Effects of Cerasus humilis (Bge). Sok. Rootstock on Peach Growth, Development, and Expression of Growth-Related Genes
Abstract
1. Introduction
2. Materials and Methods
2.1. Plant Materials
2.2. Determinations of the Growth Habits of Peach/Cerasus humilis
2.3. Determinations of the Fruiting Habits of Peach/Cerasus humilis
2.4. Determination and Bioinformatic Analysis of Auxin-Related Genes
2.4.1. Determination of Auxin Content
2.4.2. Identification of the YUCCA Gene Family
2.4.3. Real-Time Fluorescent Quantitative PCR (qPCR)
2.5. Statistical Analysis
3. Results
3.1. Effects of Cerasus humilis Rootstocks on Peach Tree Vigor
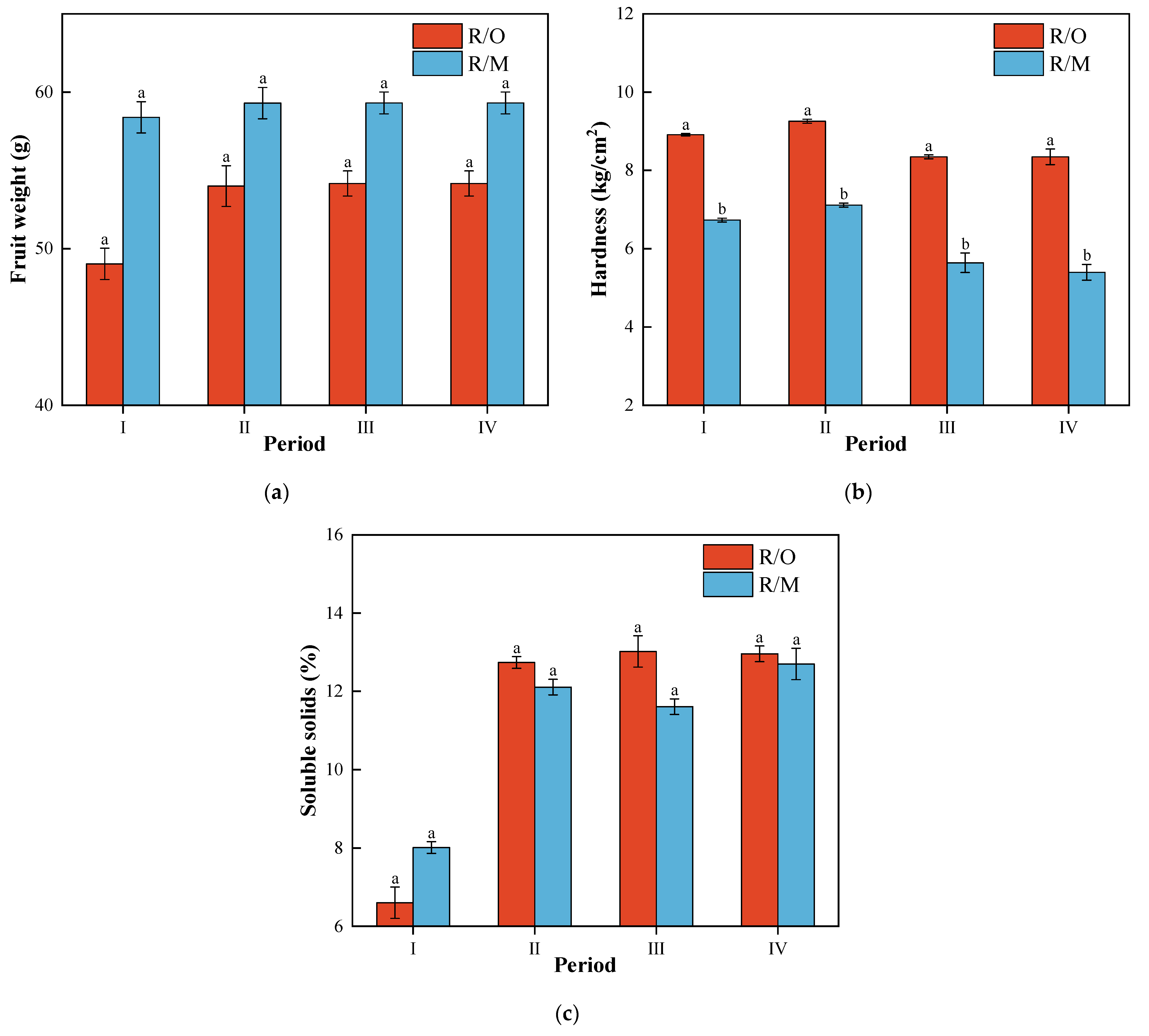
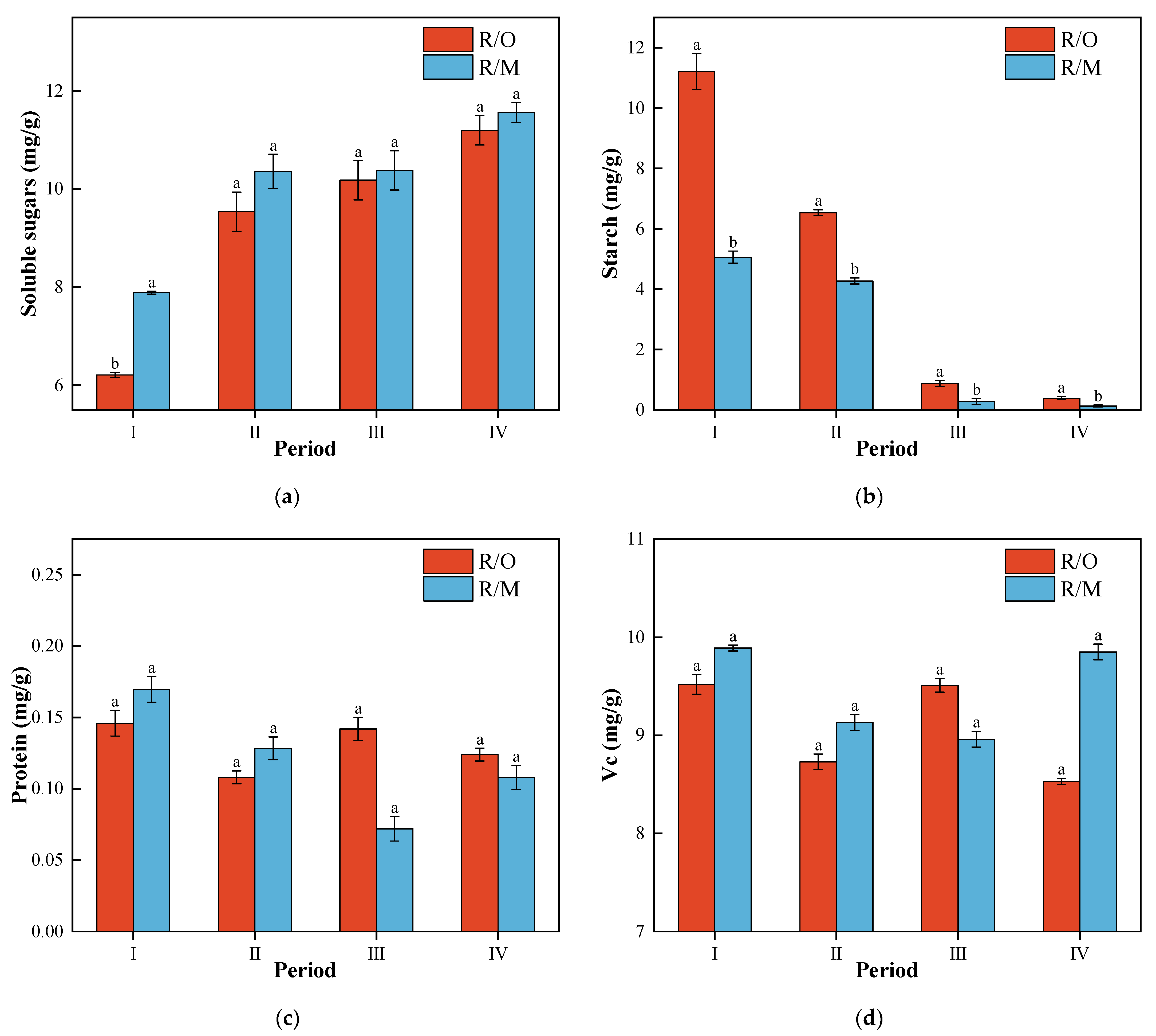
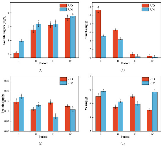
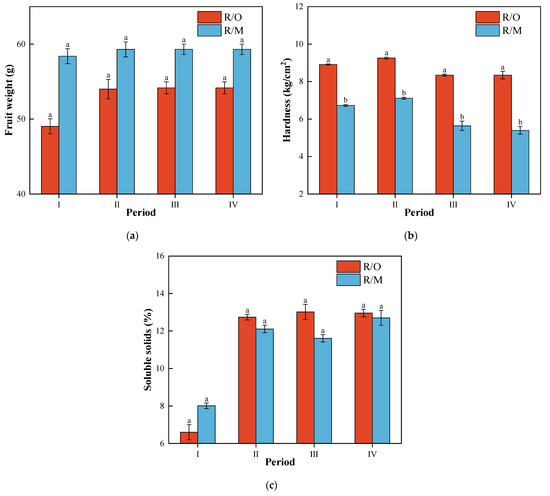
3.2. Result Characteristics
3.3. Effects of Cerasus humilis Rootstock on Peach Auxin-Related Synthesis Genes
3.3.1. Identification and Structural Analysis of the YUCCA Gene Family Related to Auxin Synthesis
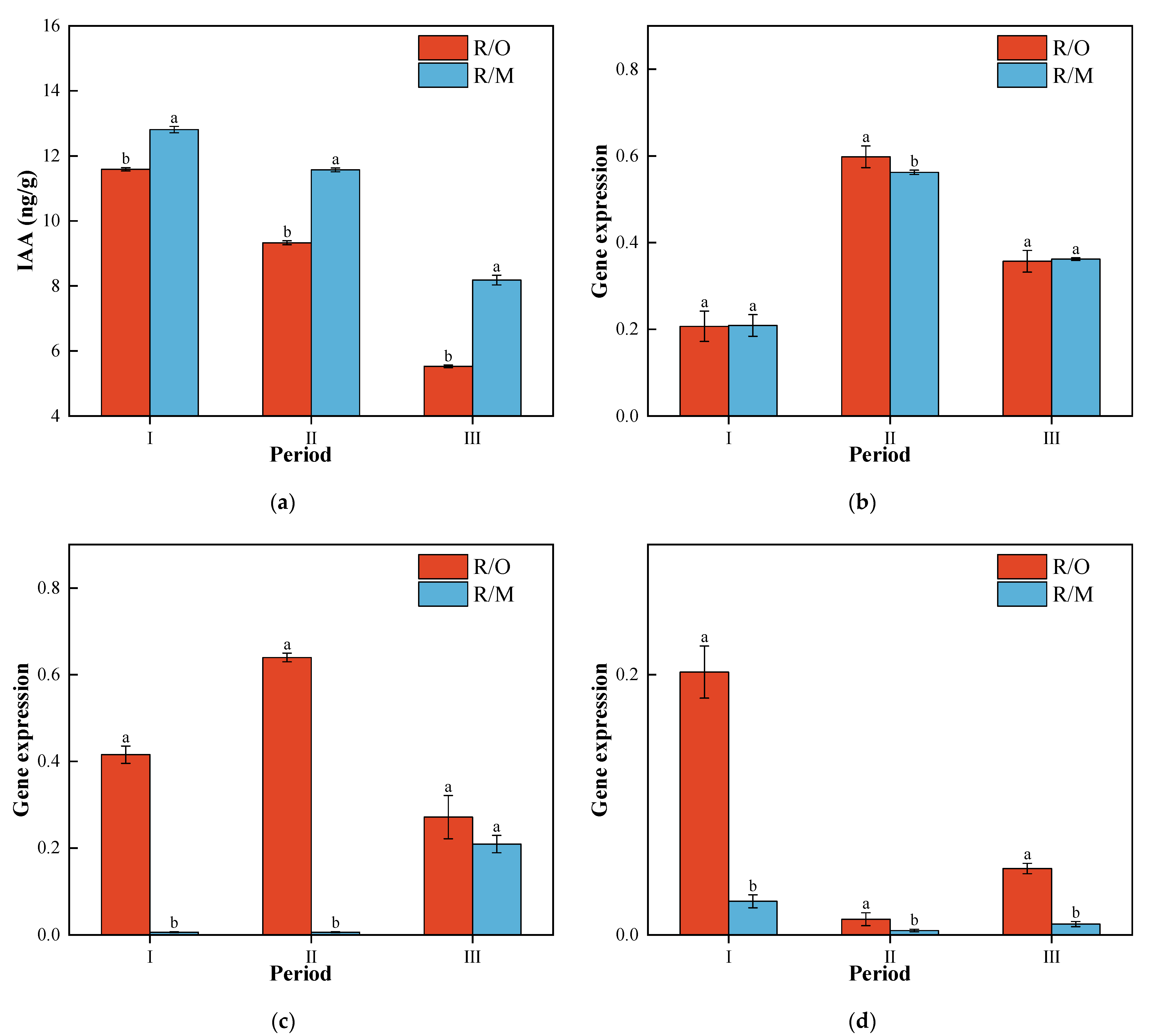
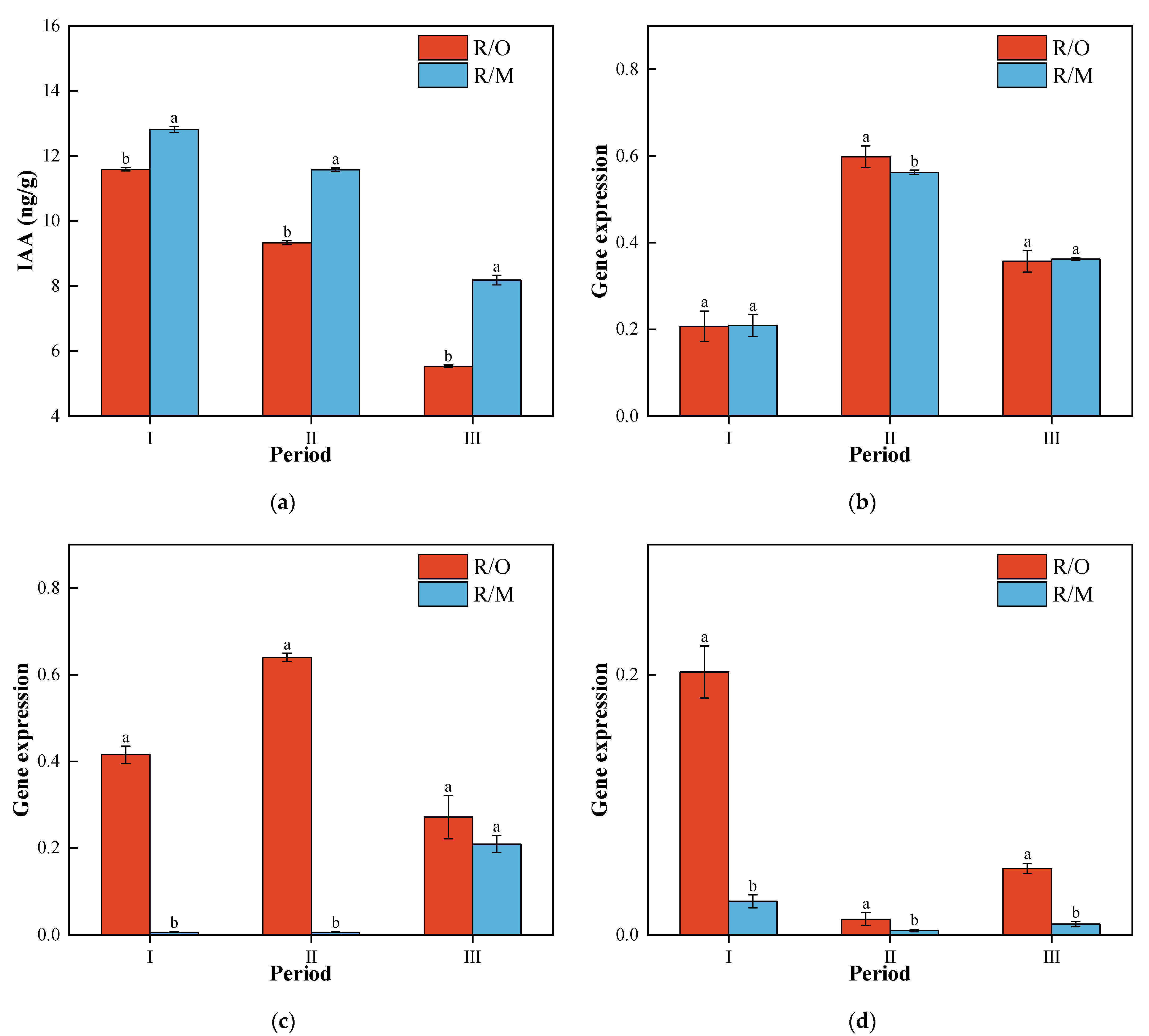
3.3.2. Effect of Cerasus humilis Rootstock on Differential Gene Expression in Peach at Different Stages
4. Discussion
5. Conclusions
Author Contributions
Funding
Institutional Review Board Statement
Informed Consent Statement
Data Availability Statement
Acknowledgments
Conflicts of Interest
Appendix A
| Index | R/O | R/M |
|---|---|---|
| The initiation period/(month/day) | 7 March | 7 March |
| Dew red phase/(month/day) | 19 March | 13 March |
| At the beginning of flowering/(month/day) | 25 March | 21 March |
| Summer season/(month/day) | 27 March | 23 March |
| Late flowering/(month/day) | 31 March | 28 March |
| Leaf spreading period/(month/day) | 28 March | 24 March |
| Long-term shoot growth/(month/day) | 10 April–24 July | 10 April–7 August |
| The period of fruit enlargement/(month/day) | 16 April–28 May | 16 April–28 May |
| Fructescence/(month/day) | 29 May–9 June | 29 May–7 June |
| Leaf fall period/(month/day) | 28 October | 28 October |
| Period of dormancy/(month/day) | 28 November | 28 November |
References
- Li, A.; Zhao, J.; Xi, J.; Yang, X.; Jin, X.; Chen, Q.; Pan, L. Geographical authentication of peach in China based on stable isotope combined with multielement analysis of peach juice. Food Control 2021, 127, 108126. [Google Scholar] [CrossRef]
- Jiao, W.; Shu, C.; Li, X.; Cao, J.; Fan, X.; Jiang, W. Preparation of a chitosan-chlorogenic acid conjugate and its application as edible coating in postharvest preservation of peach fruit. Postharvest Biol. Technol. 2019, 154, 129–136. [Google Scholar] [CrossRef]
- Conejero, A.; Romero, C.; Cunill, M.; Mestre, M.A.; Martínez-Calvo, J.; Badenes, M.L.; Llácer, G. In vitro shoot-tip grafting for safe Prunus budwood exchange. Sci. Hortic. 2013, 150, 365–370. [Google Scholar] [CrossRef]
- Sorce, C.; Massai, R.; Picciarelli, P.; Lorenzi, R. Hormonal relationships in xylem sap of grafted and ungrafted Prunus rootstocks. Sci. Hortic. 2002, 93, 333–342. [Google Scholar] [CrossRef]
- Menzel, C.M.; Le Lagadec, M.D. Increasing the productivity of avocado orchards using high-density plantings: A review. Sci. Hortic. 2014, 177, 21–36. [Google Scholar] [CrossRef]
- Manganaris, G.A.; Minas, I.; Cirilli, M.; Torres, R.; Bassi, D.; Costa, G. Peach for the future: A specialty crop revisited. Sci. Hortic. 2022, 305, 111390. [Google Scholar] [CrossRef]
- Gjamovski, V.; Kiprijanovski, M. Influence of nine dwarfing apple rootstocks on vigour and productivity of apple cultivar ‘Granny Smith’. Sci. Hortic. 2011, 129, 742–746. [Google Scholar] [CrossRef]
- Anthony, B.M.; Minas, I.S. Optimizing Peach Tree Canopy Architecture for Efficient Light Use, Increased Productivity and Improved Fruit Quality. Agronomy 2021, 11, 1961. [Google Scholar] [CrossRef]
- Anthony, B.M.; Minas, I.S. Redefining the impact of preharvest factors on peach fruit quality development and metabolism: A review. Sci. Hortic. 2022, 297, 110919. [Google Scholar] [CrossRef]
- Ben Yahmed, J.; Ghrab, M.; Moreno, M.Á.; Pinochet, J.; Ben Mimoun, M. Leaf mineral nutrition and tree vigor of ‘Subirana’ flat peach cultivar grafted on different Prunus rootstocks in a warm Mediterranean area. J. Plant Nutr. 2020, 43, 811–822. [Google Scholar] [CrossRef]
- Zhang, Q.; Gu, D. Genetic Relationships among 10 Prunus Rootstock Species from China, Based on Simple Sequence Repeat Markers. J. Am. Soc. Hortic. Sci. 2016, 141, 520–526. [Google Scholar] [CrossRef]
- Fang, S.; Yao, J.; Li, Y.; Zhu, S.; Pan, J.; Li, Q.; Wang, W.; Kong, J.; He, L.; Zhang, Y.; et al. Fine mapping and characterization of the Crinkled Dwarf gene in cotton. Ind. Crops Prod. 2022, 184, 115034. [Google Scholar] [CrossRef]
- Noda, K.; Okuda, H.; Iwagaki, I. Indole acetic acid and abscisic acid levels in new shoots and fibrous roots of citrus scion-rootstock combinations. Sci. Hortic. 2000, 84, 245–254. [Google Scholar] [CrossRef]
- Artlip, T.S.; Wisniewski, M.E.; Arora, R.; Norelli, J.L. An apple rootstock overexpressing a peach CBF gene alters growth and flowering in the scion but does not impact cold hardiness or dormancy. Hortic. Res. 2016, 3, 16006. [Google Scholar] [CrossRef]
- Basile, B.; Marsal, J.; DeJong, T.M. Daily shoot extension growth of peach trees growing on rootstocks that reduce scion growth is related to daily dynamics of stem water potential. Tree Physiol. 2003, 23, 695–704. [Google Scholar] [CrossRef]
- Continella, A.; Pannitteri, C.; La Malfa, S.; Legua, P.; Distefano, G.; Nicolosi, E.; Gentile, A. Influence of different rootstocks on yield precocity and fruit quality of ‘Tarocco Scirè’ pigmented sweet orange. Sci. Hortic. 2018, 230, 62–67. [Google Scholar] [CrossRef]
- Sirgedaitė-Šėžienė, V.; Laužikė, K.; Uselis, N.; Samuolienė, G. Metabolic Response of Malus domestica Borkh cv. Rubin Apple to Canopy Training Treatments in Intensive Orchards. Horticulturae 2022, 8, 300. [Google Scholar] [CrossRef]
- Hayat, F.; Li, J.; Iqbal, S.; Khan, U.; Ali, N.A.; Peng, Y.; Hong, L.; Asghar, S.; Javed, H.U.; Li, C.; et al. Hormonal Interactions Underlying Rootstock-Induced Vigor Control in Horticultural Crops. Appl. Sci. 2023, 13, 1237. [Google Scholar] [CrossRef]
- Hong, H.R.; Oh, E.U.; Han, S.G.; Yun, S.H.; Kim, H.B.; Song, K.J. Characterization of Soluble Sugar Content, Related Enzyme Activity and Gene Expression in the Fruits of ‘Minihyang’ Mandarin on Different Rootstocks. Horticulturae 2022, 8, 47. [Google Scholar] [CrossRef]
- Yakushiji, H.; Sugiura, H.; Yamasaki, A.; Azuma, A.; Koshita, Y. Tree growth, productivity, and fruit quality of ‘Fuyu’ persimmon trees onto different dwarfing rootstocks. Sci. Hortic. 2021, 278, 109869. [Google Scholar] [CrossRef]
- Zhao, Y. Auxin Biosynthesis and Its Role in Plant Development. Annu. Rev. Plant Biol. 2010, 61, 49–64. [Google Scholar] [CrossRef]
- Quint, M.; Gray, W.M. Auxin signaling. Curr. Opin. Plant Biol. 2006, 9, 448–453. [Google Scholar] [CrossRef]
- Tao, Y.; Ferrer, J.-L.; Ljung, K.; Pojer, F.; Hong, F.; Long, J.A.; Li, L.; Moreno, J.E.; Bowman, M.E.; Ivans, L.J.; et al. Rapid Synthesis of Auxin via a New Tryptophan-Dependent Pathway Is Required for Shade Avoidance in Plants. Cell 2008, 133, 164–176. [Google Scholar] [CrossRef]
- Lee, M.; Jung, J.-H.; Han, D.-Y.; Seo, P.J.; Park, W.J.; Park, C.-M. Activation of a flavin monooxygenase gene YUCCA7 enhances drought resistance in Arabidopsis. Planta 2012, 235, 923–938. [Google Scholar] [CrossRef]
- Lee, H.-J.; Jung, J.-H.; Llorca, L.; Kim, S.-G.; Lee, S.; Baldwin, I.; Park, C.-M. FCA mediates thermal adaptation of stem growth by attenuating auxin action in Arabidopsis. Nat. Commun. 2014, 5, 5473. [Google Scholar] [CrossRef]
- Kim, J.I.; Baek, D.; Park, H.C.; Chun, H.J.; Oh, D.-H.; Lee, M.K.; Cha, J.-Y.; Kim, W.-Y.; Kim, M.C.; Chung, W.S.; et al. Overexpression of Arabidopsis YUCCA6 in Potato Results in High-Auxin Developmental Phenotypes and Enhanced Resistance to Water Deficit. Mol. Plant 2013, 6, 337–349. [Google Scholar] [CrossRef]
- Knäbel, M.; Friend, A.P.; Palmer, J.W.; Diack, R.; Wiedow, C.; Alspach, P.; Deng, C.; Gardiner, S.E.; Tustin, D.S.; Schaffer, R. Genetic control of pear rootstock-induced dwarfing and precocity is linked to a chromosomal region syntenic to the apple Dw1 loci. BMC Plant Biol. 2015, 15, 230. [Google Scholar] [CrossRef]
- Leng, F.; Sun, S.; Jing, Y.; Wang, F.; Wei, Q.; Wang, X.; Zhu, X. A rapid and sensitive method for determination of trace amounts of glucose by anthrone-sulfuric acid method. Bulg. Chem. Commun. 2016, 48, 109–113. [Google Scholar]
- Cole, M.; Eggleston, G.; Gilbert, A.; Rose, I.; Andrzejewski, B.; St Cyr, E.; Stewart, D. The presence and implication of soluble, swollen, and insoluble starch at the sugarcane factory and refinery. Int. Sugar J. 2013, 115, 844–851. [Google Scholar]
- Wang, X.C.; Li, X.F.; Li, Y.X. A modified Coomassie Brilliant Blue staining method at nanogram sensitivity compatible with proteomic analysis. Biotechnol. Lett. 2007, 29, 1599–1603. [Google Scholar] [CrossRef]
- Sharma, A.K.; Dhiman, A.; Nayak, A.K.; Mishra, R.; Agrawal, G. Environmentally benign approach for the efficient sequestration of methylene blue and coomassie brilliant blue using graphene oxide emended gelatin/κ-carrageenan hydrogels. Int. J. Biol. Macromol. 2022, 219, 353–365. [Google Scholar] [CrossRef]
- Sun, S.-W.; Lin, Y.-C.; Weng, Y.-M.; Chen, M.-J. Efficiency improvements on ninhydrin method for amino acid quantification. J. Food Compos. Anal. 2006, 19, 112–117. [Google Scholar] [CrossRef]
- Nielsen, S.S. Vitamin C Determination by Indophenol Method. In Food Analysis Laboratory Manual; Nielsen, S.S., Ed.; Springer International Publishing: Cham, Switzerland, 2017; pp. 143–146. [Google Scholar] [CrossRef]
- Dobrev, P.I.; Havlíček, L.; Vágner, M.; Malbeck, J.; Kamínek, M. Purification and determination of plant hormones auxin and abscisic acid using solid phase extraction and two-dimensional high performance liquid chromatography. J. Chromatogr. A 2005, 1075, 159–166. [Google Scholar] [CrossRef]
- Bai, L.; Zhu, H.; Shi, Y.; Li, Y.; Miao, Y.; Yu, X.; Zhang, Y.; Li, Y. Antisense Overexpression of Gγ Subunit CsGG3.1-2 Reduces Soluble Sugar Content and Chilling Tolerance in Cucumber. Horticulturae 2023, 9, 240. [Google Scholar] [CrossRef]
- Brandi, F.; Bar, E.; Mourgues, F.; Horváth, G.; Turcsi, E.; Giuliano, G.; Liverani, A.; Tartarini, S.; Lewinsohn, E.; Rosati, C. Study of ‘Redhaven’ peach and its white-fleshed mutant suggests a key role of CCD4 carotenoid dioxygenase in carotenoid and norisoprenoid volatile metabolism. BMC Plant Biol. 2011, 11, 24. [Google Scholar] [CrossRef]
- Bruckner, C.H.; DeJong, T.M. Proposed pre-selection method for identification of dwarfing peach rootstocks based on rapid shoot xylem vessel analysis. Sci. Hortic. 2014, 165, 404–409. [Google Scholar] [CrossRef]
- Forner-Giner, M.A.; Rodriguez-Gamir, J.; Martinez-Alcantara, B.; Quiñones, A.; Iglesias, D.J.; Primo-Millo, E.; Forner, J. Performance of Navel orange trees grafted onto two new dwarfing rootstocks (Forner-Alcaide 517 and Forner-Alcaide 418). Sci. Hortic. 2014, 179, 376–387. [Google Scholar] [CrossRef]
- Jupa, R.; Mészáros, M.; Hoch, G.; Plavcová, L. Trunk radial growth, water and carbon relations of mature apple trees on two size-controlling rootstocks during severe summer drought. Tree Physiol. 2022, 42, 289–303. [Google Scholar] [CrossRef]
- Li, Q.; Gao, Y.; Wang, K.; Feng, J.; Sun, S.; Lu, X.; Liu, Z.; Zhao, D.; Li, L.; Wang, D. Transcriptome Analysis of the Effects of Grafting Interstocks on Apple Rootstocks and Scions. Int. J. Mol. Sci. 2023, 24, 807. [Google Scholar] [CrossRef]
- Dziedzic, E.; Bieniasz, M.; Kowalczyk, B. Morphological and physiological features of sweet cherry floral organ affecting the potential fruit crop in relation to the rootstock. Sci. Hortic. 2019, 251, 127–135. [Google Scholar] [CrossRef]
- Tosun, F.; Koyuncu, F. Investigations of suitable pollinator for 0900 Ziraat sweet cherry cv.: Pollen performance tests, germination tests, germination procedures, in vitro and in vivo pollinations. Hortic. Sci. 2007, 34, 47–53. [Google Scholar] [CrossRef]
- Larson, J.E.; Perkins-Veazie, P.; Ma, G.; Kon, T.M. Quantification and Prediction with Near Infrared Spectroscopy of Carbohydrates throughout Apple Fruit Development. Horticulturae 2023, 9, 279. [Google Scholar] [CrossRef]
- Gao, S.; Xu, J.-h. Hyperspectral image information fusion-based detection of soluble solids content in red globe grapes. Comput. Electron. Agric. 2022, 196, 106822. [Google Scholar] [CrossRef]
- Palliotti, A.; Tombesi, S.; Silvestroni, O.; Lanari, V.; Gatti, M.; Poni, S. Changes in vineyard establishment and canopy management urged by earlier climate-related grape ripening: A review. Sci. Hortic. 2014, 178, 43–54. [Google Scholar] [CrossRef]
- Minas, I.S.; Anthony, B.M.; Pieper, J.R.; Sterle, D.G. Large-scale and accurate non-destructive visual to near infrared spectroscopy-based assessment of the effect of rootstock on peach fruit internal quality. Eur. J. Agron. 2023, 143, 126706. [Google Scholar] [CrossRef]
- Luo, Z.; Zhang, J.; Li, J.; Yang, C.; Wang, T.; Ouyang, B.; Li, H.; Giovannoni, J.; Ye, Z. A STAY-GREEN protein S l SGR 1 regulates lycopene and β-carotene accumulation by interacting directly with S l PSY 1 during ripening processes in tomato. New Phytol. 2013, 198, 442–452. [Google Scholar] [CrossRef]
- Li, H.L.; Zhang, H.; Yu, C.; Ma, L.; Wang, Y.; Zhang, X.Z.; Han, Z.H. Possible roles of auxin and zeatin for initiating the dwarfing effect of M9 used as apple rootstock or interstock. Acta Physiol. Plant. 2012, 34, 235–244. [Google Scholar] [CrossRef]
- Song, C.; Zhang, D.; Zhang, J.; Zheng, L.; Zhao, C.; Ma, J.; An, N.; Han, M. Expression analysis of key auxin synthesis, transport, and metabolism genes in different young dwarfing apple trees. Acta Physiol. Plant. 2016, 38, 43. [Google Scholar] [CrossRef]
- Soumelidou, K.; Morris, D.A.; Battey, N.H.; Barnett, J.R.; John, P. Auxin transport capacity in relation to the dwarfing effect of apple rootstocks. J. Hortic. Sci. 1994, 69, 719–725. [Google Scholar] [CrossRef]
- Petrasek, J.; Friml, J. Auxin transport routes in plant development. Development 2009, 136, 2675–2688. [Google Scholar] [CrossRef]
- Yamamoto, Y.; Kamiya, N.; Morinaka, Y.; Matsuoka, M.; Sazuka, T. Auxin biosynthesis by the YUCCA genes in rice. Plant Physiol. 2007, 143, 1362–1371. [Google Scholar] [CrossRef] [PubMed]
- Zhang, Y.; Mao, Q.; Ma, R.; Xu, J.; Yu, M. Genome-Wide Identification and Expression Analysis of the PpYUCCA Gene Family in Weeping Peach Trees (Prunus persica ‘Pendula’). Horticulturae 2022, 8, 878. [Google Scholar] [CrossRef]










| Gene | Forward Primer | Reverse Primer |
|---|---|---|
| PpYucca6 | 5′AGTTCTCCGTCCGTCCAT 3′ | 5′TCTTCTCGGCAACACCTC 3′ |
| PpYucca5 | 5′AGGAGTGCCCTTTGTGGT 3′ | 5′TGGCGTATGATTCAAGGTAG 3′ |
| PpYucca2 | 5′TTTTGAAGCGAAGATGGC 3′ | 5′CAGCAGCTAAACCAGAAGG 3′ |
| Actin | 5′GATTCCGGTGCCCAGAAGT 3′ | 5′CCAGCAGCTTCCATTCCAA 3′ |
| Reagent | 25 μL System |
|---|---|
| 2 × SYBR Green PCR mix | 12.5 μL |
| Forward Primer (10 μM) | 0.5 μL |
| Reverse primer (10 μM) | 0.5 μL |
| Template DNA | 5 μL |
| ddH2O | 6.5 μL |
| Total volume | 25 μL |
| Index | R/O | R/M | |
|---|---|---|---|
| One-year-old | Height of tree (mm) | 134.45 ± 2.55 a | 136.00 ± 1.78 a |
| Trunk thickness (mm) | 20.13 ± 1.08 a | 18.53 ± 1.23 a | |
| Number of primary branches | 17.00 ± 0.71 a | 17.67 ± 1.08 a | |
| Number of secondary branches | 10.00 ± 0.82 a | 4.50 ± 0.41 b | |
| Primary branch length (mm) | 39.10 ± 3.58 a | 38.46 ± 0.61 a | |
| Primary branch diameter (mm) | 5.37 ± 0.46 a | 4.72 ± 0.36 a | |
| Secondary branch length (mm) | 16.58 ± 0.38 a | 15.80 ± 0.65 a | |
| Secondary branch diameter (mm) | 3.40 ± 0.70 a | 2.68 ± 0.56 b | |
| Two-year-old | Height of tree (mm) | 238.67 ± 12.46 b | 285.33 ± 6.79 a |
| Trunk thickness (mm) | 30.53 ± 1.79 a | 35.49 ± 0.78 a | |
| Number of primary branches | 43.67 ± 0.41 a | 33.00 ± 0.82 a | |
| Number of secondary branches | 43.33 ± 0.41 b | 69.67 ± 2.68 a | |
| Number of tertiary branches | 0.00 ± 0.00 b | 21.00 ± 0.12 a | |
| Primary branch length (mm) | 52.75 ± 0.55 b | 54.04 ± 1.08 b | |
| Primary branch diameter (mm) | 6.04 ± 0.16 a | 6.34 ± 0.45 a | |
| Secondary branch length (mm) | 25.01 ± 0.42 a | 26.12 ± 0.86 a | |
| Secondary branch diameter (mm) | 3.83 ± 0.15 a | 3.46 ± 0.31 a | |
| Tertiary branch length (mm) | 0.00 ± 0.00 b | 8.25 ± 0.12 a | |
| Tertiary branch diameter (mm) | 0.00 ± 0.00 b | 1.39 ± 0.03 a |
| Grafting Combinations | One-Year-Old | Two-Year-Old | ||
|---|---|---|---|---|
| Flower Buds | Single Bud/Compound-Flower Buds | Flower Buds | Single Bud/Compound-Flower Buds | |
| R/O | 111.33 ± 1.43 a | 1.44 ± 0.01 a | 979.00 ± 2.55 a | 1.51 ± 0.01 a |
| R/M | 55.58 ± 0.86 b | 1.47 ± 0.01 a | 955.58 ± 0.83 a | 1.45 ± 0.01 a |
| Grafting Combinations | 4 March | 9 March | 14 March | 19 March | 24 March |
|---|---|---|---|---|---|
| R/O | Tetrad stage | Early-uninucleate stage | Mid-uninucleate stage | Late-uninucleate stage | Binucleate stage |
| R/M | Tetrad stage | Tetrad stage | Early-uninucleate stage | Mid-uninucleate stage | Late-uninucleate stage |
| Grafting Combinations | Stigma Receptivity | Pollen Quantity |
|---|---|---|
| R/O | 86.77 ± 0.24 a | 2370.00 ± 17.49 a |
| R/M | 84.42 ± 0.38 a | 1704.00 ± 8.74 b |
| Reference Genome ID | Gene Name | Number of Amino Acids/Number | Molecular | Theoretical Isoelectric Point | Protein Hydrophobicity |
|---|---|---|---|---|---|
| C12342.graph-c0 | PpYucca6 | 421 | 46.29 | 9.12 | −0.135 |
| C4270.graph-c0 | PpYucca3a | 144 | 15.93 | 10.10 | −0.476 |
| C264.graph-c0 | PpYucca4 | 170 | 18.75 | 8.62 | 0.068 |
| C264.graph-c1 | PpYucca1 | 71 | 7.79 | 5.18 | −0.342 |
| C14832.graph-co | PpYucca3b | 216 | 24.58 | 5.54 | −0.246 |
| C23148.graph-c0 | PpYucca10 | 372 | 40.25 | 8.47 | −0.363 |
| C14564.graph-co | PpYucca5 | 400 | 44.50 | 8.68 | −0.083 |
| C18467.graph-c0 | PpYucca2 | 400 | 44.77 | 8.87 | −0.038 |
| Order Number | Motif of Conserved Proteins |
|---|---|
| 1 | ERANCIASLWQKKTYDRLKLHLPKQFCZLPLMPFPEDFPEYPTKQQFIDY |
| 2 | EVEYICRWLIVATGENAEPVVPEFEGLEEFGGPILHTSSYKSG |
| 3 | FRGKKVLVVGCGNSGMEVSLDLCNHNASPSLVVRDSVHVLPREMFGKSTF |
| 4 | DFFSKDGLPKKPFPNGWKGECGLYAVGFTRRGLLGASLDAM |
| 5 | KIKSGDIKVVPGIKRFKHGAVEFIDGKTLDFDAIILATGYRSNVPSWLKE |
| 6 | LKWLPIRLVDKLLLLVSRLILGNTEQLGLNRPKVGPLELKNMTGKTPVLD |
| 7 | RRCIFVPGPVIVGAGPSGLATAACLKEKGVPFVIL |
| 8 | YAEHFDIKPKFNETVQSARYDETFGFWRV |
| 9 | YNGHCVENIPQM |
| 10 | DIEKCWKEEAKQC |
Disclaimer/Publisher’s Note: The statements, opinions and data contained in all publications are solely those of the individual author(s) and contributor(s) and not of MDPI and/or the editor(s). MDPI and/or the editor(s) disclaim responsibility for any injury to people or property resulting from any ideas, methods, instructions or products referred to in the content. |
© 2023 by the authors. Licensee MDPI, Basel, Switzerland. This article is an open access article distributed under the terms and conditions of the Creative Commons Attribution (CC BY) license (https://creativecommons.org/licenses/by/4.0/).
Share and Cite
Li, X.; Wang, Y.; Zhao, L.; Chen, S.; Yuan, Y.; Wei, T.; Geng, J. Effects of Cerasus humilis (Bge). Sok. Rootstock on Peach Growth, Development, and Expression of Growth-Related Genes. Horticulturae 2023, 9, 576. https://doi.org/10.3390/horticulturae9050576
Li X, Wang Y, Zhao L, Chen S, Yuan Y, Wei T, Geng J. Effects of Cerasus humilis (Bge). Sok. Rootstock on Peach Growth, Development, and Expression of Growth-Related Genes. Horticulturae. 2023; 9(5):576. https://doi.org/10.3390/horticulturae9050576
Chicago/Turabian StyleLi, Xiuzhen, Yuhang Wang, Long Zhao, Sudan Chen, Yanhong Yuan, Tonglu Wei, and Jie Geng. 2023. "Effects of Cerasus humilis (Bge). Sok. Rootstock on Peach Growth, Development, and Expression of Growth-Related Genes" Horticulturae 9, no. 5: 576. https://doi.org/10.3390/horticulturae9050576
APA StyleLi, X., Wang, Y., Zhao, L., Chen, S., Yuan, Y., Wei, T., & Geng, J. (2023). Effects of Cerasus humilis (Bge). Sok. Rootstock on Peach Growth, Development, and Expression of Growth-Related Genes. Horticulturae, 9(5), 576. https://doi.org/10.3390/horticulturae9050576

