Abstract
Environmental stress, especially in the form of low temperatures and salinity, has becomethe main limiting factor affecting the yield and quality of tomatoes in greenhouse production in China. Grafting, as an effective and sustainable strategy for improving plant stress tolerance, is closely related to rootstock properties and scion affinity. Here, 15 commercial rootstock genotypes were collected to investigate the differences in low temperatures and salt tolerance of rootstocks and grafted tomato seedlings in parallel, as well as well as the effect of grafting on the yield and quality of tomato. The results indicated that there were differences among rootstocks, and the resistance of grafted seedlings mainly depended on the characteristics of the rootstocks. We also found that the resistance of grafted seedlings was affected by the affinity between the scion and rootstock. Genotypes 6, 7, 11, and 14 showed advantages over the other genotypes in seedling growth, based on the fresh weight of the plants, the seedling index, and the root-shoot ratio. Genotypes 2, 7, 11, and 14 had greater total root lengths and higher numbers of root tips than other genotypes. These results showed that the significant increase in growth in the grafted tomato seedlings might have been attributable to the vigorous roots of the rootstocks. Genotypes 4, 7, 11, and 13 showed advantages with respect to low temperature stress, whereas genotypes 7, 11, 12, and 13 showed advantages with respect to salt stress. The salt tolerance of grafted tomato seedlings was influenced by both scion affinity and rootstock characteristics and was decreased by grafting. The highest yields were obtained from the grafted plants of genotypes 7 and 11, whose yields were 17.2% and 14.6% higher, respectively, than those of the control group. The rootstock genotype did not affect the fruit quality parameters, such as soluble protein content, titratable acidity, and total soluble solids content, and in most cases, the lycopene and ascorbic acid contents of the fruit increased. After considering the results pertaining to the stress tolerance of rootstocks in combination with fruit yield and quality, genotypes 7 and 11 were selected as potentially suitable tomato rootstock varieties for further large-scale applications. These results provide a new perspective for the study of rootstock characteristics and an important reference for grafted tomato cultivation in greenhouse production.
1. Introduction
Tomato (Solanum lycopersicum) is one of the most extensively produced vegetable crops worldwide, with massive economic value [1,2]. In 2018, tomato production and cultivated areas worldwide were approximately 182.3 million tons and 4762.1 thousand hectares, respectively, according to a statement by the FAO (http://faostat.fao.org/ accessed on 6 May 2022). China has the largest tomato production in the world, with more than 50% of planting carried out in protected facilities that are seriously affected by soil salinity and low temperature. Many investigations have reported that the levels of secondary soil salinization in greenhouses or plastic tunnels are much higher than those in open fields, mainly due to the lack of rainfall and the excessive application of chemical fertilizers under protected cultivation [3,4]. As a result, salinity severely inhibits tomato growth, fruit yield, and quality because of ion toxicity effects and/or the disruption of osmotic functions [5]. Another environmental factor affecting tomato greenhouse production is low temperature, as tomato is a cold-sensitive species [6]. In tomato production in cold areas, it is very difficult to obtain high yield and good fruit quality in solar greenhouses. Numerous attempts have been made to reduce the effects of salt and low temperature on tomato production [7,8]. Among the strategies proposed, one of the most economical and effective is grafting high-value commercial varieties onto rootstocks of cold- and salt-tolerant genotypes, which could induce the scion’s tolerance for low temperatures and salt [9].
In recent years, grafting has been increasingly used in tomato to overcome environmental stresses such as temperature [6,10,11], drought [12], salinity [13,14], and soil-borne diseases [15]. Moreover, grafting can effectively reduce the input of agrochemicals. Therefore, grafting is considered to be an environmentally friendly strategy for sustainable tomato production [16,17]. However, the efficiency of grafting depends mainly on rootstock selection and grafting methods [18,19], which have conformed to the prevailing demands for improving productivity [9]. Therefore, the selection of appropriate and compatible rootstocks is very important in grafting tomato, particularly in situations of greenhouse cultivation.
To date, the use of salt-tolerant rootstocks has been effective in improving tomato salt tolerance, as demonstrated by the grafting of an S. pimpinellifolium RIL population onto “Maxifort” as the rootstock [14,20]. The rootstock “UC-82B” improved the salt tolerance of grafted tomato plants by increasing their photosynthetic capacity and antioxidant capacity, accumulating sugar and proline, and reducing the accumulation of Na+ and/or Cl− [21]. Similar conclusions were obtained for a population of recombinant inbred lines (RILs) derived from a salt-sensitive genotype of S. lycopersicum var. cerasiforme and a salt-tolerant line from S. pimpinellifolium [22]. Estañ and Martinez-Rodriguez revealed that salt-tolerant rootstocks (cv. Radja and cv. Pera) can increase the salt tolerance of grafted tomato by reducing the concentration of Na+ in scion leaves [13,23]. Moreover, they found that the fruit yield of salt-treated plants was negatively correlated with concentrations of Na+ and Cl− in leaves, indicating that grafting can effectively overcome the salt stress of tomato. Grafting could improve the tolerance of tomato to Ca(NO3)2 stress when “Kagemusya” is used as the rootstock [24]. In short, the salinity tolerance of grafted plants depends on the characteristics of the rootstock.
The use of cold-tolerant rootstocks, which have been tested in recent years, may improve the low-temperature tolerance of grafted plants. Rootstocks promote growth and alleviate the negative effects of low temperatures on scion performance by providing a vigorous root system [6,25,26]. The relative growth of shoots and the root mass ratio at 15 °C were found to be increased in tomato seedlings grafted onto a low temperature tolerant rootstock, compared with nongrafted plants. This finding was due to the additional amount of nutrients and hormones supplied by the grafting [6]. In an unheated greenhouse, grafted tomatoes were more vigorous, producing 13% to 32% more fruits than nongrafted plants under low temperatures.
In grafted tomato production, growers currently use tomato rootstocks that are commercially available. However, different rootstock varieties were bred by different breeding companies, and the identification of the properties of these varieties, such as their resistance to pathogenic microorganisms, and their tolerance of high temperatures, low temperatures, and salt content, were limited to their own products. In most of the research papers devoted to the subject, only one variety or very few varieties have been assayed as rootstocks for the purpose of testing their suitability in grafting. Therefore, a comprehensive screening of resistant rootstock varieties is crucial in improving the yield and quality of tomato production in facilities. Such screening can be carried out by a parallel comparison of multiple rootstocks under the same abiotic stresses. In this study, 15 commercial rootstock genotypes were used as experimental materials in an investigation of the different effects of various rootstocks and grafted seedlings in tolerating low temperatures and salt. We also explored the effect of grafting on tomato yield and quality. The objective of this work was to identify potentially suitable tomato rootstock varieties for further large-scale applications under solar greenhouse conditions. The results of this experiment provide a new perspective for the study of rootstock characteristics and a potentially important reference for grafted tomato cultivation in greenhouse production.
2. Materials and Methods
2.1. Plant Materials and Growth Conditions
Fifteen commercial tomato rootstock genotypes (Solanum lycopersicum L.) were used in this study (Table 1). All the genotypes were selected on the basis of preliminary results regarding their salinity and low temperature tolerance. They were obtained from seed companies in the Netherlands, Japan, and China. Plants of the commercial tomato “Mingzhi88” were used as the scion. Genotype 13 had a poor germination rate; additional information about the rootstocks used in this paper is shown in Table 1. The seedlings of the rootstock genotypes were cultivated 7 days earlier than those of the scion. The seeds were immersed in water for 6 h and germinated at 30 °C in the dark. Then, the seeds were sown in 72-hole plug trays filled with commercial seedling medium (Shangdao Seedling Medium Co., Jinan, China) for 4 weeks in a greenhouse. After the full development of the third true leaves, a “splicing grafting” procedure described by Bhatt [27] was used. Nongrafted scions were used as a control. The nongrafted rootstock plants before grafting and the grafted rootstock plants at 20 days after grafting were subjected to salinity and low-temperature stress treatments.
Table 1.
Sources of tomato rootstocks and scion cultivars.
2.2. Low Temperature Stress Treatment
The 15 genotypes of rootstock seedlings (nongrafted rootstock) and their grafted seedlings (grafted rootstock) were simultaneously transferred to a controlled chamber at a relative humidity of 98 ± 2% with 16 h light/8 h dark at 15/10 °C (day/night) for 2 days and 10/5 °C (day/night) for 10 days. Variety “Mingzhi88” was used as a control (scion). Trays were arranged in a completely randomized design with three replicates, providing a total of 90 plants per genotype of nongrafted rootstock, grafted rootstock, and scion seedlings. After 12 days of low temperature treatment, the chilling injuries of the plants were visually scored on a scale of 0 to 4, based on the wilting of leaves and shoots, and a chilling injury index (CI) was determined according to Liu [28]. The CI of the rootstock and grafted tomato seedlings was calculated according to the following formula: CI = ∑I [ (score value × number of plants)/total number of plants] [28]. We used the CI to evaluate the low temperature tolerance of each rootstock genotype. A low CI indicated that the plants were less injured and strongly low-temperature tolerant. The plant growth parameters of the grafted rootstock seedlings were measured.
2.3. Salt Stress Treatment
Rootstock seedlings (nongrafted rootstock) and their grafted seedlings (grafted rootstock) were transferred to 20 L plastic containers containing 2~3 cm Hoagland solution (EC 1.92 mS·cm−1 and pH 6.5). NaCl with a concentration of 175 mM was added to the nutrient solution (EC 8.64 mS·cm−1 and pH 6.7). Nongrafted scions were used as the control. The experiment was carried out at 20 °C~26 °C and 60%~80% relative humidity in the greenhouse. Plastic containers were arranged in a completely randomized design with three replicates, providing a total of 90 plants per genotype of nongrafted rootstock, grafted rootstock, and scion seedlings. After 15 days of NaCl treatment, a salt injury index (SI) was measured according to Niu [29]. Leaf injury ratings of the seedlings were determined, based on a score of 1~4. An injury score of 1 was assigned to leaves that showed no yellowing or damage; a score of 2 was assigned to slightly yellowish or slightly damaged leaves; a score of 3 was assigned to leaves that showed moderate yellowing or damage; and a score of 4 was assigned to leaves that showed severe yellowing or damage. The SI was calculated as follows, with 30 seedlings for each triplicate: SI = ∑I [(score value × number of plants)/total number of plants] [29]. A low SI indicated that the plants were less injured and strongly salt-tolerant. The plant growth parameters of the grafted rootstock seedlings were measured.
2.4. Effect of Rootstock on the Yield and Quality of Grafted Tomatoes
From 24 November 2019 to April 2020., grafted rootstock plants at 20 days after grafting were transplanted and cultivated in the solar greenhouse of a commercial tomato production area. The soil was loam, with an electrical conductivity of 1.09 mS·cm−1 and a pH of 6.85. The soil was characterized by a bulk density of 1.04 g·cm−3, with 57.87 mg·kg−1 (P2O5), 191.57 mg·kg−1 (K2O), 121.1 mg·kg−1 N, and 15.7 g·kg−1 organic matter. Before transplantation, the field was rototilled and enriched with 250 kg·ha−1 of a granulated fertilizer (composition of 15% total N, 15% P2O5, and 15% K2O). The maximum and minimum temperatures of the solar greenhouse were 22 °C~35 °C and 8 °C~16 °C, respectively; the relative humidity was 60%–100%.
The experiment was conducted using a randomized complete block design with three replicates. Nongrafted scion plants were used as controls. Each experimental unit consisted of 35 plants in a plot. The plants were cultivated to only one shoot, eliminating all lateral branches. The experiment used normal culture practices for drip irrigation, fertilization, and pesticide application. Fruits were harvested to determine fruit yield. The experiment was terminated in the middle of April 2020.
2.5. Seedling Growth Determinations
The fresh weights of the roots and shoots were measured. Plant heights were obtained using a graduated ruler. The total length of roots and the number of root tips were measured using a Hewlett Packard 125C scanner (Hewlett-Packard Company, Palo Alto, CA, USA) and the images of each plant were analyzed by Delta-T Scan software. Seedling index = (stem diameter/plant height + root dry weight/shoot dry weight) × whole plant dry weight. Measurements were obtained from 15 plants per treatment.
2.6. Fruit Quality Determinations
Ripe fruits from the second trusses of each plant (three plants per rootstock genotype) were harvested to evaluate the contents of soluble solids, soluble sugar, soluble protein, titratable acidity, ascorbic acid, and lycopene. Ten mature fruits per treatment were finely liquefied in a blender. Then, all of the mesocarp of the fruits was filtered out. Titratable acidity was determined by potentiometric titration with 0.1 M NaOH up to pH 8.1 using 20 mL of juice. The total soluble solids (TSS) content in the juice was assessed using a portable handheld Brix refractometer (UV2300, Shanghai Tianmei, China). The extraction of lycopene was performed according to Schwarz [30]. The ascorbic acid content was measured by the titrimetric method, using successive dilutions of an ascorbic acid solution as standards, and sugars were enzymatically analyzed [30].
2.7. Statistical Analysis
The SAS 8.1 statistical program (SAS Institute, Cary, NC, USA) was used to analyze the of variance between groups (p-value < 0.05). Multiple comparisons of data were performed by Tukey’s tests (p < 0.05).
3. Results
3.1. Effects of Rootstock on the Growth of Grafted Tomato Seedlings
The tomato seedlings grafted onto 15 different rootstock genotypes varied by 1.06~1.37-fold in shoot fresh weight and by 1.34~2.61-fold in root fresh weight, compared with the control (nongrafted scion). However, few differences among the genotypes were observed in terms of stem diameter and plant height (Table 2). In terms of shoot and root fresh weight, genotypes 6, 7, 11, and 14 yielded significantly higher values than the other genotypes. In terms of the seedling index and the root-shoot ratio, genotypes 5, 6,7, 9, 11, and 14 had higher values than the other genotypes. Based on the fresh weight, the root fresh weight, the seedling index, and the root-shoot ratio, genotypes 6, 7, 11, and 14 had the best growth performance (Table 2, Figure 1).
Table 2.
Morphological and growth parameters of grafted tomatoes with the 15 rootstock genotypes.
Figure 1.
Growth of tomato seedlings grafted onto 15 rootstock genotypes at 20 days after grafting. 1–15 represent the grafted tomato seedlings with the 15 rootstock genotypes, respectively, and the nongrafted scion “Mingzhi88” was used as a control.
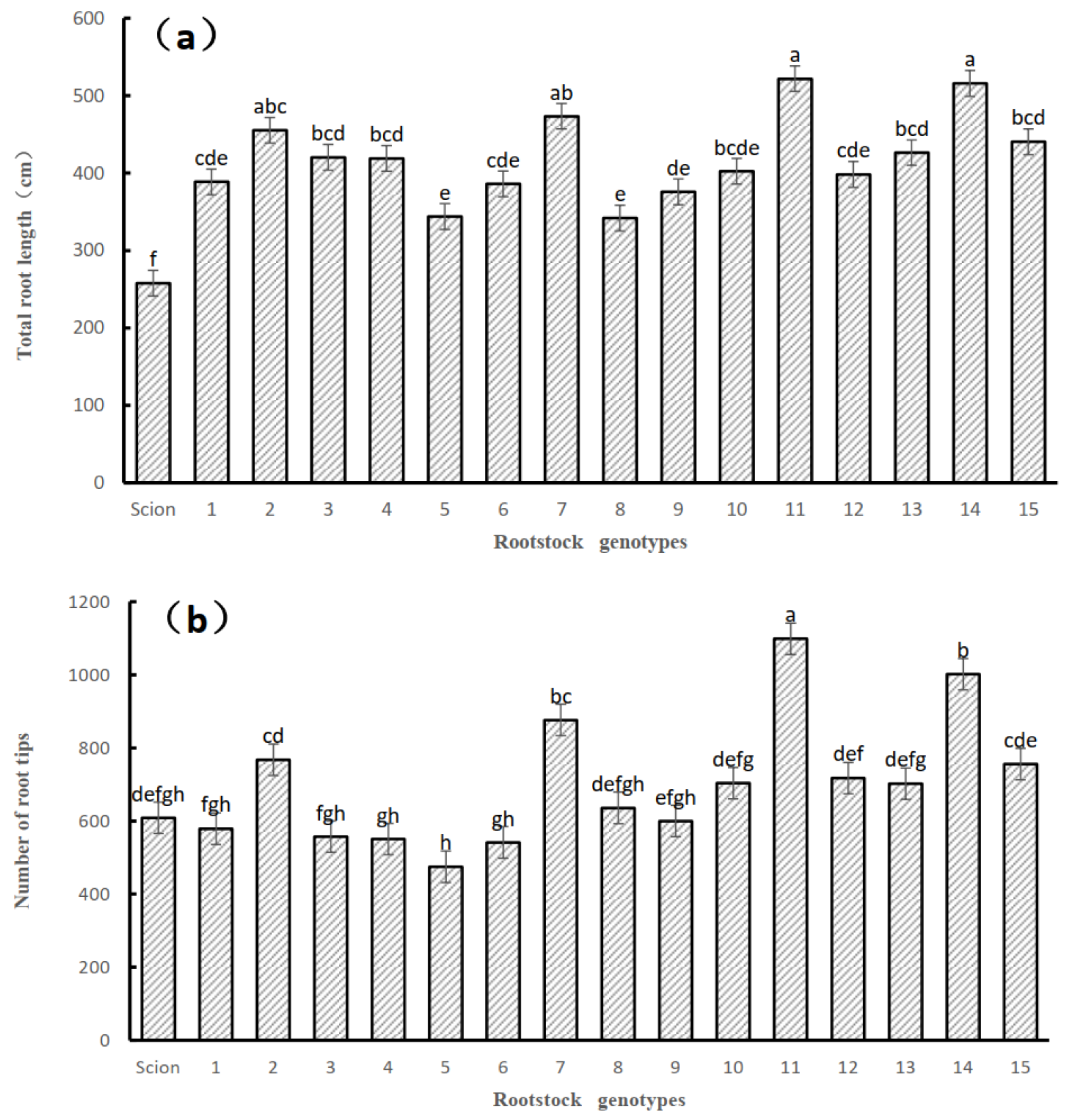
The total length of the root and the number of root tips were measured to investigate the growth of the root mass in grafted tomato seedlings (Figure 2). Genotypes 2, 7, 11, and 14 had greater total root length and number of root tips than the other genotypes. Moreover, the total root lengths of genotypes 7, 11, and 14 were largely consistent with the growth of the grafted tomato seedlings, indicating that the significant increase in growth in the grafted tomato seedlings might have been attributable to the vigorous roots of the rootstocks.
Figure 2.
The total root length and number of root tips of grafted tomatoes with the 15 rootstock genotypes: (a) is the total length of all taproots and lateral roots; (b) is the number of root tips, where the nongrafted scion is the control. The results are the mean ± SEs. The means within each column followed by different letters were significantly different among graft combination treatments, according to Tukey’s test (p < 0.05).
3.2. Effect of Rootstock on the Low Temperature Tolerance of Grafted Tomato Seedlings
To identify the effects of rootstock on the low-temperature tolerance of grafted tomato seedlings, nongrafted rootstock and grafted rootstock seedlings were subjected to low-temperature stress treatment. On day 12, the CI (chilling injury index) of grafted rootstock seedlings significantly differed among the 15 genotypes, with the CI values ranging between 2.36 and 3.40 (Figure 3a,b). Genotypes 2, 3, 4, 7, 11, and 13 had lower cold-index values than the other genotypes. The CI values of the nongrafted rootstocks ranged between 1.58 and 3.40; genotypes 2, 7, 11, 13, and 15 had the lowest CI values, at 1.71, 2.08, 2.04, 1.58, and 1.88, respectively (Figure 3a,b). Some grafted rootstock seedlings had a lower tolerance to cold stress than nongrafted rootstock seedlings. This result indicates that the cold tolerance of grafted tomato seedlings was influenced by both the scion and the rootstock.
Figure 3.
The low-temperature injury of grafted tomato seedlings (R1–R15) and nongrafted rootstock seedlings (T1–T15) under low-temperature stress: (a) indicates low-temperature injury symptoms; (b) chilling injury index. The nongrafted “Mingzhi88” was used as a control. The chilling injury index was determined at 12 days after low-temperature treatment (mean ± SEs), with 30 seedlings for each triplicate. The results are the mean ± SEs. The means within each column followed by different letters were significantly different among graft combination treatments, according to Tukey’s test (p < 0.05).
The grafted rootstock seedlings of the 15 genotypes varied by 0.62~1.50-fold in shoot fresh weight, 0.58~2.45-fold in root fresh weight, and 0.71~1.22-fold in plant height, compared with the control (nongrafted scion) under low-temperature stress. However, no significant differences were observed among the genotypes in terms of stem diameter (Table 3). The seedling index values ranged from 0.09 in genotype 1 to 0.200 in genotype 15; genotypes 7, 11, and 15 showed significant increases of 15%, 17%, and 53%, respectively, compared with the control. Genotypes 3, 4, 7, 11, and 15 showed the best growth performance among the 15 genotypes under low-temperature stress treatment. Based on the CI and the growth performance, genotypes 3, 4, 7, and 11 had better low-temperature tolerance than other genotypes.
Table 3.
Growth parameters of grafted tomatoes with the 15 rootstock genotypes under low-temperature stress.
3.3. Effects of Rootstock on the Salt Tolerance of Grafted Tomato Seedlings
The nongrafted rootstock and grafted rootstock seedlings were treated with Hoagland’s nutrient solution mixed with 175 mmol/L NaCl. At 15 days, the salt injury index (SI) of grafted rootstock seedlings significantly differed among the 15 genotypes. Genotypes 7, 11, 12, and 13 had lower salt-injury index values than the other genotypes. The lowest salt damage index, 1.28, was observed for genotype 7. All of the remaining genotypes, except genotype 15, had low salt damage index values, compared with the control (Figure 4a,b). The SI of the nongrafted rootstock ranged between 0.25 and 2.00. Genotypes 7, 8, 11, and 13 had lower salt-index values, 0.25–0.63, than those of the other genotypes (Figure 4a,b). The grafted rootstock seedlings had a lower tolerance to salt stress than the nongrafted rootstock seedlings. This result indicates that the salt tolerance of grafted tomato seedlings was influenced by both the affinity of the scion and the characteristics of rootstock, which diminished with the grafting.
Figure 4.
Salt injury of grafted rootstock seedlings (R1 to R15) and nongrafted rootstock seedlings (T1 to T15) under salt stress: (a) salt injury symptoms; (b) salt-injury index. The nongrafted scion “Mingzhi88” was used as a control. The salt-injury index was determined at 15 days after NaCl treatment (mean ± SEs), with 30 seedlings for each triplicate. The means within each column followed by different letters were significantly different among graft combination treatments, according to Tukey’s test (p < 0.05).
The growth of the tomato scions was significantly influenced by rootstock and salt stress (Table 4). Compared with the nongrafted scion control treatment, grafting with rootstock increased seedling plant height, shoot root fresh weight, and the seedling index under salt stress. The 15 genotypes varied by 1.01~1.70-fold in shoot fresh weight, 1.05~2.26-fold in root fresh weight, and 1.02~1.52-fold in plant height, compared with the control (nongrafted scion). However, no significant differences among the genotypes were observed in terms of stem diameter (Table 4). Genotypes 7, 11, and 13 had higher shoot and root biomass values than the other genotypes. Genotypes 2, 7, 11, 12, 13, and 14 had the highest seedling index values, which were 0.381, 0.593, 0.382, 0.381, 0.403, and 0.379, respectively. Based on the SI and the growth performance, genotypes 7, 11, 12, and 13 showed better performance under salt stress than the other grafted tomato seedlings.
Table 4.
Growth parameters of grafted tomatoes with the 15 rootstock genotypes under salt stress.
3.4. Effects of Rootstock on the Fruit Yield and Quality of Grafted Tomatoes
Grafting significantly influenced the fruit yield of tomatoes under greenhouse production. Grafting increased fruit yield, compared with the control treatment (nongrafted scion plants), by 2.1% to 17.2% (Figure 5). The total yields of genotypes 7, 11, and 13, 17.2%, 14.6%, and 12.9%, respectively were higher than those of the nongrafted scion plants (Figure 5).
Figure 5.
Fruit yield of grafted tomatoes with the 15 rootstock genotypes under greenhouse conditions. The average fruit yield of three replicate plots (35 plants per plot) of grafted tomato cultivars is presented; nongrafted scions were used as the control. The results are mean ± SEs. The means within each column followed by different letters are significantly different among grafted tomatoes with the 15 rootstock genotypes, according to Tukey’s test (p < 0.05).
In terms of fruit quality, the lycopene and ascorbic acid contents of the fruit of grafted tomatoes were markedly influenced by rootstock genotypes, but there was no significant difference in the contents of soluble protein content, titratable acidity, or total soluble solid contents among the genotypes (Table 5). There was a significant increase in lycopene, between 54% and 130%, in all grafted tomatoes, compared with that of the control, except for genotypes 9 and 10. The ascorbic acid contents of genotypes 13, 10, and 11 increased significantly, compared with the control contents, by 85%, 73%, and 65%, respectively. Soluble sugar did not differ significantly among genotypes 6, 7, 9, 11, and 13, and the grafted tomatoes of the other genotypes had decreased soluble sugar contents, compared with the control.
Table 5.
Fruit quality of grafted tomatoes with the 15 rootstock genotypes under greenhouse conditions.
Based on the above analysis, among the 15 rootstock genotypes, genotypes 7 and 11 exhibited good overall performance and were identified as potentially excellent rootstock materials for tomato grafting.
4. Discussion
4.1. Effects of Rootstock on the Growth of Grafted Tomato Seedlings
Grafting can increase plant tolerance to abiotic stresses, resistance to soil-borne pathogens, and yield. Accordingly, rootstock selection conforms to the prevailing demands for improved seedling growth [18,19] and productivity [17]. These improvements are the result of the vigorous root systems of rootstocks [31], which enhance the production of endogenous hormones and scion vigor [9]. Root density was found to be 25.3% higher, on average, in grafted plants when compared with nongrafted plants [32]. Increased concentrations of nitrogen, phosphorus, and potassium in leaves, as well as higher fluxes in root uptake, were observed in grafted plants [33]. Grafting the landrace “Ramellet” on Solanum pimpinellifolium could increase key photosynthetic parameters that regulate the yield and water use efficiency of plants [34]. The comprehensive screening of resistant rootstock varieties is crucial in improving the yield and quality of tomato production in facilities, especially in solar greenhouses. In this study, 15 commercial rootstock genotypes were used as experimental materials in investigating the difference in low-temperature and salt tolerance of rootstocks and grafted seedlings in parallel, as well as the effect of grafting on tomato yield and quality. Genotypes 6, 7, 11, and 14 showed advantages over the other genotypes in terms of seedling growth, based on the fresh weight of plants, the seedling index, and the root-shoot ratio. Genotypes 2, 7, 11, and 14 had greater total root lengths and a higher number of root tips than those of the other genotypes. These results show that the significant increase in growth in the grafted tomato seedlings might have been attributable to the vigorous roots of the rootstocks.
4.2. Effects of Rootstock on Salt Tolerance of Grafted Seedlings
Promoting nutrient absorption, improving salt tolerance, and fruit quality are the objectives of rootstock screening, and can benefit soilless grafted tomato production in Europe, where prolonging the production and harvest season is a main goal [35]. However, the rootstocks identified as the best for drought stress differ from those identified as the best for salinity and high soil impedance [22]. Salt-tolerant rootstocks (“UC-82B”, cv. Radja and cv. Pera) improved the salt tolerance of grafted tomato plants by reducing the concentration of Na+ in scion leaves [21,23], indicating that the salt tolerance of grafted plants depends on the characteristics of the rootstock. In this study, genotypes 7, 11, 12, and 13 showed advantages with respect to salt stress. The salt tolerance of grafted tomato seedlings was influenced by both scion affinity and rootstock characteristics, and salt stress was decreased by grafting. Genotype 7 was identified as the most salt-tolerant rootstock. Additional experiments are needed to determine the interactions between the rootstock and scion that are involved in salt tolerance.
4.3. Effects of Rootstock on the Low Temperatures Tolerance of Grafted Seedlings
Rootstocks alleviate the negative effects of low temperature on scion performance by providing a vigorous root system [6,25,26]. Rootstocks (Solanum habrochaites LA 1777) increased the relative growth rate of shoots by 26% and 11% at 25/15 °C and 15/15 °C, respectively, compared with nongrafted plants, a result that was due to higher root mass ratios, particularly at 15 °C root-zone temperatures [6]. Phytohormones are involved in the tolerance of grafted tomatoes to suboptimal temperature stress [25]. Grafting “Kommeet” tomatoes onto LA1777 rootstock increased shoot growth at intermediate and optimal temperatures and root growth at low or intermediate temperatures, in comparison with self-grafted plants or plants that were grated onto “Moneymaker”. Rootstock LA1777 improved the level of antioxidant compounds in tomato shoots, thereby enhancing their adaptation to temperatures that were lower than optimal [26]. Riga compared the growth of grafted tomatoes among nine rootstocks in soilless culture under low temperature and light intensity and found that the commercial tomato rootstocks could not improve the yield and fruit quality parameters [11]. In this paper, the CI values of grafted seedlings ranged between 2.36 and 3.40, and the CI values of nongrafted rootstocks ranged between 1.58 and 3.40. Some grafted rootstock seedlings had a lower tolerance to cold stress than nongrafted rootstock seedlings. Genotypes 4, 7, 11, and 13 showed advantages with respect to low-temperature stress, and there was partial conformity between the grafted seedlings and the nongrafted rootstock seedlings at low temperatures. This result indicates that the cold tolerance of grafted tomato seedlings was influenced by both the scion and the rootstock.
4.4. Effect of Rootstock on the Fruit Yield of Tomato Plants
Some researchers have demonstrated that grafted tomato plants have a higher yield and better production of marketable fruit than nongrafted tomato plants [36,37]. Grafting tomato often results in a significant increase in fruit weight and, consequently, fruit diameter and size, compared with nongrafted or self-grafted plants [11]. This was reported for many different rootstock–scion combinations that resulted in total yield increases. However, yield gain may also be attributed to an increase in the number of fruits, rather than an increase in mean fruit weight [38]. The effect of grafting on fruit weight and size depends on grafting combinations [30,39,40]. Larger fruit size seems to be attained when vigorous rootstocks are used, such as “Maxifort”, “Beaufort”, and “Heman” (S. habrochaites) [30,41,42]. This phenomenon is particularly recognized when scions have smaller fruit sizes, e.g., cherry tomatoes of less than 40 g [30]. In some cases, grafting may reduce fruit size when less vigorous rootstocks are used, such as “Brigeor” [30]. Similarly, the fruit size of two different scion cultivars was significantly reduced when a salt-tolerant goji berry (Lycium chinense Mill.) served as the rootstock [43]. In the present paper, grafting increased fruit yield, compared with the control treatment (nongrafted scion plants), by 2.1% to 17.2% (Figure 5). The total yields of genotypes 7, 11, and 13 were 17.2%, 14.6%, and 12.9% higher, respectively, than those of the nongrafted scion plants. Genotypes 7 and 11 had more vigorous root systems than the other genotypes. Yield gain may also be attributed to an increase in fruit size, rather than the number of fruits.
4.5. Effect of Rootstock on the Fruit Quality of Tomato Plants
Grafting has different effects on the quality of tomato fruits, depending on the combination of rootstock and scion, which can lead to undergrowth or overgrowth of the scion and subsequently reduced water and nutrient flow to grafted tomato fruit. Moreover, the interaction of grafting combinations was also affected by other factors, such as seasonal and environmental factors, including climate, water and nutrient availabilities, stress duration and intensity, and management practices [11,17]. Lycopene is a typical compound in tomato fruits, with astrong antioxidative activity that significantly contributes to fruit quality. Grafting tends to decrease the lycopene concentration of fruits for tomato scions “Cecilia” and “Classy” grafted onto “Brigeor”, “Beaufort”, and “Heman” rootstocks [38,41,44]. However, “Classy” scion grafted onto “Maxifort” rootstock exhibited enhanced β-carotene levels under low-potassium stress [30], as did “Amati” grafted onto “Robusta” or “Body” under non-stressed conditions [45]. In this work, genotype 7 showed a significantly increased lycopene content, 130%, compared with the control. These results were possibly related to rootstock properties.
In many grafting combinations, the concentration of total sugar in grafted fruit was lower than that in nongrafted fruit [11,31,44,46]. In other studies with grafted tomatoes, no significant changes in soluble sugar were observed, or changes were observed only for some rootstock/scion combinations, such as “Fanny”/”AR9704” and “Lemance”/”Beaufort” [42,47]. In our study, the soluble sugar content did not significantly differ between grafted plants of genotypes 6, 7, 9, 11, and 13 and control plants, whereas the sugar content of grafted tomatoes of the other varieties was decreased, compared with the control. As mentioned above, vigorous rootstocks may act as sinks for assimilates, and thereby reduce the transportation of assimilates to fruits [48]. “Maxifort” is a more vigorous rootstock than “Brigeor”, as tomatoes grown on this rootstock have lower sugar concentrations than those grown on other rootstocks [41].
5. Conclusions
The comprehensive screening of resistant rootstock varieties is crucial in improving the yield and quality of tomato production in facilities. Genotypes 7 and 11 are potentially excellent rootstock materials, with resistance to low temperatures and salt that can significantly improve yield without negatively affecting fruit quality. The significant increase in growth in the grafted tomato seedlings might have been imparted by the vigorous roots of the rootstocks. The salt tolerance of grafted tomato seedlings was influenced by the rootstocks’ characteristics and affinity with the scion, and salt stress was diminished by grafting. Genotype 7 is a potential salt-tolerance rootstock, but further research is required to understand the mechanism of shoot salt tolerance.
Author Contributions
S.F. and J.C. performed the main research described in the manuscript. G.L. and H.G. proposed the research study and revised the manuscript. X.W. participated in the experimental design, data collection, and statistical analysis. All authors have read and agreed to the published version of the manuscript.
Funding
This research was funded by the National Natural Science Foundation of China (31872132) and the Key Research Projects of Hebei (20326901D, 21626901D). It was performed by the Collaborative Innovation Center of Vegetable Industry in Hebei (HBCT2021030213).
Institutional Review Board Statement
Not applicable.
Informed Consent Statement
Not applicable.
Data Availability Statement
Not applicable.
Conflicts of Interest
The authors declare that they have no conflicts of interest.
References
- Bawa, I. Management strategies of Fusarium wilt disease of tomato incited by Fusarium oxysporum f. sp. lycopersici (Sacc.) A Review. Int. J. Adv. Acad. Res. 2016, 2, 32–42. [Google Scholar]
- Tieman, D.; Zhu, G.; Resende, M.F.R.; Lin, T.; Nguyen, C.; Bies, D.; Rambla, J.L.; Beltran, K.S.O.; Taylor, M.; Zhang, B.; et al. A chemical genetic roadmap to improved tomato flavor. Science 2017, 355, 391–394. [Google Scholar] [CrossRef] [PubMed]
- Darwish, T.; Atallah, T.; Moujabber, M.E.; Khatib, N. Salinity evolution and crop response to secondary soil salinity in two agro-climatic zones in Lebanon. Agric. Water Manag. 2005, 78, 152–164. [Google Scholar] [CrossRef]
- Yu, H.Y.; Li, T.X.; Zhou, J.M. Second salinization of greenhouse soil and its effects on soil properties. Soils 2005, 37, 581–586. (In Chinese) [Google Scholar]
- Boari, F.; Donadio, A.; Pace, B.; Schiattone, M.I.; Cantore, V. Kaolin improves salinity tolerance, water use efficiency and quality of tomato. Agric. Water Manag. 2016, 167, 29–37. [Google Scholar] [CrossRef]
- Venema, J.H.; Dijk, B.E.; Bax, J.M.; Hasselt, P.R.V.; Elzenga, J.T.M. Grafting tomato (Solanum lycopersicum) onto the rootstock of a high-altitude accession of Solanum habrochaites improves suboptimal-temperature tolerance. Environ. Exp. Bot. 2008, 63, 359–367. [Google Scholar] [CrossRef]
- Dezhabad, F.; Haghighi, M. Bottom-cold stress was less harmful than cold-air stress on tomato seedling production treated with boric acid. Acta Physiol. Plant. 2020, 42, 44. [Google Scholar] [CrossRef]
- Ranawat, B.; Mishra, S.; Singh, A. Enterobacter hormaechei (MF957335) enhanced yield, disease and salinity tolerance in tomato. Arch. Microbiol. 2021, 203, 2659–2667. [Google Scholar] [CrossRef]
- Schwarz, D.; Rouphael, Y.; Colla, G.; Venema, J.H. Grafting as a tool to improve tolerance of vegetables to abiotic stresses: Thermal stress, water stress and organic pollutants. Sci. Hortic. 2010, 127, 162–171. [Google Scholar] [CrossRef]
- Rivero, R.M.; Ruiz, J.M.; Romero, L. Can grafting in tomato plants strengthen resistance to thermal stress? J. Sci. Food Agric. 2003, 83, 1315–1319. [Google Scholar] [CrossRef]
- Riga, P. Effect of rootstock on growth, fruit production and quality of tomato plants grown under low temperature and light conditions. Hortic. Environ. Biotechnol. 2015, 56, 626–638. [Google Scholar] [CrossRef]
- Gaion, L.A.; Monteiro, C.C.; Cruz, F.J.R.; Rossatto, D.R.; López-Díaz, I.; Carrera, E.; Carvalho, R.F. Constitutive gibberellin response in grafted tomato modulates root-to-shoot signaling under drought stress. J. Plant Physiol. 2018, 221, 11–21. [Google Scholar] [CrossRef] [PubMed] [Green Version]
- Estañ, M.T.; Martinez, M.M.; Francisco, P.A.; Flowers, T.J.; Bolarin, M.C. Grafting raises the salt tolerance of tomato through limiting the transport of sodium and chloride to the shoot. J. Exp. Bot. 2005, 56, 703–712. [Google Scholar] [CrossRef] [PubMed] [Green Version]
- Koleška, I.; Hasanagić, D.; Todorović, V.; Murtić, S.; Maksimović, I. Grafting influence on the weight and quality of tomato fruit under salt stress. Ann. Appl. Biol. 2018, 172, 187–196. [Google Scholar] [CrossRef]
- Mackey, M.; Kurosky, A.; Robb, E.J.; Nazar, R.N. A graft mimic strategy for verticillium resistance in tomato. Mol. Biotechnol. 2018, 60, 665–669. [Google Scholar] [CrossRef]
- Albacete, A.; Martinez-Andujar, C.; Martinez-Perez, A.; Thompson, A.J.; Dodd, I.C.; Perez-Alfocea, F. Unravelling rootstock×scion interactions to improve food security. J. Exp. Bot. 2015, 66, 2211–2226. [Google Scholar] [CrossRef] [Green Version]
- Kyriacou, M.C.; Rouphael, Y.; Colla, G.; Zrenner, R.; Schwarz, D. Vegetable grafting: The implications of a growing agronomic imperative for vegetable fruit quality and nutritive value. Front. Plant Sci. 2017, 8, 741. [Google Scholar] [CrossRef]
- Thapa, R.; Thapa, P.; Ahamad, K.; Vahdati, K. Effect of grafting methods and dates on the graft take rate of persian walnut in open field condition. Int. J. Hortic. Sci. Technol. 2021, 8, 133–147. [Google Scholar]
- Rezaee, R.; Vahdati, K.; Grigoorian, W.; Valizadeh, M. Walnut grafting success and bleeding rate as affected by different grafting methods and seedling vigor. J. Hortic. Sci. Biotechnol. 2008, 83, 94–99. [Google Scholar] [CrossRef]
- Asins, M.J.; Raga, V.; Roca, D.; Belver, A.; Carbonell, E.A. Genetic dissection of tomato rootstock effects on scion traits under moderate salinity. Theor. Appl. Genet. 2015, 128, 667–679. [Google Scholar] [CrossRef]
- Santa-Cruz, A.; Martínez-Rodríguez, M.M.; Perez-Alfocea, F.; Romero-Aranda, R.; Bolarin, M.C. The rootstock effect on the tomato salinity response depends on the shoot genotype. Plant Sci. 2002, 162, 825–831. [Google Scholar] [CrossRef]
- Albacete, A.; Martinez-Andujar, C.; Dodd, I.; Giuffrida, F.; Hichri, I.; Lutts, S.; Thompson, A.; Asins, M. Rootstock-mediated variation in tomato vegetative growth under drought, salinity and soil impedance stresses. Acta Hortic. 2015, 1086, 141–146. [Google Scholar] [CrossRef]
- Martinez-Rodriguez, M.M.; Estañ, M.T.; Moyano, E.; Garcia-Abellan, J.O.; Flores, F.B.; Campos, J.F.; Al-Azzawi, M.J.; Flowers, T.J.; Bolarín, M.C. The effectiveness of grafting to improve salt tolerance in tomato when an excluder genotype is used as scion. Environ. Exp. Bot. 2008, 63, 392–401. [Google Scholar] [CrossRef]
- Zhang, G.W.; Liu, Z.L.; Zhou, J.C.; Zhu, Y.L. Effects of Ca(NO3)2 stress on oxidative damage, antioxidant enzymes activities and polyamine contents in roots of grafted and non-grafted tomato plants. Plant Growth Regul. 2008, 56, 7–19. [Google Scholar] [CrossRef]
- Ntatsi, G.; Savvas, D.; Druege, U.; Schwarz, D. Contribution of phytohormones in alleviating the impact of sub-optimal temperature stress on grafted tomato. Sci. Hortic. 2013, 149, 28–38. [Google Scholar] [CrossRef]
- Ntatsi, G.; Savvas, D.; Kläring, H.P.; Schwarz, D. Growth, yield, and metabolic responses of temperature-stressed tomato to grafting onto rootstocks differing in cold tolerance. J. Am. Soc. Hortic. Sci. 2014, 139, 230–243. [Google Scholar] [CrossRef] [Green Version]
- Bhatt, R.M.; Upreti, K.K.; Divya, M.H.; Bhat, S.; Pavithra, C.B.; Sadashiva, A.T. Interspecific grafting to enhance physiological resilience to flooding stress in tomato (Solanum lycopersicum L.). Sci. Hortic. 2015, 182, 8–17. [Google Scholar] [CrossRef]
- Liu, Y.; Zhou, T.; Ge, H.; Pang, W.; Gao, L.; Re, L.; Chen, H. SSR mapping of QTLs conferring cold tolerance in an interspecific cross of tomato. Int. J. Genomics. 2016, 2016, 3219276. [Google Scholar] [CrossRef] [Green Version]
- Niu, M.L.; Xie, J.J.; Sun, J.Y.; Huang, Y.; Kong, Q.S.; Nawaz, M.A.; Bie, Z.L. A shoot based Na+, tolerance mechanism observed in pumpkin-An important consideration for screening salt tolerant rootstocks. Sci. Hortic. 2017, 218, 38–47. [Google Scholar] [CrossRef]
- Schwarz, D.; Öztekin, G.B.; Tüzel, Y.; Brückner, B.; Krumbein, A. Rootstocks can enhance tomato growth and quality characteristics at low potassium supply. Sci. Hortic. 2013, 149, 70–79. [Google Scholar] [CrossRef]
- Turhan, A.; Ozmen, N.; Serbeci, M.S.; Seniz, V. Effects of grafting on different rootstocks on tomato fruit yield and quality. Hortic. Sci. 2011, 38, 142–149. [Google Scholar] [CrossRef] [Green Version]
- Öztekin, G.B.; Giuffrida, F.; Tuzel, Y.; Leonardi, C. Is the vigour of grafted tomato plants related to root characteristics? J. Food Agric. Environ. 2009, 7, 364–368. [Google Scholar]
- Sánchez-Rodríguez, E.; Leyva, R.; Constán-Aguilar, C.; Romero, L.; Ruiz, J. How does grafting affect the ionome of cherry tomato plants under water stress? Soil Sci. Plant Nutr. 2014, 60, 145–155. [Google Scholar] [CrossRef]
- Fullana-Pericàs, M.; Ponce, J.; Conesa, M.À.; Juan, A.; Ribas-Carbó, M.; Galmés, J. Changes in yield, growth and photosynthesis in a drought-adapted Mediterranean tomato landrace (Solanum lycopersicum “Ramellet”) when grafted onto commercial rootstocks and Solanum pimpinellifolium. Sci. Hortic. 2018, 233, 70–77. [Google Scholar] [CrossRef]
- King, S.R.; Davis, A.R.; Zhang, X.; Crosby, K. Genetics, breeding and selection of rootstocks for Solanaceae and Cucurbitaceae. Sci. Hortic. 2010, 127, 106–111. [Google Scholar] [CrossRef]
- 3Savvas, D.; Savva, A.; Ntatsi, G.; Ropokis, A.; Karapanos, I.; Krumbein, A.; Olympios, C. Effects of three commercial rootstocks on mineral nutrition, fruit yield, and quality of salinized tomato. J. Plant Nutr. Soil Sci. 2011, 174, 154–162. [Google Scholar] [CrossRef]
- 3Djidonou, D.; Simonne, A.H.; Koch, K.E.; Brecht, J.K.; Zhao, X. Nutritional quality of field-grown tomato fruit as affected by grafting with interspecific hybrid rootstocks. HortScience 2016, 51, 1618–1624. [Google Scholar] [CrossRef] [Green Version]
- 3Mohammed, S.T.M.; Humidan, M.; Boras, M.; Abdalla, O.A. Effect of grafting tomato on different rootstocks on growth and productivity under glasshouse conditions. Asian J. Agric. Res. 2009, 3, 47–54. [Google Scholar] [CrossRef] [Green Version]
- Leonardi, C.; Giuffrida, F. Variation of plant growth and macronutrient uptake in graftedtomatoes and eggplants on three different rootstocks. Eur. J. Hortic. Sci. 2006, 71, 97–101. [Google Scholar]
- Khah, E.M.; Kakava, E.; Mavromatis, A.; Chachalis, D.; Goulas, C. Effect of grafting on growth and yield of tomato (Lycopersicon esculentum Mill.) in greenhouse and open-field. J. Appl. Hortic. 2006, 8, 3–7. [Google Scholar] [CrossRef]
- Krumbein, A.; Schwarz, D. Grafting: A possibility to enhance health promoting and flavour compounds in tomato fruits of shaded plants? Sci. Hortic. 2013, 149, 97–107. [Google Scholar] [CrossRef]
- Rouphael, Y.; Schwarz, D.; Krumbein, A.; Colla, G. Impact of grafting on product quality of fruit vegetables. Sci. Hortic. 2010, 127, 172–179. [Google Scholar] [CrossRef]
- Huang, W.; Liao, S.; Lv, H.; Khaldun, A.B.M.; Wang, Y. Characterization of the growth and fruit quality of tomato grafted on a woody medicinal plant, Lycium chinense. Sci. Hortic. 2015, 197, 447–453. [Google Scholar] [CrossRef]
- Gajc-Wolska, J.; Kowalczyk, K.; Marcinkowska, M.; Radzanowska, J.; Bujalski, D. Influence of growth conditions and grafting on the yield, chemical composition and sensory quality of tomato fruit in greenhouse cultivation. J. Elem. 2015, 20, 73–81. [Google Scholar]
- Brajović, B.; Kastelec, D.; Šircelj, H.; Maršić, N.K. The effect of scion/rootstock combination and ripening stage on the composition of carotenoids and some carpometric characteristics of tomato fruit. Eur. J. Hortic. Sci. 2012, 77, 261–271. [Google Scholar]
- Barrett, C.E.; Zhao, X.; Sims, C.A.; Brecht, J.K.; Dreyer, E.Q.; Gao, Z.F. Fruit composition and sensory attributes of organic heirloom tomatoes as affected by grafting. Hortic. Technol. 2012, 22, 804–809. [Google Scholar] [CrossRef] [Green Version]
- Flores, F.B.; Sanchez-Bel, P.; Estañ, M.T.; Martinez-Rodriguez, M.M.; Moyano, E.; Morales, B.; Campos, J.F.; Garcia-Abellán, J.O.; Egea, M.I.; Fernández-Garcia, N.; et al. The effectiveness of grafting to improve tomato fruit quality. Sci. Hortic. 2010, 125, 211–217. [Google Scholar] [CrossRef]
- Martinez-Ballesta, M.C.; Alcaraz-Lopez, C.; Muries, B.; Carvajal, M. Physiological aspects of rootstock-scion interactions. Sci. Hortic. 2010, 127, 112–118. [Google Scholar] [CrossRef]
Publisher’s Note: MDPI stays neutral with regard to jurisdictional claims in published maps and institutional affiliations. |
© 2022 by the authors. Licensee MDPI, Basel, Switzerland. This article is an open access article distributed under the terms and conditions of the Creative Commons Attribution (CC BY) license (https://creativecommons.org/licenses/by/4.0/).




