.; Lee, S.-Y.; Chen, C. Gel Polymer Electrolytes for Rechargeable Batteries toward Wide-Temperature Applications. Chem. Soc. Rev. 2024, 53, 5291–5337. [Google Scholar] [CrossRef]
- Aruchamy, K.; Ramasundaram, S.; Divya, S.; Chandran, M.; Yun, K.; Oh, T.H. Gel Polymer Electrolytes: Advancing Solid-State Batteries for High-Performance Applications. Gels 2023, 9, 585. [Google Scholar] [CrossRef]
- Castillo, J.; Santiago, A.; Judez, X.; Garbayo, I.; Coca Clemente, J.A.; Morant-Miñana, M.C.; Villaverde, A.; González-Marcos, J.A.; Zhang, H.; Armand, M.; et al. Safe, Flexible, and High-Performing Gel-Polymer Electrolyte for Rechargeable Lithium Metal Batteries. Chem. Mater. 2021, 33, 8812–8821. [Google Scholar] [CrossRef]
- Wang, H.; Sheng, L.; Yasin, G.; Wang, L.; Xu, H.; He, X. Reviewing the Current Status and Development of Polymer Electrolytes for Solid-State Lithium Batteries. Energy Storage Mater. 2020, 33, 188–215. [Google Scholar] [CrossRef]
- Liu, X.; Xin, X.; Shen, L.; Gu, Z.; Wu, J.; Yao, X. Poly(Methyl Methacrylate)-Based Gel Polymer Electrolyte for High-Performance Solid State Li–O2 Battery with Enhanced Cycling Stability. ACS Appl. Energy Mater. 2021, 4, 3975–3982. [Google Scholar] [CrossRef]
- Celik, M.; Kızılaslan, A.; Can, M.; Cetinkaya, T.; Akbulut, H. Electrochemical Investigation of PVDF: HFP Gel Polymer Electrolytes for Quasi-Solid-State Li-O2 Batteries: Effect of Lithium Salt Type and Concentration. Electrochim. Acta 2021, 371, 137824. [Google Scholar] [CrossRef]
- Jia, D.; Cui, Y.; Liu, Q.; Zhou, M.; Huang, J.; Liu, R.; Liu, S.; Zheng, B.; Zhu, Y.; Wu, D. Multifunctional Polymer Bottlebrush-Based Gel Polymer Electrolytes for Lithium Metal Batteries. Mater. Today Nano 2021, 15, 100128. [Google Scholar] [CrossRef]
- Ma, C.; Cui, W.; Liu, X.; Ding, Y.; Wang, Y. In Situ Preparation of Gel Polymer Electrolyte for Lithium Batteries: Progress and Perspectives. InfoMat 2022, 4, e12232. [Google Scholar] [CrossRef]
- Poiana, R.; Lufrano, E.; Tsurumaki, A.; Simari, C.; Nicotera, I.; Navarra, M.A. Safe Gel Polymer Electrolytes for High Voltage Li-Batteries. Electrochim. Acta 2022, 401, 139470. [Google Scholar] [CrossRef]
- Long, M.-C.; Wu, G.; Wang, X.-L.; Wang, Y.-Z. Self-Adaptable Gel Polymer Electrolytes Enable High-Performance and All-Round Safety Lithium Ion Batteries. Energy Storage Mater. 2022, 53, 62–71. [Google Scholar] [CrossRef]
- Ren, W.; Ding, C.; Fu, X.; Huang, Y. Advanced Gel Polymer Electrolytes for Safe and Durable Lithium Metal Batteries: Challenges, Strategies, and Perspectives. Energy Storage Mater. 2021, 34, 515–535. [Google Scholar] [CrossRef]
- Liu, S.; Liu, W.; Ba, D.; Zhao, Y.; Ye, Y.; Li, Y.; Liu, J. Filler-Integrated Composite Polymer Electrolyte for Solid-State Lithium Batteries. Adv. Mater. 2023, 35, 2110423. [Google Scholar] [CrossRef] [PubMed]
- Yu, Q.; Jiang, K.; Yu, C.; Chen, X.; Zhang, C.; Yao, Y.; Jiang, B.; Long, H. Recent Progress of Composite Solid Polymer Electrolytes for All-Solid-State Lithium Metal Batteries. Chin. Chem. Lett. 2021, 32, 2659–2678. [Google Scholar] [CrossRef]
- Li, S.; Zhang, S.; Shen, L.; Liu, Q.; Ma, J.; Lv, W.; He, Y.; Yang, Q. Progress and Perspective of Ceramic/Polymer Composite Solid Electrolytes for Lithium Batteries. Adv. Sci. 2020, 7, 1903088. [Google Scholar] [CrossRef]
- Dirican, M.; Yan, C.; Zhu, P.; Zhang, X. Composite Solid Electrolytes for All-Solid-State Lithium Batteries. Mater. Sci. Eng. R Rep. 2019, 136, 27–46. [Google Scholar] [CrossRef]
- Li, B.; Su, Q.; Yu, L.; Wang, D.; Ding, S.; Zhang, M.; Du, G.; Xu, B. Li0.35La0.55TiO3 Nanofibers Enhanced Poly(Vinylidene Fluoride)-Based Composite Polymer Electrolytes for All-Solid-State Batteries. ACS Appl. Mater. Interfaces 2019, 11, 42206–42213. [Google Scholar] [CrossRef]
- Zheng, J.; Hu, Y.-Y. New Insights into the Compositional Dependence of Li-Ion Transport in Polymer–Ceramic Composite Electrolytes. ACS Appl. Mater. Interfaces 2018, 10, 4113–4120. [Google Scholar] [CrossRef]
- Fan, P.; Liu, H.; Marosz, V.; Samuels, N.T.; Suib, S.L.; Sun, L.; Liao, L. High Performance Composite Polymer Electrolytes for Lithium-Ion Batteries. Adv. Funct. Mater. 2021, 31, 2101380. [Google Scholar] [CrossRef]
- Xu, L.; Li, J.; Shuai, H.; Luo, Z.; Wang, B.; Fang, S.; Zou, G.; Hou, H.; Peng, H.; Ji, X. Recent Advances of Composite Electrolytes for Solid-State Li Batteries. J. Energy Chem. 2022, 67, 524–548. [Google Scholar] [CrossRef]
- Tang, S.; Guo, W.; Fu, Y. Advances in Composite Polymer Electrolytes for Lithium Batteries and Beyond. Adv. Energy Mater. 2021, 11, 2000802. [Google Scholar] [CrossRef]
- Tran, H.K.; Wu, Y.-S.; Chien, W.-C.; Wu, S.; Jose, R.; Lue, S.J.; Yang, C.-C. Composite Polymer Electrolytes Based on PVA/PAN for All-Solid-State Lithium Metal Batteries Operated at Room Temperature. ACS Appl. Energy Mater. 2020, 3, 11024–11035. [Google Scholar] [CrossRef]
- Qiu, Z.; Liu, C.; Xin, J.; Wang, Q.; Wu, J.; Wang, W.; Zhou, J.; Liu, Y.; Guo, B.; Shi, S. High Conductive Composite Polymer Electrolyte via in Situ UV-Curing for All-Solid-State Lithium Ion Batteries. ACS Sustain. Chem. Eng. 2019, 7, 9875–9880. [Google Scholar] [CrossRef]
- Zhang, D.; Xu, X.; Qin, Y.; Ji, S.; Huo, Y.; Wang, Z.; Liu, Z.; Shen, J.; Liu, J. Recent Progress in Organic–Inorganic Composite Solid Electrolytes for All-Solid-State Lithium Batteries. Chem. A Eur. J. 2020, 26, 1720–1736. [Google Scholar] [CrossRef] [PubMed]
- Jeong, D.; Shim, J.; Shin, H.; Lee, J. Sustainable Lignin-Derived Cross-Linked Graft Polymers as Electrolyte and Binder Materials for Lithium Metal Batteries. ChemSusChem 2020, 13, 2642–2649. [Google Scholar] [CrossRef] [PubMed]
- Wang, S.; Zhang, L.; Zeng, Q.; Liu, X.; Lai, W.-Y.; Zhang, L. Cellulose Microcrystals with Brush-Like Architectures as Flexible All-Solid-State Polymer Electrolyte for Lithium-Ion Battery. ACS Sustain. Chem. Eng. 2020, 8, 3200–3207. [Google Scholar] [CrossRef]
- Zhou, K.; Zhang, M.; Zhang, X.; Wang, T.; Wang, H.; Wang, Z.; Tang, X.; Bai, M.; Li, S.; Wang, Z.; et al. A Cellulose Reinforced Polymer Composite Electrolyte for the Wide-Temperature-Range Solid Lithium Batteries. Chem. Eng. J. 2023, 464, 142537. [Google Scholar] [CrossRef]
- Ai, S.; Wang, T.; Li, T.; Wan, Y.; Xu, X.; Lu, H.; Qu, T.; Luo, S.; Jiang, J.; Yu, X.; et al. A Chitosan/Poly(Ethylene Oxide)-Based Hybrid Polymer Composite Electrolyte Suitable for Solid-State Lithium Metal Batteries. ChemistrySelect 2020, 5, 2878–2885. [Google Scholar] [CrossRef]
- Han, J.; Huang, Y.; Chen, Y.; Song, A.; Deng, X.; Liu, B.; Li, X.; Wang, M. High-Performance Gel Polymer Electrolyte Based on Chitosan–Lignocellulose for Lithium-Ion Batteries. ChemElectroChem 2020, 7, 1213–1224. [Google Scholar] [CrossRef]
- Dall’Asta, V.; Berbenni, V.; Mustarelli, P.; Ravelli, D.; Samorì, C.; Quartarone, E. A Biomass-Derived Polyhydroxyalkanoate Biopolymer as Safe and Environmental-Friendly Skeleton in Highly Efficient Gel Electrolytes for Lithium Batteries. Electrochim. Acta 2017, 247, 63–70. [Google Scholar] [CrossRef]
- Zhou, L.; Liu, S.; Li, W.; Song, H.; Du, L.; Cui, Z. Highly Conductive Poly(ε-Caprolactone) and Chitosan Based Polymer Electrolyte for Lithium Metal Battery. J. Power Sources 2023, 553, 232271. [Google Scholar] [CrossRef]
- Perumal, P.; Christopher Selvin, P.; Selvasekarapandian, S.; Sivaraj, P. Structural and Electrical Properties of Bio-Polymer Pectin with LiClO4 Solid Electrolytes for Lithium Ion Polymer Batteries. Mater. Today Proc. 2019, 8, 196–202. [Google Scholar] [CrossRef]
- Rajendran, S.; Saratha, R. An Evaluation of Solid-State Electrolyte Based on Pectin and Lithium Bis (Trifluoromethanesulphonyl)Imide for Lithium-Ion Batteries. Mater. Today Proc. 2021, 47, 819–824. [Google Scholar] [CrossRef]
- Arrieta, A.A.; Calabokis, O.P.; Mendoza, J.M. Effect of Lithium Salts on the Properties of Cassava Starch Solid Biopolymer Electrolytes. Polymers 2023, 15, 4150. [Google Scholar] [CrossRef] [PubMed]
- Jin, Y.; Zong, X.; Zhang, X.; Jia, Z.; Xie, H.; Xiong, Y. Constructing 3D Li+-Percolated Transport Network in Composite Polymer Electrolytes for Rechargeable Quasi-Solid-State Lithium Batteries. Energy Storage Mater. 2022, 49, 433–444. [Google Scholar] [CrossRef]
- Zou, S.; Yang, Y.; Wang, J.; Zhou, X.; Wan, X.; Zhu, M.; Liu, J. In Situ Polymerization of Solid-State Polymer Electrolytes for Lithium Metal Batteries: A Review. Energy Environ. Sci. 2024, 17, 4426–4460. [Google Scholar] [CrossRef]
- Liu, L.; Qi, X.; Yin, S.; Zhang, Q.; Liu, X.; Suo, L.; Li, H.; Chen, L.; Hu, Y.-S. In Situ Formation of a Stable Interface in Solid-State Batteries. ACS Energy Lett. 2019, 4, 1650–1657. [Google Scholar] [CrossRef]
- Deng, T.; Cao, L.; He, X.; Li, A.-M.; Li, D.; Xu, J.; Liu, S.; Bai, P.; Jin, T.; Ma, L.; et al. In Situ Formation of Polymer-Inorganic Solid-Electrolyte Interphase for Stable Polymeric Solid-State Lithium-Metal Batteries. Chem. 2021, 7, 3052–3068. [Google Scholar] [CrossRef]
- Geng, Z.; Huang, Y.; Sun, G.; Chen, R.; Cao, W.; Zheng, J.; Li, H. In-Situ Polymerized Solid-State Electrolytes with Stable Cycling for Li/LiCoO2 Batteries. Nano Energy 2022, 91, 106679. [Google Scholar] [CrossRef]
- Mu, K.; Wang, D.; Dong, W.; Liu, Q.; Song, Z.; Xu, W.; Yao, P.; Chen, Y.; Yang, B.; Li, C.; et al. Hybrid Crosslinked Solid Polymer Electrolyte via In-Situ Solidification Enables High-Performance Solid-State Lithium Metal Batteries. Adv. Mater. 2023, 35, 2304686. [Google Scholar] [CrossRef]
- Grewal, M.S.; Tanaka, M.; Kawakami, H. Bifunctional Poly(Ethylene Glycol) Based Crosslinked Network Polymers as Electrolytes for All-solid-state Lithium Ion Batteries. Polym. Int. 2019, 68, 684–693. [Google Scholar] [CrossRef]
- Yang, H.; Zhang, B.; Jing, M.; Shen, X.; Wang, L.; Xu, H.; Yan, X.; He, X. In Situ Catalytic Polymerization of a Highly Homogeneous PDOL Composite Electrolyte for Long-Cycle High-Voltage Solid-State Lithium Batteries. Adv. Energy Mater. 2022, 12, 2201762. [Google Scholar] [CrossRef]
- Zha, W.; Li, W.; Ruan, Y.; Wang, J.; Wen, Z. In Situ Fabricated Ceramic/Polymer Hybrid Electrolyte with Vertically Aligned Structure for Solid-State Lithium Batteries. Energy Storage Mater. 2021, 36, 171–178. [Google Scholar] [CrossRef]
- Hao, Q.; Yan, J.; Gao, Y.; Chen, F.; Chen, X.; Qi, Y.; Li, N. In Situ Formed Gel Polymer Electrolytes Enable Stable Solid Electrolyte Interface for High-Performance Lithium Metal Batteries. ACS Appl. Mater. Interfaces 2024, 16, 44689–44696. [Google Scholar] [CrossRef]
- Lin, W.; Zheng, X.; Ma, S.; Ji, K.; Wang, C.; Chen, M. Quasi-Solid Polymer Electrolyte with Multiple Lithium-Ion Transport Pathways by In Situ Thermal-Initiating Polymerization. ACS Appl. Mater. Interfaces 2023, 15, 8128–8137. [Google Scholar] [CrossRef]
- Wu, M.; Liu, D.; Qu, D.; Lei, J.; Zhang, X.; Chen, H.; Tang, H. In-Situ Polymerized Composite Polymer Electrolyte with Cesium-Ion Additive Enables Dual-Interfacial Compatibility in All-Solid-State Lithium-Metal Batteries. J. Colloid. Interface Sci. 2022, 615, 627–635. [Google Scholar] [CrossRef] [PubMed]
- Xu, Y.; Zhao, R.; Gao, L.; Gao, T.; Wang, W.; Bian, J.; Han, S.; Zhu, J.; Xu, Q.; Zhao, Y. A Fiber-Reinforced Solid Polymer Electrolyte by in Situ Polymerization for Stable Lithium Metal Batteries. Nano Res. 2023, 16, 9259–9266. [Google Scholar] [CrossRef]
- Wang, J.; Tao, C.; Cao, J.; Jiao, X.; Wang, L.; Liu, T. A Quasi-Solid Electrolyte by In Situ Polymerization of Selective Solvent for Lithium-Metal Batteries. ChemElectroChem 2022, 9, e202200957. [Google Scholar] [CrossRef]
- Ma, J.; Wang, Z.; Wu, J.; Gu, Z.; Xin, X.; Yao, X. In Situ Solidified Gel Polymer Electrolytes for Stable Solid−State Lithium Batteries at High Temperatures. Batteries 2022, 9, 28. [Google Scholar] [CrossRef]
- Lin, Z.; Guo, X.; Zhang, R.; Tang, M.; Ding, P.; Zhang, Z.; Wu, L.; Wang, Y.; Zhao, S.; Zhang, Q.; et al. Molecular Structure Adjustment Enhanced Anti-Oxidation Ability of Polymer Electrolyte for Solid-State Lithium Metal Battery. Nano Energy 2022, 98, 107330. [Google Scholar] [CrossRef]
- Zhou, Y.F.; Xie, S.; Chen, C.H. In-Situ Thermal Polymerization of Rechargeable Lithium Batteries with Poly(Methyl Methacrylate) Based Gel-Polymer Electrolyte. J. Mater. Sci. 2006, 41, 7492–7497. [Google Scholar] [CrossRef]
- Nie, L.; Chen, S.; Zhang, M.; Gao, T.; Zhang, Y.; Wei, R.; Zhang, Y.; Liu, W. An In-Situ Polymerized Interphase Engineering for High-Voltage All-Solid-State Lithium-Metal Batteries. Nano Res. 2024, 17, 2687–2692. [Google Scholar] [CrossRef]
- Yu, J.; Lin, X.; Liu, J.; Yu, J.T.T.; Robson, M.J.; Zhou, G.; Law, H.M.; Wang, H.; Tang, B.Z.; Ciucci, F. In Situ Fabricated Quasi-Solid Polymer Electrolyte for High-Energy-Density Lithium Metal Battery Capable of Subzero Operation. Adv. Energy Mater. 2022, 12, 2102932. [Google Scholar] [CrossRef]
- Yang, T.; Zhang, W.; Liu, Y.; Zheng, J.; Xia, Y.; Tao, X.; Wang, Y.; Xia, X.; Huang, H.; Gan, Y.; et al. High-Performance Solid Lithium Metal Batteries Enabled by LiF/LiCl/LiIn Hybrid SEI via InCl3 -Driven In Situ Polymerization of 1,3-Dioxolane. Small 2023, 19, 2303210. [Google Scholar] [CrossRef]
- Wu, Y.; Ma, J.; Jiang, H.; Wang, L.; Zhang, F.; Feng, X.; Xiang, H. Confined In-Situ Polymerization of Poly(1,3-Dioxolane) and Poly(Vinylene Carbonate)-Based Quasi-Solid Polymer Electrolyte with Improved Uniformity for Lithium Metal Batteries. Mater. Today Energy 2023, 32, 101239. [Google Scholar] [CrossRef]
- Xu, R.; Xiao, B.; Xuan, C.; Gao, S.; Chai, J.; Liu, S.; Chen, Y.; Zheng, Y.; Cheng, X.; Guo, Q.; et al. Facile and Powerful In Situ Polymerization Strategy for Sulfur-Based All-Solid Polymer Electrolytes in Lithium Batteries. ACS Appl. Mater. Interfaces 2021, 13, 34274–34281. [Google Scholar] [CrossRef] [PubMed]
- Zhu, M.; Ma, J.; Wang, Z.; He, H.; Yao, X. In-Situ Polymerized Gel Polymer Electrolytes for Stable Solid-State Lithium Batteries with Long-Cycle Life. J. Power Sources 2023, 585, 233651. [Google Scholar] [CrossRef]
- Meisner, Q.J.; Jiang, S.; Cao, P.; Glossmann, T.; Hintennach, A.; Zhang, Z. An in Situ Generated Polymer Electrolyte via Anionic Ring-Opening Polymerization for Lithium–Sulfur Batteries. J. Mater. Chem. A 2021, 9, 25927–25933. [Google Scholar] [CrossRef]
- He, Y.; Li, Y.; Tong, Q.; Zhang, J.; Weng, J.; Zhu, M. Highly Conductive and Thermostable Grafted Polyrotaxane/Ceramic Hybrid Polymer Electrolyte for Solid-State Lithium-Metal Batteries. ACS Appl. Mater. Interfaces 2021, 13, 41593–41599. [Google Scholar] [CrossRef]
- Zhao, Z.; Zhang, Y.; Li, S.; Wang, S.; Li, Y.; Mi, H.; Sun, L.; Ren, X.; Zhang, P. A Lithium Carboxylate Grafted Dendrite-Free Polymer Electrolyte for an All-Solid-State Lithium-Ion Battery. J. Mater. Chem. A 2019, 7, 25818–25823. [Google Scholar] [CrossRef]
- Guo, K.; Li, S.; Chen, G.; Wang, J.; Wang, Y.; Xie, X.; Xue, Z. One-Pot Synthesis of Polyester-Based Linear and Graft Copolymers for Solid Polymer Electrolytes. CCS Chem. 2022, 4, 3134–3149. [Google Scholar] [CrossRef]
- Liu, D.; Lu, Z.; Lin, Z.; Zhang, C.; Dai, K.; Wei, W. Organoboron- and Cyano-Grafted Solid Polymer Electrolytes Boost the Cyclability and Safety of High-Voltage Lithium Metal Batteries. ACS Appl. Mater. Interfaces 2023, 15, 21112–21122. [Google Scholar] [CrossRef] [PubMed]
- Colombo, F.; Bonizzoni, S.; Ferrara, C.; Simonutti, R.; Mauri, M.; Falco, M.; Gerbaldi, C.; Mustarelli, P.; Ruffo, R. Polymer-in-Ceramic Nanocomposite Solid Electrolyte for Lithium Metal Batteries Encompassing PEO-Grafted TiO2 Nanocrystals. J. Electrochem. Soc. 2020, 167, 070535. [Google Scholar] [CrossRef]
- Li, H.; Shen, X.; Hua, H.; Gao, J.; Wen, Z.; Wang, X.; Peng, L.; Wu, D.; Zhang, P.; Zhao, J. A Novel Single-Ion Conductor Gel Polymer Electrolyte Prepared by Co-Irradiation Grafting and Electrospinning Process. Solid State Ion. 2020, 347, 115246. [Google Scholar] [CrossRef]
- Min, H.J.; Park, M.S.; Kang, M.; Kim, J.H. Excellent Film-Forming, Ion-Conductive, Zwitterionic Graft Copolymer Electrolytes for Solid-State Supercapacitors. Chem. Eng. J. 2021, 412, 127500. [Google Scholar] [CrossRef]
- Whba, R.; Su’ait, M.S.; TianKhoon, L.; Ibrahim, S.; Mohamed, N.S.; Ahmad, A. In-Situ UV Cured Acrylonitrile Grafted Epoxidized Natural Rubber (ACN-g-ENR)—LiTFSI Solid Polymer Electrolytes for Lithium-Ion Rechargeable Batteries. React. Funct. Polym. 2021, 164, 104938. [Google Scholar] [CrossRef]
- Huo, H.; Wu, B.; Zhang, T.; Zheng, X.; Ge, L.; Xu, T.; Guo, X.; Sun, X. Anion-Immobilized Polymer Electrolyte Achieved by Cationic Metal-Organic Framework Filler for Dendrite-Free Solid-State Batteries. Energy Storage Mater. 2019, 18, 59–67. [Google Scholar] [CrossRef]
- Zhang, H.; Wang, S.; Wang, A.; Li, Y.; Yu, F.; Chen, Y. Polyethylene Glycol-Grafted Cellulose-Based Gel Polymer Electrolyte for Long-Life Li-Ion Batteries. Appl. Surf. Sci. 2022, 593, 153411. [Google Scholar] [CrossRef]
- Liu, X.; Mao, W.; Gong, J.; Liu, H.; Shao, Y.; Sun, L.; Wang, H.; Wang, C. Enhanced Electrochemical Performance of PEO-Based Composite Polymer Electrolyte with Single-Ion Conducting Polymer Grafted SiO2 Nanoparticles. Polymers 2023, 15, 394. [Google Scholar] [CrossRef] [PubMed]
- Yuan, B.; Zhao, B.; Cong, Z.; Cheng, Z.; Wang, Q.; Lu, Y.; Han, X. A Flexible, Fireproof, Composite Polymer Electrolyte Reinforced by Electrospun Polyimide for Room-Temperature Solid-State Batteries. Polymers 2021, 13, 3622. [Google Scholar] [CrossRef]
- Hu, T.; Shen, X.; Peng, L.; Liu, Y.; Wang, X.; Ma, H.; Zhang, P.; Zhao, J. Preparation of Single-Ion Conductor Solid Polymer Electrolyte by Multi-Nozzle Electrospinning Process for Lithium-Ion Batteries. J. Phys. Chem. Solids 2021, 158, 110229. [Google Scholar] [CrossRef]
- Gao, L.; Tang, B.; Jiang, H.; Xie, Z.; Wei, J.; Zhou, Z. Fiber-Reinforced Composite Polymer Electrolytes for Solid-State Lithium Batteries. Adv. Sustain. Syst. 2022, 6, 2100389. [Google Scholar] [CrossRef]
- Wang, N.; Wei, Y.; Yu, S.; Zhang, W.; Huang, X.; Fan, B.; Yuan, H.; Tan, Y. A Flexible PEO-Based Polymer Electrolyte with Cross-Linked Network for High-Voltage All Solid-State Lithium-Ion Battery. J. Mater. Sci. Technol. 2024, 183, 206–214. [Google Scholar] [CrossRef]
- Panneerselvam, T.; Rajamani, A.; Janani, N.; Murugan, R.; Sivaprakasam, S. Electrospun Composite Polymer Electrolyte for High-Performance Quasi Solid-State Lithium Metal Batteries. Ionics 2023, 29, 1395–1406. [Google Scholar] [CrossRef]
- Seo, Y.; Jung, Y.-C.; Park, M.-S.; Kim, D.-W. Solid Polymer Electrolyte Supported by Porous Polymer Membrane for All-Solid-State Lithium Batteries. J. Membr. Sci. 2020, 603, 117995. [Google Scholar] [CrossRef]
- Wang, Y.; Liu, T.; Liu, C.; Liu, G.; Yu, J.; Zou, Q. Solid-State Lithium Battery with Garnet Li7La3Zr2O12 Nanofibers Composite Polymer Electrolytes. Solid. State Ion. 2022, 378, 115897. [Google Scholar] [CrossRef]
- Gao, L.; Li, J.; Ju, J.; Cheng, B.; Kang, W.; Deng, N. High-Performance All-Solid-State Polymer Electrolyte with Fast Conductivity Pathway Formed by Hierarchical Structure Polyamide 6 Nanofiber for Lithium Metal Battery. J. Energy Chem. 2021, 54, 644–654. [Google Scholar] [CrossRef]
- Gao, L.; Li, J.; Ju, J.; Cheng, B.; Kang, W.; Deng, N. Polyvinylidene Fluoride Nanofibers with Embedded Li6.4La3Zr1.4Ta0.6O12 Fillers Modified Polymer Electrolytes for High-Capacity and Long-Life All-Solid-State Lithium Metal Batteries. Compos. Sci. Technol. 2020, 200, 108408. [Google Scholar] [CrossRef]
- Bandyopadhyay, S.; Gupta, A.; Srivastava, R.; Nandan, B. Bio-Inspired Design of Electrospun Poly(Acrylonitrile) and Novel Ionene Based Nanofibrous Mats as Highly Flexible Solid State Polymer Electrolyte for Lithium Batteries. Chem. Eng. J. 2022, 440, 135926. [Google Scholar] [CrossRef]
- Arifeen, W.U.; Abideen, Z.U.; Guru Parakash, N.; Xiaolong, L.; Ko, T.J. Effects of a High-Performance, Solution-Cast Composite Electrolyte on the Host Electrospun Polymer Membrane for Solid-State Lithium Metal Batteries. Mater. Today Energy 2023, 33, 101270. [Google Scholar] [CrossRef]
- Ma, Y.; Wan, J.; Yang, Y.; Ye, Y.; Xiao, X.; Boyle, D.T.; Burke, W.; Huang, Z.; Chen, H.; Cui, Y.; et al. Scalable, Ultrathin, and High-Temperature-Resistant Solid Polymer Electrolytes for Energy-Dense Lithium Metal Batteries. Adv. Energy Mater. 2022, 12, 2103720. [Google Scholar] [CrossRef]
- Xu, H.; Zhang, X.; Jiang, J.; Li, M.; Shen, Y. Ultrathin Li7La3Zr2O12@PAN Composite Polymer Electrolyte with High Conductivity for All-Solid-State Lithium-Ion Battery. Solid State Ion. 2020, 347, 115227. [Google Scholar] [CrossRef]
- Xian, C.; Zhang, S.; Liu, P.; Huang, L.; He, X.; Shen, S.; Cao, F.; Liang, X.; Wang, C.; Wan, W.; et al. An Advanced Gel Polymer Electrolyte for Solid-State Lithium Metal Batteries. Small 2024, 20, 2306381. [Google Scholar] [CrossRef] [PubMed]
- Khoon, L.T.; Fui, M.-L.W.; Hassan, N.H.; Su’ait, M.S.; Vedarajan, R.; Matsumi, N.; Bin Kassim, M.; Shyuan, L.K.; Ahmad, A. In Situ Sol–Gel Preparation of ZrO2 in Nano-Composite Polymer Electrolyte of PVDF-HFP/MG49 for Lithium-Ion Polymer Battery. J. Sol-Gel Sci. Technol. 2019, 90, 665–675. [Google Scholar] [CrossRef]
- Luu, V.T.; Nguyen, Q.H.; Park, M.G.; Nguyen, H.L.; Seo, M.-H.; Jeong, S.-K.; Cho, N.; Lee, Y.-W.; Cho, Y.; Lim, S.N.; et al. Cubic Garnet Solid Polymer Electrolyte for Room Temperature Operable All-Solid-State-Battery. J. Mater. Res. Technol. 2021, 15, 5849–5863. [Google Scholar] [CrossRef]
- Azarian, M.H.; Wootthikanokkhan, J. In Situ Sol–Gel Synthesis of Tungsten Trioxide Networks in Polymer Electrolyte: Dual-functional Solid State Chromogenic Smart Film. J. Appl. Polym. Sci. 2021, 138, 49863. [Google Scholar] [CrossRef]
- Liu, Q.; Yu, T.; Yang, H.; Xu, S.; Li, H.; Chen, K.; Xu, R.; Zhou, T.; Sun, Z.; Li, F. Ion Coordination to Improve Ionic Conductivity in Polymer Electrolytes for High Performance Solid-State Batteries. Nano Energy 2022, 103, 107763. [Google Scholar] [CrossRef]
- Chen, G.; Zhang, K.; Liu, Y.; Ye, L.; Gao, Y.; Lin, W.; Xu, H.; Wang, X.; Bai, Y.; Wu, C. Flame-Retardant Gel Polymer Electrolyte and Interface for Quasi-Solid-State Sodium Ion Batteries. Chem. Eng. J. 2020, 401, 126065. [Google Scholar] [CrossRef]
- Wang, X.; Liu, Z.; Tang, Y.; Chen, J.; Mao, Z.; Wang, D. PVDF-HFP/PMMA/TPU-Based Gel Polymer Electrolytes Composed of Conductive Na3Zr2Si2PO12 Filler for Application in Sodium Ions Batteries. Solid State Ion. 2021, 359, 115532. [Google Scholar] [CrossRef]
- Li, L.; Xie, M.; Zhang, Y.; Xu, Y.; Li, J.; Shan, Y.; Zhao, Y.; Zhou, D.; Chen, X.; Cui, W. Thermal Safety and Performances Analysis of Gel Polymer Electrolytes Synthesized by in Situ Polymerization for Li-Ion Battery. J. Solid State Electrochem. 2021, 25, 2021–2032. [Google Scholar] [CrossRef]
- Wen, P.; Lu, P.; Shi, X.; Yao, Y.; Shi, H.; Liu, H.; Yu, Y.; Wu, Z. Photopolymerized Gel Electrolyte with Unprecedented Room-Temperature Ionic Conductivity for High-Energy-Density Solid-State Sodium Metal Batteries. Adv. Energy Mater. 2021, 11, 2002930. [Google Scholar] [CrossRef]
- Mohanty, D.; Chen, S.-Y.; Hung, I.-M. Effect of Lithium Salt Concentration on Materials Characteristics and Electrochemical Performance of Hybrid Inorganic/Polymer Solid Electrolyte for Solid-State Lithium-Ion Batteries. Batteries 2022, 8, 173. [Google Scholar] [CrossRef]
- Lee, T.K.; Andersson, R.; Dzulkurnain, N.A.; Hernández, G.; Mindemark, J.; Brandell, D. Polyester-ZrO2 Nanocomposite Electrolytes with High Li Transference Numbers for Ambient Temperature All-Solid-State Lithium Batteries. Batter. Supercaps 2021, 4, 653–662. [Google Scholar] [CrossRef]
- Zhang, P.; Li, R.; Huang, J.; Liu, B.; Zhou, M.; Wen, B.; Xia, Y.; Okada, S. Flexible Poly(Vinylidene Fluoride- Co.-Hexafluoropropylene)-Based Gel Polymer Electrolyte for High-Performance Lithium-Ion Batteries. RSC Adv. 2021, 11, 11943–11951. [Google Scholar] [CrossRef]
- Zhang, Y.; Lu, W.; Cong, L.; Liu, J.; Sun, L.; Mauger, A.; Julien, C.M.; Xie, H.; Liu, J. Cross-Linking Network Based on Poly(Ethylene Oxide): Solid Polymer Electrolyte for Room Temperature Lithium Battery. J. Power Sources 2019, 420, 63–72. [Google Scholar] [CrossRef]
- Chen, S.; Wang, J.; Wei, Z.; Zhang, Z.; Deng, Y.; Yao, X.; Xu, X. One-Pot Synthesis of Crosslinked Polymer Electrolyte beyond 5V Oxidation Potential for All-Solid-State Lithium Battery. J. Power Sources 2019, 431, 1–7. [Google Scholar] [CrossRef]
- Wen, S.; Luo, C.; Wang, Q.; Wei, Z.; Zeng, Y.; Jiang, Y.; Zhang, G.; Xu, H.; Wang, J.; Wang, C.; et al. Integrated Design of Ultrathin Crosslinked Network Polymer Electrolytes for Flexible and Stable All-Solid-State Lithium Batteries. Energy Storage Mater. 2022, 47, 453–461. [Google Scholar] [CrossRef]
- Davino, S.; Callegari, D.; Pasini, D.; Thomas, M.; Nicotera, I.; Bonizzoni, S.; Mustarelli, P.; Quartarone, E. Cross-Linked Gel Electrolytes with Self-Healing Functionalities for Smart Lithium Batteries. ACS Appl. Mater. Interfaces 2022, 14, 51941–51953. [Google Scholar] [CrossRef]
- Li, X.; Zheng, Y.; Duan, Y.; Shang, M.; Niu, J.; Li, C.Y. Designing Comb-Chain Crosslinker-Based Solid Polymer Electrolytes for Additive-Free All-Solid-State Lithium Metal Batteries. Nano Lett. 2020, 20, 6914–6921. [Google Scholar] [CrossRef] [PubMed]
- Zhang, T.; Zhang, J.; Yang, S.; Li, Y.; Dong, R.; Yuan, J.; Liu, Y.; Wu, Z.; Song, Y.; Zhong, Y.; et al. Facile In Situ Chemical Cross-Linking Gel Polymer Electrolyte, Which Confines the Shuttle Effect with High Ionic Conductivity and Li-Ion Transference Number for Quasi-Solid-State Lithium–Sulfur Battery. ACS Appl. Mater. Interfaces 2021, 13, 44497–44508. [Google Scholar] [CrossRef] [PubMed]
- Zhou, B.; Jiang, J.; Zhang, F.; Zhang, H. Crosslinked Poly(Ethylene Oxide)-Based Membrane Electrolyte Consisting of Polyhedral Oligomeric Silsesquioxane Nanocages for All-Solid-State Lithium Ion Batteries. J. Power Sources 2020, 449, 227541. [Google Scholar] [CrossRef]
- Olmedo-Martínez, J.L.; Meabe, L.; Riva, R.; Guzmán-González, G.; Porcarelli, L.; Forsyth, M.; Mugica, A.; Calafel, I.; Müller, A.J.; Lecomte, P.; et al. Flame Retardant Polyphosphoester Copolymers as Solid Polymer Electrolyte for Lithium Batteries. Polym. Chem. 2021, 12, 3441–3450. [Google Scholar] [CrossRef]
- Tang, L.; Chen, B.; Zhang, Z.; Ma, C.; Chen, J.; Huang, Y.; Zhang, F.; Dong, Q.; Xue, G.; Chen, D.; et al. Polyfluorinated Crosslinker-Based Solid Polymer Electrolytes for Long-Cycling 4.5 V Lithium Metal Batteries. Nat. Commun. 2023, 14, 2301. [Google Scholar] [CrossRef] [PubMed]
- Kuai, Y.; Wang, F.; Yang, J.; Lu, H.; Xu, Z.; Xu, X.; NuLi, Y.; Wang, J. Silica-Nanoresin Crosslinked Composite Polymer Electrolyte for Ambient-Temperature All-Solid-State Lithium Batteries. Mater. Chem. Front. 2021, 5, 6502–6511. [Google Scholar] [CrossRef]
- Cai, X.; Cai, Z.; Yuan, H.; Zhang, W.; Wang, S.; Wang, H.; Lan, J.; Yu, Y.; Yang, X. An Initiator-Free and Solvent-Free in-Situ Self-Catalyzed Crosslinked Polymer Electrolyte for All-Solid-State Lithium-Metal Batteries. J. Colloid Interface Sci. 2023, 648, 972–982. [Google Scholar] [CrossRef]
- Xu, R.; Xu, S.; Wang, F.; Xiao, R.; Tang, P.; Zhang, X.; Bai, S.; Sun, Z.; Li, F. Double Crosslinked Polymer Electrolyte by C–S–C Group and Metal–Organic Framework for Solid-State Lithium Batteries. Small Struct. 2023, 4, 2200206. [Google Scholar] [CrossRef]
- Ji, X.; Li, S.; Cao, M.; Liang, R.; Xiao, L.; Yue, K.; Liu, S.; Zhou, X.; Guo, Z. Crosslinked Polymer-Brush Electrolytes: An Approach to Safe All-Solid-State Lithium Metal Batteries at Room Temperature. Batter. Supercaps 2022, 5, e202100319. [Google Scholar] [CrossRef]
- Maddu, A.; Sulaeman, A.S.; Tri Wahyudi, S.; Rifai, A. Enhancing Ionic Conductivity of Carboxymethyl Cellulose-Lithium Perchlorate with Crosslinked Citric Acid as Solid Polymer Electrolytes for Lithium Polymer Batteries. Int. J. Renew. Energy Dev. 2022, 11, 1002–1011. [Google Scholar] [CrossRef]
- Wang, X.; Sun, J.; Feng, C.; Wang, X.; Xu, M.; Sun, J.; Zhang, N.; Ma, J.; Wang, Q.; Zong, C.; et al. Lithium Bis(Oxalate)Borate Crosslinked Polymer Electrolytes for High-Performance Lithium Batteries. J. Energy Chem. 2021, 55, 228–235. [Google Scholar] [CrossRef]
- Ma, F.; Zhang, Z.; Yan, W.; Ma, X.; Sun, D.; Jin, Y.; Chen, X.; He, K. Solid Polymer Electrolyte Based on Polymerized Ionic Liquid for High Performance All-Solid-State Lithium-Ion Batteries. ACS Sustain. Chem. Eng. 2019, 7, 4675–4683. [Google Scholar] [CrossRef]
- Mendes, T.C.; Goujon, N.; Malic, N.; Postma, A.; Chiefari, J.; Zhu, H.; Howlett, P.C.; Forsyth, M. Polymerized Ionic Liquid Block Copolymer Electrolytes for All-Solid-State Lithium-Metal Batteries. J. Electrochem. Soc. 2020, 167, 070525. [Google Scholar] [CrossRef]
- Sun, Y.; Zhang, X.; Ma, C.; Guo, N.; Liu, Y.; Liu, J.; Xie, H. Fluorine-Containing Triblock Copolymers as Solid-State Polymer Electrolytes for Lithium Metal Batteries. J. Power Sources 2021, 516, 230686. [Google Scholar] [CrossRef]
- Zhang, B.; Liu, Y.; Pan, X.; Liu, J.; Doyle-Davis, K.; Sun, L.; Liu, J.; Jiao, X.; Jie, J.; Xie, H.; et al. Dendrite-Free Lithium Metal Solid Battery with a Novel Polyester Based Triblock Copolymer Solid-State Electrolyte. Nano Energy 2020, 72, 104690. [Google Scholar] [CrossRef]
- Yang, L.; Nie, Y.; Liu, Y.; Zheng, Y.; Luo, D.; Yang, N.; Ma, Q.; Xu, M.; Ma, X.; Yu, A.; et al. The Plasticizer-Free Composite Block Copolymer Electrolytes for Ultralong Lifespan All-Solid-State Lithium-Metal Batteries. Nano Energy 2022, 100, 107499. [Google Scholar] [CrossRef]
- Khudyshkina, A.D.; Butzelaar, A.J.; Guo, Y.; Hoffmann, M.; Bergfeldt, T.; Schaller, M.; Indris, S.; Wilhelm, M.; Théato, P.; Jeschull, F. From Lithium to Potassium: Comparison of Cations in Poly(Ethylene Oxide)-Based Block Copolymer Electrolytes for Solid-State Alkali Metal Batteries. Electrochim. Acta 2023, 454, 142421. [Google Scholar] [CrossRef]
- Guan, M.; Liu, S.; Jiao, K.; Huang, Y.; Zhao, J.; Yan, J. Designing Thermomechanical Stable Gel-Polymer Electrolytes Mediated by Block-Copolymer Nanofibers for Quasi-Solid-State Lithium Batteries. Adv. Energy Sustain. Res. 2022, 3, 2200022. [Google Scholar] [CrossRef]
- He, Y.; Liu, N.; Kohl, P.A. Difunctional Block Copolymer with Ion Solvating and Crosslinking Sites as Solid Polymer Electrolyte for Lithium Batteries. J. Power Sources 2021, 481, 228832. [Google Scholar] [CrossRef]
- Gregory, G.L.; Gao, H.; Liu, B.; Gao, X.; Rees, G.J.; Pasta, M.; Bruce, P.G.; Williams, C.K. Buffering Volume Change in Solid-State Battery Composite Cathodes with CO2-Derived Block Polycarbonate Ethers. J. Am. Chem. Soc. 2022, 144, 17477–17486. [Google Scholar] [CrossRef]
- Butzelaar, A.J.; Röring, P.; Mach, T.P.; Hoffmann, M.; Jeschull, F.; Wilhelm, M.; Winter, M.; Brunklaus, G.; Théato, P. Styrene-Based Poly(Ethylene Oxide) Side-Chain Block Copolymers as Solid Polymer Electrolytes for High-Voltage Lithium-Metal Batteries. ACS Appl. Mater. Interfaces 2021, 13, 39257–39270. [Google Scholar] [CrossRef] [PubMed]
- Butzelaar, A.J.; Röring, P.; Hoffmann, M.; Atik, J.; Paillard, E.; Wilhelm, M.; Winter, M.; Brunklaus, G.; Theato, P. Advanced Block Copolymer Design for Polymer Electrolytes: Prospects of Microphase Separation. Macromolecules 2021, 54, 11101–11112. [Google Scholar] [CrossRef]
- Sun, Y.; Zhang, X.; Xu, P.; Liu, Y.; Dong, F.; Ma, C.; Liu, J.; Xie, H. Perfluoropolyether-Based Block Copolymer Electrolytes Enabling High-Temperature-Resistant Solid-State Lithium Metal Batteries. J. Power Sources 2023, 561, 232751. [Google Scholar] [CrossRef]
- Zhu, X.; Fang, Z.; Deng, Q.; Zhou, Y.; Fu, X.; Wu, L.; Yan, W.; Yang, Y. Poly(Ionic Liquid)@PEGMA Block Polymer Initiated Microphase Separation Architecture in Poly(Ethylene Oxide)-Based Solid-State Polymer Electrolyte for Flexible and Self-Healing Lithium Batteries. ACS Sustain. Chem. Eng. 2022, 10, 4173–4185. [Google Scholar] [CrossRef]
- Zhou, X.; Ye, Q.; Pang, B.; Wu, Z.; Yang, T.; Zhang, W.; Xia, Y.; Huang, H.; Xia, X.; He, X.; et al. Styrene–Butadiene–Styrene Block Copolymer-Li5.5PS4.5Cl1.5 Composite Solid-State Electrolyte Enabling a High-Performance All-Solid-State Lithium Battery. ACS Appl. Energy Mater. 2023, 6, 12120–12127. [Google Scholar] [CrossRef]
- Meng, N.; Lian, F.; Cui, G. Macromolecular Design of Lithium Conductive Polymer as Electrolyte for Solid-State Lithium Batteries. Small 2021, 17, 2005762. [Google Scholar] [CrossRef] [PubMed]
- Mohamed Ali, T.; Padmanathan, N.; Selladurai, S. Effect of Nanofiller CeO2 on Structural, Conductivity, and Dielectric Behaviors of Plasticized Blend Nanocomposite Polymer Electrolyte. Ionics 2015, 21, 829–840. [Google Scholar] [CrossRef]
- Lin, C.W.; Hung, C.L.; Venkateswarlu, M.; Hwang, B.J. Influence of TiO2 Nano-Particles on the Transport Properties of Composite Polymer Electrolyte for Lithium-Ion Batteries. J. Power Sources 2005, 146, 397–401. [Google Scholar] [CrossRef]
- Ni’mah, Y.L.; Saputra, M.A.E.; Suprapto, S.; Fansuri, H.; Suwarta, P.; Subhan, A.; Pradanawati, S.A. The Fabrication of Solid Polymer Electrolyte from CS/PEO/NaClO4/Fly Ash Composite. Polymers 2022, 14, 4792. [Google Scholar] [CrossRef] [PubMed]
- Yang, Z.; Sun, Z.; Liu, C.; Li, Y.; Zhou, G.; Zuo, S.; Wang, J.; Wu, W. Lithiated Nanosheets Hybridized Solid Polymer Electrolyte to Construct Li+ Conduction Highways for Advanced All-Solid-State Lithium Battery. J. Power Sources 2021, 484, 229287. [Google Scholar] [CrossRef]
- Shenbagavalli, S.; Muthuvinayagam, M.; Revathy, M.S. Preparation and Characterization of Proton (H+) Conducting Solid Blend Polymer Electrolytes Based on PEO/P(VdF-HFP) Incorporated with NH4SCN. J. Non-Cryst. Solids 2022, 579, 121368. [Google Scholar] [CrossRef]
- Laxmiprasanna, N.; Reddy, P.S.; Kumar, G.S.; Reddy, M.B.; Ganta, K.K.; Jeedi, V.R.; Praveen, B.V.S. A Review on Nano Composite Polymer Electrolytes for High-Performance Batteries. Mater. Today Proc. 2023, 72, 286–292. [Google Scholar] [CrossRef]
- Deka, M.; Kumar, A. Electrical and Electrochemical Studies of Poly(Vinylidene Fluoride)–Clay Nanocomposite Gel Polymer Electrolytes for Li-Ion Batteries. J. Power Sources 2011, 196, 1358–1364. [Google Scholar] [CrossRef]
- Karan, S.; Sahu, T.B.; Sahu, M.; Mahipal, Y.K.; Agrawal, R.C. Characterization of Ion Transport Property in Hot-Press Cast Solid Polymer Electrolyte (SPE) Films: [PEO: Zn(CF3SO3)2]. Ionics 2017, 23, 2721–2726. [Google Scholar] [CrossRef]
- Ashrafi, R.; Sahu, D.K.; Kesharwani, P.; Ganjir, M.; Agrawal, R.C. Ag+-Ion Conducting Nano-Composite Polymer Electrolytes (NCPEs): Synthesis, Characterization and All-Solid-Battery Studies. J. Non-Cryst. Solids 2014, 391, 91–95. [Google Scholar] [CrossRef]
- Klongkan, S.; Pumchusak, J. Effects of Nano Alumina and Plasticizers on Morphology, Ionic Conductivity, Thermal and Mechanical Properties of PEO-LiCF3SO3 Solid Polymer Electrolyte. Electrochim. Acta 2015, 161, 171–176. [Google Scholar] [CrossRef]
- Borah, S.; Deka, M. Study of Electrical and Electrochemical Properties of P(VdF-HFP)-MMT Based Nanocomposite Gel Polymer Electrolytes for Application in Energy Storage Devices. Mater. Sci. Eng. B 2021, 263, 114822. [Google Scholar] [CrossRef]
- Wu, Z.; Xie, Z.; Yoshida, A.; Wang, J.; Yu, T.; Wang, Z.; Hao, X.; Abudula, A.; Guan, G. Nickel Phosphate Nanorod-Enhanced Polyethylene Oxide-Based Composite Polymer Electrolytes for Solid-State Lithium Batteries. J. Colloid Interface Sci. 2020, 565, 110–118. [Google Scholar] [CrossRef]
- Liew, J.W.Y.; Loh, K.S.; Ahmad, A.; Lim, K.L.; Wan Daud, W.R. Effect of Modified Natural Filler O-Methylene Phosphonic κ-Carrageenan on Chitosan-Based Polymer Electrolytes. Energies 2018, 11, 1910. [Google Scholar] [CrossRef]
- Dhatarwal, P.; Choudhary, S.; Sengwa, R.J. Electrochemical Performance of Li+-Ion Conducting Solid Polymer Electrolytes Based on PEO–PMMA Blend Matrix Incorporated with Various Inorganic Nanoparticles for the Lithium Ion Batteries. Compos. Commun. 2018, 10, 11–17. [Google Scholar] [CrossRef]
- Arya, A.; Sharma, A.L. Tailoring of the Structural, Morphological, Electrochemical, and Dielectric Properties of Solid Polymer Electrolyte. Ionics 2019, 25, 1617–1632. [Google Scholar] [CrossRef]
- Deshmukh, K.; Ahamed, M.B.; Polu, A.R.; Sadasivuni, K.K.; Pasha, S.K.K.; Ponnamma, D.; AlMaadeed, M.A.-A.; Deshmukh, R.R.; Chidambaram, K. Impedance Spectroscopy, Ionic Conductivity and Dielectric Studies of New Li+ Ion Conducting Polymer Blend Electrolytes Based on Biodegradable Polymers for Solid State Battery Applications. J. Mater. Sci: Mater. Electron. 2016, 27, 11410–11424. [Google Scholar] [CrossRef]
- Nofal, M.M.; Aziz, S.B.; Ghareeb, H.O.; Hadi, J.M.; Dannoun, E.M.A.; Al-Saeedi, S.I. Impedance and Dielectric Properties of PVC:NH4I Solid Polymer Electrolytes (SPEs): Steps toward the Fabrication of SPEs with High Resistivity. Materials 2022, 15, 2143. [Google Scholar] [CrossRef] [PubMed]
- Rauf, H.G.; Hadi, J.M.; Aziz, S.B.; Abdulwahid, R.T.; Mustafa, M.S. A Novel Approach to Design High Resistive Polymer Electrolytes Based on PVC: Electrochemical Impedance and Dielectric Properties. Int. J. Electrochem. Sci. 2022, 17, 22051. [Google Scholar] [CrossRef]
- Ramesh, S.; Yin, T.S.; Liew, C.-W. Effect of Dibutyl Phthalate as Plasticizer on High-Molecular Weight Poly(Vinyl Chloride)–Lithium Tetraborate-Based Solid Polymer Electrolytes. Ionics 2011, 17, 705–713. [Google Scholar] [CrossRef]
- Ganta, K.K.; Jeedi, V.R.; Katrapally, V.K.; Yalla, M.; Emmadi, L.N. Effect of TiO2 Nano-Filler on Electrical Properties of Na+ Ion Conducting PEO/PVDF Based Blended Polymer Electrolyte. J. Inorg. Organomet. Polym. 2021, 31, 3430–3440. [Google Scholar] [CrossRef]
- Kulshrestha, N.; Chatterjee, B.; Gupta, P.N. Structural, Thermal, Electrical, and Dielectric Properties of Synthesized Nanocomposite Solid Polymer Electrolytes. High. Perform. Polym. 2014, 26, 677–688. [Google Scholar] [CrossRef]
- Zamri, S.F.M.; Latif, F.A.; Ali, A.M.M.; Ibrahim, R.; Kamaluddin, N.; Hadip, F. Ionic Conductivity and Dielectric Properties of LiBF4 Doped PMMA/ENR 50 Filled Acid Modified SiO2 Electrolytes. Procedia Technol. 2014, 15, 849–855. [Google Scholar] [CrossRef]
- Quartarone, E. PEO-Based Composite Polymer Electrolytes. Solid State Ion. 1998, 110, 1–14. [Google Scholar] [CrossRef]
- Solid State Electrochemistry; Bruce, P.G., Ed.; Chemistry of solid state materials; Cambridge University Press: Cambridge, UK; New York, NY, USA, 1995; ISBN 978-0-521-40007-7. [Google Scholar]
- Lu, Q.; He, Y.; Yu, Q.; Li, B.; Kaneti, Y.V.; Yao, Y.; Kang, F.; Yang, Q. Dendrite-Free, High-Rate, Long-Life Lithium Metal Batteries with a 3D Cross-Linked Network Polymer Electrolyte. Adv. Mater. 2017, 29, 1604460. [Google Scholar] [CrossRef] [PubMed]
- Lin, Y.-C.; Ito, K.; Yokoyama, H. Solid Polymer Electrolyte Based on Crosslinked Polyrotaxane. Polymer 2018, 136, 121–127. [Google Scholar] [CrossRef]
- Li, Z.; Guo, D.; Li, F.; Hou, G.; Liu, X.; Li, C.; Cao, L.; Wei, R.; Zhou, Z.; Lai, Z. Nerve Network-Inspired Solid Polymer Electrolytes (NN-SPE) for Fast and Single-Ion Lithium Conduction. Energy Storage Mater. 2022, 49, 575–582. [Google Scholar] [CrossRef]
- Lee, J.-Y.; Yu, T.-Y.; Chung, P.-H.; Lee, W.-Y.; Yeh, S.-C.; Wu, N.-L.; Jeng, R.-J. Semi-Interpenetrating Polymer Network Electrolytes Based on a Spiro-Twisted Benzoxazine for All-Solid-State Lithium-Ion Batteries. ACS Appl. Energy Mater. 2021, 4, 2663–2671. [Google Scholar] [CrossRef]
- Kim, G.-T.; Appetecchi, G.B.; Alessandrini, F.; Passerini, S. Solvent-Free, PYR1ATFSI Ionic Liquid-Based Ternary Polymer Electrolyte Systems. J. Power Sources 2007, 171, 861–869. [Google Scholar] [CrossRef]
- Cha, E.H.; Macfarlane, D.R.; Forsyth, M.; Lee, C.W. Ionic Conductivity Studies of Polymeric Electrolytes Containing Lithium Salt with Plasticizer. Electrochim. Acta 2004, 50, 335–338. [Google Scholar] [CrossRef]
- Young, W.-S.; Epps, T.H. Ionic Conductivities of Block Copolymer Electrolytes with Various Conducting Pathways: Sample Preparation and Processing Considerations. Macromolecules 2012, 45, 4689–4697. [Google Scholar] [CrossRef]
- Aldalur, I.; Martinez-Ibañez, M.; Piszcz, M.; Rodriguez-Martinez, L.M.; Zhang, H.; Armand, M. Lowering the Operational Temperature of All-Solid-State Lithium Polymer Cell with Highly Conductive and Interfacially Robust Solid Polymer Electrolytes. J. Power Sources 2018, 383, 144–149. [Google Scholar] [CrossRef]
- Forsyth, M.; MacFarlane, D.R.; Hill, A.J. Glass Transition and Free Volume Behaviour of Poly(Acrylonitrile)/LiCF3SO3 Polymer-in-Salt Electrolytes Compared to Poly(Ether Urethane)/LiClO4 Solid Polymer Electrolytes. Electrochim. Acta 2000, 45, 1243–1247. [Google Scholar] [CrossRef]
- Sandner, B.; Steurich, T.; Wiesner, K.; Bischoff, H. Solid Polymer Electrolytes Based on Oligo(Ethylene Glycol)Methacrylates: 1. Conductivity of Plasticized Networks Containing a Polar Comonomer. Polym. Bull. 1992, 28, 355–360. [Google Scholar] [CrossRef]
- Dannoun, E.M.A.; Aziz, S.B.; Abdullah, S.N.; Nofal, M.M.; Mahmoud, K.H.; Murad, A.R.; Abdullah, R.M.; Kadir, M.F.Z. Characteristics of Plasticized Lithium Ion Conducting Green Polymer Blend Electrolytes Based on CS: Dextran with High Energy Density and Specific Capacitance. Polymers 2021, 13, 3613. [Google Scholar] [CrossRef] [PubMed]
- Mauger, A.; Julien, C.M. V2O5 Thin Films for Energy Storage and Conversion. AIMS Mater. Sci. 2018, 5, 349–401. [Google Scholar] [CrossRef]
- Tasheva, T.; Dimitrov, V. Correlation between Structure and Optical Basicity of Glasses in the TeO2-V2O5-MoO3 System. J. Non-Cryst. Solids 2021, 570, 120981. [Google Scholar] [CrossRef]
- Logan, E.R.; Hall, D.S.; Cormier, M.M.E.; Taskovic, T.; Bauer, M.; Hamam, I.; Hebecker, H.; Molino, L.; Dahn, J.R. Ester-Based Electrolytes for Fast Charging of Energy Dense Lithium-Ion Batteries. J. Phys. Chem. C 2020, 124, 12269–12280. [Google Scholar] [CrossRef]
- Xu, K.; Von Cresce, A.; Lee, U. Differentiating Contributions to “Ion Transfer” Barrier from Interphasial Resistance and Li+ Desolvation at Electrolyte/Graphite Interface. Langmuir 2010, 26, 11538–11543. [Google Scholar] [CrossRef]
- Xu, K.; Von Wald Cresce, A. Li+ -Solvation/Desolvation Dictates Interphasial Processes on Graphitic Anode in Li Ion Cells. J. Mater. Res. 2012, 27, 2327–2341. [Google Scholar] [CrossRef]
- Cho, Y.-G.; Kim, Y.-S.; Sung, D.-G.; Seo, M.-S.; Song, H.-K. Nitrile-Assistant Eutectic Electrolytes for Cryogenic Operation of Lithium Ion Batteries at Fast Charges and Discharges. Energy Environ. Sci. 2014, 7, 1737–1743. [Google Scholar] [CrossRef]
- Yao, Y.-X.; Chen, X.; Yan, C.; Zhang, X.-Q.; Cai, W.-L.; Huang, J.-Q.; Zhang, Q. Regulating Interfacial Chemistry in Lithium-Ion Batteries by a Weakly-Solvating Electrolyte. Angew. Chem. Int. Ed. 2020, 60, 4090–4097. [Google Scholar] [CrossRef]
- Chen, X.; Yao, N.; Zeng, B.-S.; Zhang, Q. Ion–Solvent Chemistry in Lithium Battery Electrolytes: From Mono-Solvent to Multi-Solvent Complexes. Fundam. Res. 2021, 1, 393–398. [Google Scholar] [CrossRef]
- Lei, S.; Zeng, Z.; Liu, M.; Zhang, H.; Cheng, S.; Xie, J. Balanced Solvation/de-Solvation of Electrolyte Facilitates Li-Ion Intercalation for Fast Charging and Low-Temperature Li-Ion Batteries. Nano Energy 2022, 98, 107265. [Google Scholar] [CrossRef]
- Ong, M.T.; Verners, O.; Draeger, E.W.; Van Duin, A.C.T.; Lordi, V.; Pask, J.E. Lithium Ion Solvation and Diffusion in Bulk Organic Electrolytes from First-Principles and Classical Reactive Molecular Dynamics. J. Phys. Chem. B 2015, 119, 1535–1545. [Google Scholar] [CrossRef]
- Jiang, H.; Han, X.; Du, X.; Chen, Z.; Lu, C.; Li, X.; Zhang, H.; Zhao, J.; Han, P.; Cui, G. A PF6−-Permselective Polymer Electrolyte with Anion Solvation Regulation Enabling Long-Cycle Dual-Ion Battery. Adv. Mater. 2022, 34, 2108665. [Google Scholar] [CrossRef] [PubMed]
- Chernyak, A.V.; Slesarenko, N.A.; Slesarenko, A.A.; Baymuratova, G.R.; Tulibaeva, G.Z.; Yudina, A.V.; Volkov, V.I.; Shestakov, A.F.; Yarmolenko, O.V. Effect of the Solvate Environment of Lithium Cations on the Resistance of the Polymer Electrolyte/Electrode Interface in a Solid-State Lithium Battery. Membranes 2022, 12, 1111. [Google Scholar] [CrossRef]
- Wen, P.; Liu, Y.; Mao, J.; Liu, X.; Li, W.; Ren, Y.; Zhou, Y.; Shao, F.; Chen, M.; Lin, J.; et al. Tuning Desolvation Kinetics of In-Situ Weakly Solvating Polyacetal Electrolytes for Dendrite-Free Lithium Metal Batteries. J. Energy Chem. 2023, 79, 340–347. [Google Scholar] [CrossRef]
- Wang, T.; Zhang, Y.; Huang, X.; Su, P.; Xiao, M.; Wang, S.; Huang, S.; Han, D.; Meng, Y. Designing Weakly and Strongly Solvating Polymer Electrolytes: Systematically Boosting High-voltage Lithium Metal Batteries. SusMat 2024, 4, e219. [Google Scholar] [CrossRef]
- Kido, R.; Ueno, K.; Iwata, K.; Kitazawa, Y.; Imaizumi, S.; Mandai, T.; Dokko, K.; Watanabe, M. Li+ Ion Transport in Polymer Electrolytes Based on a Glyme-Li Salt Solvate Ionic Liquid. Electrochim. Acta 2015, 175, 5–12. [Google Scholar] [CrossRef]
- Lin, Z.; Wang, Y.; Li, Y.; Liu, Y.; Zhong, S.; Xie, M.; Yan, F.; Zhang, Z.; Peng, J.; Li, J.; et al. Regulating Solvation Structure in Gel Polymer Electrolytes with Covalent Organic Frameworks for Lithium Metal Batteries. Energy Storage Mater. 2022, 53, 917–926. [Google Scholar] [CrossRef]
- Liu, X.; Wang, D.; Zhang, Z.; Li, G.; Wang, J.; Yang, G.; Lin, H.; Lin, J.; Ou, X.; Zheng, W. Gel Polymer Electrolyte Enables Low-Temperature and High-Rate Lithium-Ion Batteries via Bionic Interface Design. Small 2024, 20, 2404879. [Google Scholar] [CrossRef]
- Yu, Y.; Lu, F.; Sun, N.; Wu, A.; Pan, W.; Zheng, L. Single Lithium-Ion Polymer Electrolytes Based on Poly(Ionic Liquid)s for Lithium-Ion Batteries. Soft Matter 2018, 14, 6313–6319. [Google Scholar] [CrossRef]
- Kitazawa, Y.; Iwata, K.; Kido, R.; Imaizumi, S.; Tsuzuki, S.; Shinoda, W.; Ueno, K.; Mandai, T.; Kokubo, H.; Dokko, K.; et al. Polymer Electrolytes Containing Solvate Ionic Liquids: A New Approach To Achieve High Ionic Conductivity, Thermal Stability, and a Wide Potential Window. Chem. Mater. 2018, 30, 252–261. [Google Scholar] [CrossRef]
- Lee, K.-H.; Lim, H.S.; Wang, J.H. Effect of Unreacted Monomer on Performance of Lithium-Ion Polymer Batteries Based on Polymer Electrolytes Prepared by Free Radical Polymerization. J. Power Sources 2005, 139, 284–288. [Google Scholar] [CrossRef]
- Swiderska-Mocek, A.; Kubis, A. Preparation and Electrochemical Properties of Polymer Electrolyte Containing Lithium Difluoro(Oxalato)Borate or Lithium Bis(Oxalate)Borate for Li-Ion Polymer Batteries. Solid State Ion. 2021, 364, 115628. [Google Scholar] [CrossRef]
- Wang, S.; Li, J.; Li, T.; Huang, W.; Wang, L.; Tao, S. Li+ Affinity Ultra-Thin Solid Polymer Electrolyte for Advanced All-Solid-State Lithium-Ion Battery. Chem. Eng. J. 2023, 461, 141995. [Google Scholar] [CrossRef]
- Zhu, Y.; Liu, C.; Yang, Y.; Li, Y.; Wu, Q.-H. A Novel Design of Inorganic-Polymer Gel Electrolyte/Anode Interphase in Quasi-Solid-State Lithium-Ion Batteries. Electrochim. Acta 2023, 446, 142097. [Google Scholar] [CrossRef]
- Li, H.; Kuai, Y.; Yang, J.; Hirano, S.; Nuli, Y.; Wang, J. A New Flame-Retardant Polymer Electrolyte with Enhanced Li-Ion Conductivity for Safe Lithium-Sulfur Batteries. J. Energy Chem. 2022, 65, 616–622. [Google Scholar] [CrossRef]
- Chen, J.; Lu, H.; Zhang, X.; Zhang, Y.; Yang, J.; Nuli, Y.; Huang, Y.; Wang, J. Electrochemical Polymerization of Nonflammable Electrolyte Enabling Fast-Charging Lithium-Sulfur Battery. Energy Storage Mater. 2022, 50, 387–394. [Google Scholar] [CrossRef]
- Guo, Y.; Lu, J.; Jin, Z.; Chen, H.; Wang, W.; Huang, Y.; Wang, A. InPc-Modified Gel Electrolyte Based on in Situ Polymerization in Practical High-Loading Lithium-Sulfur Batteries. Chem. Eng. J. 2023, 469, 143714. [Google Scholar] [CrossRef]
- Ling, W.; Fu, N.; Yue, J.; Zeng, X.; Ma, Q.; Deng, Q.; Xiao, Y.; Wan, L.; Guo, Y.; Wu, X. A Flexible Solid Electrolyte with Multilayer Structure for Sodium Metal Batteries. Adv. Energy Mater. 2020, 10, 1903966. [Google Scholar] [CrossRef]
- Liu, X.; Li, X.; Yang, X.; Lu, J.; Zhang, X.; Yuan, D.; Zhang, Y. Influence of Water on Gel Electrolytes for Zinc-Ion Batteries. Chem. Asian J. 2023, 18, e202201280. [Google Scholar] [CrossRef]
- Yu, Z.; Jiao, S.; Li, S.; Chen, X.; Song, W.; Teng, T.; Tu, J.; Chen, H.; Zhang, G.; Fang, D. Flexible Stable Solid-State Al-Ion Batteries. Adv. Funct. Mater. 2019, 29, 1806799. [Google Scholar] [CrossRef]
- Xie, Y.; Feng, L.; Li, D.; Tang, Y.; Zhu, C.; Wang, M.; Xu, J. A Novel Flame-Retardant Nitrile-Based Gel Polymer Electrolyte for Quasi-Solid-State Lithium Metal Batteries. Colloids Surf. A Physicochem. Eng. Asp. 2023, 670, 131487. [Google Scholar] [CrossRef]
- Callegari, D.; Colombi, S.; Nitti, A.; Simari, C.; Nicotera, I.; Ferrara, C.; Mustarelli, P.; Pasini, D.; Quartarone, E. Autonomous Self-Healing Strategy for Stable Sodium-Ion Battery: A Case Study of Black Phosphorus Anodes. ACS Appl. Mater. Interfaces 2021, 13, 13170–13182. [Google Scholar] [CrossRef]
- West, K.; Zachau-Christiansen, B.; Jacobsen, T.; Hiort-Lorenzen, E.; Skaarup, S. Poly(Ethylene Oxide)-sodium Perchlorate Electrolytes in Solid-state Sodium Cells. Br. Polym. J. 1988, 20, 243–246. [Google Scholar] [CrossRef]
- Ma, Y.; Doyle, M.; Fuller, T.F.; Doeff, M.M.; De Jonghe, L.C.; Newman, J. The Measurement of a Complete Set of Transport Properties for a Concentrated Solid Polymer Electrolyte Solution. J. Electrochem. Soc. 1995, 142, 1859–1868. [Google Scholar] [CrossRef]
- Song, S.; Kotobuki, M.; Zheng, F.; Xu, C.; Savilov, S.V.; Hu, N.; Lu, L.; Wang, Y.; Li, W.D.Z. A Hybrid Polymer/Oxide/Ionic-Liquid Solid Electrolyte for Na-Metal Batteries. J. Mater. Chem. A 2017, 5, 6424–6431. [Google Scholar] [CrossRef]
- Zheng, Y.; Pan, Q.; Clites, M.; Byles, B.W.; Pomerantseva, E.; Li, C.Y. High-Capacity All-Solid-State Sodium Metal Battery with Hybrid Polymer Electrolytes. Adv. Energy Mater. 2018, 8, 1801885. [Google Scholar] [CrossRef]
- Zhou, D.; Liu, R.; Zhang, J.; Qi, X.; He, Y.-B.; Li, B.; Yang, Q.-H.; Hu, Y.-S.; Kang, F. In Situ Synthesis of Hierarchical Poly(Ionic Liquid)-Based Solid Electrolytes for High-Safety Lithium-Ion and Sodium-Ion Batteries. Nano Energy 2017, 33, 45–54. [Google Scholar] [CrossRef]
- Zhang, Z.; Xu, K.; Rong, X.; Hu, Y.-S.; Li, H.; Huang, X.; Chen, L. Na3.4Zr1.8Mg0.2Si2PO12 Filled Poly(Ethylene Oxide)/Na(CF3SO2)2N as Flexible Composite Polymer Electrolyte for Solid-State Sodium Batteries. J. Power Sources 2017, 372, 270–275. [Google Scholar] [CrossRef]
- Reddeppa, N.; Sharma, A.K.; Narasimha Rao, V.V.R.; Chen, W. Preparation and Characterization of Pure and KBr Doped Polymer Blend (PVC/PEO) Electrolyte Thin Films. Microelectron. Eng. 2013, 112, 57–62. [Google Scholar] [CrossRef]
- Gao, H.; Xue, L.; Xin, S.; Goodenough, J.B. A High-Energy-Density Potassium Battery with a Polymer-Gel Electrolyte and a Polyaniline Cathode. Angew. Chem. Int. Ed. 2018, 57, 5449–5453. [Google Scholar] [CrossRef]
- Singh, R.; Baghel, J.; Shukla, S.; Bhattacharya, B.; Rhee, H.-W.; Singh, P.K. Detailed Electrical Measurements on Sago Starch Biopolymer Solid Electrolyte. Phase Transit. 2014, 87, 1237–1245. [Google Scholar] [CrossRef]
- Lee, K.J.; Park, J.T.; Koh, J.H.; Min, B.R.; Kim, J.H. Graft Polymerization of Poly(Epichlorohydrin-g-Poly((Oxyethylene) Methacrylate)) Using ATRP and Its Polymer Electrolyte with KI. Ionics 2009, 15, 163–167. [Google Scholar] [CrossRef]
- Yang, J.; Zhang, H.; Zhou, Q.; Qu, H.; Dong, T.; Zhang, M.; Tang, B.; Zhang, J.; Cui, G. Safety-Enhanced Polymer Electrolytes for Sodium Batteries: Recent Progress and Perspectives. ACS Appl. Mater. Interfaces 2019, 11, 17109–17127. [Google Scholar] [CrossRef]
- Kesharwani, P.; Sahu, D.K.; Sahu, M.; Sahu, T.B.; Agrawal, R.C. Study of Ion Transport and Materials Properties of K+-Ion Conducting Solid Polymer Electrolyte (SPE):[(1-x)PEO:xCH3COOK]. Ionics 2017, 23, 2823–2827. [Google Scholar] [CrossRef]
- Zhao, T.; Zhang, G.; Zhou, F.; Zhang, S.; Deng, C. Toward Tailorable Zn-Ion Textile Batteries with High Energy Density and Ultrafast Capability: Building High-Performance Textile Electrode in 3D Hierarchical Branched Design. Small 2018, 14, 1802320. [Google Scholar] [CrossRef] [PubMed]
- Liu, J.; Guan, C.; Zhou, C.; Fan, Z.; Ke, Q.; Zhang, G.; Liu, C.; Wang, J. A Flexible Quasi-Solid-State Nickel–Zinc Battery with High Energy and Power Densities Based on 3D Electrode Design. Adv. Mater. 2016, 28, 8732–8739. [Google Scholar] [CrossRef] [PubMed]
- Li, H.; Han, C.; Huang, Y.; Huang, Y.; Zhu, M.; Pei, Z.; Xue, Q.; Wang, Z.; Liu, Z.; Tang, Z.; et al. An Extremely Safe and Wearable Solid-State Zinc Ion Battery Based on a Hierarchical Structured Polymer Electrolyte. Energy Environ. Sci. 2018, 11, 941–951. [Google Scholar] [CrossRef]
- Ye, H.; Xu, J.J. Zinc Ion Conducting Polymer Electrolytes Based on Oligomeric Polyether/PVDF-HFP Blends. J. Power Sources 2007, 165, 500–508. [Google Scholar] [CrossRef]
- Liu, B.; Huang, Y.; Wang, J.; Li, Z.; Yang, G.; Jin, S.; Iranmanesh, E.; Hiralal, P.; Zhou, H. Highly Conductive Locust Bean Gum Bio-Electrolyte for Superior Long-Life Quasi-Solid-State Zinc-Ion Batteries. RSC Adv. 2021, 11, 24862–24871. [Google Scholar] [CrossRef] [PubMed]
- Chen, Z.; Wang, P.; Ji, Z.; Wang, H.; Liu, J.; Wang, J.; Hu, M.; Huang, Y. High-Voltage Flexible Aqueous Zn-Ion Battery with Extremely Low Dropout Voltage and Super-Flat Platform. Nano-Micro Lett. 2020, 12, 75. [Google Scholar] [CrossRef]
- Huang, S.; Wan, F.; Bi, S.; Zhu, J.; Niu, Z.; Chen, J. A Self-Healing Integrated All-in-One Zinc-Ion Battery. Angew. Chem. Int. Ed. 2019, 58, 4313–4317. [Google Scholar] [CrossRef]
- Li, X.; Wang, D.; Ran, F. Key Approaches and Challenges in Fabricating Advanced Flexible Zinc-Ion Batteries with Functional Hydrogel Electrolytes. Energy Storage Mater. 2023, 56, 351–393. [Google Scholar] [CrossRef]
- Wu, F.; Zhu, N.; Bai, Y.; Gao, Y.; Wu, C. An Interface-Reconstruction Effect for Rechargeable Aluminum Battery in Ionic Liquid Electrolyte to Enhance Cycling Performances. Green. Energy Environ. 2018, 3, 71–77. [Google Scholar] [CrossRef]
- Gu, S.; Wang, H.; Wu, C.; Bai, Y.; Li, H.; Wu, F. Confirming Reversible Al3+ Storage Mechanism through Intercalation of Al3+ into V2O5 Nanowires in a Rechargeable Aluminum Battery. Energy Storage Mater. 2017, 6, 9–17. [Google Scholar] [CrossRef]
- Wu, F.; Yang, H.; Bai, Y.; Wu, C. Paving the Path toward Reliable Cathode Materials for Aluminum-Ion Batteries. Adv. Mater. 2019, 31, 1806510. [Google Scholar] [CrossRef]
- Wang, H.; Gu, S.; Bai, Y.; Chen, S.; Wu, F.; Wu, C. High-Voltage and Noncorrosive Ionic Liquid Electrolyte Used in Rechargeable Aluminum Battery. ACS Appl. Mater. Interfaces 2016, 8, 27444–27448. [Google Scholar] [CrossRef]
- Elia, G.A.; Marquardt, K.; Hoeppner, K.; Fantini, S.; Lin, R.; Knipping, E.; Peters, W.; Drillet, J.; Passerini, S.; Hahn, R. An Overview and Future Perspectives of Aluminum Batteries. Adv. Mater. 2016, 28, 7564–7579. [Google Scholar] [CrossRef]
- Yao, T.; Genier, F.S.; Biria, S.; Hosein, I.D. A Solid Polymer Electrolyte for Aluminum Ion Conduction. Results Phys. 2018, 10, 529–531. [Google Scholar] [CrossRef]
- Song, S.; Kotobuki, M.; Zheng, F.; Li, Q.; Xu, C.; Wang, Y.; Li, W.D.Z.; Hu, N.; Lu, L. Al Conductive Hybrid Solid Polymer Electrolyte. Solid State Ion. 2017, 300, 165–168. [Google Scholar] [CrossRef]





















| Monomer | Solvent | Salt | Ionic Conductivities (Scm−1) at Temperature (°C) | Lithium-Ion Transference Number (tLi+) | ESW (V vs. Li/Li+) | Discharge Specific Capacity (mAh g−1) | Capacity Retention (%/Cycle) | Reference |
|---|---|---|---|---|---|---|---|---|
| PolyILs | ACN | LiTFSI and LiFSI | 9 × 10−5 at 80 | 0.81 | - | - | - | [133] |
| PVDF-HFP | DMF | LiFSI | 1.67 × 10−3 at RT | 0.27 | 4.5–4.8 | 142.2 | 97.2/300 | [134] |
| PEO | - | LiFSI | 2.7 × 10−4 at RT | - | 4.5 | - | 74.4/186 | [135] |
| DL-lactide, and 3-caprolactone | - | LiTFSI | 8.9 × 10−5 at 30 | 0.6 | 5 | 180/0.1 C, 171/0.2 C, 164/0.3 C, 150/0.5 C, and 121/1 C | 92.5/160 | [136] |
| PAN | - | Zn(OTf2) | 1.75 × 10−3 at RT | 0.78 (Zn2+) | 9 | 190 | 80/6000 | [137] |
| PCL | - | LiFSI | 3.9 × 10−4 at 30 | 0.61 | 4.8 | 147/0.1 C, and 135/0.5 C | 92/300 | [138] |
| PEO or PAN | - | LiTFSI | 8.5 × 10−5 at 30, and 1.8 × 10−4 at 60 | 0.62 | 5 | 92/1 C | 98.8/100 | [139] |
| SAPE (Solid state aqueous PE) | - | LiTFSI | 3 × 10−3, and 1.7 × 10−3 at 25 | - | 3.86 | 158 | 99.97/600 | [140] |
| PVDF | NMP | LiTFSI | 3.03 × 10−4 at 25 | 0.546 | 4.3 | 111.8 | 71/800 | [141] |
| PAN | - | LiTFSI | 4.44 × 10−4 at 25 | 0.61 | - | 643/0.05 C | 54.7/120 | [142] |
| PVDF-HFP | DMF | LiTFSI | 1.24 × 10−4 at RT | 0.53 | 4.7 | 146.6 | 86.8/800 | [143] |
| PME-LiPVFM | - | LiTFSI | 3.57 × 10−4 at RT | 0.62 | 5 | 196.3/0.1 C, and 180.4/0.5 C | 89.2/225 | [144] |
| 3-caprolactone (CL) and DL-lactide (LA) | - | LiTFSI | 34 × 10−3 at 30 | 0.6 | 5 | 180/0.1 C, 171/0.2 C, 164/0.3 C, 150/0.5 C, and 121/1 C | 92.5/160 | [136] |
| P(EO-co-PO)-TMPTGE | - | LiFSI | 2.30 × 10−3 at 30 | 0.69 | 4.6 | 141 | 95/200 and 96/50 | [145] |
| PE/AO@PIS) | DMF | LiTFSI | 0.12 × 10−3 at 25 | 0.43 | 4.7 | 131/10 C | 93.6/400 | [146] |
| Monomer | Solvent | Salt | Ionic Conductivities (Scm−1) at Temperature (°C) | Lithium-Ion Transference Number (tLi+) | ESW (V vs. Li/Li+) | Discharge Specific Capacity (mAh g−1) | Capacity Retention (%/Cycle) | Reference |
|---|---|---|---|---|---|---|---|---|
| PEGMEA | - | LiTFSI | 7.6 × 10−6/10−4 at 25/60 | 0.9 | - | - | - | [147] |
| PLiMTFSI | - | TFSI | 7 × 10−3 at 150 | 0.9 | 4.7 | - | - | [148] |
| PEaMI | - | LiPhTFSI | 7 × 10−6 at 70 7 × 10−7 at 25 | Close to 1 | 25 70 | 160 | 45/100 | [149] |
| PVDF-HFP | [Li(G4)][TFSI] | LiTFSI | 8 × 10−4 | 0.75 | - | 183 | 75/1300 | [150] |
| PEO | - | LiPCSI | 7.33 × 10−5 at 60 | 0.84 | 5.53 | 141 | 85/80 | [151] |
| TEG | - | LiCTFPB | 3.53 × 10−6 at 25 | 0.92 | 4.8 | 162/0.1 C 155/0.2 C 145/0.5 C 131/1 C 91/2 C | 89.8/200 | [152] |
| PEO | - | Poly(lithium 4-styrene sulfonate) | 2.02 × 10−4 at RT | 0.94 | 4.4 | 155.9/0.2 C | 94.3/100 96.3/50 91.2/300 83.4/1000 | [153] |
| PSiO-PVDF-HFP | DMSO | LiPF6 | 0.4 mS cm−1 at 20, and 0.8 mS cm−1 at 40 | 4.8 | 170 to 125 | 80/150 | [155] | |
| PETEA | EC, and DMC | LiPF6 | 3.56 × 10−3 at RT | 0.74 | 4.2 | 136.7/1 C 159.6/0.1 C | 82.5/1000 | [156] |
| TMC | - | LiM | 3.7 × 10−6 at 70 | 0.91 | 4.8 | 145, and 118/20 C | 2/10 | [154] |
| PLiSTFSI | - | - | 3.1 × 10−4 at RT | - | 149, 134, 116, 99, and 83/0.1–0.5 C | 111 m Ah g−1/300 | [157] |
| Monomer | Solvent | Salt | Ionic Conductivities (Scm−1) at Temperature (°C) | Lithium-Ion Transference Number (tLi+) | ESW (V vs. Li/Li+) | Discharge Specific Capacity (mAh g−1) | Capacity Retention (%/Cycle) | Reference |
|---|---|---|---|---|---|---|---|---|
| PEO | LEs | LiPF6, and LiFSI | 7–9 × 10−3 at RT | - | - | 142.3 | - | [165] |
| PEGDA and 2-hydroxyethyl methacrylate | DMF | LiTFSI | 2.9 × 10−3 at 25 | 5.6 | 170/0.1 C | 96/100 | [159] | |
| PVDF-HEP | PEGDME | LiTFSI | 3.4 × 10−4 at RT | 0.48 | - | 1 mAh cm−2/10 C | 98/60 | [160] |
| PEO and PVDF | LEs | LiFSI, LiTFSI, and LiClO4 | >10−3 at RT | 0.57 | 5.6 | 146 | 90/100 | [161] |
| PMMA-SiO2 composite | - | - | 0.41 × 10−3 | 0.54 | 4.9 | 6.8 mAh cm−2 | 0.5 mAh cm−2/116 | [162] |
| PVDF-HEP | TEGDME | LiClO4, LiPF6, and LiTFSI | 10−7 to 10−4 | 0.3–0.9 | 4.9 (LiTFSI) 3.7 (LiPF6) | - | - | [163] |
| PEGM-Block Copolymer | EC, and DEC | LiPF6, and LiNO3 | 2.7 × 10−4 at 25 | 0.68 | 4.2 | 168//0.1 C 151/0.2 C 136/0.5 C 118/1 C 99/2 C 89/3 C | 0.5 mAh cm−2/1200 | [164] |
| PAN, PEO, and PVDF | EC, and EMC | LiPF6, and LiTFSI | >10−3 | 0.77 | - | 159.7 | 84/200 | [168] |
| PVDF-HEP | EC, and DMC | LiPF6 | - | 0.44 | 5 | 110.4 | - | [166] |
| [P(AN-DEVP)] | - | LiPF6 | 1.4 × 10−3 | - | - | 24.06 | 75.9/200 | [167] |
| Polymer matrix | ILs | LiDFOB and LiFSI | 1.0 × 10−3 | 0.89 | - | - | - | [158] |
| Monomer | Activator | Lithium Salt | Ionic Conductivities (Scm−1) at Temperature (°C) | Lithium-Ion Transference Number (tLi+) | ESW (V vs. Li/Li+) | Discharge Specific Capacity (mAh g−1) | Capacity Retention (%/Cycle) | Reference |
|---|---|---|---|---|---|---|---|---|
| PEO | SiO2, Al2O3, and LLZTO | LiTFSI LiClO4 | 4.42 × 10−4 at 55 | 0.72 | 5 | 118.6/0.1 C | 99/750 | [169] |
| PEO-SiO2 | SiO2, NASICON | LiCl4 LiTFSI | 4.4 × 10−5 at 30 1.2 × 10−5 at 60 | - | 5.5 | - | - | [170] |
| PEO-LLZTO | LATP, LLTO, and LLZO | LiTFSI | 2.1 × 10−4 at 30 | 0.75 | 5.3 | 130/4 C | 98/120 | [171] |
| PEGDA | LATP, LLTO, and LLZO | LiTFSI | 0.52 × 10−4 at RT | 0.58 | 5 | 155/0.1 C | 87/100 | [172] |
| PVDF-CPE | LLTO | - | 5.3 × 10−4 at 25 and increases to 1.42 × 10−3 at 80 | - | 5.1 | 121/1 C | 99/100 | [173] |
| PEO/LiTFSI-5 wt% PEO/LiTFSI-25 wt% LSGM CPE with LATP Nanoparticles Aligned Nanowires CPE PEO/LiTFSI-AAO CPE (ACPE) | - | LiTFSI | 1 × 10−4 at 30 1 × 10−4 at 30 2 × 10−4 at RT 1.26 × 10−4 at 30 1.79 × 10−4 at 30 | 0.21 to 0.54 | 4.5 | - | - | [175] |
| PEO-LiClO4-Al2O3 PEO-LiClO4-TiO2 | Al2O3, and TiO2 | LiClO4 | 10−4 at 50 and 10−5 at 30 1.40 × 10−4 at 30 | - | - | - | - | [176] |
| PEO-EC PMMA-based matrices | - PF55, and AlCl33 | - - | 10−3 6.2 × 10−3 | 0.76 0.77 | - 4.8 | - 300 | - - | [177] |
| PEO-LAGP PEO-TiO2 | TiO2, LATP, or LAGP | LiTFSILiClO4 | 6.76 × 10−4 at 60 1.40 × 10−4 at 30 | 0.61 | 5 | 130 | 90/50 | [180] |
| Poly(ethoxylated trimethylolpropane triacrylate) (PA3) | 2-hydroxy-2-methyl-1-phenyl-1-propanone (HMPP) | - | 2.21 × 10−5 at 25 | - | 4.7 | 147 | 82/100 | [179] |
| PVA and PAN | Succinonitrile (SN) | LiPFSI | 1.13 × 10−4 at 25 | 0.507 | 5.1 | 159.6/0.1 | 90.5/100 | [178] |
| Polyimide | - | LiPFSI | 2.3 × 10−4 at 30 | - | - | 176/10 C 156/5 C 138/2 C, and 125/1 C | - | [78] |
| Monomer | Solvent | Activator | Li+ Salt | Ionic Conductivities (Scm−1) | Lithium-Ion Transference Number (tLi⁺) | ESW (V vs. Li/Li+) | Discharge Specific Capacity (mAh g−1) | Capacity Retention (%/Cycle) | Reference |
|---|---|---|---|---|---|---|---|---|---|
| PPEGMA | ILs | 2-bromopropionyl bromide | LiTFSI | 8 × 10−5 at 30 | - | 4.9 | 140 | 99/450 | [182] |
| PEO | - | MPEG@LLZTO nanofillers | LiTFSI | 1.13 × 10−3 at 55 | 0.56 | - | 153.6 | 92.5/200 | [183] |
| Chitosan and PEO | - | A small amount of LEs | LiTFSI | 6.8 × 10−4 at RT | 0.74 | 5 | 120 | - | [191] |
| Chitosan-lignocellulose composites | - | Plasticizer | LiTFSI | 2.89 × 10−3 at RT | 0.9 | 4.8 | 163.13/0.2 C 152.53/0.5 C 128.45/2 C, and 156.12/0.2 C | 161,9 mAh g−1/99 | [185] |
| PCL | 50 wt% glacial acetic acid | Plasticizer | LiTFSI | 1.52 × 10−3 at 50 | - | 5 | 155/0.05 C | - | [187] |
| Pectin | - | - | LiClO4 | 5.15 × 10−5 at RT | 0.92 | - | - | - | [188] |
| Pectin | Distilled water | EC | LiTFSI | 2.43 × 10−4 at RT | - | - | - | - | [189] |
| Lignin-derived graft polymer (LGP) | THF | PEGDE | LiTFSI | 3.33 × 10−3 at 30 | - | 5 | - | 98/50 | [181] |
| Cassava starch | - | Li2SO4, LiCl, and CF3LiSO3 | Li2SO4, LiCl, and CF3LiSO3 | 9.54 × 10−3 at RT | - | - | - | - | [190] |
| Poly(3-hydroxybutyrate-co-3-hydroxyvalerate) (P3HB-3HV) | EC, and DEC | - | LiPF6 | 8 × 10−4 at RT | - | 5 | 100/3 C | 91/20 | [186] |
| Monomer | Li+ Salt | Solvent | Condition (°C) | Ionic Conductivity (Scm−1) | Lithium-Ion Transference Number (tLi+) | Reference |
|---|---|---|---|---|---|---|
| DEGDA | LiTFSI | Ethylene carbonate (EC)/Diethyl carbonate (DEC) | 60 | 0.141 × 10−3 | 0.45 | [201] |
| PEGMA | LiTFSI, LISFI | - | 60 | 0.07 × 10−3 | 0.28 | [202] |
| LiTFSI | - | 40/60 | 0.02 × 10−3 | 0.28 | [203] | |
| PEGMEA | LiTFSI | Dimethyl carbonate (DMC)/1, 2-dimethoxyethane (DME) | 60 | 0.17 × 10−3 | 0.47 | [204] |
| LiTFSI, LiPF6 | EC/DMC/Ethyl methyl carbonate(EMC) | 60 | 0.17 × 10−3 | 0.42 | [205] | |
| VEC | LiTFSI | - | 80 | 1.10 × 10−3 | 0.58 | [206] |
| MMA | LiPF6 | EC/DEC | 70 | 1 × 10−3 | - | [207] |
| PEGDA | LiTFSI | - | 70 | 0.14 × 10−3 | 0.26 | [208] |
| DOL | LiPF6 | MP | - | 2.80 × 10−3 | 0.61 | [209] |
| DOL | LiTFSI | - | 60 | 2.47 × 10−3 | 0.43 | [210] |
| DOL | LiTFSI, LiSF6 | DME | - | 2.22 × 10−3 | 0.88 | [196] |
| Multiple monomers | ||||||
| DOL, VC | LiTFSI | - | 60 | 1.98 × 10−3 | 0.5 | [211] |
| EGDMA/EDT | LiTFSI | - | - | 0.03 × 10−3 | 0.45 | [212] |
| PEGMEA/Vinylene carbonate | LiTFSI | EC/DMC/DEC | - | 0.22 × 10−3 | 0.5 | [213] |
| G1S (Glyme-Functionalized Episulfide Monomer)/SGxS (Crosslinking Episulfide) | LiTFSI | DME/DOL | 25/60 | 9.9 × 10−3 Scm−1 for 20% G1S to 2.9 × 10−3 S cm−1 for 60% | - | [214] |
| Monomer | Solvent | Salt | Ionic Conductivity (Scm−1) at Temperature (°C) | Lithium-Ion Transference Number (tLi+) | ESW (V vs. Li/Li+) | Discharge Specific Capacity (mAh g−1) | Capacity Retention (%/Cycle) | Reference |
|---|---|---|---|---|---|---|---|---|
| PEG, α-CD | DMF | LiTFSI | 8.30 × 10−4 at RT | 0.51 | - | 132.1 | 99.02/100 78.8/500 | [218] |
| LiDMPA | - | LiTFSI | 0.1 × 10−3 at 25 | 0.72 | 5 | 161.1, 86.7, and 54.5 (80, 40, and 25 °C) | 98.8/100 | [216] |
| Hydroxyethyl Methacrylate (HEMA), ε-caprolactone | - | - | 4.17 × 10−5 at 30 | 0.74 | - | - | - | [217] |
| PVBN-Organoboron-modified-PEGMA | DMSO | LiTFSI | 9.24 × 10−4 at RT | 0.86 | 5 | 91.4/8 C | 90.1/1000 | [218] |
| PEO | Dry ACN | LiTFSI | 3.4 × 10−4 at 70 | - | - | 130/40 120/50 | 99.5% | [220] |
| AMPS | EC, and DMC | LiOH.H2O | 3.4 × 10−5 at 30 | 0.97 | - | 150/0.1 C | 99.7/100 | [220] |
| ACN | THF, and MeCN | LiTFSI | 1.1 × 10−6 at RT | ~0.03 | 2.7 | - | - | [222] |
| PEO | DMF | LiTFSI | 3.1 × 10−5 at 25 | 0.72 | 4.97 | 141.2/0.1 C Highest | 85.4/300 | [223] |
| PEGMA | - | LiTFSI | 1.82 × 10−5 | 0.81 | - | 142.7/1 C 104.6/2 C | 80.3/300 | [224] |
| PLiSSPSI | SiO2 NPs | LiTFSI | 0.22 × 10−3 at 60 | 0.77 | 5.6 | 140/0.1 C 139/0.2 C 132/0.5 C 121/1 C | 80/130 | [225] |
| Monomer | Solvent | Salt | Ionic Conductivity (Scm−1) at Temperature (°C) | Lithium-Ion Transference Number (tLi+) | ESW (V vs. Li/Li+) | Discharge Specific Capacity (mAh g−1) | Capacity Retention (%/Cycle) | Reference |
|---|---|---|---|---|---|---|---|---|
| ODA and PMDA | DMAC | LiTFSI | 2.64 × 10−4 at RT | 0.76 | 5.2 | 131.1 | 83.3/120/0.2 C | [226] |
| PVDF-HFP | DMF | 5.4 × 10−5 at 60 | 0.96 | - | - | - | [227] | |
| PCL | THF | LiTFSI | 2.5 × 10−5 at 25 and 1.6 × 10−4 at 55 | - | 4.6 | 136.5 | 81.6/120 | [231] |
| PEO | ACN | LiTFSI | 6.82 × 10−5 at 30 | - | - | 161.1 | Long cycle around 1000 h | |
| PVDF-HFP | DMF | LiTFSI | 8.94 × 10−4 at RT | - | 5.2 | 131 | 98.7 | [232] |
| PVDF-HFP | DMF | LATTP | 1.9 × 10−3 at 30 | - | 5 | 130 | 100/200 | [230] |
| PA6 | ACN | LiTFSI | 1.26 × 10−3 at 60 | 0.45 | 4.3 | 142 | - | [233] |
| PEO | DMF | LiTFSI | 9.3 × 10−4 at 50 | - | - | - | 96/500 | [234] |
| PAN | DMF | LiTFSI | 2.57 × 10−4 at 30 | 0.6 | 4.7 | - | - | [228] |
| Ionene oligomer | DMF | LiTFSI | 1.01 × 10−3 at 25 | 0.46 | 4.61 | 135-100/0.2 | 98.5/100 | [235] |
| PAN | DMF | LiCLO4 | 7.1 × 10−4 at RT | 0.62 | 5.1 | 131.9 after 200/0.5 | 91.1/200 | [236] |
| PAN | DMF | LiTFSI | - | - | - | 69.6% after 300/0.3 C | 70/500 | [237] |
| Triethylene glycol dimethacrylate | DMF | LiClO4 | 1.60 × 10−3 at 25 | - | 4.5 | 110 | - | [238] |
| LA-PAM-PEO | ACN | LiTFSI | 6.1 × 10−4 at RT | 0.32 | 4.95 | 135 after 1000/1 C | 93.3/1000 | [229] |
| Polymer-based nanofiber membranes | - | LiTFSI | 1.06 × 10−3 at 25 | 0.82 | 4.86 | 99.9%-200/0.5 C | - | [191] |
| Monomer | Solvent | Salt | Ionic Conductivity (Scm−1) at Temperature (°C) | Lithium-Ion Transference Number (tLi+) | ESW (V vs. Li/Li+) | Discharge Specific Capacity (mAh g−1) | Capacity Retention (%/Cycle) | Reference |
|---|---|---|---|---|---|---|---|---|
| PEG | - | LiSO3CF3 | 1.4 × 10−4 at 30 | - | 5 | 148 | 94.9/50 | [129] |
| PVDF-HEP with poly(methylmethacrylate) grafted natural rubber (MG49) | - | LiBF4 | 2.39 × 10−3 at 30 | 0.103–0.216 | 6.9 | 212 (1st Cycle) 206 (2nd cycle) | 98/10 | [240] |
| PEO | - | LiTFSI | 4.69 × 10−4 at 25 | 0.451 | 5.6 | 130 | 89/200 | [241] |
| Gelatin | Formic acid: Acetic acid (1:1) | LiClO4 | 2.25 × 10−7 at 25 | - | - | - | - | [242] |
| PEO | - | LiTFSI | 7.3 × 10−5 at 25 | 0.42 | - | 150.2/1 C | 80 | [243] |
| PEGMA | TEP | NaTFSI | 0.91 × 10−3 at RT | 0.24 (tNa+) | 4.8 | 105.3/0.1 C | 91/400 | [244] |
| PEO | - | Na3Zr2Si2PO12 | 2.83 × 10−3 at RT | 0.33 (tNa+) | 5.16 | 92.7/0.5 C | 99.2/100 | [245] |
| MMA | Py13TFSI | LiTFSI | 4.3 | 146.7/0.1 C 143.3/0.2 C 117.8/0.5 C 105/1 C, and 143.5/0.1 C after cycling. | 99.6/70 | [246] | ||
| PVDF-HFP | TEP, and FEC | LiTFSI | 0.42 × 10−3 at 20 | - | - | 93.3/5 C | 87.3/600 | [239] |
| PAN | - | LiPF6 | 1.6 × 10−3 at 25 | 0.5 | 4.5 | 110 | - | [238] |
| VC | - | LiDFOB | 1.06 × 10−3 at 25 | 0.82 | 4.86 | 170.7/0.1 | 99.9/200 | [191] |
| ETPTA | - | NaClO4 | 1.2 to 1.8 × 10−3 at 80 | - | 4.7 | 101/1 C | 97/1000 | [247] |
| PVDF-HEP | - | LiTFSI | 2.14 × 10−4 at RT | - | 3–6 | 103.8/0.1 C | 98/50 | [248] |
| Poly(ɛ-caprolactone-co-trimethylene carbonate) (P(CL 80 TMC 20)) | ACN | LiTFSI | >10−5 at RT | 0.83–0.87 | - | 0.2 mAh cm−2 | 82/55 | [249] |
| PVDF-HEP | DMF | LiTFSI | 4.33 × 10−5 at RT | 0.49 | 0–5.5 | 115.5/2 C | 146.3 mAh g−1/200 | [250] |
| Monomers | Solvent | Salt | Ionic Conductivity (Scm−1) at Temperature (°C) | Lithium-Ion Transference Number (tLi+) | ESW (V vs. Li/Li+) | Discharge Specific Capacity (mAh g−1) | Capacity Retention (%/Cycle) | Reference |
|---|---|---|---|---|---|---|---|---|
| PEO-TEGDMA | - | LiTFSI | 0.27 × 10−3 at 24 | 0.56 | 6 | 160/0.5 C | 60 mAh g−1/100 | [251] |
| TGIC-NPEG | - | LiTFSI | 1.15 × 10−4 at 60 | 0.32 | 0–5.1 | 161.1 | 94.5/100 | [252] |
| Poly (DOL-TTE)-LP | - | LiTFSI, and LiBF4 | 3 × 10−4 at RT | 0.35, and 0.26 without LP | 1–7 | 152 | 80/200 | [253] |
| PGMA-PEG | - | LiTFSI | 1.3 × 10−4 at 40, and 1.22 × 10−4 at 90 | 0.150–0.234 | 5.3 | 160 | 80/50 | [255] |
| PEI-PEGDE | - | LiTFSI | 0.830 × 10−3 at 25, and 1.557 × 10−4 at 85 | 0.674 | - | 940/0.2 C | 80/180 | [256] |
| Poly(ethylene glycol dimethacrylate-1,2-ethane dithiol) (P-(EGDMA-EDT)) | - | LiTFSI | 3.02 × 10−5 at AT | 0.45 | 4.5 | 150.1/0.05 C, 145.1/0.1 C, and 137.5/0.2 C | 96.2/100 | [212] |
| VEC-OFHDODA | - | LiTFSI | 1.37 × 10−3 at 25 | - | 5.08 | 164.19/0.5 C | 90/200 | [259] |
| PVEC-NR20 | - | - | 1.65 × 10−4 at 25 | 0.63 | 5.3 | 95/2 C | 79.4/200 | [260] |
| PEGDGE-polyoxypropylenediamine (D2000) | - | LiTFSI | 2.55 × 10−5 at RT, and 2.55 × 10−4 at 75 | 0.11 | 4.03 | 150/0.05 C | 99.95/100 | [261] |
| POSS-PEGDA | - | LITFSI | - | - | 5.3 | 138.6 | 92.7/42 | [257] |
| SH-PEG-SH-PEGDA | - | - | 5.8 × 10−5 at RT | 0.46 | 4.1 | 1.43 mAh cm−2 | 81/1000 | [262] |
| PEO-POSS | THF | LiTFSI | 0.23 × 10−3 at RT | - | - | 161/10 C, and 147/2 C | 92/500 | [263] |
| CMC-CA | - | LiClO4 | 1.24 × 10−7 at RT | - | 2.15 | - | - | [264] |
| SPPG-LiBOB | PC | LiBOB | 2.6 × 10−4 at RT | 0.65 | 4.7 | 132/0.5 C, and 120/2 C | 83/500 | [265] |
| 1-vinyl-3-ethylimidazolium bis(trifluoromethanesulfonyl)imide ([VEIm][TFSI])-PIL | - | LiTFSI | 7.78 × 10−5 at 30, and 5.92 × 10−4 at 60 | 0.21 | - | 138.4 | 90/250 | [266] |
| Monomers | Solvent | Salt | Ionic Conductivity (Scm−1) at Temperature (°C) | Lithium-Ion Transference Number (tLi+) | ESW (V vs. Li/Li+) | Discharge Specific Capacity (mAh g−1) | Capacity Retention (%/Cycle) | Reference |
|---|---|---|---|---|---|---|---|---|
| Polystyrene-poly(styrene-b-1-((2-acryloyloxy) ethyl)−3-butylimidazolium bis(tri-fluoromethanesulfonyl)imide) | EC | LiFSI | 4 × 10−5 at 50 | 0.56 | - | 161 | 97.4/125 | |
| PFMA-b-PEO-b-PFMA | - | LiTFSI | 2.68 × 10−4 at 70 | 0.41 | 4.9 | 162/0.1 C, 160/0.2 C, 157/0.5 C, 150/1 C, and 144/2 C | 95.8/250 | [268] |
| Styrene-PEO | - | LiTFSI | 1.6 × 10−2 at 25 | 0.13 | 4.75 | - | 80/100 | [275] |
| PCL-PPC-PCL | - | LiTFSI | 1.6 × 10−5 at 30 | 0.4 | 5 | 161/0.1 C | 90/100 | [269] |
| P(HOEA-co-MA)-PEG | THF | LiTFSI | 0.6 × 10−3 at 30 | 0.35 | 4 | - | - | [273] |
| Pebax-PEGDE (P-P) | - | LiTFSI | 4.47 × 10−4 at 60 | - | - | 162/0.1 C | 99.3/900 | [270] |
| PVBmPEO-b-PS | - | LiTFSI | 1 × 10−3 at 40 | 0.127 | - | - | - | [276] |
| PEGMA-PEO | CH3OH | LiTFSI | 0.22 × 10−3 at RT | 0.63 | 5 | 165 | 94/100 | [278] |
| PVBmPEO-b-PS | - | TFSI | 7.20 × 10−6 at 25 | 0.13–0.18 | - | 140, and 105 (Na, and K—based cells) | 73–94/100 | [271] |
| PEO-b-vCHO | - | LiTFSI | 9.1 × 10−3 at 60 | 0.3–0.62 | 4 | - | 86/200 | [274] |
| PVDF-b-PTFE | - | LiPF6 | 6.4 × 10−4 at RT | 0.56 | 5.1 | 170.1/0.1 C, 164.5/0.2 C, 149.3/0.5 C, and 109.8/1 C. | 72.7/150 | [272] |
| Styrene-butadiene-Styrene | - | LPSCl | 1.3 × 10−1 at RT | 123.2/0.1 C | 72.9/100, and 42.7/500 | [279] | ||
| Poly(lithium 1-[3-(methacryloyloxy)-propylsulfonyl]-1-(trifluoromethylsulfonyl)imide) and poly(ethylene glycol) methyl ether methacrylate | - | LiTFSI | 10−4 at 60 | 0.8 | - | - | - | [147] |
| PFPEMA-b-PEO | - | - | 7.462 × 10−1 at RT | 0.56 | 5 | 143.9 | 90/100 | [277] |
Disclaimer/Publisher’s Note: The statements, opinions and data contained in all publications are solely those of the individual author(s) and contributor(s) and not of MDPI and/or the editor(s). MDPI and/or the editor(s) disclaim responsibility for any injury to people or property resulting from any ideas, methods, instructions or products referred to in the content. |
© 2024 by the authors. Licensee MDPI, Basel, Switzerland. This article is an open access article distributed under the terms and conditions of the Creative Commons Attribution (CC BY) license (https://creativecommons.org/licenses/by/4.0/).
Share and Cite
Ningappa, N.G.; Madikere Raghunatha Reddy, A.K.; Zaghib, K. Advanced Polymer Electrolytes in Solid-State Batteries. Batteries 2024, 10, 454. https://doi.org/10.3390/batteries10120454
Ningappa NG, Madikere Raghunatha Reddy AK, Zaghib K. Advanced Polymer Electrolytes in Solid-State Batteries. Batteries. 2024; 10(12):454. https://doi.org/10.3390/batteries10120454
Chicago/Turabian StyleNingappa, Ningaraju Gejjiganahalli, Anil Kumar Madikere Raghunatha Reddy, and Karim Zaghib. 2024. "Advanced Polymer Electrolytes in Solid-State Batteries" Batteries 10, no. 12: 454. https://doi.org/10.3390/batteries10120454
APA StyleNingappa, N. G., Madikere Raghunatha Reddy, A. K., & Zaghib, K. (2024). Advanced Polymer Electrolytes in Solid-State Batteries. Batteries, 10(12), 454. https://doi.org/10.3390/batteries10120454

