Magnetic and Structural Properties of Organic Radicals Based on Thienyl- and Furyl-Substituted Nitronyl Nitroxide
Abstract
1. Introduction
2. Results and Discussion
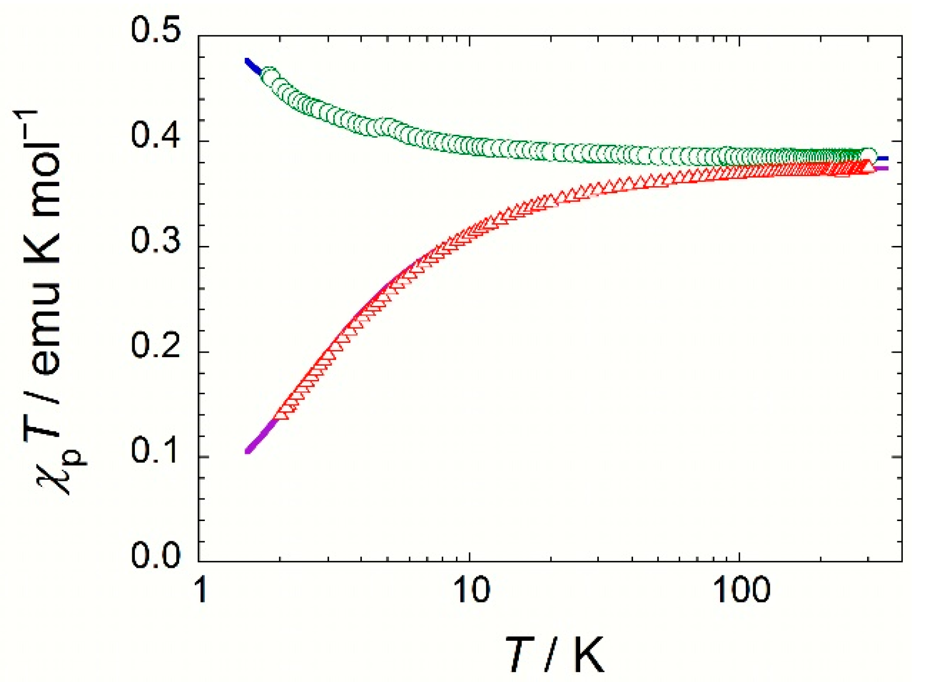
2.1. Magnetic Properties
2.2. Crystal Structures
3. Materials and Methods
4. Conclusions
Author Contributions
Funding
Conflicts of Interest
References
- Ullman, E.F.; Osiecki, J.H.; Boocock, D.G.B.; Darcy, R. Studies of stable free radicals. X. Nitronyl nitroxide monoradicals and biradicals as possible small molecule spin labels. J. Am. Chem. Soc. 1972, 94, 7049–7059. [Google Scholar] [CrossRef]
- Awaga, K.; Maruyama, Y. Ferromagnetic intermolecular interaction of the organic radical, 2-(4-nitrophenyl)-4,4,5,5-tetramethyl-4,5-dihydro-1H-imidazolyl-1-oxy-3-oxide. Chem. Phys. Lett. 1989, 158, 556–558. [Google Scholar] [CrossRef]
- Kinoshita, M.; Turek, P.; Tamura, M.; Nozawa, K.; Shiomi, D.; Nakazawa, Y.; Ishikawa, M.; Takahashi, M.; Awaga, K.; Inabe, T.; et al. An organic radical ferromagnet. Chem. Lett. 1991, 20, 1225–1228. [Google Scholar] [CrossRef]
- Awaga, K.; Inabe, T.; Maruyama, Y. Ferromagnetic intermolecular interaction and crystal structure of the p-pyridyl nitronyl nitroxiide radical. Chem. Phys. Lett. 1992, 190, 349–352. [Google Scholar] [CrossRef]
- Nakazawa, Y.; Tamura, M.; Shirakawa, N.; Shiomi, D.; Takahashi, M.; Kinoshita, M.; Ishikawa, M. Low-temperature magnetic properties of the ferromagnetic organic radical, p-nitrophenyl nitronyl nitroxide. Phys. Rev. B 1992, 46, 8906–8914. [Google Scholar] [CrossRef] [PubMed]
- Sugano, T.; Pratt, F.L.; Kurmoo, M.; Takeda, N.; Ishikawa, M.; Blundell, S.J.; Pattenden, P.A.; Valladares, R.M.; Hayes, W.; Day, P. Magnetic ordering in some organic molecular magnets. Synth. Met. 1995, 71, 1827–1828. [Google Scholar] [CrossRef]
- Sugano, T.; Kurmoo, M.; Uekusa, H.; Ohashi, Y.; Day, P. Magneto-structural correlation in two isomeric series of nitronyl nitroxide molecular magnets: Intermolecular interactions relevant to ferromagnetic exchange in naphthl and quinolyl derivatives. J. Solid State Chem. 1999, 145, 427–442. [Google Scholar] [CrossRef]
- Catala, L.; Feher, R.; Amabilino, D.B.; Wurst, K.; Veciana, J. Pyrazol-4-yl-substituted α-nitronyl and α-imino nitroxide radicals in solution and solid states. Polyhedron 2001, 20, 1563–1569. [Google Scholar] [CrossRef]
- Sugano, T.; Blundell, S.J.; Lancaster, T.; Pratt, F.L.; Mori, H. Magnetic order in the purely organic quasi-one-dimensional ferromagnet 2-benzimidazolyl nitronyl nitroxide. Phys. Rev. B 2010, 82, 180401. [Google Scholar] [CrossRef]
- Adriano, C.; Freitas, R.S.; Paduan-Filho, A.; Pagliuso, P.G.; Oliveira, N.F.; Lahti, P.M. Magnetic phase diagram of the organic antiferromagnet F4BImNN. Polyhedron 2017, 136, 2–4. [Google Scholar] [CrossRef]
- Mori, T.; Kobayashi, A.; Sasaki, Y.; Kobayashi, H.; Saito, G.; Inokuchi, H. The intermolecular interaction of tetrathiafulvalene and bis(ethylenedithio)tetrathiafulvalene in organic metals. Calculation of overlaps and models of energy-band structures. Bull. Chem. Soc. Jpn. 1984, 57, 627–633. [Google Scholar] [CrossRef]
- Sugano, T. Magnetic phase transition between ferromagnetic high-temperature phase and antiferromagnetic low-temperature phase in 5-carboxy-2-thienyl nitronyl nitroxide. Chem. Lett. 2001, 29, 32–33. [Google Scholar] [CrossRef]
- Sugano, T. Magnetic phase transitions in organic radical crystals studied by electron spin resonance. Synth. Met. 2003, 137, 1167–1168. [Google Scholar] [CrossRef]
- Sugano, T.; Blundel, S.J.; Hayes, W.; Day, P.; Mori, H. Magnetic and structural properties of monoradicals and diradicals based on thienyl-substituted nitronyl nitroxide. Physica B 2010, 405, S327–S330. [Google Scholar] [CrossRef]
- Bleaney, B.; Bowers, K.D. Anomalous paramagnetism of copper acetate. Proc. R. Soc. A 1952, 214, 451–465. [Google Scholar] [CrossRef]
- Bonner, J.C.; Fisher, M.E. Linear magnetic chains with anisotropic coupling. Phys. Rev. 1964, 135, A640–A658. [Google Scholar] [CrossRef]
- Coronado, E.; Giménez-Saiz, C.; Nicolas, M.; Romero, F.M.; Rusanov, E.; Stoeckli-Evans, H. Synthesis, crystal structures and electronic properties of imidazoline nitroxide radicals bearing active groups in electropolymerisation. New J. Chem. 2003, 27, 490–497. [Google Scholar] [CrossRef]
- Rubenacker, G.V.; Drumheller, J.E.; Emerson, K.; Willett, R.D. Magnetic susceptibility of ((CH)3NH)2Cu4Br10, chains of stacked linear tetramers. J. Magn. Magn. Mater. 1986, 54–57, 1483–1484. [Google Scholar] [CrossRef]








| 2-BTHNN | 2-THPNN | |
|---|---|---|
| Chemical formula | C15H17N2O2S | C17H19N2O2S |
| Formula weight | 289.37 | 315.41 |
| Crystal system | Monoclinic | Monoclinic |
| Space group | C2/c | P21/n |
| a (Å) | 17.636 (6) | 13.30 (7) |
| b (Å) | 11.400 (4) | 9.57 (4) |
| c (Å) | 29.886 (9) | 14.51 (7) |
| β (°) | 95.442 (4) | 117.28 (7) |
| V (Å3) | 5982 (3) | 1642 (14) |
| Z value | 16 | 4 |
| Dcalc (Mg·m−3) | 1.285 | 1.276 |
| Reflections independent | 6259 | 3631 |
| R, Rw [I > 2σ(I)] | 0.0808, 0.1002 | 0.0808, 0.0967 |
Publisher’s Note: MDPI stays neutral with regard to jurisdictional claims in published maps and institutional affiliations. |
© 2021 by the authors. Licensee MDPI, Basel, Switzerland. This article is an open access article distributed under the terms and conditions of the Creative Commons Attribution (CC BY) license (https://creativecommons.org/licenses/by/4.0/).
Share and Cite
Sugano, T.; Blundell, S.J.; Hayes, W.; Mori, H. Magnetic and Structural Properties of Organic Radicals Based on Thienyl- and Furyl-Substituted Nitronyl Nitroxide. Magnetochemistry 2021, 7, 62. https://doi.org/10.3390/magnetochemistry7050062
Sugano T, Blundell SJ, Hayes W, Mori H. Magnetic and Structural Properties of Organic Radicals Based on Thienyl- and Furyl-Substituted Nitronyl Nitroxide. Magnetochemistry. 2021; 7(5):62. https://doi.org/10.3390/magnetochemistry7050062
Chicago/Turabian StyleSugano, Tadashi, Stephen J. Blundell, William Hayes, and Hatsumi Mori. 2021. "Magnetic and Structural Properties of Organic Radicals Based on Thienyl- and Furyl-Substituted Nitronyl Nitroxide" Magnetochemistry 7, no. 5: 62. https://doi.org/10.3390/magnetochemistry7050062
APA StyleSugano, T., Blundell, S. J., Hayes, W., & Mori, H. (2021). Magnetic and Structural Properties of Organic Radicals Based on Thienyl- and Furyl-Substituted Nitronyl Nitroxide. Magnetochemistry, 7(5), 62. https://doi.org/10.3390/magnetochemistry7050062
