Integrated Metabolomic and Transcriptomic Analysis Reveals the Effect of Artificial Shading on Reducing the Bitter Taste of Bamboo Shoots
Abstract
:1. Introduction
2. Materials and Methods
2.1. Plant Materials and Sample Preparation
2.2. Sensory Test of P. amarus Bamboo Shoots Grown under Shading Treatment and Normal Growing Conditions
2.3. Metabolite Extraction and Analysis
2.3.1. Sample Extraction
2.3.2. UPLC and ESI-Q TRAP-MS/MS
2.3.3. MS Date and Statistical Analysis
2.4. RNA-Seq Analysis
2.5. Real-Time Quantitative PCR (RT-qPCR) Analysis
3. Results
3.1. Modification of the Perceived Bitterness of P. amarus Bamboo Shoots Grown under Shading Treatment
3.2. Overview of the Metabolic Profile of P. amarus Bamboo Shoots
3.3. Differentially Accumulated Metabolite Analysis
3.4. KEGG Annotation and Classification of Differentially Accumulated Metabolites in P. amarus Bamboo Shoots Grown under Shading Treatment and Normal Growing Conditions
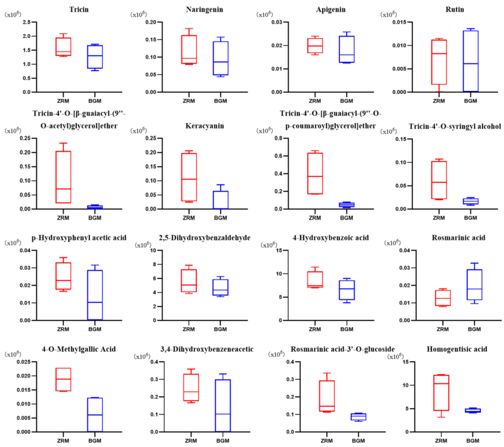
3.5. Changes in the Flavonoid Contents of P. amarus Bamboo Shoots Grown under Shading Treatment
3.6. Changes in the Phenolic Acid Contents of P. amarus Bamboo Shoots Grown under Shading Treatment
3.7. Transcriptomic Analysis of P. amarus Bamboo Shoots Grown under Shading Treatment and Normal Growing Conditions
3.8. Confirmation of the Transcriptomic Data Using RT-qPCR
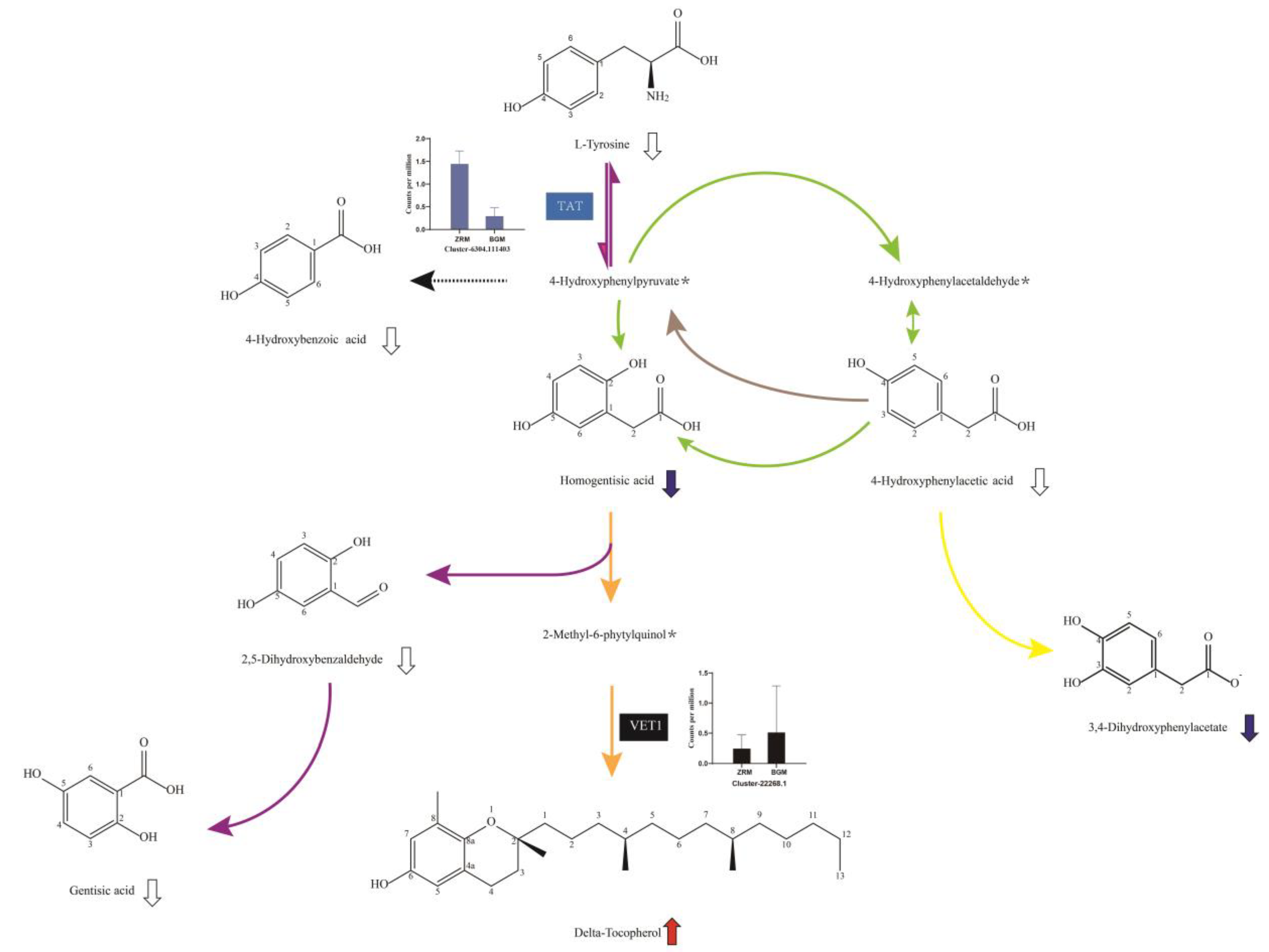
3.9. Analysis of DEGs and DAMs Related to Bitter Phenolic Acid Metabolism in P. amarus Bamboo Shoots Grown under Shading Treatment and Normal Growing Conditions
4. Discussion
4.1. Effect of Artificial Shading on the Bitter Taste of P. amarus Bamboo Shoots
4.2. Molecular Basis of Reducing the Bitter Taste of P. amarus Bamboo Shoots Grown under Shading Treatment
5. Conclusions
Supplementary Materials
Author Contributions
Funding
Institutional Review Board Statement
Informed Consent Statement
Data Availability Statement
Conflicts of Interest
References
- Qian, D.; Chen, J.; Lai, C.; Kang, L.; Xiao, S.; Song, J.; Xie, J.; Huang, L. Dicaffeoyl polyamine derivatives from bitter goji: Contribution to the bitter taste of fruit. Fitoterapia 2020, 143, 104543. [Google Scholar] [CrossRef] [PubMed]
- Beck, T.K.; Jensen, S.; Bjoern, G.K.; Kidmose, U. The Masking Effect of Sucrose on Perception of Bitter Compounds in Brassica Vegetables. J. Sens. Stud. 2014, 29, 190–200. [Google Scholar] [CrossRef]
- Zhou, Y.; Ma, Y.; Zeng, J.; Duan, L.; Xue, X.; Wang, H.; Lin, T.; Liu, Z.; Zeng, K.; Zhong, Y.; et al. Convergence and divergence of bitterness biosynthesis and regulation in Cucurbitaceae. Nat. Plants 2016, 2, 16183. [Google Scholar] [CrossRef] [PubMed] [Green Version]
- Shang, Y.; Ma, Y.; Zhou, Y.; Zhang, H.; Duan, L.; Chen, H.; Zeng, J.; Zhou, Q.; Wang, S.; Gu, W.; et al. Biosynthesis, regulation, and domestication of bitterness in cucumber. Science 2014, 346, 1084–1088. [Google Scholar] [CrossRef]
- Dea, S.; Plotto, A.; Manthey, J.A.; Raithore, S.; Irey, M.; Baldwin, E. Interactions and Thresholds of Limonin and Nomilin in Bitterness Perception in Orange Juice and Other Matrices. J. Sens. Stud. 2013, 28, 311–323. [Google Scholar] [CrossRef]
- Bai, J.; Baldwin, E.A.; Mccollum, G.; Plotto, A.; Manthey, J.A.; Widmer, W.W.; Luzio, G.; Cameron, R. Changes in Volatile and Non-Volatile Flavor Chemicals of “Valencia” Orange Juice over the Harvest Seasons. Foods 2016, 5, 4. [Google Scholar] [CrossRef] [Green Version]
- Lv, G.T.; Li, J.H.; Huang, C.X.; Zhu, B.Q.; Huang, X.B.; Lin, L.J.; Xiong, S.B. Response Surface Methodology for Extraction Optimization of Phyllostachys pubescens Bamboo Shoots Protein. Adv. Mater. Res. 2013, 709, 852–857. [Google Scholar] [CrossRef]
- Li, X.; Fu, B.; Guo, J.; Ji, K.; Xu, Y.; Dahab, M.M.; Zhang, P. Bamboo shoot fiber improves insulin sensitivity in high-fat diet-fed mice. J. Funct. Foods 2018, 49, 510–517. [Google Scholar] [CrossRef]
- Chen, G.; Chen, X.; Yang, B.; Yu, Q.; Wei, X.; Ding, Y.; Kan, J. New insight into bamboo shoot (Chimonobambusa quadrangularis) polysaccharides: Impact of extraction processes on its prebiotic activity. Food Hydrocoll. 2019, 95, 367–377. [Google Scholar] [CrossRef]
- Gao, Q.; Jiang, H.; Tang, F.; Cao, H.-Q.; Wu, X.-W.; Qi, F.-F.; Sun, J.; Yang, J. Evaluation of the bitter components of bamboo shoots using a metabolomics approach. Food Funct. 2019, 10, 90–98. [Google Scholar] [CrossRef]
- Xiong, Y.; Yan, P.; Du, K.; Li, M.; Xie, Y.; Gao, P. Nutritional component analyses of kiwifruit in different development stages by metabolomic and transcriptomic approaches. J. Sci. Food Agric. 2020, 100, 2399–2409. [Google Scholar] [CrossRef] [PubMed]
- Wang, Y.; Liang, X.; Li, Y.; Fan, Y.; Li, Y.; Cao, Y.; An, W.; Shi, Z.; Zhao, J.; Guo, S. Changes in Metabolome and Nutritional Quality of Lycium barbarum Fruits from Three Typical Growing Areas of China as Revealed by Widely Targeted Metabolomics. Metabolites 2020, 10, 46. [Google Scholar] [CrossRef] [PubMed] [Green Version]
- Zou, S.C.; Wu, J.C.; Shahid, M.Q.; Hea, Y.H.; Lin, S.Q.; Liu, Z.H.; Yang, X.H. Identification of key taste components in loquat using widely targeted metabolomics. Food Chem. 2020, 323, 126822. [Google Scholar] [CrossRef] [PubMed]
- Chen, W.; Gong, L.; Guo, Z.; Wang, W.; Zhang, H.; Liu, X.; Yu, S.; Xiong, L.; Luo, J. A Novel Integrated Method for Large-Scale Detection, Identification, and Quantification of Widely Targeted Metabolites: Application in the Study of Rice Metabolomics. Mol. Plant 2013, 6, 1769–1780. [Google Scholar] [CrossRef] [PubMed] [Green Version]
- Bro, R.; Smilde, A.K. Principal component analysis. Anal. Methods 2014, 6, 2812–2831. [Google Scholar] [CrossRef] [Green Version]
- Wiklund, S.; Johansson, E.; Sjöström, L.; Mellerowicz, E.J.; Edlund, U.; Shockcor, J.P.; Gottfries, J.; Moritz, A.T.; Trygg, J. Visualization of GC/TOF-MS-Based Metabolomics Data for Identification of Biochemically Interesting Compounds Using OPLS Class Models. Anal. Chem. 2007, 80, 115–122. [Google Scholar] [CrossRef]
- Grabherr, M.G.; Haas, B.J.; Yassour, M.; Levin, J.Z.; Thompson, D.A.; Amit, I.; Adiconis, X.; Fan, L.; Raychowdhury, R.; Zeng, Q.D.; et al. Full-length transcriptome assembly from RNA-Seq data without a reference genome. Nat. Biotechnol. 2011, 29, 644–652. [Google Scholar] [CrossRef] [Green Version]
- Li, B.; Dewey, C.N. RSEM: Accurate transcript quantification from RNA-Seq data with or without a reference genome. BMC Bioinform. 2011, 12, 323. [Google Scholar] [CrossRef] [Green Version]
- Love, M.I.; Huber, W.; Anders, S. Moderated estimation of fold change and dispersion for RNA-seq data with DESeq2. Genome Biol. 2014, 15, 550. [Google Scholar] [CrossRef] [Green Version]
- Kanehisa, M.; Goto, S. KEGG: Kyoto Encyclopedia of Genes and Genomes. Nucleic Acids Res. 2000, 28, 27–30. [Google Scholar] [CrossRef]
- Deng, Y.Y.; Li, J.Q.; Wu, S.F.; Zhu, Y.P.; Chen, Y.W.; He, F.C. Integrated nr database in protein annotation system and its localization. Comput. Eng. 2006, 32, 71–74. [Google Scholar] [CrossRef]
- Apweiler, R. Functional information in SWISS-PROT: The basis for large-scale characterisation of protein sequences. Briefings Bioinform. 2001, 2, 9–18. [Google Scholar] [CrossRef] [PubMed]
- Ashburner, M.; Ball, C.A.; Blake, J.A.; Botstein, D.; Butler, H.; Cherry, J.M.; Davis, A.P.; Dolinski, K.; Dwight, S.S.; Eppig, J.T.; et al. Gene ontology: Tool for the unification of biology. Nat. Genet. 2000, 25, 25–29. [Google Scholar] [CrossRef] [PubMed] [Green Version]
- Tatusov, R.L.; Galperin, M.Y.; Natale, D.A.; Koonin, E.V. The COG database: A tool for genome-scale analysis of protein functions and evolution. Nucleic Acids Res. 2000, 28, 33–36. [Google Scholar] [CrossRef] [PubMed] [Green Version]
- O’Donovan, C.; Martin, M.-J.; Gattiker, A.; Gasteiger, E.; Bairoch, A.; Apweiler, R. High-quality protein knowledge resource: SWISS-PROT and TrEMBL. Briefings Bioinform. 2002, 3, 275–284. [Google Scholar] [CrossRef]
- Buchfink, B.; Xie, C.; Huson, D.H. Fast and sensitive protein alignment using DIAMOND. Nat. Methods 2015, 12, 59–60. [Google Scholar] [CrossRef] [PubMed]
- Zhu, Q.; Chen, L.; Chen, T.; Xu, Q.; He, T.; Wang, Y.; Deng, X.; Zhang, S.; Pan, Y.; Jin, A. Integrated transcriptome and metabolome analyses of biochar-induced pathways in response to Fusarium wilt infestation in pepper. Genomics 2021, 113, 2085–2095. [Google Scholar] [CrossRef]
- Hasegawa, C.; Sakamoto, Y.; Ichihara, K. On the Relationship between Homogentisic Acid and the Egumi-taste of Bamboo Shoots and Hange. Proc. Jpn. Acad. 1959, 35, 246–251. [Google Scholar] [CrossRef] [Green Version]
- Kelly, J. World vegetables, principles, production and nutritive values. Sci. Hortic. 1985, 25, 191–192. [Google Scholar] [CrossRef]
- John, C.K.; Nadgauda, R.S. Nature watch. Resonance 2001, 6, 54–65. [Google Scholar] [CrossRef]
- Tamim, S.A.; Li, F.; Wang, Y.; Shang, L.; Zhang, X.; Tao, J.; Wang, Y.; Gai, W.; Dong, H.; Ahiakpa, J.K.; et al. Effect of shading on ascorbic acid accumulation and biosynthetic gene expression during tomato fruit development and ripening. Veg. Res. 2022, 2, 1. [Google Scholar] [CrossRef]
- Chen, H.; Li, Q.-P.; Zeng, Y.-L.; Deng, F.; Ren, W.-J. Effect of different shading materials on grain yield and quality of rice. Sci. Rep. 2019, 9, 9992. [Google Scholar] [CrossRef] [PubMed]
- Somporn, C.; Kamtuo, A.; Theerakulpisut, P.; Siriamornpun, S. Effect of shading on yield, sugar content, phenolic acids and antioxidant property of coffee beans (Coffea Arabica L. cv. Catimor) harvested from north-eastern Thailand. J. Sci. Food Agric. 2012, 92, 1956–1963. [Google Scholar] [CrossRef] [PubMed]
- Scafidi, P.; Pisciotta, A.; Patti, D.; Tamborra, P.; Di Lorenzo, R.; Barbagallo, M.G. Effect of artificial shading on the tannin accumulation and aromatic composition of the Grillo cultivar (Vitis vinifera L.). BMC Plant Biol. 2013, 13, 175. [Google Scholar] [CrossRef] [PubMed] [Green Version]
- Zhang, Q.; Liu, M.; Mumm, R.; Vos, R.C.H.; Ruan, J. Metabolomics reveals the within-plant spatial effects of shading on tea plants. Tree Physiol. 2021, 41, 317–330. [Google Scholar] [CrossRef] [PubMed]
- Shi, J.; Zhang, X.; Zhang, Y.; Lin, X.; Li, B.; Chen, Z. Integrated metabolomic and transcriptomic strategies to understand the effects of dark stress on tea callus flavonoid biosynthesis. Plant Physiol. Biochem. 2020, 155, 549–559. [Google Scholar] [CrossRef] [PubMed]
- Zhang, Q.; Yang, W.; Liu, J.; Liu, H.; Lv, Z.; Zhang, C.; Chen, D.; Jiao, Z. Postharvest UV-C irradiation increased the flavonoids and anthocyanins accumulation, phenylpropanoid pathway gene expression, and antioxidant activity in sweet cherries (Prunus avium L.). Postharvest Biol. Technol. 2021, 175, 111490. [Google Scholar] [CrossRef]
- Khalid, M.; Rahman, S.U.; Bilal, M.; Huang, D. Role of flavonoids in plant interactions with the environment and against human pathogens—A review. J. Integr. Agric. 2019, 18, 211–230. [Google Scholar] [CrossRef]
- Treutter, D. Significance of flavonoids in plant resistance: A review. Environ. Chem. Lett. 2006, 4, 147–157. [Google Scholar] [CrossRef]
- Usman, H.; Ullah, M.A.; Jan, H.; Siddiquah, A.; Drouet, S.; Anjum, S.; Giglioli-Guviarc’H, N.; Hano, C.; Abbasi, B.H. Interactive Effects of Wide-Spectrum Monochromatic Lights on Phytochemical Production, Antioxidant and Biological Activities of Solanum xanthocarpum Callus Cultures. Molecules 2020, 25, 2201. [Google Scholar] [CrossRef] [PubMed]
- Liu, Y.; Qian, C.; Ding, S.; Shang, X.; Yang, W.; Fang, S. Effect of light regime and provenance on leaf characteristics, growth and flavonoid accumulation in Cyclocarya paliurus (Batal) Iljinskaja coppices. Bot. Stud. 2016, 57, 28. [Google Scholar] [CrossRef] [PubMed] [Green Version]
- Buttery, B.R.; Gaynor, J.D.; Buzzell, R.I.; MacTavish, D.C.; Armstrong, R.J. The effects of shading on kaempferol content and leaf characteristics of five soybean lines. Physiol. Plant. 1992, 86, 279–284. [Google Scholar] [CrossRef]
- Ren, C.; Wang, J.; Xian, B.; Tang, X.; Liu, X.; Hu, X.; Hu, Z.; Wu, Y.; Chen, C.; Wu, Q.; et al. Transcriptome analysis of flavonoid biosynthesis in safflower flowers grown under different light intensities. PeerJ 2020, 8, e8671. [Google Scholar] [CrossRef] [PubMed] [Green Version]
- Xu, Y.; Wang, G.; Cao, F.; Zhu, C.; Wang, G.; El-Kassaby, Y.A. Light intensity affects the growth and flavonol biosynthesis of Ginkgo (Ginkgo biloba L.). New For. 2014, 45, 765–776. [Google Scholar] [CrossRef]
- Roland, W.S.U.; Van Buren, L.; Gruppen, H.; Driesse, M.; Gouka, R.J.; Smit, G.; Vincken, J.-P. Bitter Taste Receptor Activation by Flavonoids and Isoflavonoids: Modeled Structural Requirements for Activation of hTAS2R14 and hTAS2R39. J. Agric. Food Chem. 2013, 61, 10454–10466. [Google Scholar] [CrossRef] [PubMed]
- Mancuso, G.; Borgonovo, G.; Scaglioni, L.; Bassoli, A. Phytochemicals from Ruta graveolens Activate TAS2R Bitter Taste Receptors and TRP Channels Involved in Gustation and Nociception. Molecules 2015, 20, 18907–18922. [Google Scholar] [CrossRef] [Green Version]
- Wollgast, J.; Anklam, E. Review on polyphenols in Theobroma cacao: Changes in composition during the manufacture of chocolate and methodology for identification and quantification. Food Res. Int. 2000, 33, 423–447. [Google Scholar] [CrossRef]
- Danton, O.; Alexander, L.; Hunlun, C.; de Beer, D.; Hamburger, M.; Joubert, E. Bitter Taste Impact and Thermal Conversion of a Naringenin Glycoside from Cyclopia genistoides. J. Nat. Prod. 2018, 81, 2743–2749. [Google Scholar] [CrossRef]
- Adeniyi, P.O. Bitter Foods are Sometimes Better. World J. Prev. Med. 2019, 7, 1–8. [Google Scholar] [CrossRef]
- Narukawa, M.; Noga, C.; Ueno, Y.; Sato, T.; Misaka, T.; Watanabe, T. Evaluation of the bitterness of green tea catechins by a cell-based assay with the human bitter taste receptor hTAS2R39. Biochem. Biophys. Res. Commun. 2011, 405, 620–625. [Google Scholar] [CrossRef]
- Zhao, X.; Zeng, X.; Lin, N.; Yu, S.; Fernie, A.R.; Zhao, J. CsbZIP1-CsMYB12 mediates the production of bitter-tasting flavonols in tea plants (Camellia sinensis) through a coordinated activator–repressor network. Hortic. Res. 2021, 8, 110. [Google Scholar] [CrossRef] [PubMed]
- Xu, X.-B.; Yue, Y.-D.; Tang, F.; Guo, X.-F.; Wang, J.; Yao, X.; Sun, J.; Xun, H. Isolation, Identification and Determination of Six Nucleosides and Two Amino Acids from Bamboo Shoots of Gramineae Phyllostachys prominens (W Y Xiong). Trop. J. Pharm. Res. 2016, 14, 2239. [Google Scholar] [CrossRef] [Green Version]
- Sun, J.; Ding, Z.-Q.; Gao, Q.; Xun, H.; Tang, F.; Xia, E.-D. Major Chemical Constituents of Bamboo Shoots (Phyllostachys pubescens): Qualitative and Quantitative Research. J. Agric. Food Chem. 2015, 64, 2498–2505. [Google Scholar] [CrossRef] [PubMed]
- Lu, B.; Cai, H.; Huang, W.; Wu, X.; Luo, Y.; Liu, L.; Zhang, Y. Protective effect of bamboo shoot oil on experimental nonbacterial prostatitis in rats. Food Chem. 2011, 124, 1017–1023. [Google Scholar] [CrossRef]
- Park, E.-J.; Jhon, D.-Y. The antioxidant, angiotensin converting enzyme inhibition activity, and phenolic compounds of bamboo shoot extracts. LWT 2010, 43, 655–659. [Google Scholar] [CrossRef]
- Bistgani, Z.E.; Hashemi, M.; DaCosta, M.; Craker, L.; Maggi, F.; Morshedloo, M.R. Effect of salinity stress on the physiological characteristics, phenolic compounds and antioxidant activity of Thymus vulgaris L. and Thymus daenensis Celak. Ind. Crop. Prod. 2019, 135, 311–320. [Google Scholar] [CrossRef]
- Chen, Z.; Ma, Y.; Yang, R.; Gu, Z.; Wang, P. Effects of exogenous Ca2+ on phenolic accumulation and physiological changes in germinated wheat (Triticum aestivum L.) under UV-B radiation. Food Chem. 2019, 288, 368–376. [Google Scholar] [CrossRef]
- Ghasemzadeh, A.; Ghasemzadeh, N. Effects of shading on synthesis and accumulation of polyphenolic compounds in ginger (Zingiber officinale Roscoe) varieties. J. Med. Plants Res. 2011, 5, 2435–2442. [Google Scholar] [CrossRef]
- Szymborska-Sandhu, I.; Przybył, J.L.; Pióro-Jabrucka, E.; Jędrzejuk, A.; Węglarz, Z.; Bączek, K. Effect of Shading on Development, Yield and Quality of Bastard Balm Herb (Melittis melissophyllum L.). Molecules 2020, 25, 2142. [Google Scholar] [CrossRef]
- Giambanelli, E.; D’Antuono, L.F.; Ferioli, F.; Frenich, A.G.; Romero-González, R. Sesquiterpene lactones and inositol 4-hydroxyphenylacetic acid derivatives in wild edible leafy vegetables from Central Italy. J. Food Compos. Anal. 2018, 72, 1–6. [Google Scholar] [CrossRef]
- Peleg, H.; Noble, A. Perceptual Properties of Benzoic Acid Derivatives. Chem. Senses 1995, 20, 393–400. [Google Scholar] [CrossRef] [PubMed]
- Hufnagel, J.C.; Hofmann, T. Orosensory-Directed Identification of Astringent Mouthfeel and Bitter-Tasting Compounds in Red Wine. J. Agric. Food Chem. 2008, 56, 1376–1386. [Google Scholar] [CrossRef] [PubMed]
- Wang, T.; Li, X.; Yang, H.; Wang, F.; Kong, J.; Qiu, D.; Li, Z. Mass spectrometry-based metabolomics and chemometric analysis of Pu-erh teas of various origins. Food Chem. 2018, 268, 271–278. [Google Scholar] [CrossRef] [PubMed]
- Ichihara, K.; Sakamoto, Y. Homogentisic acid as a growth factor of bamboo shoot. J. Biochem. 1957, 44, 693–694. [Google Scholar] [CrossRef]
- Cabras, P.; Angioni, A.; Tuberoso, C.; Floris, I.; Reniero, F.; Guillou, C.; Ghelli, S. Homogentisic Acid: A Phenolic Acid as a Marker of Strawberry-Tree (Arbutus unedo) Honey. J. Agric. Food Chem. 1999, 47, 4064–4067. [Google Scholar] [CrossRef] [PubMed]
- Juric, A.; Gasic, U.; Brcic-Karaconji, I.; Jurica, K.; Milojkovic-Opsenica, D. The phenolic profile of strawberry tree (Arbutus unedo L.) honey. J. Serbian Chem. Soc. 2020, 85, 1011–1019. [Google Scholar] [CrossRef] [Green Version]
- Xu, J.-J.; Fang, X.; Li, C.-Y.; Yang, L.; Chen, X.-Y. General and specialized tyrosine metabolism pathways in plants. aBIOTECH Int. J. Plant Biotechnol. Agric. Sci. 2020, 1, 97–105. [Google Scholar] [CrossRef] [Green Version]
- Maeda, H.; DellaPenna, D. Tocopherol functions in photosynthetic organisms. Curr. Opin. Plant Biol. 2007, 10, 260–265. [Google Scholar] [CrossRef]
- Ouyang, S.; He, S.; Liu, P.; Zhang, W.; Zhang, J.; Chen, S. The role of tocopherol cyclase in salt stress tolerance of rice (Oryza sativa). Sci. China Life Sci. 2011, 54, 181–188. [Google Scholar] [CrossRef]






Publisher’s Note: MDPI stays neutral with regard to jurisdictional claims in published maps and institutional affiliations. |
© 2022 by the authors. Licensee MDPI, Basel, Switzerland. This article is an open access article distributed under the terms and conditions of the Creative Commons Attribution (CC BY) license (https://creativecommons.org/licenses/by/4.0/).
Share and Cite
Huang, Y.; Xun, H.; Yi, G.; Li, T.; Yao, X.; Tang, F. Integrated Metabolomic and Transcriptomic Analysis Reveals the Effect of Artificial Shading on Reducing the Bitter Taste of Bamboo Shoots. Horticulturae 2022, 8, 594. https://doi.org/10.3390/horticulturae8070594
Huang Y, Xun H, Yi G, Li T, Yao X, Tang F. Integrated Metabolomic and Transcriptomic Analysis Reveals the Effect of Artificial Shading on Reducing the Bitter Taste of Bamboo Shoots. Horticulturae. 2022; 8(7):594. https://doi.org/10.3390/horticulturae8070594
Chicago/Turabian StyleHuang, Yongjian, Hang Xun, Guilin Yi, Ti Li, Xi Yao, and Feng Tang. 2022. "Integrated Metabolomic and Transcriptomic Analysis Reveals the Effect of Artificial Shading on Reducing the Bitter Taste of Bamboo Shoots" Horticulturae 8, no. 7: 594. https://doi.org/10.3390/horticulturae8070594
APA StyleHuang, Y., Xun, H., Yi, G., Li, T., Yao, X., & Tang, F. (2022). Integrated Metabolomic and Transcriptomic Analysis Reveals the Effect of Artificial Shading on Reducing the Bitter Taste of Bamboo Shoots. Horticulturae, 8(7), 594. https://doi.org/10.3390/horticulturae8070594
