The Organic Ammonium Counterion Effect on Slow Magnetic Relaxation of the [Er(hfac)4]− Complexes
Abstract
1. Introduction
2. Materials and Methods
2.1. Synthesis
2.2. Electron-Probe X-ray Microanalysis
2.3. The IR Spectra
2.4. X-ray Diffraction
2.5. Magnetic Measurements
2.6. Quantum Chemical Calculations
3. Results and Discussion
3.1. Crystal Structure
3.2. Magnetic Properties
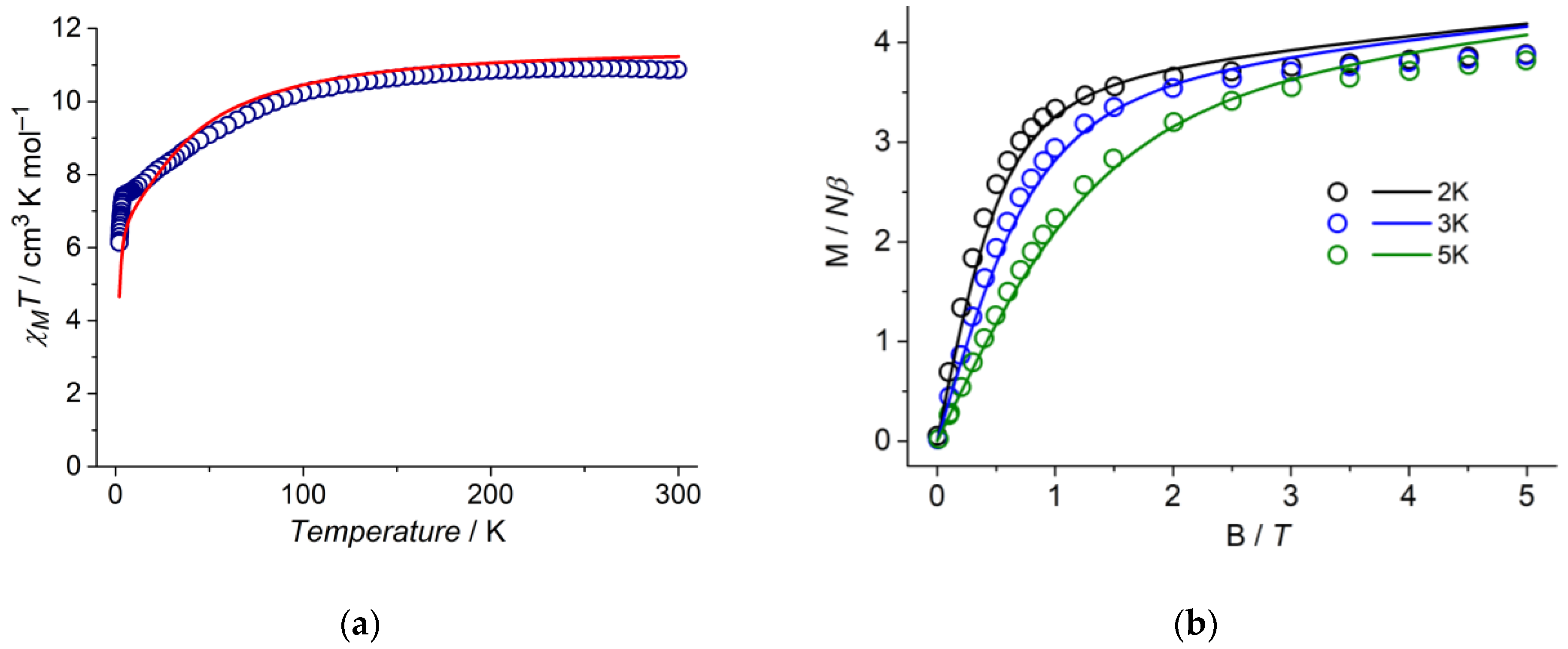
3.2.1. Direct Current (DC) Magnetic Properties
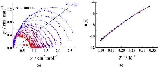
3.2.2. Alternating Current (AC) Magnetic Properties
Orbach Raman
Orbach Direct
QTM Direct Orbach and Raman
3.3. Quantum Chemical Calculations
4. Conclusions
Supplementary Materials
Author Contributions
Funding
Institutional Review Board Statement
Informed Consent Statement
Data Availability Statement
Acknowledgments
Conflicts of Interest
References
- Dey, A.; Kalita, P.; Chandrasekhar, V. Lanthanide(III)-Based Single-Ion Magnets. ACS Omega 2018, 3, 9462–9475. [Google Scholar] [CrossRef]
- Zhu, Z.; Tang, J. Lanthanide single-molecule magnets with high anisotropy barrier: Where to from here? NSR 2022, 9, nwac 194. [Google Scholar] [CrossRef]
- Waldmann, O. A criterion for the anisotropy barrier in single-molecule magnets. Inorg. Chem. 2007, 46, 10035–10037. [Google Scholar] [CrossRef] [PubMed]
- Neese, F.; Pantazis, D.A. What is not required to make a single molecule magnet. Faraday Discuss. 2011, 148, 229–238. [Google Scholar] [CrossRef] [PubMed]
- Ruiz, E.; Cirera, J.; Cano, K.; Alvarez, S.; Loosec, C.; Kortus, K. Can large magnetic anisotropy and high spin really coexist? Chem. Commun. 2008, 1, 52–54. [Google Scholar] [CrossRef]
- Zadrozny, J.M.; Atanasov, M.; Bryan, A.M.; Lin, C.Y.; Rekken, B.D.; Power, P.P.; Neese, F.; Long, J.R. Slow magnetization dynamics in a series of two-coordinate iron(ii) complexes. Chem. Sci. 2013, 4, 125–138. [Google Scholar] [CrossRef]
- Guo, F.-S.; Day, B.M.; Chen, Y.-C.; Tong, M.-L.; Mansikkamäki, A.; Layfield, R.A. Magnetic hysteresis up to 80 kelvin in a dysprosium metallocene single-molecule magnet. Science 2018, 362, 1400–1403. [Google Scholar] [CrossRef] [PubMed]
- Feng, M.; Tong, M.-L. Single Ion Magnets from 3d to 5f; developments and strategies. Chem. Eur. J. 2018, 24, 7574–7594. [Google Scholar] [CrossRef]
- Meng, Y.-S.; Jiang, S.D.; Wang, B.-W.; Gao, S. Understanding the magnetic anisotropy toward single-ion magnets. Acc. Chem. Res. 2016, 49, 2381–2389. [Google Scholar] [CrossRef]
- Bala, S.; Huang, G.-Z.; Ruan, Z.-Y.; Wu, S.-G.; Liu, Y.; Wang, L.-F.; Liu, J.-L.; Tong, M.-L. A square antiprism dysprosium single-ion magnet with an energy barrier over 900 K. Chem. Commun. 2019, 55, 9939. [Google Scholar] [CrossRef]
- Liu, J.; Chen, Y.-C.; Liu, Y.-C.J.-L.; Vieru, V.; Ungur, L.; Jia, J.-H.; Chibotaru, L.F.; Lan, Y.; Wernsdorfer, W.; Gao, S.; et al. A Stable Pentagonal Bipyramidal Dy(III) Single-Ion Magnet with a Record Magnetization Reversal Barrier over 1000 K. J. Am. Chem. Soc. 2016, 138, 5441–5450. [Google Scholar] [CrossRef] [PubMed]
- Gupta, S.K.; Rajeshkumar, T.; Rajaraman, G.; Murugavel, R. An air-stable Dy(III) single-ion magnet with high anisotropy darrier and dlocking temperature. Chem. Sci. 2016, 7, 5181–5191. [Google Scholar] [CrossRef]
- Ding, Y.-S.; Chilton, N.F.; Winpenny, R.E.P.; Zheng, Y.-Z. On Approaching the Limit of Molecular Magnetic Anisotropy: A Near-Perfect Pentagonal Bipyramidal Dysprosium(III) Single-Molecule Magnet. Angew. Chem. 2016, 55, 16071–16074. [Google Scholar] [CrossRef]
- Zhu, Z.; Zhao, C.; Feng, T.; Liu, X.; Ying, X.; Li, X.-L.; Zhang, Y.-Q.; Tang, J. Air-Stable Chiral Single-Molecule Magnets with Record Anisotropy Barrier Exceeding 1800 K. J. Amer. Chem. Soc. 2021, 143, 10077–10082. [Google Scholar] [CrossRef]
- Jiang, S.-D.; Wang, B.-W.; Su, G.; Wang, Z.-M.; Gao, S. A Mononuclear Dysprosium Complex Featuring Single-Molecule-Magnet Behavior. Angew. Chem. 2010, 49, 7448–7451. [Google Scholar] [CrossRef]
- Chen, G.J.; Gao, C.Y.; Tian, J.-L.; Tang, J.; Gu, W.; Liu, X.; Yan, S.P.; Liao, D.Z.; Cheng, P. Coordination-perturbed single-molecule magnet behaviour of mononuclear dysprosium complexes. Dalton Trans. 2011, 40, 5579–5583. [Google Scholar] [CrossRef]
- Bi, Y.; Guo, Y.N.; Zhao, L.; Guo, Y.; Lin, S.Y.; Jiang, S.D.; Tang, J.-K.; Wang, B.-W.; Gao, S. Capping Ligand Perturbed Slow Magnetic Relaxation in Dysprosium Single-Ion Magnets. Chem.–Eur. J. 2011, 17, 12476–12481. [Google Scholar] [CrossRef] [PubMed]
- Chen, G.J.; Guo, Y.N.; Tian, J.L.; Tang, J.; Gu, W.; Liu, X.; Yan, S.P.; Cheng, P.; Liao, D.Z. Enhancing Anisotropy Barriers of Dysprosium(III) Single-Ion Magnets. Chem. Eur. J. 2012, 18, 2484–2487. [Google Scholar] [CrossRef]
- Zhu, J.; Wang, C.-Z.; Luan, F.; Liu, T.-Q.; Yan, P.-F.; Li, G.-M. Local Coordination Geometry Perturbed β-Diketone Dysprosium Single-Ion Magnets. Inorg. Chem. 2014, 53, 8895–8901. [Google Scholar] [CrossRef] [PubMed]
- Dong, Y.-P.; Yan, P.-F.; Zou, X.-Y.; Li, G.-M. Azacyclo-auxiliary ligand-tuned SMMs of dibenzoylmethane Dy(III) complexes. Inorg. Chem. Front. 2015, 2, 827–836. [Google Scholar] [CrossRef]
- Chen, G.-J.; Zhou, Y.; Jin, G.-X.; Dong, Y.-B. [Dy(acac)3(dppn)]·C2H5OH: Construction of a single-ion magnet based on the square-antiprism dysprosium(iii) ion. Dalton Trans. 2014, 43, 16659–16665. [Google Scholar] [CrossRef]
- Tong, Y.-Z.; Gao, C.; Wang, Q.-L.; Wang, B.-W.; Gao, S.; Cheng, P.; Liao, D.Z. Two mononuclear single molecule magnets derived from dysprosium(iii) and tmphen (tmphen = 3,4,7,8-tetramethyl-1,10-phenanthroline). Dalton Trans. 2015, 44, 9020–9026. [Google Scholar] [CrossRef] [PubMed]
- Zhang, S.; Ke, H.; Sun, L.; Li, X.; Shi, Q.; Xie, G.; Wei, Q.; Yang, D.; Wang, W.; Chen, S. Magnetization Dynamics Changes of Dysprosium(III) Single-Ion Magnets Associated with Guest Molecules. Inorg. Chem. 2016, 55, 3865–3871. [Google Scholar] [CrossRef] [PubMed]
- Cen, P.P.; Zhang, S.; Liu, X.Y.; Song, W.M.; Zhang, Y.Q.; Xie, G.; Chen, S.P. Electrostatic Potential Determined Magnetic Dynamics Observed in Two Mononuclear β-Diketone Dysprosium(III) Single-Molecule Magnets. Inorg. Chem. 2017, 56, 3644–3656. [Google Scholar] [CrossRef] [PubMed]
- Zeng, D.; Ren, M.; Bao, S.-S.; Zheng, L.-M. Tuning the Coordination Geometries and Magnetic Dynamics of [Ln(hfac)4]− through Alkali Metal Counterions. Inorg. Chem. 2014, 53, 795–801. [Google Scholar] [CrossRef]
- Sun, J.; Yang, M.; Xi, L.; Ma, Y.; Li, L. Magnetic relaxation in [Ln(hfac)4]− anions with [Cu(hfac)-radical]nn+ cation chains as counterions. Dalton Trans. 2018, 47, 8142–8148. [Google Scholar] [CrossRef]
- Thielemann, D.T.; Klinger, M.; Wolf, T.J.A.; Lan, Y.; Wernsdorfer, W.; Busse, M.; Roesky, P.W.; Unterreiner, A.-N.; Powell, A.K.; Junk, P.C.; et al. Novel Lanthanide-Based Polymeric Chains and Corresponding Ultrafast Dynamics in Solution. Inorg. Chem. 2011, 50, 11990–12000. [Google Scholar] [CrossRef]
- Sun, W.-B.; Yan, B.; Zhang, Y.-Q.; Wang, B.-W.; Wang, Z.-M.; Jia, J.-H.; Gao, S. The slow magnetic relaxation regulated by ligand conformation of a lanthanide single-ion magnet [Hex4N][Dy(DBM)4]. Inorg. Chem. Front. 2014, 1, 503–509. [Google Scholar] [CrossRef]
- Wu, Z.; Tian, Y.-M.; Chen, P.; Sun, W.-B.; Wang, B.-W.; Gao, S. A series of counter cation-dependent tetra β-diketonate mononuclear lanthanide(III) single-molecule magnets and immobilization on pre-functionalised GaN substrates by anion exchange reaction. J. Mater. Chem. C 2021, 9, 6911–6922. [Google Scholar]
- Rinehart, J.D.; Long, J.R. Exploiting single-ion anisotropy in the design of f-element single-molecule magnets. Chem. Sci. 2011, 2, 2078–2085. [Google Scholar] [CrossRef]
- Jiang, Z.-X.; Liu, J.-L.; Chen, Y.-C.; Liu, J.; Jia, J.-H.; Tong, M.-L. Lanthanoid Single-Ion Magnets with LnN10 Coordination Geometry. Chem. Commun. 2016, 52, 6261–6264. [Google Scholar] [CrossRef]
- Agilent. CrysAlis PRO Version171.35.19; Agilent Technologies UK Ltd.: Oxfordshire, UK, 2011. [Google Scholar]
- Sheldrick, G.M. Crystal structure refinement with SHELXL-97. Acta Cryst. 2015, C71, 3–8. [Google Scholar]
- Galván, I.F.; Vacher, M.; Alavi, A.; Angeli, C.; Aquilante, F.; Autschbach, J.; Bao, J.J.; Bokarev, S.I.; Bogdanov, N.A.; Carlson, R.K.; et al. OpenMolcas: From Source Code to Insight. J. Chem. Theor. Comp. 2019, 15, 5925–5964. [Google Scholar] [CrossRef] [PubMed]
- Aquilante, F.; Autschbach, J.; Baiardi, A.; Battaglia, S.; Borin, V.A.; Chibotaru, L.F.; Conti, I.; De Vico, L.; Delcey, M.; Fdez, I.; et al. Modern quantum chemistry with [Open]Molcas. J. Chem. Phys. 2020, 152, 214117. [Google Scholar] [CrossRef] [PubMed]
- Douglas, M.; Kroll, N.M. Quantum electrodynamical corrections to the fine structure of helium. Ann. Phys. 1974, 82, 89–155. [Google Scholar] [CrossRef]
- Hess, B.A. Applicability of the no-pair equation with free-particle projection operators to atomic and molecular structure calculations. Phys. Rev. A 1985, 32, 756–763. [Google Scholar] [CrossRef] [PubMed]
- Hess, B.A. Relativistic electronic-structure calculations employing a two-component no-pair formalism with external-field projection operators. Phys. Rev. A 1986, 33, 3742–3748. [Google Scholar] [CrossRef]
- Wolf, A.; Reiher, M.; Hess, B.A. The generalized Douglas-Kroll transformation. J. Chem. Phys. 2002, 117, 9215–9226. [Google Scholar] [CrossRef]
- Chibotaru, L.F.; Ungur, L. Ab initio calculation of anisotropic magnetic properties of complexes. I. Unique definition of pseudospin Hamiltonians and their derivation. J. Chem. Phys. 2012, 137, 064112. [Google Scholar] [CrossRef]
- Casanova, D.; Llunell, M.; Alemany, P.; Alvarez, S. The Rich Stereochemistry of Eight-Vertex Polyhedra: A Continuous Shape Measures Study. Chem. Eur. J. 2005, 11, 1479–1494. [Google Scholar] [CrossRef] [PubMed]
- Alvarez, S.; Alemany, P.; Casanova, D.; Cirera, J.; Llunell, M.; Avnir, D. Shape maps and polyhedral interconversion paths in transition metal chemistry. Coord. Chem. Rev. 2005, 249, 1693–1708. [Google Scholar] [CrossRef]






| Parameter | Value |
|---|---|
| Empirical formula | C24H16Er1F24N1O8 |
| Formula weight | 1069.64 |
| Temperature, K | 100.0(1) |
| Wave length | 0.71073 Å |
| Crystal system, space group | Monoclinic, P21/c |
| a, Å | 28.1245(3) |
| b, Å | 18.1069(2) |
| c, Å | 20.7861(2) Å |
| β, deg | 91.146(1) |
| Volume, Å3 | 10,583.2(2) |
| Z, Calculated density, Mg/m3 | 12, 2.014 |
| Absorption coefficient, mm−1 | 2.551 |
| F(000) | 6180 |
| Crystal size, mm | 0.20 × 0.15 × 0.05 |
| Theta range for data, deg | 2.860 to 29.617 |
| Reflections collected/unique | 53,795/24,875 [R(int) = 0.0275] |
| Completeness to θ = 25.2, % | 99.8% |
| Goodness-of-fit on F2 | 1.047 |
| Final R indices [I > 2σ(I)] | R1 = 0.0396, wR2 = 0.0732 |
| R indices | R1 = 0.0671, wR2 = 0.0827 |
| Largest diff. peak and hole, e·A−3 | 1.835 and −2.031 |
| CCDC | 2,263,014 |
| KD | Energy | gx | gy | gz |
|---|---|---|---|---|
| 1 | 0.0 | 0.665 | 0.831 | 14.376 |
| 2 | 45.3 | 1.094 | 5.346 | 12.578 |
| 3 | 82.4 | 2.965 | 3.512 | 6.319 |
| 4 | 110.8 | 0.058 | 0.087 | 16.935 |
| 5 | 224.9 | 2.801 | 3.240 | 9.374 |
| 6 | 277.0 | 3.407 | 4.414 | 6.198 |
| 7 | 315.8 | 0.143 | 0.431 | 10.490 |
| 8 | 349.0 | 0.296 | 0.375 | 9.209 |
Disclaimer/Publisher’s Note: The statements, opinions and data contained in all publications are solely those of the individual author(s) and contributor(s) and not of MDPI and/or the editor(s). MDPI and/or the editor(s) disclaim responsibility for any injury to people or property resulting from any ideas, methods, instructions or products referred to in the content. |
© 2023 by the authors. Licensee MDPI, Basel, Switzerland. This article is an open access article distributed under the terms and conditions of the Creative Commons Attribution (CC BY) license (https://creativecommons.org/licenses/by/4.0/).
Share and Cite
Prokhorova, T.G.; Korchagin, D.V.; Shilov, G.V.; Dmitriev, A.I.; Zhidkov, M.V.; Yagubskii, E.B. The Organic Ammonium Counterion Effect on Slow Magnetic Relaxation of the [Er(hfac)4]− Complexes. Magnetochemistry 2023, 9, 159. https://doi.org/10.3390/magnetochemistry9060159
Prokhorova TG, Korchagin DV, Shilov GV, Dmitriev AI, Zhidkov MV, Yagubskii EB. The Organic Ammonium Counterion Effect on Slow Magnetic Relaxation of the [Er(hfac)4]− Complexes. Magnetochemistry. 2023; 9(6):159. https://doi.org/10.3390/magnetochemistry9060159
Chicago/Turabian StyleProkhorova, Tatiana G., Denis V. Korchagin, Gennady V. Shilov, Alexei I. Dmitriev, Mikhail V. Zhidkov, and Eduard B. Yagubskii. 2023. "The Organic Ammonium Counterion Effect on Slow Magnetic Relaxation of the [Er(hfac)4]− Complexes" Magnetochemistry 9, no. 6: 159. https://doi.org/10.3390/magnetochemistry9060159
APA StyleProkhorova, T. G., Korchagin, D. V., Shilov, G. V., Dmitriev, A. I., Zhidkov, M. V., & Yagubskii, E. B. (2023). The Organic Ammonium Counterion Effect on Slow Magnetic Relaxation of the [Er(hfac)4]− Complexes. Magnetochemistry, 9(6), 159. https://doi.org/10.3390/magnetochemistry9060159

