Field-Induced SMM and Vis/NIR Luminescence on Mononuclear Lanthanide Complexes with 9-Anthracenecarboxylate and 2,2′:6,2″-Terpyridine
Abstract
:1. Introduction
2. Results and Discussion
2.1. X-ray Crystal Structures
2.1.1. Structural Type I: [Eu(9-anthc)3(TPY)(DMF)]·H2O (1Eu)
2.1.2. Structural Type II: [Ln(9-anthc)3(TPY)(H2O)]·H2O·DMF (Ln = Tb (2Tb), Dy (3Dy), Er (4Er) and Yb (5Yb))
2.1.3. Structural Discussion
2.2. Magnetic Properties
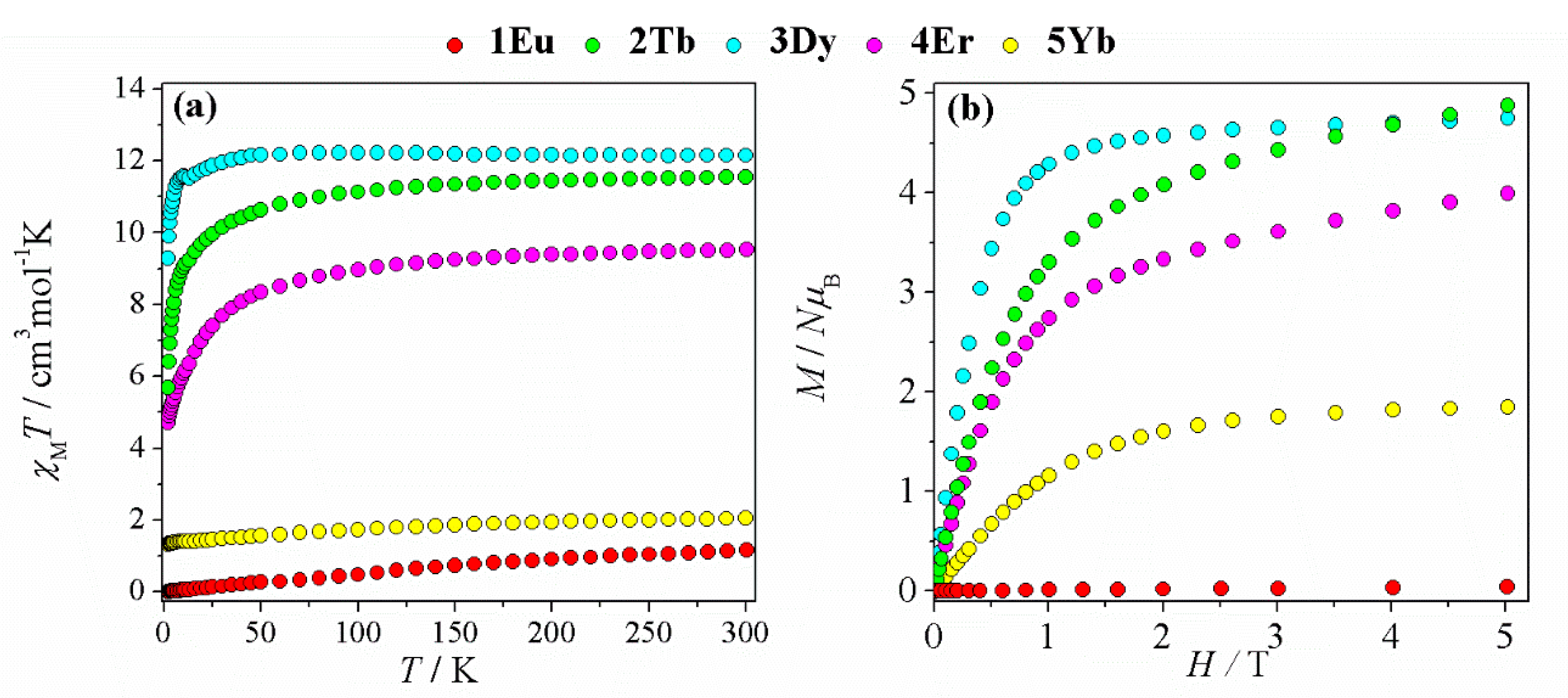
2.2.1. dc Magnetic Studies
2.2.2. ac Magnetic Studies
2.3. Photoluminescence Properties
2.3.1. Visible Emission
2.3.2. NIR Emission
3. Experimental Section
3.1. Starting Materials
3.2. General Syntheses
3.3. Physical Measurements
3.4. X-ray Crystallography
4. Conclusions
Supplementary Materials
Author Contributions
Funding
Data Availability Statement
Conflicts of Interest
References
- Gatteschi, D.; Sessoli, R.; Villain, J. Molecular Nanomagnets; Oxford University Press: Oxford, UK, 2007; Volume 5, ISBN 9780191718298. [Google Scholar]
- Bogani, L.; Wernsdorfer, W. Molecular spintronics using single-molecule magnets. Nat. Mater. 2008, 7, 179–186. [Google Scholar] [CrossRef] [PubMed]
- Mannini, M.; Pineider, F.; Sainctavit, P.; Danieli, C.; Otero, E.; Sciancalepore, C.; Talarico, A.M.; Arrio, M.-A.; Cornia, A.; Gatteschi, D.; et al. Magnetic memory of a single-molecule quantum magnet wired to a gold surface. Nat. Mater. 2009, 8, 194–197. [Google Scholar] [CrossRef]
- Leuenberger, M.N.; Loss, D. Quantum computing in molecular magnets. Nature 2001, 410, 789–793. [Google Scholar] [CrossRef] [PubMed] [Green Version]
- Lehmann, J.; Gaita-Arino, A.; Coronado, E.; Loss, D. Spin qubits with electrically gated polyoxometalate molecules. Nat. Nanotechnol. 2007, 2, 312–317. [Google Scholar] [CrossRef] [PubMed] [Green Version]
- Ganzhorn, M.; Klyatskaya, S.; Ruben, M.; Wernsdorfer, W. Strong spin–phonon coupling between a single-molecule magnet and a carbon nanotube nanoelectromechanical system. Nat. Nanotechnol. 2013, 8, 165–169. [Google Scholar] [CrossRef]
- Long, J.; Guari, Y.; Ferreira, R.A.S.; Carlos, L.D.; Larionova, J. Recent advances in luminescent lanthanide based Single-Molecule Magnets. Coord. Chem. Rev. 2018, 363, 57–70. [Google Scholar] [CrossRef]
- Pointillart, F.; le Guennic, B.; Cador, O.; Maury, O.; Ouahab, L. Lanthanide Ion and Tetrathiafulvalene-Based Ligand as a “Magic” Couple toward Luminescence, Single Molecule Magnets, and Magnetostructural Correlations. Acc. Chem. Res. 2015, 48, 2834–2842. [Google Scholar] [CrossRef]
- Bi, Y.; Chen, C.; Zhao, Y.-F.; Zhang, Y.-Q.; Jiang, S.-D.; Wang, B.-W.; Han, J.-B.; Sun, J.-L.; Bian, Z.-Q.; Wang, Z.-M.; et al. Thermostability and photoluminescence of Dy(III) single-molecule magnets under a magnetic field. Chem. Sci. 2016, 7, 5020–5031. [Google Scholar] [CrossRef] [Green Version]
- Al Hareri, M.; Gavey, E.L.; Regier, J.; Ras Ali, Z.; Carlos, L.D.; Ferreira, R.A.S.; Pilkington, M. Encapsulation of a [Dy(OH2)8]3+ cation: Magneto-optical and theoretical studies of a caged, emissive SMM. Chem. Commun. 2016, 52, 11335–11338. [Google Scholar] [CrossRef]
- Li, Q.-W.; Liu, J.-L.; Jia, J.-H.; Chen, Y.-C.; Liu, J.; Wang, L.-F.; Tong, M.-L. “Half-sandwich” Yb III single-ion magnets with metallacrowns. Chem. Commun. 2015, 51, 10291–10294. [Google Scholar] [CrossRef] [PubMed]
- Gavey, E.L.; Al Hareri, M.; Regier, J.; Carlos, L.D.; Ferreira, R.A.S.; Razavi, F.S.; Rawson, J.M.; Pilkington, M. Placing a crown on Dy III–A dual property Ln III crown ether complex displaying optical properties and SMM behaviour. J. Mater. Chem. C 2015, 3, 7738–7747. [Google Scholar] [CrossRef]
- Soussi, K.; Jung, J.; Pointillart, F.; Le Guennic, B.; Lefeuvre, B.; Golhen, S.; Cador, O.; Guyot, Y.; Maury, O.; Ouahab, L. Magnetic and photo-physical investigations into Dy III and Yb III complexes involving tetrathiafulvalene ligand. Inorg. Chem. Front. 2015, 2, 1105–1117. [Google Scholar] [CrossRef]
- Yi, X.; Bernot, K.; Le Corre, V.; Calvez, G.; Pointillart, F.; Cador, O.; Le Guennic, B.; Jung, J.; Maury, O.; Placide, V.; et al. Unraveling the Crystal Structure of Lanthanide-Murexide Complexes: Use of an Ancient Complexometry Indicator as a Near-Infrared-Emitting Single-Ion Magnet. Chem. A Eur. J. 2014, 20, 1569–1576. [Google Scholar] [CrossRef]
- Shintoyo, S.; Murakami, K.; Fujinami, T.; Matsumoto, N.; Mochida, N.; Ishida, T.; Sunatsuki, Y.; Watanabe, M.; Tsuchimoto, M.; Mrozinski, J.; et al. Crystal Field Splitting of the Ground State of Terbium(III) and Dysprosium(III) Complexes with a Triimidazolyl Tripod Ligand and an Acetate Determined by Magnetic Analysis and Luminescence. Inorg. Chem. 2014, 53, 10359–10369. [Google Scholar] [CrossRef]
- Ren, M.; Bao, S.-S.; Ferreira, R.A.S.; Zheng, L.-M.; Carlos, L.D. A layered erbium phosphonate in pseudo-D5h symmetry exhibiting field-tunable magnetic relaxation and optical correlation. Chem. Commun. 2014, 50, 7621. [Google Scholar] [CrossRef] [PubMed]
- Long, J.; Vallat, R.; Ferreira, R.A.S.; Carlos, L.D.; Almeida Paz, F.A.; Guari, Y.; Larionova, J. A bifunctional luminescent single-ion magnet: Towards correlation between luminescence studies and magnetic slow relaxation processes. Chem. Commun. 2012, 48, 9974. [Google Scholar] [CrossRef]
- Cucinotta, G.; Perfetti, M.; Luzon, J.; Etienne, M.; Car, P.-E.; Caneschi, A.; Calvez, G.; Bernot, K.; Sessoli, R. Magnetic Anisotropy in a Dysprosium/DOTA Single-Molecule Magnet: Beyond Simple Magneto-Structural Correlations. Angew. Chem. Int. Ed. 2012, 51, 1606–1610. [Google Scholar] [CrossRef] [PubMed]
- Pointillart, F.; Guennic, B.L.; Golhen, S.; Cador, O.; Maury, O.; Ouahab, L. A redox-active luminescent ytterbium based single molecule magnet. Chem. Commun. 2013, 49, 615–617. [Google Scholar] [CrossRef]
- Chen, Y.-C.; Liu, J.-L.; Lan, Y.; Zhong, Z.-Q.; Mansikkamäki, A.; Ungur, L.; Li, Q.-W.; Jia, J.-H.; Chibotaru, L.F.; Han, J.-B.; et al. Dynamic Magnetic and Optical Insight into a High Performance Pentagonal Bipyramidal Dy III Single-Ion Magnet. Chem. A Eur. J. 2017, 23, 5708–5715. [Google Scholar] [CrossRef] [Green Version]
- Ruiz, J.; Lorusso, G.; Evangelisti, M.; Brechin, E.K.; Pope, S.J.A.; Colacio, E. Closely-Related ZnII2 LnIII2 Complexes (LnIII = Gd, Yb) with Either Magnetic Refrigerant or Luminescent Single-Molecule Magnet Properties. Inorg. Chem. 2014, 53, 3586–3594. [Google Scholar] [CrossRef] [PubMed] [Green Version]
- Yamashita, K.; Miyazaki, R.; Kataoka, Y.; Nakanishi, T.; Hasegawa, Y.; Nakano, M.; Yamamura, T.; Kajiwara, T. A luminescent single-molecule magnet: Observation of magnetic anisotropy using emission as a probe. Dalton Trans. 2013, 42, 1987. [Google Scholar] [CrossRef] [PubMed]
- Li, Q.-W.; Liu, J.-L.; Jia, J.-H.; Leng, J.-D.; Lin, W.-Q.; Chen, Y.-C.; Tong, M.-L. Fluorescent single-ion magnets: Molecular hybrid (HNEt3)[DyxYb1−x(bpyda)2] (x = 0.135–1). Dalton Trans. 2013, 42, 11262. [Google Scholar] [CrossRef]
- Boulon, M.-E.; Cucinotta, G.; Luzon, J.; Degl’Innocenti, C.; Perfetti, M.; Bernot, K.; Calvez, G.; Caneschi, A.; Sessoli, R. Magnetic Anisotropy and Spin-Parity Effect Along the Series of Lanthanide Complexes with DOTA. Angew. Chemie Int. Ed. 2013, 52, 350–354. [Google Scholar] [CrossRef]
- Marin, R.; Brunet, G.; Murugesu, M. Shining New Light on Multifunctional Lanthanide Single-Molecule Magnets. Angew. Chem. Int. Ed. 2021, 60, 1728–1746. [Google Scholar] [CrossRef]
- Bünzli, J.-C.G.; Piguet, C. Taking advantage of luminescent lanthanide ions. Chem. Soc. Rev. 2005, 34, 1048. [Google Scholar] [CrossRef] [PubMed]
- Vleck, J.H.V. The Puzzle of Rare-earth Spectra in Solids. J. Phys. Chem. 1937, 41, 67–80. [Google Scholar] [CrossRef]
- D′Aléo, A.; Pointillart, F.; Ouahab, L.; Andraud, C.; Maury, O. Charge transfer excited states sensitization of lanthanide emitting from the visible to the near-infra-red. Coord. Chem. Rev. 2012, 256, 1604–1620. [Google Scholar] [CrossRef]
- So, S.; Mackenzie, J.I.; Shepherd, D.P.; Clarkson, W.A.; Betterton, J.G.; Gorton, E.K.; Terry, J.A.C. Intra-cavity side-pumped Ho:YAG laser. Opt. Express 2006, 14, 10481. [Google Scholar] [CrossRef] [Green Version]
- Kuriki, K.; Koike, Y.; Okamoto, Y. Plastic Optical Fiber Lasers and Amplifiers Containing Lanthanide Complexes. Chem. Rev. 2002, 102, 2347–2356. [Google Scholar] [CrossRef]
- Zang, F.X.; Hong, Z.R.; Li, W.L.; Li, M.T.; Sun, X.Y. 1.4 μm band electroluminescence from organic light-emitting diodes based on thulium complexes. Appl. Phys. Lett. 2004, 84, 2679–2681. [Google Scholar] [CrossRef]
- Feng, J.; Zhou, L.; Song, S.-Y.; Li, Z.-F.; Fan, W.-Q.; Sun, L.-N.; Yu, Y.-N.; Zhang, H.-J. A study on the near-infrared luminescent properties of xerogel materials doped with dysprosium complexes. Dalton Trans. 2009, 33, 6593–6598. [Google Scholar] [CrossRef] [PubMed]
- Puntus, L.N.; Schenk, K.J.; Bünzli, J.-C.G. Intense Near-Infrared Luminescence of a Mesomorphic Ionic Liquid Doped with Lanthanide $β$-Diketonate Ternary Complexes. Eur. J. Inorg. Chem. 2005, 2005, 4739–4744. [Google Scholar] [CrossRef]
- Glover, P.B.; Bassett, A.P.; Nockemann, P.; Kariuki, B.M.; Van Deun, R.; Pikramenou, Z. Fully Fluorinated Imidodiphosphinate Shells for Visible- and NIR-Emitting Lanthanides: Hitherto Unexpected Effects of Sensitizer Fluorination on Lanthanide Emission Properties. Chem. A Eur. J. 2007, 13, 6308–6320. [Google Scholar] [CrossRef]
- Leonard, J.P.; dos Santos, C.M.G.; Plush, S.E.; McCabe, T.; Gunnlaugsson, T. pH driven self-assembly of a ternary lanthanide luminescence complex: The sensing of anions using a β-diketonate-Eu(III) displacement assay. Chem. Commun. 2007, 2, 129–131. [Google Scholar] [CrossRef]
- Binnemans, K.; Görller-Walrand, C. Lanthanide-Containing Liquid Crystals and Surfactants. Chem. Rev. 2002, 102, 2303–2346. [Google Scholar] [CrossRef] [PubMed]
- Faulkner, S.; Pope, S.J.A.; Burton-Pye, B.P. Lanthanide Complexes for Luminescence Imaging Applications. Appl. Spectrosc. Rev. 2005, 40, 1–31. [Google Scholar] [CrossRef]
- Yam, V.W.-W.; Lo, K.K.-W. Recent advances in utilization of transition metal complexes and lanthanides as diagnostic tools. Coord. Chem. Rev. 1999, 184, 157–240. [Google Scholar] [CrossRef]
- De Sá, G.F.; Malta, O.L.; de Mello Donegá, C.; Simas, A.M.; Longo, R.L.; Santa-Cruz, P.A.; da Silva, E.F. Spectroscopic properties and design of highly luminescent lanthanide coordination complexes. Coord. Chem. Rev. 2000, 196, 165–195. [Google Scholar] [CrossRef]
- Pietraszkieyvicz, M.; Karpiuk, J.; Rout, A.K. Lanthanide complexes of macrocyclic and macrobicyclic N-oxides; light-converting supramolecular devices. Pure Appl. Chem. 1993, 65, 563–566. [Google Scholar] [CrossRef]
- Casanovas, B.; Font-Bardía, M.; Speed, S.; El Fallah, M.S.; Vicente, R. Field-Induced SMM and Visible/NIR-Luminescence Behaviour of Dinuclear Ln III Complexes with 2-Fluorobenzoate. Eur. J. Inorg. Chem. 2018, 2018, 1928–1937. [Google Scholar] [CrossRef]
- Casanovas, B.; Speed, S.; Maury, O.; El Fallah, M.S.; Font-Bardía, M.; Vicente, R. Dinuclear LnIII Complexes with 9-Anthracenecarboxylate Showing Field-Induced SMM and Visible/NIR Luminescence. Eur. J. Inorg. Chem. 2018, 2018, 3859–3867. [Google Scholar] [CrossRef]
- Casanovas, B.; Speed, S.; Vicente, R.; Font-Bardía, M. Sensitization of visible and NIR emitting lanthanide(III) ions in a series of dinuclear complexes of formula [Ln2(μ-2-FBz)2(2-FBz)4(terpy)2]·2(2-HFBz)·2(H2O). Polyhedron 2019, 173, 114113. [Google Scholar] [CrossRef]
- Groom, C.R.; Bruno, I.J.; Lightfoot, M.P.; Ward, S.C. The Cambridge Structural Database. Acta Crystallogr. Sect. B Struct. Sci. Cryst. Eng. Mater. 2016, 72, 171–179. [Google Scholar] [CrossRef] [PubMed]
- Utochnikova, V.V.; Kalyakina, A.S.; Bushmarinov, I.S.; Vashchenko, A.A.; Marciniak, L.; Kaczmarek, A.M.; Van Deun, R.; Bräse, S.; Kuzmina, N.P. Lanthanide 9-anthracenate: Solution processable emitters for efficient purely NIR emitting host-free OLEDs. J. Mater. Chem. C 2016, 4, 9848–9855. [Google Scholar] [CrossRef]
- Liu, C.-S.; Guo, L.-Q.; Yan, L.-F.; Wang, J.-J. Tetrakis(μ-anthracene-9-carboxylato)-κ4O:O ′;κ3O,O ′:O′;κ3O:O,O′-bis[(anthracene-9-carboxylato-κ2O,O′)(1,10-phenanthroline-κ2N,N′)erbium(III)]: Effects of a noncoordinating anthracene ligand ring system on the final structure of a coordination complex. Acta Crystallogr. Sect. C Cryst. Struct. Commun. 2008, 64, m292–m295. [Google Scholar] [CrossRef] [PubMed]
- Liu, C.-S.; Yan, L.-F.; Chang, Z.; Wang, J.-J. Tetrakis(μ-anthracene-9-carboxylato)bis[(anthracene-9-carboxylato)(2,2′-bipyridyl)lanthanum(III)]. Acta Crystallogr. Sect. E Struct. Rep. Online 2008, 64, m15–m16. [Google Scholar] [CrossRef] [PubMed] [Green Version]
- Liu, C.-S.; Hu, M.; Zhang, Q. Synthesis and Crystal Structure of a New Dinuclear Holmium(III) Complex with a Bulky Anthracene-Based Carboxylate Ligand. J. Chem. Crystallogr. 2010, 40, 1002–1005. [Google Scholar] [CrossRef]
- Wang, Y.-L.; Han, C.-B.; Zhang, Y.-Q.; Liu, Q.-Y.; Liu, C.-M.; Yin, S.-G. Fine-Tuning Ligand to Modulate the Magnetic Anisotropy in a Carboxylate-Bridged Dy 2 Single-Molecule Magnet System. Inorg. Chem. 2016, 55, 5578–5584. [Google Scholar] [CrossRef]
- Kusrini, E.; Adnan, R.; Saleh, M.I.; Yan, L.-K.; Fun, H.-K. Synthesis and structure of dimeric anthracene-9-carboxylato bridged dinuclear erbium(III) complex, [Er2(9-AC)6(DMF)2(H2O)2]. Spectrochim. Acta Part A Mol. Biomol. Spectrosc. 2009, 72, 884–889. [Google Scholar] [CrossRef] [PubMed]
- Alvarez, S.; Alemany, P.; Casanova, D.; Cirera, J.; Llunell, M.; Avnir, D. Shape maps and polyhedral interconversion paths in transition metal chemistry. Coord. Chem. Rev. 2005, 249, 1693–1708. [Google Scholar] [CrossRef]
- Cirera, J.; Ruiz, E.; Alvarez, S. Stereochemistry and Spin State in Four-Coordinate Transition Metal Compounds. Inorg. Chem. 2008, 47, 2871–2889. [Google Scholar] [CrossRef]
- Benelli, C.; Gatteschi, D. Introduction to Molecular Magnetism; Wiley-VCH Verlag GmbH & Co. KGaA: Weinheim, Germany, 2015; ISBN 9783527690541. [Google Scholar]
- Ballentine, L.E.; Griffiths, D. Quantum Mechanics. Am. J. Phys. 1991, 59, 1153–1154. [Google Scholar] [CrossRef]
- Zhu, W.-H.; Xiong, X.; Gao, C.; Li, S.; Zhang, Y.; Wang, J.; Zhang, C.; Powell, A.K.; Gao, S. A family of one-dimensional lanthanide complexes bridged by two distinct carboxylate ligands with the Dy analogue displaying magnetic relaxation behaviour. Dalton Trans. 2017, 46, 14114–14121. [Google Scholar] [CrossRef] [PubMed]
- Liu, T.-Q.; Yan, P.-F.; Luan, F.; Li, Y.-X.; Sun, J.-W.; Chen, C.; Yang, F.; Chen, H.; Zou, X.-Y.; Li, G.-M. Near-IR Luminescence and Field-Induced Single Molecule Magnet of Four Salen-type Ytterbium Complexes. Inorg. Chem. 2015, 54, 221–228. [Google Scholar] [CrossRef] [PubMed]
- Aubin, S.M.J.; Sun, Z.; Pardi, L.; Krzystek, J.; Folting, K.; Brunel, L.-C.; Rheingold, A.L.; Christou, G.; Hendrickson, D.N. Reduced Anionic Mn 12 Molecules with Half-Integer Ground States as Single-Molecule Magnets. Inorg. Chem. 1999, 38, 5329–5340. [Google Scholar] [CrossRef]
- Speed, S.; Feng, M.; Fernandez Garcia, G.; Pointillart, F.; Lefeuvre, B.; Riobé, F.; Golhen, S.; Le Guennic, B.; Totti, F.; Guyot, Y.; et al. Lanthanide complexes involving multichelating TTF-based ligands. Inorg. Chem. Front. 2017, 4, 604–617. [Google Scholar] [CrossRef]
- Pointillart, F.; Cador, O.; Le Guennic, B.; Ouahab, L. Uncommon lanthanide ions in purely 4f Single Molecule Magnets. Coord. Chem. Rev. 2017, 346, 150–175. [Google Scholar] [CrossRef]
- Sheldrick, G.M. A short history of SHELX. Acta Crystallogr. Sect. A Found. Crystallogr. 2008, 64, 112–122. [Google Scholar] [CrossRef] [Green Version]
- Sheldrick, G.M. Crystal structure refinement with SHELXL. Acta Crystallogr. Sect. C Struct. Chem. 2015, 71, 3–8. [Google Scholar] [CrossRef]







| 1Eu | 2Tb | 3Dy | 4Er | 5Yb | |
|---|---|---|---|---|---|
| Formula | C63H47EuN4O8 | C63H49N4O9Tb | C63H49DyN4O9 | C63H49ErN4O9 | C63H49N4O9Yb |
| FW, g·mol−1 | 1140.01 | 1164.99 | 1168.56 | 1173.32 | 1179.10 |
| System | monoclinic | monoclinic | monoclinic | monoclinic | monoclinic |
| Space group | P21/c | P21/n | P21/n | P21/n | P21/n |
| a, Å | 10.3824 (6) | 13.9192 (8) | 13.9408 (7) | 11.262 (1) | 11.2612 (4) |
| b, Å | 33.0002 (17) | 25.6243 (15) | 25.5845 (12) | 17.3804 (16) | 17.3724 (5) |
| c, Å | 14.9696 (8) | 14.5847 (9) | 14.5560 (6) | 26.931 (2) | 26.9285 (9) |
| β, deg | 99.981 (2) | 98.792 (2) | 98.892 (2) | 90.316 (3) | 90.313 (1) |
| V, Å3 | 5051.3 (5) | 5140.8 (5) | 5129.3 (4) | 5271.3 (8) | 5268.1 (3) |
| Z | 4 | 4 | 4 | 4 | 4 |
| T, K | 100 (2) | 100 (2) | 100 (2) | 100 (2) | 100 (2) |
| λ(MoKα), Å | 0.71073 | 0.71073 | 0.71073 | 0.71073 | 0.71073 |
| Dcalc, g·cm−3 | 1.499 | 1.505 | 1.513 | 1.479 | 1.487 |
| µ, mm−1 | 1.306 | 1.441 | 1.523 | 1.656 | 1.839 |
| F(000) | 2320 | 2368 | 2372 | 2380 | 2388 |
| Collected | 48902 | 145691 | 64730 | 10859 | 25695 |
| Unique (Rint) | 9615 (0.06) | 15595 (0.024) | 10446 (0.043) | 10859 (0.053) | 6774 (0.041) |
| parameters | 693 | 725 | 699 | 692 | 715 |
| R1 | 0.0449 | 0.0188 | 0.0230 | 0.0367 | 0.0312 |
| wR2 | 0.0787 | 0.0535 | 0.0668 | 0.0756 | 0.0841 |
| Goodness of fit | 1.18 | 0.97 | 0.99 | 1.18 | 1.09 |
| 1Eu | 2Tb | 3Dy | 4Er | 5Yb | |
|---|---|---|---|---|---|
| Ln1–O1 | 2.421 (3) | 2.2336 (11) | 2.2156 (16) | 2.199 (2) | 2.176 (4) |
| Ln1–O2 | 2.574 (3) | - | - | - | - |
| Ln1–O3 | 2.465 (3) | 2.3974 (10) | 2.3772 (17) | 2.358 (2) | 2.336 (3) |
| Ln1–O4 | 2.599 (3) | 2.4660 (9) | 2.4552 (15) | 2.430 (2) | 2.407 (3) |
| Ln1–O5 | 2.279 (3) | 2.2789 (11) | 2.2698 (16) | 2.269 (2) | 2.256 (3) |
| Ln1–O6 | 2.410 (3) | 2.4196 (11) | 2.4084 (17) | 2.344 (2) | 2.314 (3) |
| Ln1–N1 | 2.552 (3) | 2.5154 (10) | 2.511 (2) | 2.488 (3) | 2.472 (3) |
| Ln1–N2 | 2.606 (3) | 2.5522 (11) | 2.5374 (19) | 2.479 (2) | 2.457 (3) |
| Ln1–N3 | 2.545 (3) | 2.5098 (12) | 2.497 (2) | 2.508 (3) | 2.489 (3) |
Publisher’s Note: MDPI stays neutral with regard to jurisdictional claims in published maps and institutional affiliations. |
© 2021 by the authors. Licensee MDPI, Basel, Switzerland. This article is an open access article distributed under the terms and conditions of the Creative Commons Attribution (CC BY) license (https://creativecommons.org/licenses/by/4.0/).
Share and Cite
Casanovas, B.; Porcar, O.; Speed, S.; Vicente, R.; Font-Bardía, M.; El Fallah, M.S. Field-Induced SMM and Vis/NIR Luminescence on Mononuclear Lanthanide Complexes with 9-Anthracenecarboxylate and 2,2′:6,2″-Terpyridine. Magnetochemistry 2021, 7, 124. https://doi.org/10.3390/magnetochemistry7090124
Casanovas B, Porcar O, Speed S, Vicente R, Font-Bardía M, El Fallah MS. Field-Induced SMM and Vis/NIR Luminescence on Mononuclear Lanthanide Complexes with 9-Anthracenecarboxylate and 2,2′:6,2″-Terpyridine. Magnetochemistry. 2021; 7(9):124. https://doi.org/10.3390/magnetochemistry7090124
Chicago/Turabian StyleCasanovas, Berta, Oriol Porcar, Saskia Speed, Ramon Vicente, Mercè Font-Bardía, and Mohamed Salah El Fallah. 2021. "Field-Induced SMM and Vis/NIR Luminescence on Mononuclear Lanthanide Complexes with 9-Anthracenecarboxylate and 2,2′:6,2″-Terpyridine" Magnetochemistry 7, no. 9: 124. https://doi.org/10.3390/magnetochemistry7090124
APA StyleCasanovas, B., Porcar, O., Speed, S., Vicente, R., Font-Bardía, M., & El Fallah, M. S. (2021). Field-Induced SMM and Vis/NIR Luminescence on Mononuclear Lanthanide Complexes with 9-Anthracenecarboxylate and 2,2′:6,2″-Terpyridine. Magnetochemistry, 7(9), 124. https://doi.org/10.3390/magnetochemistry7090124
