Comprehensively Understanding the Transformation of Paramagnetic Tetramer to Spin-Paired Dimer in an S = ½ Molecular Crystal
Abstract
1. Introduction
2. Materials and Methods
2.1. Preparation of [1-Benzyl-4-aminopyridinium][M(mnt)2] (M = Ni or Cu)
2.2. X-Ray Single Crystallography
3. Results and Discussion
3.1. Crystal Structures
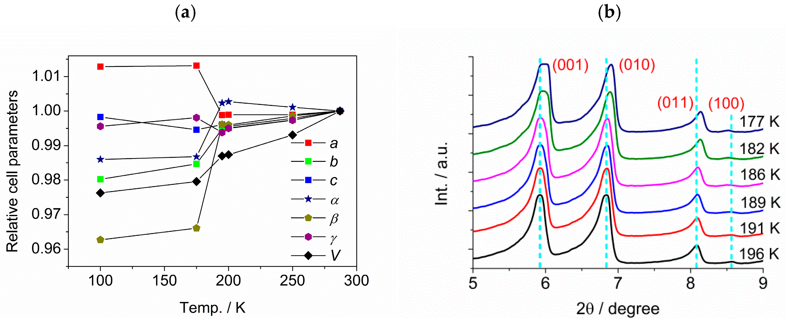
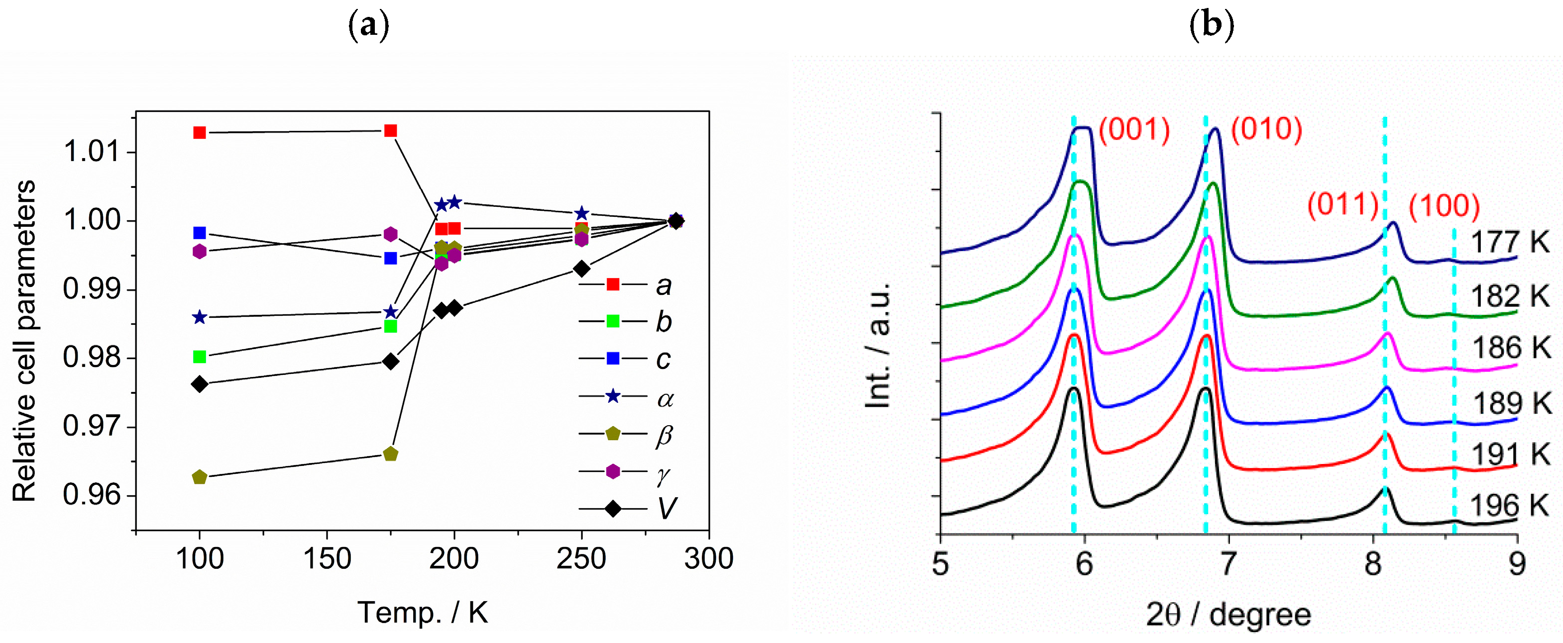
3.2. Temperature-Dependent Cell Parameters and PXRD Patterns of APy-Ni
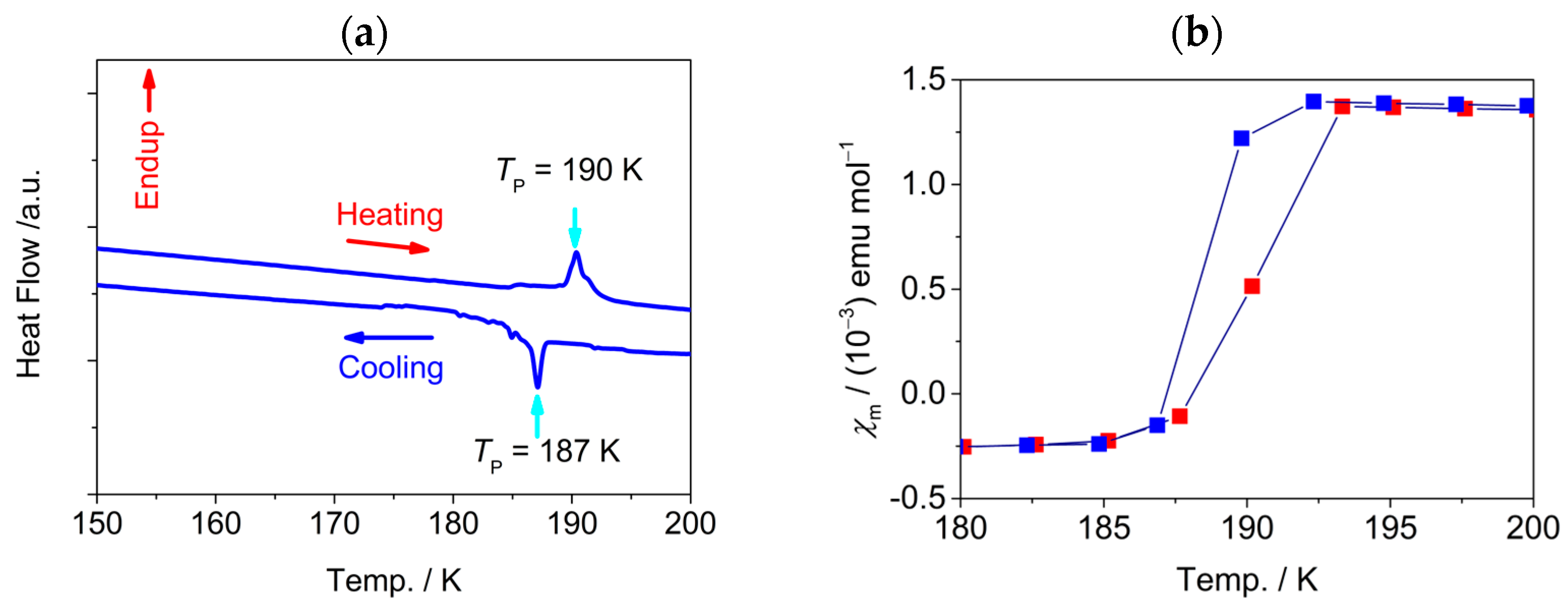
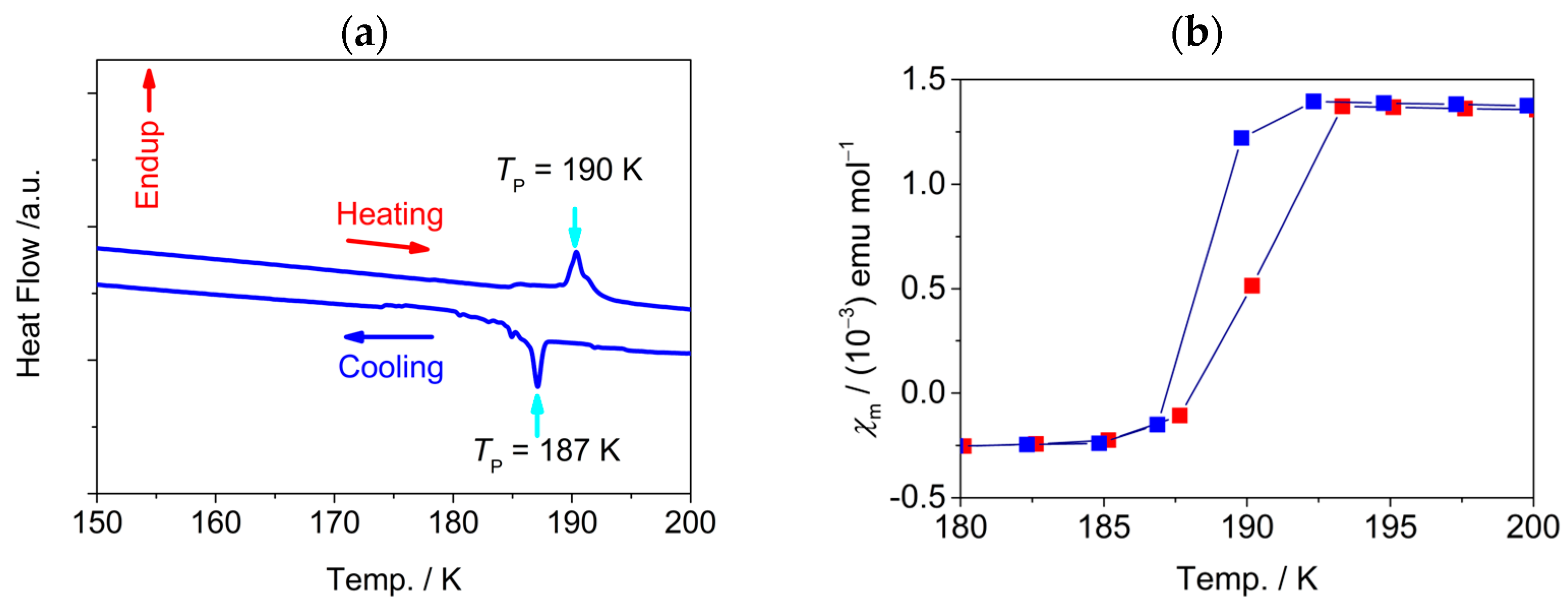
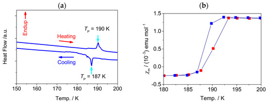
3.3. Magnetic Properties at Ambient Pressure and DSC Features
3.4. EPR Spectra of APy-Ni in the Temperature of 110–292 K
3.5. Phase Transition Behavior of APy-Ni Under Pressures
3.6. The Formation Energy of Lattice of APy-Ni and APy-Cu
4. Conclusions
Supplementary Materials
Author Contributions
Funding
Data Availability Statement
Acknowledgments
Conflicts of Interest
Abbreviations
| APy-Ni | [1-benzyl-4-aminopyridinium][Ni(mnt)2] |
| APy-Cu | [1-benzyl-4-aminopyridinium][Cu(mnt)2] |
| APy+ | 1-benzyl-4-aminopyridinium |
| mnt2− | Maleonitriledithiolate |
| AFM | Antiferromagnetic |
| FM | Ferromagnetic |
References
- Maksimov, E.G. Theoretical Investigations of the Ferroelectric Transition. Physics−Uspekhi 2009, 52, 603–614. [Google Scholar] [CrossRef]
- Nakano, A.; Hasegawa, T.; Tamura, S.; Katayama, N.; Tsutsui, S.; Sawa, H. Antiferroelectric Distortion with Anomalous Phonon Softening in the Excitonic Insulator Ta2NiSe5. Phys. Rev. B 2018, 98, 045139. [Google Scholar] [CrossRef]
- Luo, Y.; Zhang, Y.Q.; Xu, G.C. Synthesis and Characterization of a Displacement-Type Ferroelectric–Ferroelectric Phase Transition Compound [(NH3)(CH2)3(NH3)]2[InBr6]Br·H2O. Inorg. Chem. 2022, 61, 13143–13148. [Google Scholar] [CrossRef] [PubMed]
- Morosov, A.I.; Sigov, A.S. The Nature of Central Peak in SrTiO3. Ferroelectrics 2011, 412, 12–14. [Google Scholar] [CrossRef]
- Harada, J.; Shimojo, T.; Oyamaguchi, H.; Hasegawa, H.; Takahashi, Y.; Satomi, K.; Suzuki, Y.; Kawamata, J.; Inabe, T. Directionally Tunable and Mechanically Deformable Ferroelectric Crystals from Rotating Polar Globular Ionic Molecules. Nat. Chem. 2016, 8, 946–952. [Google Scholar] [CrossRef]
- Liu, H.Y.; Zhang, H.Y.; Chen, X.G.; Xiong, R.G. Molecular Design Principles for Ferroelectrics: Ferroelectrochemistry. J. Am. Chem. Soc. 2020, 142, 15205–15218. [Google Scholar] [CrossRef]
- Xu, K.; Zhou, Z.N.; Han, X.B.; Yang, Y.W.; Zhang, W.; Ye, Q. Shape Shifting and Locking in Mechanically Responsive Organic-Inorganic Hybrid Materials for Thermoelastic Actuators. Angew. Chem. Int. Ed. 2024, 63, e202408247. [Google Scholar] [CrossRef]
- Zhou, Q.J.; He, L.; Xu, K.; Han, X.B.; Yin, T.J.; Zhang, W.; Ye, Q. Thermally Reversible Luminescence in Ferroelastic Phase Transition Materials. Adv. Opt. Mater. 2024, 12, 2302292. [Google Scholar] [CrossRef]
- Gui, L.A.; Chen, J.; Zhang, Y.F.; Li, L.H.; Li, J.R.; Hu, Z.B.; Zhang, S.Y.; Zhang, J.; Zhang, Z.; Ye, H.Y.; et al. Room-temperature Magnetocapacitance Spanning 97 K Hysteresis in Molecular Material. Angew. Chem. Int. Ed. 2024, e202416380. [Google Scholar] [CrossRef]
- Jahn, H.A.; Teller, E. Stability of Polyatomic Molecules in Degenerate Electronic States−I: Orbital Degeneracy. Proc. R. Soc. Lond. A 1937, 161, 220–235. [Google Scholar]
- Peierls, R.E. Quantum Theory of Solids; Oxford University Press: London, UK, 1955; pp. 108–114. [Google Scholar]
- Bray, J.W.; Hart, H.R., Jr.; Interrante, L.V.; Jacobs, I.S.; Kasper, J.S.; Watkins, G.D.; Wee, S.H.; Bonner, J.C. Observation of a Spin-Peierls Transition in a Heisenberg Antiferromagnetic Linear-Chain System. Phys. Rev. Lett. 1975, 35, 744–747. [Google Scholar] [CrossRef]
- Braden, M.; Hennion, B.; Reichardt, W.; Dhalenne, G.; Revcolevschi, A. Spin-Phonon Coupling in CuGeO3. Phys. Rev. Lett. 1998, 80, 3634–3637. [Google Scholar] [CrossRef]
- Musfeldt, J.L.; Wang, Y.J.; Jandl, S.; Poirier, M.; Revcolevschi, A.; Dhalenne, G. Infrared Investigation of the Broken-Symmetry Ground State in GeCuO3. Phys. Rev. B 1996, 54, 469–473. [Google Scholar] [CrossRef] [PubMed]
- Ren, X.M.; Meng, Q.J.; Song, Y.; Hu, C.J.; Lu, C.S.; Chen, X.Y.; Xue, Z.L. Unusual Magnetic Property Associated with Dimerization within a Nickel Tetramer. Inorg. Chem. 2002, 41, 5931–5933. [Google Scholar] [CrossRef]
- Stoe IPDS Software Package Version 2.89; Stoe & Cie. GmbH: Darmstadt, Germany, 1989.
- Bruker. APEX 2, SAINT, XPREP; Bruker AXS Inc.: Madison, WI, USA, 2007. [Google Scholar]
- Bruker. SADABS; Bruker AXS Inc.: Madison, WI, USA, 2001. [Google Scholar]
- Sheldrick, G.M. A Short History of SHELX. Acta Crystallogr. Sect. A Found. Crystallogr. 2008, 64, 112–122. [Google Scholar] [CrossRef]
- Ren, X.M.; Kremera, R.K.; Meng, Q.J. Investigation of the Magneto-Structural Phase Transition in [1-benzyl-4-aminopyridinium][bis(maleonitriledithiolato)-nickelate]. J. Mag. Mag. Mater. 2004, 272–276, 924–926. [Google Scholar] [CrossRef]
- Carlin, R.L. Magnetochemistry; Springer: Berlin/Heidelberg, Germany, 1986; Chapter 5. [Google Scholar]
- Rubenacker, G.V.; Drumheller, J.E.; Emerson, K.; Willett, R.D. Magnetic Susceptibility of ((CH3)3NH)2Cu4Br10, Chains of Stacked Linear Tetramers. J. Mag. Mag. Mater. 1986, 54–57, 1483–1484. [Google Scholar] [CrossRef]
- Shupack, S.I.; Billig, E.; Clark, R.J.H.; Willams, R.; Gray, H.B. The Electronic Structures of Square-Planar Metal Complexes. V. Spectral Properties of the Maleonitriledithiolate Complexes of Nickel, Palladium, and Platinum. J. Am. Chem. Soc. 1964, 86, 4594–4602. [Google Scholar] [CrossRef]
- Ni, Z.; Ren, X.; Ma, J.; Xie, J.; Ni, C.; Chen, Z.; Meng, Q. Theoretical Studies on the Magnetic Switching Controlled by Stacking Patterns of Bis(maleonitriledithiolato)nickelate(III) Dimers. J. Am. Chem. Soc. 2005, 127, 14330–14338. [Google Scholar] [CrossRef]
- Maryunina, K.Y.; Zhang, X.; Nishihara, S.; Inoue, K.; Morozov, V.A.; Romanenko, G.V.; Ovcharenko, V.I. A Heterospin Pressure Sensor. J. Mater. Chem. C 2015, 3, 7788–7791. [Google Scholar] [CrossRef]
- Ren, X.M.; Nishihara, S.; Akutagawa, T.; Fujita, W.; Awaga, K. Pressure Effect on Spin-Peierls-Like Transition in Quasi-1D Spin Systems [RBzPy][Ni(mnt)2]. Chem. Phys. Lett. 2007, 439, 318–322. [Google Scholar] [CrossRef]
- Tanaka, T.; Fujita, W.; Awaga, K. Pressure Effects on Magnetic Bistability in a Heterocyclic Thiazyl Radical TTTA. Chem. Phys. Lett. 2004, 393, 150–152. [Google Scholar] [CrossRef]
- Coomber, A.T.; Beljonne, D.; Friend, R.H.; Brédas, J.L.; Charlton, A.; Robertson, N.; Underhill, A.E.; Kurmoo, M.; Day, P. Intermolecular Interactions in the Molecular Ferromagnetic NH4Ni(mnt)2· H2O. Nature 1996, 380, 144. [Google Scholar] [CrossRef]
- Bao, H.; Wang, W.; Li, X.; Liu, X.; Zhang, L.; Yan, X.; Wang, Y.; Wang, C.; Jia, X.; Sun, P.; et al. Interfacial Stress-Modulated Mechanosensitive Upconversion Luminescence of NaErF4 Based Heteroepitaxial Core–Shell Nanoparticles. Adv. Opt. Mater. 2022, 10, 2101702. [Google Scholar] [CrossRef]
- Matsuda, Y.; Orimo, R.; Abe, Y.; Hiraiwa, Y.; Okamura, Y.; Sunami, Y. Pressure-Sensitive Nano-Sheet for Optical Pressure Measurement. Sensors 2021, 21, 7168. [Google Scholar] [CrossRef]
- Chen, Z.; Zhuo, H.; Hu, Y.; Lai, H.; Liu, L.; Zhong, L.; Peng, X. Wood-Derived Lightweight and Elastic Carbon Aerogel for Pressure Sensing and Energy Storage. Adv. Funct. Mater. 2020, 30, 1910292. [Google Scholar] [CrossRef]
- Zhao, S.; Ran, W.; Wang, D.; Yin, R.; Yan, Y.; Jiang, K.; Lou, Z.; Shen, G. 3D Dielectric Layer Enabled Highly Sensitive Capacitive Pressure Sensors for Wearable Electronics. ACS Appl. Mater. Interfaces 2020, 12, 32023–32030. [Google Scholar] [CrossRef]
- Codjovi, E.; Menendez, N.; Jeftic, J.; Varret, F. Pressure and Temperature Hysteresis in the Spin-Transition Solid Fe(btr)2(NCS)2·H2O, Pure and Diluted in Ni Matrix. Acad. Sci. Ser. IIC Chem. 2001, 4, 181–188. [Google Scholar]
- Linares, J.; Codjovi, E.; Garcia, Y. Pressure and Temperature Spin Crossover Sensors with Optical Detection. Sensors 2012, 12, 4479–4492. [Google Scholar] [CrossRef]
- Gregory, J.W.; Sakaue, H.; Liu, T.; Sullivan, J.P. Fast Pressure-Sensitive Paint for Flow and Acoustic Diagnostics. Annu. Rev. Fluid Mech. 2014, 46, 303–330. [Google Scholar] [CrossRef]
- Peng, D.; Liu, Y. Fast Pressure-Sensitive Paint for Understanding Complex Flows: From Regular to Harsh Environments. Exp. Fluids 2020, 61, 8. [Google Scholar] [CrossRef]
- Zhang, D.; Xu, S.; Zhao, X.; Qian, W.; Bowen, C.R.; Yang, Y. Wireless Monitoring of Small Strains in Intelligent Robots via a Joule Heating Effect in Stretchable Graphene–Polymer Nanocomposites. Adv. Funct. Mater. 2020, 30, 1910809. [Google Scholar] [CrossRef]
- Persano, L.; Dagdeviren, C.; Su, Y.; Zhang, Y.; Girardo, S.; Pisignano, D.; Huang, Y.; Rogers, J.A. High Performance Piezoelectric Devices Based on Aligned Arrays of Nanofibers of Poly(vinylidenefluoride-co-trifluoroethylene). Nat. Commun. 2013, 4, 1633. [Google Scholar] [CrossRef]
- Delley, B. From Molecules to Solids with the DMol3 Approach. J. Chem. Phys. 2000, 113, 7756–7764. [Google Scholar] [CrossRef]
- Perdew, J.P.; Burke, K.; Ernzerhof, M. Generalized Gradient Approximation Made Simple. Phys. Rev. Lett. 1996, 77, 3865–3868. [Google Scholar] [CrossRef]
- Monkhorst, H.J.; Pack, J.D. Special Points for Brillouin-zone Integrations. Phys. Rev. B 1976, 13, 5188–5192. [Google Scholar] [CrossRef]
- Simon, A. Eine Methode zur Untersuchung extrem luftempfindlicher Substanzen mit der Guinier-Methode. J. Appl. Crystallogr. 1970, 3, 11. [Google Scholar] [CrossRef]
- Kremer, R.K.; Loa, I.; Razavi, F.S.; Syassen, K. Effect of pressure on the magnetic phase transition in α’-NaV2O5. Solid State Commun. 2000, 113, 217. [Google Scholar] [CrossRef]
- Frisch, M.J.; Trucks, G.W.; Schlegel, H.B.; Scuseria, G.E.; Robb, M.A.; Cheeseman, J.R. GAUSSIAN 09; Revision A.02; Gaussian Inc.: Wallingford, CT, USA, 2009. [Google Scholar]
- Lu, T.; Chen, F. Multiwfn: A multifunctional wavefunction analyzer. J. Comput. Chem. 2012, 33, 580–592. [Google Scholar] [CrossRef]
- Becke, A.D. Density-functional thermochemistry. I. The effect of the exchange-only gradient correction. J. Chem. Phys. 1993, 98, 5648–5652. [Google Scholar] [CrossRef]
- Lee, C.; Yang, W.; Parr, R.G. Development of the Colle-Salvetti correlation-energy formula into a functional of the electron density. Phys. Rev. B 1988, 37, 785–789. [Google Scholar] [CrossRef] [PubMed]
- Delley, B. Hardness conserving semilocal pseudopotentials. Phys. Rev. B 2002, 66, 155125. [Google Scholar] [CrossRef]
- Delley, B. An all-electron numerical method for solving the local density functional for polyatomic molecules. J. Chem. Phys. 1990, 92, 508–517. [Google Scholar] [CrossRef]
- Tkatchenko, A.; Scheffler, M. Accurate Molecular Van Der Waals Interactions from Ground-State Electron Density and Free-Atom Reference Data. Phys. Rev. Lett. 2009, 102, 073005. [Google Scholar] [CrossRef] [PubMed]








| Salt | APy-Ni | APy-Cu | ||
|---|---|---|---|---|
| Temp./K | 296 | 100 | 296 | 100 |
| Crystal system | Triclinic | Triclinic | Triclinic | Triclinic |
| Space group | P–1 | P–1 | P–1 | P–1 |
| a/Å | 11.2264 (8) | 11.322 (2) | 11.2559 (5) | 11.156 (4) |
| b/Å | 14.2879 (10) | 13.933 (3) | 14.2885 (7) | 14.099 (4) |
| c/Å | 15.6204 (11) | 15.458 (3) | 15.5951 (8) | 15.445 (5) |
| α/° | 73.879 (6) | 73.07 (3) | 74.420 (5) | 75.166 (10) |
| β/° | 77.289 (6) | 74.32 (3) | 77.931 (4) | 77.667 (10) |
| γ/° | 67.915 (6) | 67.63 (3) | 68.227 (4) | 67.527 (9) |
| V/Å3 | 2211.5 (3) | 2121.9 (7) | 2226.8 (2) | 2151.8 (12) |
![]() | ||||
| Distance/Å | APy-Ni | APy-Cu | ||
| 296 K | 100 K | 296 K | 100 K | |
| a1 | 3.953 | 3.897 | 4.004 | 3.947 |
| a2 | 3.944 | 3.546 | 3.984 | 3.919 |
| a3 | 3.815 | 3.801 | 3.906 | 3.950 |
| a4 | 3.867 | 3.519 | 3.998 | 3.953 |
| a5 | 3.991 | 3.972 | 4.098 | 4.095 |
| a6 | 3.585 | 3.549 | 3.506 | 3.368 |
| Distance/Å | 296 K | 100 K | Distance/Å | 296 K | 100 K |
|---|---|---|---|---|---|
| a7 | 3.561 | 3.455 | b6 | 2.692 | 2.541 |
| a8 | 3.517 | 3.542 | b7 | 2.171 | 2.252 |
| a9 | 3.886 | 3.841 | b8 | 2.436 | 2.289 |
| a10 | 3.891 | 3.721 | b9 | 2.691 | 3.116 |
| a11 | 3.591 | 3.589 | c1 | 3.376 | 3.441 |
| * Eanion/Hartree | * Ecation/Hartree | Ecrystal/Hartree | ΔElattice/Hartree | ΔElattice/kJ mol−1 | |
|---|---|---|---|---|---|
| APy-Cu (100 K) | −3756.1185 | −573.886 | −17,320.9663 | 0.9483 | 2489.76 |
| APy-Cu (296 K) | −3756.1185 | −573.886 | −17,320.9635 | 0.9455 | 2482.41 |
| APy-Ni (100 K) | −3623.9881 | −573.886 | −16,792.4758 | 0.9794 | 2571.41 |
| APy-Ni (296 K) | −3623.9881 | −573.886 | −16,792.456 | 0.9596 | 2519.43 |
Disclaimer/Publisher’s Note: The statements, opinions and data contained in all publications are solely those of the individual author(s) and contributor(s) and not of MDPI and/or the editor(s). MDPI and/or the editor(s) disclaim responsibility for any injury to people or property resulting from any ideas, methods, instructions or products referred to in the content. |
© 2025 by the authors. Licensee MDPI, Basel, Switzerland. This article is an open access article distributed under the terms and conditions of the Creative Commons Attribution (CC BY) license (https://creativecommons.org/licenses/by/4.0/).
Share and Cite
Qian, Y.; Gao, Y.; Xu, L.; Kremer, R.K.; Zhang, J.; Ren, X.-M. Comprehensively Understanding the Transformation of Paramagnetic Tetramer to Spin-Paired Dimer in an S = ½ Molecular Crystal. Magnetochemistry 2025, 11, 8. https://doi.org/10.3390/magnetochemistry11020008
Qian Y, Gao Y, Xu L, Kremer RK, Zhang J, Ren X-M. Comprehensively Understanding the Transformation of Paramagnetic Tetramer to Spin-Paired Dimer in an S = ½ Molecular Crystal. Magnetochemistry. 2025; 11(2):8. https://doi.org/10.3390/magnetochemistry11020008
Chicago/Turabian StyleQian, Yin, Yan Gao, Lei Xu, Reinhard K. Kremer, Jin Zhang, and Xiao-Ming Ren. 2025. "Comprehensively Understanding the Transformation of Paramagnetic Tetramer to Spin-Paired Dimer in an S = ½ Molecular Crystal" Magnetochemistry 11, no. 2: 8. https://doi.org/10.3390/magnetochemistry11020008
APA StyleQian, Y., Gao, Y., Xu, L., Kremer, R. K., Zhang, J., & Ren, X.-M. (2025). Comprehensively Understanding the Transformation of Paramagnetic Tetramer to Spin-Paired Dimer in an S = ½ Molecular Crystal. Magnetochemistry, 11(2), 8. https://doi.org/10.3390/magnetochemistry11020008


