Low-Coordinate Dinuclear Dysprosium(III) Single Molecule Magnets Utilizing LiCl as Bridging Moieties and Tris(amido)amine as Blocking Ligands
Abstract
:1. Introduction
2. Results and Discussion
2.1. Synthesis and Crystal Structure
2.2. DC Magnetic Properties
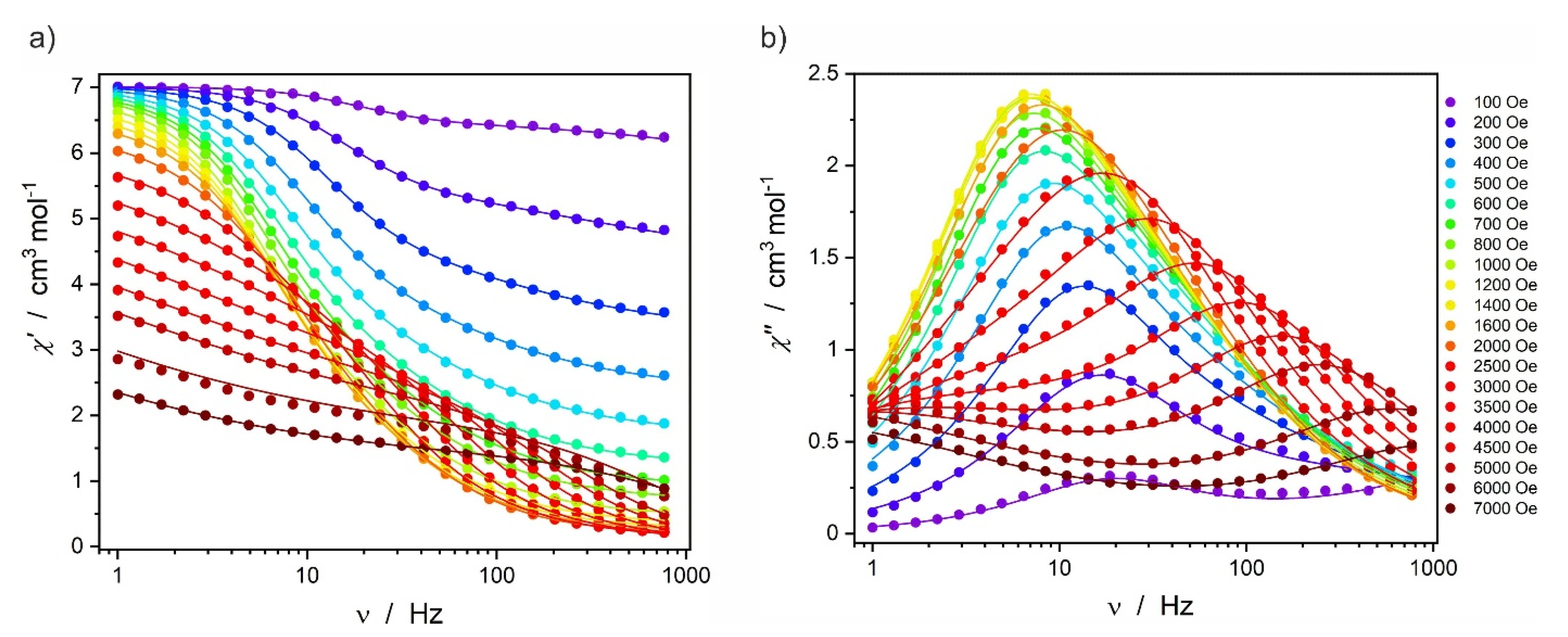
2.3. AC Magnetic Properties
2.4. Ab Initio Calculations
3. Materials and Methods
3.1. General Considerations
3.2. Preparation of Dy2
3.3. Preparation of Gd2
3.4. Single Crystal X-ray Diffraction
3.5. Powder X-ray Diffraction
3.6. Magnetic Measurements
4. Conclusions
Supplementary Materials
Author Contributions
Funding
Data Availability Statement
Conflicts of Interest
References
- Goodwin, C.A.P.; Ortu, F.; Reta, D.; Chilton, N.F.; Mills, D.P. Molecular magnetic hysteresis at 60 kelvin in dysprosocenium. Nature 2017, 548, 439–442. [Google Scholar] [CrossRef] [PubMed]
- Canaj, A.B.; Dey, S.; Wilson, C.; Céspedes, O.; Rajaraman, G.; Murrie, M. Engineering macrocyclic high performance pentagonal bipyramidal Dy(iii) single-ion magnets. Chem. Commun. 2020, 56, 12037–12040. [Google Scholar] [CrossRef]
- Wang, J.; Li, Q.-W.; Wu, S.-G.; Chen, Y.-C.; Wan, R.-C.; Huang, G.-Z.; Liu, Y.; Liu, J.-L.; Reta, D.; Giansiracusa, M.J.; et al. Opening Magnetic Hysteresis by Axial Ferromagnetic Coupling: From Mono-Decker to Double-Decker Metallacrown. Angew. Chem. Int. Ed. 2021, 60, 5299–5306. [Google Scholar] [CrossRef]
- Habib, F.; Murugesu, M. Lessons learned from dinuclear lanthanide nano-magnets. Chem. Soc. Rev. 2013, 42, 3278–3288. [Google Scholar] [CrossRef] [PubMed] [Green Version]
- Woodruff, D.N.; Winpenny, R.E.P.; Layfield, R.A. Lanthanide Single-Molecule Magnets. Chem. Rev. 2013, 113, 5110–5148. [Google Scholar] [CrossRef]
- Xin, Y.; Wang, J.; Zychowicz, M.; Zakrzewski, J.J.; Nakabayashi, K.; Sieklucka, B.; Chorazy, S.; Ohkoshi, S.-I. Dehydration–Hydration Switching of Single-Molecule Magnet Behavior and Visible Photoluminescence in a Cyanido-Bridged DyIIICoIII Framework. J. Am. Chem. Soc. 2019, 141, 18211–18220. [Google Scholar] [CrossRef]
- Li, X.-L.; Wu, J.; Tang, J.; Le Guennic, B.; Shi, W.; Cheng, P. A planar triangular Dy3 + Dy3 single-molecule magnet with a toroidal magnetic moment. Chem. Commun. 2016, 52, 9570–9573. [Google Scholar] [CrossRef]
- Hewitt, I.J.; Tang, J.; Madhu, N.T.; Anson, C.E.; Lan, Y.; Luzon, J.; Etienne, M.; Sessoli, R.; Powell, A.K. Coupling Dy3 Triangles Enhances Their Slow Magnetic Relaxation. Angew. Chem. Int. Ed. 2010, 49, 6352–6356. [Google Scholar] [CrossRef]
- Habib, F.; Lin, P.-H.; Long, J.; Korobkov, I.; Wernsdorfer, W.; Murugesu, M. The Use of Magnetic Dilution To Elucidate the Slow Magnetic Relaxation Effects of a Dy2 Single-Molecule Magnet. J. Am. Chem. Soc. 2011, 133, 8830–8833. [Google Scholar] [CrossRef] [PubMed]
- Habib, F.; Long, J.; Lin, P.-H.; Korobkov, I.; Ungur, L.; Wernsdorfer, W.; Chibotaru, L.F.; Murugesu, M. Supramolecular architectures for controlling slow magnetic relaxation in field-induced single-molecule magnets. Chem. Sci. 2012, 3, 2158–2164. [Google Scholar] [CrossRef]
- Rinehart, J.D.; Fang, M.; Evans, W.J.; Long, J.R. A N23– Radical-Bridged Terbium Complex Exhibiting Magnetic Hysteresis at 14 K. J. Am. Chem. Soc. 2011, 133, 14236–14239. [Google Scholar] [CrossRef]
- Rinehart, J.D.; Fang, M.; Evans, W.J.; Long, J.R. Strong exchange and magnetic blocking in N23−-radical-bridged lanthanide complexes. Nat. Chem. 2011, 3, 538–542. [Google Scholar] [CrossRef] [PubMed]
- Demir, S.; Zadrozny, J.M.; Nippe, M.; Long, J.R. Exchange Coupling and Magnetic Blocking in Bipyrimidyl Radical-Bridged Dilanthanide Complexes. J. Am. Chem. Soc. 2012, 134, 18546–18549. [Google Scholar] [CrossRef] [PubMed]
- Lin, P.-H.; Sun, W.-B.; Yu, M.-F.; Li, G.-M.; Yan, P.-F.; Murugesu, M. An unsymmetrical coordination environment leading to two slow relaxation modes in a Dy2 single-molecule magnet. Chem. Commun. 2011, 47, 10993–10995. [Google Scholar] [CrossRef] [PubMed]
- Guo, Y.-N.; Xu, G.-F.; Wernsdorfer, W.; Ungur, L.; Guo, Y.; Tang, J.; Zhang, H.-J.; Chibotaru, L.F.; Powell, A.K. Strong Axiality and Ising Exchange Interaction Suppress Zero-Field Tunneling of Magnetization of an Asymmetric Dy2 Single-Molecule Magnet. J. Am. Chem. Soc. 2011, 133, 11948–11951. [Google Scholar] [CrossRef] [PubMed]
- Sakaue, S.; Fuyuhiro, A.; Fukuda, T.; Ishikawa, N. Dinuclear single-molecule magnets with porphyrin–phthalocyanine mixed triple-decker ligand systems giving SAP and SP coordination polyhedra. Chem. Commun. 2012, 48, 5337–5339. [Google Scholar] [CrossRef]
- Zou, L.; Zhao, L.; Chen, P.; Guo, Y.-N.; Guo, Y.; Li, Y.-H.; Tang, J. Phenoxido and alkoxido-bridged dinuclear dysprosium complexes showing single-molecule magnet behaviour. Dalton Trans. 2012, 41, 2966–2971. [Google Scholar] [CrossRef]
- Long, J.; Habib, F.; Lin, P.-H.; Korobkov, I.; Enright, G.; Ungur, L.; Wernsdorfer, W.; Chibotaru, L.F.; Murugesu, M. Single-Molecule Magnet Behavior for an Antiferromagnetically Superexchange-Coupled Dinuclear Dysprosium (III) Complex. J. Am. Chem. Soc. 2011, 133, 5319–5328. [Google Scholar] [CrossRef]
- Shen, F.-X.; Pramanik, K.; Brandão, P.; Zhang, Y.-Q.; Jana, N.C.; Wang, X.-Y.; Panja, A. Macrocycle supported dimetallic lanthanide complexes with slow magnetic relaxation in Dy2 analogues. Dalton Trans. 2020, 49, 14169–14179. [Google Scholar] [CrossRef]
- He, M.; Guo, F.-S.; Tang, J.; Mansikkamäki, A.; Layfield, R.A. Fulvalene as a platform for the synthesis of a dimetallic dysprosocenium single-molecule magnet. Chem. Sci. 2020, 11, 5745–5752. [Google Scholar] [CrossRef]
- Aguilà, D.; Barrios, L.A.; Velasco, V.; Roubeau, O.; Repollés, A.; Alonso, P.J.; Sesé, J.; Teat, S.J.; Luis, F.; Aromí, G. Heterodimetallic [LnLn’] Lanthanide Complexes: Toward a Chemical Design of Two-Qubit Molecular Spin Quantum Gates. J. Am. Chem. Soc. 2014, 136, 14215–14222. [Google Scholar] [CrossRef] [Green Version]
- Guo, Y.-N.; Chen, X.-H.; Xue, S.; Tang, J. Modulating Magnetic Dynamics of Three Dy2 Complexes through Keto–Enol Tautomerism of the o-Vanillin Picolinoylhydrazone Ligand. Inorg. Chem. 2011, 50, 9705–9713. [Google Scholar] [CrossRef] [PubMed]
- Cummins, C.C.; Schrock, R.R.; Davis, W.M. Synthesis of Terminal Vanadium (V) Imido, Oxo, Sulfido, Selenido, and Tellurido Complexes by Imido Group or Chalcogenide Atom Transfer to Trigonal Monopyramidal V[N3N] (N3N = [(Me3SiNCH2CH2)3N]3−). Inorg. Chem. 1994, 33, 1448–1457. [Google Scholar] [CrossRef]
- Schrock, R.R.; Seidel, S.W.; Mösch-Zanetti, N.C.; Shih, K.-Y.; O’Donoghue, M.B.; Davis, W.M.; Reiff, W.M. Synthesis and Decomposition of Alkyl Complexes of Molybdenum (IV) That Contain a [(Me3SiNCH2CH2)3N]3− Ligand. Direct Detection of α-Elimination Processes That Are More than Six Orders of Magnitude Faster than β-Elimination Processes. J. Am. Chem. Soc. 1997, 119, 11876–11893. [Google Scholar] [CrossRef]
- Pinkowicz, D.; Birk, F.J.; Magott, M.; Schulte, K.; Dunbar, K.R. Systematic Study of Open-Shell Trigonal Pyramidal Transition-Metal Complexes with a Rigid-Ligand Scaffold. Chem.—A Eur. J. 2017, 23, 3548–3552. [Google Scholar] [CrossRef]
- Brzozowska, M.; Handzlik, G.; Kurpiewska, K.; Zychowicz, M.; Pinkowicz, D. Pseudo-tetrahedral vs. pseudo-octahedral ErIII single molecule magnets and the disruptive role of coordinated TEMPO radical. Inorg. Chem. Front. 2021, 8, 2817–2828. [Google Scholar] [CrossRef]
- Chilton, N.F.; Anderson, R.P.; Turner, L.D.; Soncini, A.; Murray, K.S. PHI: A powerful new program for the analysis of anisotropic monomeric and exchange-coupled polynuclear d- and f-block complexes. J. Comput. Chem. 2013, 34, 1164–1175. [Google Scholar] [CrossRef]
- Liu, J.-L.; Chen, Y.-C.; Tong, M.-L. Symmetry strategies for high performance lanthanide-based single-molecule magnets. Chem. Soc. Rev. 2018, 47, 2431–2453. [Google Scholar] [CrossRef]
- Guo, Y.-N.; Xu, G.-F.; Guo, Y.; Tang, J. Relaxation dynamics of dysprosium (iii) single molecule magnets. Dalton Trans. 2011, 40, 9953–9963. [Google Scholar] [CrossRef] [PubMed]
- Liddle, S.T.; van Slageren, J. Improving f-element single molecule magnets. Chem. Soc. Rev. 2015, 44, 6655–6669. [Google Scholar] [CrossRef] [PubMed] [Green Version]
- Aquilante, F.; Autschbach, J.; Carlson, R.K.; Chibotaru, L.F.; Delcey, M.G.; De Vico, L.; Fdez Galván, I.; Ferré, N.; Frutos, L.M.; Gagliardi, L.; et al. Molcas 8: New capabilities for multiconfigurational quantum chemical calculations across the periodic table. J. Comput. Chem. 2016, 37, 506–541. [Google Scholar] [CrossRef] [Green Version]
- Sheldrick, G. Crystal structure refinement with SHELXL. Acta Crystallogr. Sect. C 2015, 71, 3–8. [Google Scholar] [CrossRef]
- Arczyński, M.; Stanek, J.; Sieklucka, B.; Dunbar, K.R.; Pinkowicz, D. Site-Selective Photoswitching of Two Distinct Magnetic Chromophores in a Propeller-Like Molecule To Achieve Four Different Magnetic States. J. Am. Chem. Soc. 2019, 141, 19067–19077. [Google Scholar] [CrossRef] [PubMed]








| {[Dy(N3N)(THF)][LiCl(THF)]}2 (Dy2) | {[Gd(N3N)(THF)][LiCl(THF)]}2 (Gd2) | |
|---|---|---|
| CCDC deposition number | 2099063 | 2099064 |
| Instrument | Bruker D8 Quest Eco, Photon II CPAD | |
| Radiation | Mo Kα (λ = 0.71073 Å) | |
| Formula | C46H110Cl2Dy2Li2N8O4Si6 | C23H55ClGdLiN4O2Si3 |
| Mr/g mol−1 | 1417.73 | 703.62 |
| T/K | 100 (2) | 100 (2) |
| Crystal system | monoclinic | monoclinic |
| Space group | P 21/c | P 21/c |
| a/Å | 27.597 (2) | 27.664 (2) |
| b/Å | 18.9742 (14) | 19.0319 (14) |
| c/Å | 12.9329 (10) | 12.9766 (10) |
| α/° | 90 | 90 |
| β/° | 95.962 (2) | 96.151 (2) |
| γ/° | 90 | 90 |
| V/Å3 | 6735.4 (9) | 6792.8 (9) |
| Z | 4 | 4 |
| ρcalc/g·cm−3 | 1.398 | 1.376 |
| μ/mm−1 | 2.429 | 2.161 |
| F(000) | 2920 | 2904 |
| Crystal size/mm3 | 0.37 0.31 0.23 | 0.27 0.25 0.17 |
| 2θ range/° | 1.91–27.88 | 2.31–27.92 |
| Completeness/% | 98.4 | 99.6 |
| Reflections collected | 70,952 | 77,170 |
| Independent reflections | 15,811 | 16,200 |
| Rint | 0.0617 | 0.0898 |
| Parameters/restrains | 649/18 | 649/18 |
| R[Fo > 2σ(Fo)] | 0.0355 | 0.0498 |
| wR(F2) | 0.0840 | 0.0822 |
| GOF on F2 | 1.040 | 1.049 |
| Δρmax, Δρmin/e·Å−3 | 0.973/−0.802 | 1.410/−1.579 |
| {[Dy(N3N)(THF)][LiCl(THF)]}2 (Dy2) | {[Gd(N3N)(THF)][LiCl(THF)]}2 (Gd2) | |||
|---|---|---|---|---|
| x = A | x = B | x = A | x = B | |
| M1x-O1x | 2.461 (3) | 2.494 (3) | 2.488 (4) | 2.518 (4) |
| M1x-N1x | 2.385 (3) | 2.380 (3) | 2.415 (4) | 2.411 (4) |
| M1x-N2x | 2.271 (3) | 2.263 (3) | 2.298 (4) | 2.292 (4) |
| M1x-N3x | 2.273 (4) | 2.291 (4) | 2.306 (4) | 2.318 (4) |
| M1x-N4x | 2.508 (3) | 2.519 (4) | 2.544 (4) | 2.547 (4) |
| M1x-Cl1x | 2.733 (1) | 2.740 (1) | 2.763 (1) | 2.769 (1) |
| N1x-M1x-N4x | 74.06 (11) | 73.41 (12) | 73.31 (14) | 72.83 (14) |
| N2x-M1x-N4x | 72.69 (12) | 73.14 (13) | 72.20 (14) | 72.41 (15) |
| N3x-M1x-N4x | 72.40 (12) | 72.56 (12) | 71.10 (15) | 71.66 (15) |
| O1x-M1x-N4x | 129.35 (10) | 127.14 (11) | 129.65 (13) | 127.28 (13) |
| Cl1x-M1x-N4x | 149.13 (7) | 150.45 (7) | 148.44 (8) | 149.97 (9) |
| N1x-M1x-Cl1x | 79.02 (9) | 81.92 (9) | 78.96 (10) | 81.93 (11) |
| N2x-M1x-Cl1x | 127.46 (9) | 127.68 (10) | 128.16 (11) | 128.48 (12) |
| N3x-M1x-Cl1x | 104.87 (9) | 103.83 (9) | 106.31 (11) | 104.88 (11) |
| O1x-M1x-Cl1x | 79.34 (7) | 79.92 (7) | 79.67 (9) | 80.23 (9) |
| N1x-M1x-N2x | 99.68 (12) | 98.94 (13) | 99.63 (15) | 98.43 (16) |
| N2x-M1x-O1x | 85.68 (11) | 83.24 (11) | 86.48 (14) | 84.19 (14) |
| O1x-M1x-N3x | 83.28 (11) | 82.41 (11) | 83.60 (14) | 82.49 (14) |
| N3x-M1x-N1x | 111.98 (12) | 113.46 (13) | 111.21 (15) | 112.96 (15) |
| T/K | 3.5 K | field dependence (Figure 6a) |
| range/Hz | 1–1000 | |
| field range/Oe | 100–7000 | |
| A1/s−1 | 110 (7) | |
| A2/Oe−2 | 1.2 (2)·10−5 | |
| A3/Oe−4 | 2.63 (5)·10−12 | |
| A4/s−1 | 22.9 (9) | |
| R2 | 0.995 | |
| HDC/Oe | 1000 | temperature dependence (Figure 6b) |
| range/Hz | 1–1000 | |
| temp. range/K | 2.8–8.3 | |
| C0/s−1 | 0 (fixed) | |
| C1/s−1K−1 | 0.75 (fixed) | |
| C2/s−1K−n | 0.015 (7) | |
| n | 5.81 (33) | |
| τ0/s | 4.9 (1.9)·10−6 | |
| (Ueff/kB)/K | 34 (2) | |
| R2 | 0.99956 |
Publisher’s Note: MDPI stays neutral with regard to jurisdictional claims in published maps and institutional affiliations. |
© 2021 by the authors. Licensee MDPI, Basel, Switzerland. This article is an open access article distributed under the terms and conditions of the Creative Commons Attribution (CC BY) license (https://creativecommons.org/licenses/by/4.0/).
Share and Cite
Brzozowska, M.; Handzlik, G.; Zychowicz, M.; Pinkowicz, D. Low-Coordinate Dinuclear Dysprosium(III) Single Molecule Magnets Utilizing LiCl as Bridging Moieties and Tris(amido)amine as Blocking Ligands. Magnetochemistry 2021, 7, 125. https://doi.org/10.3390/magnetochemistry7090125
Brzozowska M, Handzlik G, Zychowicz M, Pinkowicz D. Low-Coordinate Dinuclear Dysprosium(III) Single Molecule Magnets Utilizing LiCl as Bridging Moieties and Tris(amido)amine as Blocking Ligands. Magnetochemistry. 2021; 7(9):125. https://doi.org/10.3390/magnetochemistry7090125
Chicago/Turabian StyleBrzozowska, Maria, Gabriela Handzlik, Mikolaj Zychowicz, and Dawid Pinkowicz. 2021. "Low-Coordinate Dinuclear Dysprosium(III) Single Molecule Magnets Utilizing LiCl as Bridging Moieties and Tris(amido)amine as Blocking Ligands" Magnetochemistry 7, no. 9: 125. https://doi.org/10.3390/magnetochemistry7090125
APA StyleBrzozowska, M., Handzlik, G., Zychowicz, M., & Pinkowicz, D. (2021). Low-Coordinate Dinuclear Dysprosium(III) Single Molecule Magnets Utilizing LiCl as Bridging Moieties and Tris(amido)amine as Blocking Ligands. Magnetochemistry, 7(9), 125. https://doi.org/10.3390/magnetochemistry7090125

