New Branched Iron(III) Complexes in Fluorescent Environment Created by Carbazole Moieties: Synthesis and Structure, Static Magnetic and Resonance Properties
Abstract
1. Introduction
2. Experimental
2.1. Instrumental and Physical Measurements
2.2. Preparations
2.2.1. Synthesis of Ligands
2.2.2. Synthesis of Complexes
3. Results and Discussion
3.1. Spectroscopy Characterization
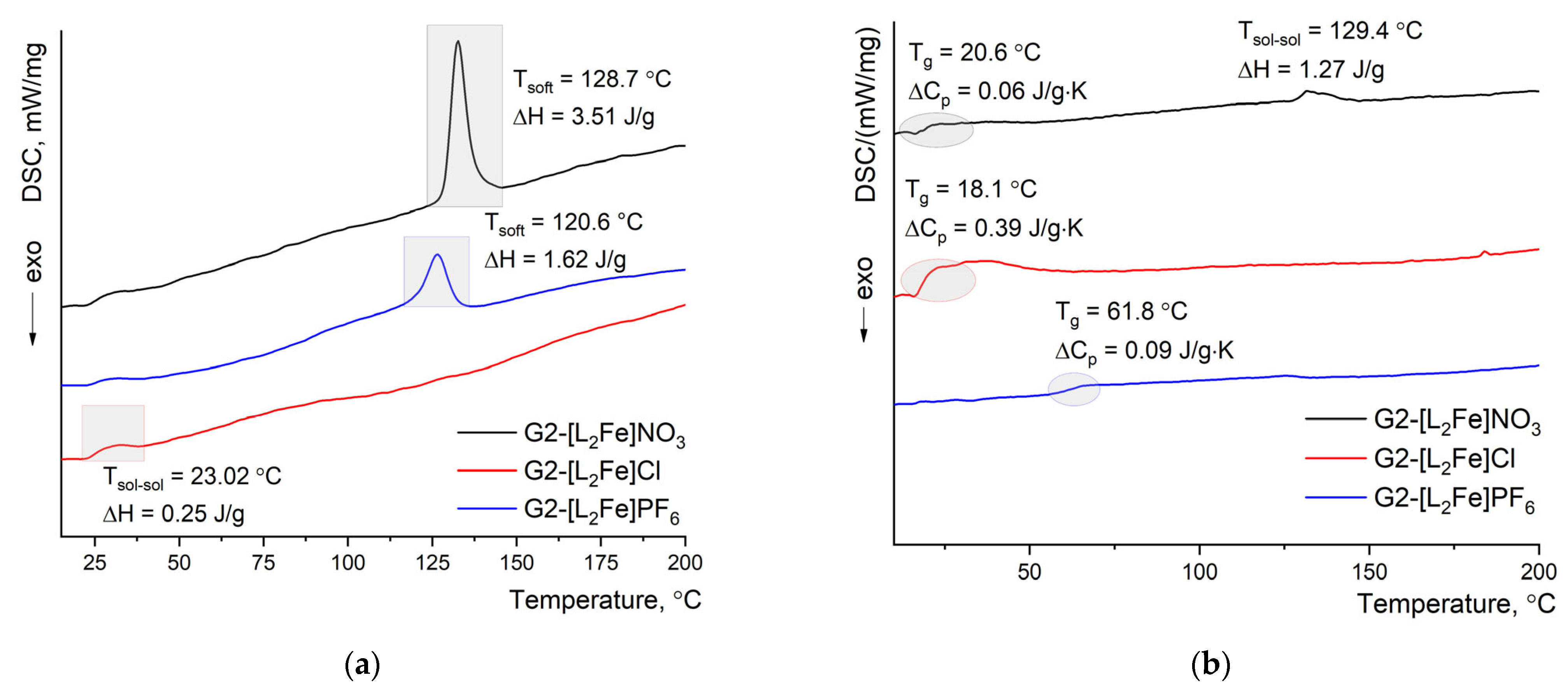
3.2. Thermal Properties
3.3. Optical Properties
3.4. Magnetic and Resonance Properties
3.4.1. SQUID Measurements
3.4.2. EPR Spectroscopy
4. Conclusions
Supplementary Materials
Author Contributions
Funding
Data Availability Statement
Acknowledgments
Conflicts of Interest
References
- Pérez-Ferreiro, M.; Abelairas, A.; Criado, A.; Gómez, J.; Mosquera, J. Dendrimers: Exploring Their Wide Structural Variety and Applications. Polymers 2023, 15, 4369. [Google Scholar] [CrossRef] [PubMed]
- Jansen, J.; de Brabander-van den Berg, E.; Meijer, E. Encapsulation of Guest Molecules into a Dendritic Box. Science 1994, 266, 1226–1229. [Google Scholar] [CrossRef] [PubMed]
- Nantalaksakul, A.; Reddy, D.; Bardeen, C. Light Harvesting Dendrimers. Photosynth. Res. 2006, 87, 133–150. [Google Scholar] [CrossRef] [PubMed]
- Bradshaw, D.; Andrews, D. Mechanisms of Light Energy Harvesting in Dendrimers and Hyperbranched Polymers. Polymers 2011, 3, 2053–2077. [Google Scholar] [CrossRef]
- Ceroni, P.; Bergamini, G. Antenna Effect in Dendrimers. In Encyclopedia of Polymeric Nanomaterials; Kobayashi, S., Müllen, K., Eds.; Springer: Berlin/Heidelberg, Germany, 2013. [Google Scholar] [CrossRef]
- Domracheva, N.; Mirea, A.; Schwoerer, M.; Torre-Lorente, L.; Lattermann, G. Magnetic Properties of Poly(propylene imine)-Copper Dendromesogenic Complexes: An EPR Study. Chem. Phys. Chem. 2005, 6, 110–119. [Google Scholar] [CrossRef]
- Lu, Y.-C.; Anedda, R.; Lai, L.-L. Shape-Persistent Dendrimers. Molecules 2023, 28, 5546. [Google Scholar] [CrossRef]
- Frein, S.; Camerel, F.; Ziessel, R.; Barber, J.; Deschenaux, R. Highly Fluorescent Liquid-Crystalline Dendrimers Based on Borondipyrromethene Dyes. Chem. Mater. 2009, 21, 3950–3959. [Google Scholar] [CrossRef]
- Castelar, S.; Romero, P.; Serrano, J.-L.; Barberá, J.; Marcos, M. Multifunctional ionic hybrid poly(propyleneimine) dendrimers surrounded by carbazole dendrons: Liquid crystals, optical and electrochemical properties. RSC Adv. 2015, 5, 65932–65941. [Google Scholar] [CrossRef]
- Lyu, Z.; Ding, L.; Tintaru, A.; Peng, L. Self-Assembling Supramolecular Dendrimers for Biomedical Applications: Lessons Learned from Poly(amidoamine) Dendrimers. Acc. Chem. Res. 2020, 53, 2936–2949. [Google Scholar] [CrossRef]
- Apartsin, E.; Caminade, A.-M. Supramolecular Self-Associations of Amphiphilic Dendrons and Their Properties. Chem. Eur. J. 2021, 27, 17976–17998. [Google Scholar] [CrossRef]
- Gruzdev, M.; Chervonova, U.; Starichenko, D.; Vorobeva, V.; Bichan, N.; Alexandrov, A.; Pashkova, T.; Korolev, A. Azomethine Fe3+ coordination compounds containing carbazole units: Synthetic approach, spectral characterization, and magnetic studies. Appl. Organomet. Chem. 2024, e7419. [Google Scholar] [CrossRef]
- Chervonova, U.; Gruzdev, M.; Bichan, N.; Krestianinov, M. Chemical functionalization and optical properties of new fluorescent building blocks bearing carbazole moieties. Opt. Mater. 2024, 147, 114754. [Google Scholar] [CrossRef]
- Kazitsyna, L.; Kupletskaya, N. Application of UV, IR, and NMR Spectroscopy in Organic Chemistry; Vysshaya Shkola: Moscow, Russia, 1971. (in Russian) [Google Scholar]
- Finch, A.; Gates, P.; Radcliffe, K.; Dickson, F.; Bentley, F. Chemical Applications of Far Infrared Spectroscopy; Academic Press: New York, NY, USA, 1970. [Google Scholar]
- Choroba, K.; Machura, B.; Szlapa-Kula, A.; Malecki, J.; Raposo, L.; Roma-Rodrigues, C.; Cordeiro, S.; Baptista, P.; Fernandes, A. Square planar Au(III), Pt(II) and Cu(II) complexes with quinoline-substituted 2,2′:6′,2″-terpyridine ligands: From in vitro to in vivo biological properties. Eur. J. Med. Chem. 2021, 218, 113404. [Google Scholar] [CrossRef] [PubMed]
- Cameron, C.; Walton, R.; Edwards, D. The vibrational spectra of the homoleptic isocyanide complexes [Re(CNR)6]PF6, (R=Me, Ph, and 4-MeC6H4). J. Organomet. Chem. 1984, 262, 335–346. [Google Scholar] [CrossRef]
- Abdelbassit, M.; Curnow, O.; Dixon, M.; Waterland, M. The Binary Iodine-Chlorine Octahalide Series [InCl8−n]2− (n=3, 3.6, 4). Chem. Eur. J. 2019, 25, 11650–11658. [Google Scholar] [CrossRef] [PubMed]
- Gruzdev, M.; Domracheva, N.; Chervonova, U.; Kolker, A.; Golubeva, A. Bis-chelate Fe(III) complex of an azomethine at the focal point of a branched ester functionalized with cyclohexylbenzoic acid. J. Coord. Chem. 2012, 65, 1812–1820. [Google Scholar] [CrossRef]
- Hay, G.; Mackay, M.; Hawker, C. Thermodynamic properties of dendrimers compared with linear polymers: General observations. J. Polym. Sci. Part. B Polym. Phys. 2001, 39, 1766–1777. [Google Scholar] [CrossRef]
- Romanov, A.; Yang, L.; Jones, S.; Di, D.; Morley, O.; Drummond, B.; Reponen, A.; Linnolahti, M.; Credgington, D.; Bochmann, M. Dendritic Carbene Metal Carbazole Complexes as Photoemitters for Fully Solution-Processed OLEDs. Chem. Mater. 2019, 31, 3613–3623. [Google Scholar] [CrossRef]
- Chervonova, U.; Gruzdev, M.; Zueva, E.; Vorobeva, V.; Ksenofontov, A.; Alexandrov, A.; Pashkova, T.; Kolker, A. Synthesis, EPR study and photophysical properties of a mononuclear Fe(III) Schiff base complex functionalized by 3,6-di-tert-butyl-carbazole moieties. J. Mol. Struct. 2020, 1200, 127090. [Google Scholar] [CrossRef]
- Halcrow, M.A. Spin-Crossover Materials: Properties and Applications; Halcrow, M., Ed.; John Wiley & Sons Ltd.: Chicheser, UK, 2013. [Google Scholar]
- Domracheva, N.; Vorobeva, V.; Pyataev, A.; Ivanova, A. Magnetic Properties of Novel Dendrimeric Iron(III) Complexes of the First Generation: EPR and Mössbauer Study. Appl. Magn. Reson. 2016, 47, 903–913. [Google Scholar] [CrossRef]
- Benelli, C.; Gatteschi, D. Introduction to Molecular Magnetism: From Transition Metals to Lanthanides; Wiley-VCH Verlag GmbH & Co.: Weinheim, Germany, 2015. [Google Scholar]
- Domracheva, N.; Pyataev, A.; Vorobeva, V.; Zueva, E. Detailed EPR Study of Spin Crossover Dendrimeric Iron(III) Complex. J. Phys. Chem. B 2013, 117, 7833–7842. [Google Scholar] [CrossRef] [PubMed]
- Wickman, H.; Klein, M.; Shirley, D. Paramagnetic Resonance of Fe3+ in Polycrystalline Ferrichrome A. J. Chem. Phys. 1965, 42, 2113–2117. [Google Scholar] [CrossRef]
- Aasa, R. Powder Line Shapes in the Electron Paramagnetic Resonance Spectra of High-Spin Ferric Complexes. J. Chem. Phys. 1970, 52, 3919–3930. [Google Scholar] [CrossRef]
- Stoll, S.; Schweiger, A. EasySpin—A Comprehensive Software Package for Spectral Simulation and Analysis in EPR. J. Magn. Reson. 2006, 178, 42–55. [Google Scholar] [CrossRef] [PubMed]
- Stoll, S. CW-EPR Spectral Simulations: Solid State. Methods Enzymol. 2015, 563, 121–142. [Google Scholar] [CrossRef] [PubMed]
- Typek, J.; Zolnierkiewicz, G.; Guskos, N.; Szymczak, R.; Blonska-Tabero, A. Magnetic and EPR study of Zn3Fe4V6O24. Rev. Adv. Mater. Sci. 2010, 23, 207. [Google Scholar]
- Domracheva, N.; Vorobeva, V.; Pyataev, A.; Tamura, R.; Suzuki, K.; Gruzdev, M.; Chervonova, U.; Kolker, A. Magnetic properties of novel dendrimeric spin crossover iron(III) complex. Inorg. Chim. Acta 2016, 439, 186–195. [Google Scholar] [CrossRef]
- Domracheva, N.; Vorobeva, V.; Ovcharenko, V.; Bogomyakov, A.; Zueva, E.; Gruzdev, M.; Chervonova, U.; Kolker, A. Counterion effect on the spin-transition properties of the second generation iron(III) dendrimeric complexes. Inorg. Chim. Acta 2017, 459, 131–142. [Google Scholar] [CrossRef]
- Katanin, A.; Irkhin, V. Magnetic order and spin fluctuations in low-dimensional insulating systems. Phys. Uspekhi 2007, 50, 613–637. [Google Scholar] [CrossRef]


















| № | Θ, K | C, cm3 K/g |
|---|---|---|
| G2-[L2Fe]NO3 | −1.0 | 0.00049 |
| G2-[L2Fe]Cl | −9.3 | 0.0011 |
| G2-[L2Fe]PF6 | −0.8 | 0.0005 |
| № | Ms, μB | Mr, μB | Hc, Oe | Scaling Factor C1 for the Brillouin Function S = 1/2 | Scaling Factor C2 for the Brillouin Function S = 5/2 | Linear Factor k, μBK/T |
|---|---|---|---|---|---|---|
| G2-[L2Fe]NO3 | 1.67 | 0.011 | 80 | 0.589 | 0.184 | 0.007 |
| G2-[L2Fe]Cl | 3.13 | 0.0011 | 4 | 0 | 0.57 | 0.13 |
| G2-[L2Fe]PF6 | 1.33 | 0.026 | 200 | 0.561 | 0.16 | 0.01 |
Disclaimer/Publisher’s Note: The statements, opinions and data contained in all publications are solely those of the individual author(s) and contributor(s) and not of MDPI and/or the editor(s). MDPI and/or the editor(s) disclaim responsibility for any injury to people or property resulting from any ideas, methods, instructions or products referred to in the content. |
© 2024 by the authors. Licensee MDPI, Basel, Switzerland. This article is an open access article distributed under the terms and conditions of the Creative Commons Attribution (CC BY) license (https://creativecommons.org/licenses/by/4.0/).
Share and Cite
Starichenko, D.V.; Vorobeva, V.E.; Gruzdev, M.S.; Chervonova, U.V.; Bichan, N.G.; Korolev, A.V.; Yatsyk, I.V. New Branched Iron(III) Complexes in Fluorescent Environment Created by Carbazole Moieties: Synthesis and Structure, Static Magnetic and Resonance Properties. Magnetochemistry 2024, 10, 38. https://doi.org/10.3390/magnetochemistry10060038
Starichenko DV, Vorobeva VE, Gruzdev MS, Chervonova UV, Bichan NG, Korolev AV, Yatsyk IV. New Branched Iron(III) Complexes in Fluorescent Environment Created by Carbazole Moieties: Synthesis and Structure, Static Magnetic and Resonance Properties. Magnetochemistry. 2024; 10(6):38. https://doi.org/10.3390/magnetochemistry10060038
Chicago/Turabian StyleStarichenko, Denis V., Valerya E. Vorobeva, Matvey S. Gruzdev, Ulyana V. Chervonova, Nataliya G. Bichan, Aleksander V. Korolev, and Ivan V. Yatsyk. 2024. "New Branched Iron(III) Complexes in Fluorescent Environment Created by Carbazole Moieties: Synthesis and Structure, Static Magnetic and Resonance Properties" Magnetochemistry 10, no. 6: 38. https://doi.org/10.3390/magnetochemistry10060038
APA StyleStarichenko, D. V., Vorobeva, V. E., Gruzdev, M. S., Chervonova, U. V., Bichan, N. G., Korolev, A. V., & Yatsyk, I. V. (2024). New Branched Iron(III) Complexes in Fluorescent Environment Created by Carbazole Moieties: Synthesis and Structure, Static Magnetic and Resonance Properties. Magnetochemistry, 10(6), 38. https://doi.org/10.3390/magnetochemistry10060038

