Abstract
This study utilized SRAP molecular markers to analyze the genetic basis of 106 multigerm sugar beet germplasm accessions. By revealing the genetic diversity, population structure, and differentiation patterns, it aimed to tap into the germplasm potential, guide core germplasm construction and hybrid combination optimization, and ultimately design a molecular breeding route to break through bottlenecks in sugar beet genetic breeding. In total, 24 core primer combinations were screened from 546 initial primer pairs for genomic DNA amplification. The results demonstrated that each primer combination amplified an average of five alleles. Genetic parameter calculations revealed moderate variation potential. Population structure analysis divided the germplasm into four genetic groups (G1–G4), highly consistent with cluster analysis and DAPC analysis results. Its reliability was jointly confirmed by STRUCTURE convergence verification (LnP(K) standard deviation) and cluster goodness-of-fit testing (r = 0.63166, p < 0.0001). Key findings indicated that Group G4 possesses a unique genetic background, and the maximum genetic distance exists between Group G1 and the other three groups, indicating its significant genetic differentiation characteristics. Gene exchange exists between the G3 and G4 populations. Genetic variation primarily originated from within populations (93%, FST = 0.1283). Genetic distances spanned from 0.385 (between accessions 66 and 71 within a group) to 0.836 (between accessions 47 and 85 across groups). Concurrently, gene flow analysis (Nm = 3.3977) indicated moderate genetic exchange among populations. This achievement established the first SRAP marker-based genetic architecture for multigerm sugar beet germplasm resources. It provides a quantitative population genetics basis for formulating targeted strategies for germplasm resource conservation and utilization, and lays the foundation for constructing an innovation system for sugar beet germplasm resources.
1. Introduction
Sugar beet (Beta vulgaris L.), a biennial herbaceous species belonging to the Amaranthaceae family [], occupies a critical role in the global sugar economy, accounting for approximately 25% of worldwide sugar production [,]. As a major contributor to both beet sugar production and consumption, China plays a pivotal role in this sector. The primary sugar beet cultivation regions in China are concentrated north of 40° N latitude, encompassing North China, Northwest China, and Northeast China, which exhibit distinct regional agglomeration patterns. Collectively, these regions account for over 95% of the nation’s total sugar beet planting area and yield [].
As a strategically important crop with substantial economic and developmental significance, sugar beet fulfills multiple key functions within China’s agricultural framework. First, as an irreplaceable sugar crop in cold and arid northern regions, it addresses the geographical limitations of sugarcane cultivation. Second, as a high-value economic commodity [,], it supports agricultural structural transformation and enhances rural income generation in the Three-North Region, contributing to sustainable rural economic growth. Third, with advancements in bioenergy technology, its potential as a non-food energy crop has become increasingly prominent []. The multifunctional attributes of sugar beet not only ensure the stability of China’s sugar supply chain but also serve as a catalyst for agricultural industrialization and promote coordinated regional economic development.
As sugar beet is not native to China and exhibits self-incompatibility, its capacity for germplasm renewal is inherently limited. This has resulted in a severe scarcity of sugar beet germplasm resources in the country, with 99% of sugar beet seeds reliant on imports. Although over 300 local varieties and wild relatives have been conserved domestically, unclear pedigrees, complex genetic backgrounds, and insufficient systematic genetic evaluation result in low breeding utilization rates, failing to translate these resources into practical breeding applications. This lack of clarity regarding their genetic backgrounds has severely constrained breeding progress, making the precise selection of hybrid parents difficult. Moreover, prolonged overreliance on a limited number of core parental lines has led to cultivated varieties with a narrow genetic base and intensified germplasm homogenization. To address these challenges, it is imperative to conduct a comprehensive evaluation of China’s sugar beet germplasm resources—including genetic relationship analysis and diversity assessment—to establish a clear genetic foundation. This will enable breeders to conduct systematic parental selection based on genetic distance metrics, overcome the limitations of traditional phenotype-driven approaches, and avoid arbitrary hybridization strategies []. Molecular marker technology offers a robust approach to identifying genetic relationships and analyzing genetic diversity by detecting DNA-level variations. Currently, high-throughput molecular marker technologies, such as simple sequence repeat (SSR) [] and single-nucleotide polymorphism (SNP) [], have been extensively applied in genetic diversity studies and genetic relationship identification across multiple species. These advancements provide a solid foundation for establishing a molecular breeding technology system tailored to the needs of China’s sugar beet seed industry.
In this study, we employed sequence-related amplified polymorphism (SRAP), a molecular marker first developed in 2001 by Drs. Li and Quiros at the Department of Vegetable Crops, University of California, for Brassica crops []. As a PCR-based marker, SRAP utilizes a unique dual-primer design to amplify specific open reading frames (ORFs). The forward primer (17 bp) specifically targets exonic regions, while the reverse primer (18 bp) amplifies intronic regions, promoter regions, and spacers. Polymorphisms arise from variations in the lengths of introns, promoters, and spacers across individuals and species. SRAP markers are characterized by high efficiency, operational simplicity, abundant polymorphisms, and excellent reproducibility []. This technique simultaneously detects variations in both coding and non-coding regions, exhibiting high polymorphism detection rates and broad genomic coverage Additionally, its interpretability advantage stems from SRAP’s preferential amplification of open reading frames (ORFs), indicating that the detected polymorphisms are potentially functionally relevant []. Through its multilocus amplification reaction, multiple loci can be screened in a single assay, offering higher efficiency than single-locus markers such as SSR. Since its development, SRAP has been extensively applied to genetic diversity analysis, gene mapping, and marker-assisted selection across multiple crops. For instance, Liu et al. demonstrated that SRAP markers, alongside ISSR and RAPD markers, are effective for genetic diversity assessment in radish []. Wen et al. constructed fingerprinting profiles for Brassica napus using both SSR and SRAP primers, revealing that SSR markers exhibited lower specificity compared to SRAP []. SRAP exhibits particular advantages in sugar beet research. The sugar beet genome contains abundant functional gene regions, to which SRAP shows high sensitivity. Notably, the gene density in sugar beet (≈1 gene per 23.5 kb) is significantly higher than species with comparable genome sizes, such as cotton. This characteristic enables SRAP technology to more efficiently capture polymorphisms in functional gene regions than random genomic markers. SRAP also possesses genome independence (does not rely on pre-known sequences), perfectly meeting the needs of species with limited genomic resources such as sugar beet; simultaneously, targeting the highly heterozygous genetic background of sugar beet and the core objective of this study to evaluate the genetic structure and differences of resources, SRAP as a dominant marker avoids the complexity problem of allele interpretation in heterozygous populations inherent in co-dominant markers like SSR, efficiently supporting large-scale screening. In recent years, the application of SRAP technology in sugar beet genetic diversity research has achieved significant progress [,]. These findings provide key insights for the classification, evaluation, and utilization of sugar beet germplasm resources. Therefore, in-depth application of SRAP markers to study sugar beet genetic diversity and expand the research scope still holds important significance for improving the sugar beet germplasm resource evaluation system and guiding breeding practices []. Simultaneously, given the complexity of the sugar beet genome, in experiments, we optimized the design of SRAP primers and improved the methods for data analysis, which will further advance the development of molecular marker technology.
2. Materials and Methods
2.1. Plant Materials
A total of 106 multigerm sugar beet accessions were collected for this experiment. All materials, numbered consecutively from 1 to 106 using Arabic numerals, were provided by the High-Quality Sugar Beet Variety Improvement Team at Heilongjiang University. The germplasm resources were grown in Hulan District, Harbin, Heilongjiang Province. According to the optimal sampling strategy, 20 plants were collected per sample group, their leaves were equally mixed for a single DNA extraction, and they were immediately placed in an ice box for preservation upon sampling. After arrival at the laboratory, they were transferred to a −80 °C ultra-low temperature freezer for long-term storage.
2.2. Extraction of DNA
Genomic DNA was extracted from beet samples using the CTAB method []: Ground samples were mixed with 1000 μL CTAB buffer (Solarbio Biotechnology Co., Ltd., Beijing, China). After incubation in a metal bath (Chuangbo Biotechnology Co., Ltd., Shanghai, China) at 65 °C for 1 h and cooling (<15 °C), 500 μL chloroform/isoamyl. (Xinbote Chemical Co., Ltd., Tianjing, China) alcohol was added. The mixture was centrifuged using a high-speed centrifuge (Yingtai Instrument Co., Ltd., Changsha, China) at 12,000 rpm for 10 min, and 700 μL supernatant was mixed with 700 μL isopropanol (Tianli Chemical Reagent Co., Ltd., Tianjin, China).
After 30 min at 4 °C, centrifugation was repeated using a high-speed centrifuge. The pellet was washed with 150 μL ethanol (Tianli Chemical Reagent Co., Ltd., Tianjin, China), air-dried, and dissolved in 100 μL TE buffer (Solarbio Biotechnology Co., Ltd., Beijing, China). DNA concentration was measured using NanoDrop™ (Thermo Fisher Scientific Technology Company, Waltham, MA, USA). The stock solution was diluted to 10 ng/μL (stored at 4 °C); the remaining samples were stored at −20 °C.
2.3. Primers
In total, 24 core primer pairs, preselected from 546 SRAP primer combinations through preliminary screening (Table 1), were employed in this experiment. All primer sequences were derived from the published literature [] and synthesized by Sangon Biotech (Shanghai, China) Co., Ltd.

Table 1.
Names and sequences of individual primers in SRAP primer pairs.
2.4. PCR Amplification Reaction System and Procedure
The PCR amplification system was 5 µL of total system, including 2.5 µL of 2× Taq PCR Master Mix (BioTeke Corporation, Wuxi, China), 0.2 µL of each of the upstream and downstream primers (each at a concentration of 10 pmol/L), 1.1 µL of ddH2O, and 1 µL of sugar beet genomic DNA template.
The Touchdown program was used for primers []: pre-denaturation at 95 °C for 3 min, denaturation at 94 °C for 15 s, annealing at 65 °C for 15 s (with subsequent cycling from 60 °C to 51 °C every 1 °C for 2 times until 51 °C), extension at 72 °C for 30 s, denaturation at 94 °C for 15 s, annealing at 55 °C for 15 s, extension at 72 °C for 30 s, cycling 25 times, and extension at 72 °C for 5 min.
2.5. Detection by 8% Polyacrylamide Gel Electrophoresis
SRAP amplification products were separated by electrophoresis on 8% polyacrylamide gels at 180 V for 90 min, with co-electrophoresis of a 50 bp DNA Ladder (Tiangen Biochemical Technology Co., Ltd., Beijing, China) as the molecular size standard. Following electrophoresis, the gel was stained by immersion in G-Red nucleic acid staining solution (Baitaike Biotechnology Co., Ltd., Wuxi, China) for 10 min. DNA bands were visualized and photographed under UV illumination using a gel imaging system (Bio-Gene Technology Ltd., Shanghai, China).
2.6. Data Analysis
The 106 germplasm resources were amplified using the screened core SRAP primer pairs, followed by analysis with non-denaturing polyacrylamide gel electrophoresis. Electrophoresis results were scored using a binary system (0/1), where bands at the same locus were recorded as “1” (presence) or “0” (absence), generating a binary data matrix. Genetic analyses were conducted based on the resulting (0/1) matrix. Genetic diversity parameters, including the observed number of alleles (Na), effective number of alleles (Ne), Shannon’s information index (I), and Nei’s gene diversity (H), were calculated using PopGene32 1.32 software []. The polymorphic band percentage was calculated using the formula. Genetic distances among germplasm accessions were computed with MEGA 7.0 software []. Subsequent cluster analysis was performed using the Unweighted Pair Group Method with Arithmetic Mean (UPGMA), constructing a phylogenetic tree to delineate genetic relationships among the germplasm resources. Chiplot was applied to refine the visualization of clustering dendrograms. Cophenetic Correlation Coefficient analysis was performed using Ntsys-pc software (version 2.1; Exeter Software, Setauket, NY, USA). Population structure analysis was conducted on the 106 germplasm accessions using STRUCTURE 2.3.4 []. During the analysis, simulation parameters were set as follows: a burn-in period length of 10,000 iterations and 100,000 Markov Chain Monte Carlo (MCMC) replicates post-burn-in. The assumed number of subpopulations (K) was tested across a range of 1–10, with 20 independent runs performed for each K value. The analysis results from the STRUCTURE 2.3.4 software runs were processed using the StructureSelector [] tool (https://lmme.ac.cn/StructureSelector/FAQ.html, accessed on 16 March 2025) to calculate LnP(K) and ΔK (delta K) values, which were used to determine the optimal K–value and evaluate the convergence of the results. CLUMPAK (http://clumpak.tau.ac.il/, accessed on 21 April 2025) was employed to visualize the population structure analysis results []. Discriminant analysis of principal components (DAPC) was conducted on binary-encoded genetic markers (0/1 data) employing the adegenet v2.1.10 package. Finally, molecular variance analysis (AMOVA) was performed using GenAIEx 6.5 [] to calculate gene flow (Nm), genetic differentiation coefficient (Fst), and evaluate population genetic structure, as well as inter-sample similarities and divergences.
3. Results
3.1. Analysis of the Genetic Diversity of Sugar Beet Germplasm Resources
The genomic DNAs of 106 sugar beet multigerm germplasm accessions were amplified using 24 core primer pairs (Table 1) to assess their genetic diversity and population structure.
The genomic DNA amplification of the 24 primer pairs detected 127 alleles in total (Table 2), with the number of amplified alleles per primer combination ranging from 3 (ME23–EM10) to 7 (ME16–EM19), yielding a mean of 5 alleles per primer pair. The effective number of alleles (Ne) ranged from 1.2274 (ME2–EM13) to 1.6093 (ME4–EM3), with a mean value of 1.4256 (standard deviation = 0.114757178, coefficient of variation = 8.05%). Shannon’s information index (I) varied between 0.2381 (ME2–EM13) and 0.5030 (ME4–EM3), averaging 0.3772 (standard deviation = 0.08496956, coefficient of variation = 22.54%). Nei’s gene diversity (H) spanned from 0.1493 (ME2–EM13) to 0.4134 (ME9–EM2), with a mean of 0.2614 (standard deviation = 0.06821607, coefficient of variation = 26.09%). The number of observed alleles (Na) showed a standard deviation of 0.135270495 and a coefficient of variation of 7.73%. Percentage of polymorphic loci (PPB) of the primers ranged from 18.49% (ME2–EM13) to 55.97% (ME23–EM10), exhibiting an average value of 36.56% (Table 2).

Table 2.
Genetic diversity of 106 sugar beet germplasm resources using 24 SRAP primer pairs.
3.2. Cluster Analysis and Genetic Distance
Based on the PCR amplification results, the genetic distances among the 106 sugar beet germplasm accessions were calculated using MEGA 7.0. The minimum genetic distance (0.385) was observed between accessions 66 and 71, indicating their high genetic similarity, minimal divergence, and close phylogenetic relationship. Conversely, the maximum genetic distance (0.836) occurred between accessions 47 and 85, reflecting the greatest genetic divergence and lowest similarity among all tested materials. Cluster analysis was conducted using the Unweighted Pair Group Method with Arithmetic Mean (UPGMA) based on the genetic distance matrix of the 106 germplasm accessions, constructing a phylogenetic tree (Figure 1). At a genetic distance of 0.065, the 106 samples were divided into four distinct groups (G1–G4), all exhibiting significant genetic differentiation and distinct genetic distances between the groups. G1 comprised three sugar beet germplasms showing substantial intra-group genetic distance and pronounced differentiation. G2 contained 42 germplasms, G3 consisted of 7 germplasms, while G4—the largest group—included 54 germplasms. The clustering dendrogram was visually enhanced using Chiplot. To validate the goodness-of-fit between the dendrogram and the original data, a cophenetic correlation coefficient analysis was further performed. The resulting coefficient (r = 0.63166, p < 0.0001) demonstrated a significantly high goodness-of-fit, indicating that the dendrogram effectively preserves the information contained in the original data and confirming that the observed correlation between the dendrogram and the distance matrix is highly unlikely to be attributable to random chance (Figure 2).

Figure 1.
UPGMA clustering results of 106 sugar beet accessions.

Figure 2.
Cophenetic correlation coefficient.
3.3. Population Structure Analysis
Population structure analysis was performed using the STRUCTURE software combined with 24 pairs of SRAP primers on the 106 sugar beet germplasm accessions to determine population classification and individual assignments. The results showed that the ΔK value peaked at K = 4 (Figure 3), indicating optimal subdivision of these accessions into four distinct genetic groups. This population structure classification was highly consistent with the groupings obtained from UPGMA cluster analysis. Analysis of the LnP(K) curve revealed minimal standard error bars across the 20 replicate runs at K = 4 (Figure 4), demonstrating good repeatability and robust results. The STRUCTURE bar plot (Figure 5) further illustrated distinct ancestral compositions: Groups G1, G2, and G3 were predominantly composed of the “blue” ancestral component (highest proportion), with minor proportions of “orange” and “purple” components, while Group G4 was primarily dominated by the “orange” ancestral component. This significant divergence in ancestral composition indicates that G4 possesses a unique genetic background that is distinctly different from the other three groups.

Figure 3.
The peak ΔK value occurred at K = 4, indicating the optimal number of genetic clusters.

Figure 4.
Mean LnP(K) curve.

Figure 5.
Population genetic structure of 106 sugar beet accessions at K = 4 (sorted by Q-value).
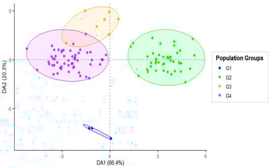
3.4. Discriminant Analysis of Principal Components (DAPC)
Discriminant analysis of principal components (DAPC) was performed using the adegenet package. The first discriminant axis (DA1) accounted for 66.4% of genetic variation, while the second axis (DA2) explained 20.3%. Clear separation was observed among the four clusters, with G1 exhibiting the greatest distance from other clusters, confirming its significant genetic divergence and distant relationship to other groups. Partial overlap between G3 and G4 was detected, likely resulting from gene flow or shared ancestry between these clusters (Figure 6).

Figure 6.
Discriminant analysis of principal components of 106 sugar beet germplasm resources.
3.5. Analysis of Molecular Variance (AMOVA)
Genetic structure analysis based on SRAP molecular markers revealed distinct hierarchical distribution characteristics in the 106 sugar beet germplasm resources. The AMOVA results demonstrated that 7% of the genetic variation was attributed to differences among populations, while 93% originated from variation among individuals within populations (Table 3). This distribution pattern was consistent with the trend indicated by the genetic differentiation coefficient (Table 4). These findings collectively suggest that the genetic diversity in these sugar beet germplasm resources primarily derives from genetic differences among individuals within populations. Gene flow (Nm) analysis revealed moderate genetic exchange among populations (Nm = 3.3977). This intermediate gene flow level (1 < Nm < 4) effectively prevents excessive population differentiation caused by genetic drift while maintaining essential genetic divergence between populations []. Such an equilibrium facilitates the long-term conservation and sustainable utilization of germplasm resources. The observed Nm value significantly exceeded the genetic drift threshold (Nm > 1), demonstrating that the current gene flow intensity is sufficient to counteract population differentiation induced by genetic drift, thereby preserving genetic continuity across populations.

Table 3.
AMOVA results of 106 sugar beet germplasm resources based on 24 SRAP primer combinations.

Table 4.
Nei’s analysis of genetic diversity in sugar beet germplasm resources based on SRAP molecular markers.
4. Discussion
This study analyzed 106 sugar beet germplasm accessions using SRAP markers, revealing a moderate-to-high level of genetic diversity (Nei’s H = 0.26). This value is significantly higher than the median benchmark for cultivated varieties but lower than that of wild relatives, indicating that the population retains genetic variation potential above the moderate threshold (H > 0.25) while still being constrained by artificial selection bottlenecks in modern breeding (H < 0.30). The key advantage of selecting SRAP markers lies in their ability to efficiently develop polymorphic loci without prior genomic information, demonstrating significant applicability for crops like sugar beet that lack comprehensive molecular toolkits. The polymorphic band percentage of 35.56% in this study confirms their effectiveness in revealing partial genetic variation in the sugar beet genome. This is particularly advantageous compared to the development bottlenecks of sugar beet SSR markers, as evidenced by Li et al.’s screening of 247 pairs of primers designed based on whole-genome coding sequences, where the vast majority showed poor or no polymorphism []. SRAP thus offers superior cost-effectiveness and operational feasibility.
The distribution of genetic variation exhibits characteristics typical of an obligatory outcrossing species: AMOVA showed that 93.12% of the variation originates within populations, with weak differentiation among subpopulations (FST = 0.1283). This pattern is driven by sugar beet’s obligate outcrossing nature (promoting gene recombination) and artificial hybrid breeding practices (weakening genetic isolation). Gene flow analysis (Nm = 3.3977) further confirmed moderate gene exchange, which suppresses genetic drift and maintains genetic continuity among populations. The number of alleles within the population is stable (Na and Ne CV < 8.05%), but the uneven distribution of genetic diversity (H and I CV > 22.54%) highlights subpopulation-specific differences. Through the integrated validation of STRUCTURE, UPGMA clustering, and AMOVA, the germplasm was objectively classified into four genetic groups (G1–G4), providing a reliable basis for parental selection. Although SRAP markers demonstrated practical value in resolving the sugar beet genetic structure (evidenced by the 35.56% polymorphic band rate), methodological limitations persist: As dominant markers, they cannot distinguish homozygous/heterozygous genotypes, leading to biased allele frequency estimates. The precision of population genetic parameters remains lower than that achievable with co-dominant markers. While the 35.56% polymorphism rate is within a usable range, it is significantly lower than the genomic coverage offered by high-throughput SNP techniques. AMOVA using pooled samples might underestimate within-population variation; however, the core conclusion—dominance of within-population variation—is supported by the general rule for outcrossing species (>85%) and consistency with independent structure analysis (K = 4 aligning with the FST value). Given that single-marker systems struggle to comprehensively capture genomic variation [] and considering the inherent limitations in sugar beet SSR marker development (low polymorphism rate), the use of SRAP in this study was pragmatically justified. Future research should integrate multi-target markers (e.g., RSAP, DAMD, and SCoT) combined with GBS (genotyping-by-sequencing) high-throughput SNP genotyping technology to construct a more comprehensive genetic assessment system. This study not only lays a theoretical foundation for sugar beet germplasm innovation and targeted breeding but also, through the successful application of SRAP markers, provides a feasible analytical approach for genetic studies of crops with limited genomic resources, thereby advancing precision breeding.
5. Conclusions
This study employed the SRAP molecular marker to analyze the genetic diversity of 106 multigerm sugar beet germplasm resources. We screened 24 core primer combinations from 546 initial primer pairs for genomic DNA amplification. The results showed that a total of 127 alleles were amplified, with the number of alleles amplified per primer combination ranging from 3 to 7, and an average of 5 alleles amplified per primer pair. The calculation results for genetic diversity parameters were as follows: The average number of effective alleles (Ne) was 1.4256 (coefficient of variation 8.05%). The average Shannon’s information index (I) was 0.3772 (coefficient of variation 22.54%). The average Nei’s gene diversity index (H) was 0.2614 (coefficient of variation 26.09%). The germplasm was divided into four main groups (G1–G4) through population structure (STRUCTURE) and cluster analysis. This division was verified to achieve convergence by the standard deviation of the LnP(K) value, and the cluster tree significantly matched the genetic data (co-phenetic correlation coefficient r = 0.63166, p < 0.0001). Genetic distance analysis indicated that the genetic distance between accessions ranged from 0.385 (minimum within-group: accessions 66 and 71) to 0.836 (maximum between-group: accessions 47 and 85). The population structure analysis results also revealed that Group G4 possesses a unique genetic background that is distinctly different from the other three groups. The results obtained from DAPC analysis highly coincided with those from cluster analysis and population structure analysis, further confirming the significant genetic differentiation characteristics of Group G1; partial overlapping regions existed between Groups G3 and G4, which may be due to gene flow or shared ancestry between these two cluster groups. Genetic structure analysis based on SRAP markers indicated that the genetic diversity of the 106 sugar beet germplasm resources mainly originates from variation within populations (AMOVA results showed that within-population variation accounted for 93%, while among-population variation accounted for only 7%; FST = 0.1283). Simultaneously, gene flow analysis (Nm = 3.3977) indicated moderate genetic exchange among populations. The above results enrich the molecular genetic data in the sugar beet germplasm resource bank and can serve as a basis for subsequent selection of hybrid parents and construction of a core collection of sugar beet germplasm.
Author Contributions
Conceptualization, Y.S. and Z.W.; methodology, Z.W.; software, Y.S.; validation, Y.S., S.L., Z.P. and Z.W.; formal analysis, Y.S.; investigation, Y.S.; resources, S.L., Z.P., J.L. and Z.W.; data curation, Y.S. and Z.W.; writing—original draft preparation, Y.S.; writing—review and editing, S.L., Z.P., J.L. and Z.W.; visualization, Y.S.; supervision, Z.W.; project administration, Z.W.; funding acquisition, Z.W. All authors have read and agreed to the published version of the manuscript.
Funding
This research was supported by the National Sugar Industry Modern Agricultural Industry Technology System earmarked fund for CARS-17.
Data Availability Statement
The raw data supporting the conclusions of this article will be made available by the authors on request.
Conflicts of Interest
The authors declare no conflicts of interest.
References
- Kuroda, Y.; Kuranouchi, T.; Okazaki, K. Biennial sugar beets capable of flowering without vernalization treatment. Genet. Resour. Crop Evol. 2024, 71, 2823–2834. [Google Scholar] [CrossRef]
- Li, J.Q.; Schulz, B.; Stich, B. Population structure and genetic diversity in elite sugar beet germplasm investigated with SSR markers. Euphytica 2010, 175, 35–42. [Google Scholar] [CrossRef]
- Galewski, P.; McGrath, J.M. Genetic diversity among cultivated beets (Beta vulgaris) assessed via population-based whole genome sequences. BMC Genom. 2020, 21, 189. [Google Scholar] [CrossRef]
- Sun, B.W.; Li, S.N.; Pi, Z.; Wu, Z.D.; Wang, R.H. Assessment of genetic diversity and population structure of exotic sugar beet (Beta vulgaris L.) varieties using three molecular markers. Plants 2024, 13, 2954. [Google Scholar] [CrossRef]
- Kniss, A.R.; Wilson, R.G.; Martin, A.R.; Burgener, P.A.; Feuz, D.M. Economic evaluation of glyphosate-resistant and conventional sugar beet. Weed Technol. 2004, 18, 388–396. [Google Scholar] [CrossRef]
- Dimitrijević, A.; Gavrilović, M.; Ivanović, S.; Mileusnić, Z.; Miodragović, R.; Todorović, S. Energy use and economic analysis of fertilizer use in wheat and sugar beet production in Serbia. Energies 2020, 13, 2361. [Google Scholar] [CrossRef]
- Francesca, D.M.; Michele, B. Plastid transformation in sugar beet: An important industrial crop. Methods Mol. Biol. 2021, 2317, 283–290. [Google Scholar] [CrossRef]
- Rajan, N.; Debnath, S.; Perveen, K.; Khan, F.; Pandey, B.; Srivastava, A.; Khanam, M.N. Optimizing hybrid vigor: A comprehensive analysis of genetic distance and heterosis in eggplant landraces. Front. Plant Sci. 2023, 14, 1238870. [Google Scholar] [CrossRef] [PubMed]
- Polat, Y.; Karcı, H.; Çelik, F.; Kafkas, S.; Kafkas, N.E. SSR markers-based molecular characterization and genetic diversity in pomegranate (Punica granatum L.) genotypes. Genet. Resour. Crop Evol. 2025, 72, 7269–7282. [Google Scholar] [CrossRef]
- Ravi, S.; Hassani, M.; Heidari, B.; Deb, S.; Orsini, E.; Li, J.; Richards, C.M. Development of an SNP assay for marker-assisted selection ofsSoil-borne rhizoctonia solani AG-2-2-IIIB resistance in sugar beet. Biology 2021, 11, 49. [Google Scholar] [CrossRef] [PubMed]
- Li, G.; Quiros, C.F. Sequence-related amplified polymorphism (SRAP), a new marker system based on a simple PCR reaction: Its application to mapping and gene tagging in Brassica. TAG Theor. Appl. Genet. 2001, 103, 455–461. [Google Scholar] [CrossRef]
- Abdelhamid, A.E.; Kamal, F.A.; Ibrahim, A.I.; Amany, M.M.; Inas, Z.; Osama, A.E. Efficiency of sequence related amplified polymorphism (SRAP) and target region amplified polymorphism (TRAP) markers in detecting banana somaclonal variants. Afr. J. Biotechnol. 2017, 16, 879–888. [Google Scholar] [CrossRef]
- Robarts, D.W.; Wolfe, A.D. Sequence-related amplified polymorphism (SRAP) markers: A potential resource for studies in plant molecular biology. Appl. Plant Sci. 2014, 2, 1400017. [Google Scholar] [CrossRef]
- Liu, L.; Zhao, L.; Gong, Y.Q.; Wang, M.X.; Chen, L.M.; Yang, J.L.; Wang, L.Z. DNA fingerprinting and genetic diversity analysis of late-bolting radish cultivars with RAPD, ISSR and SRAP markers. Sci. Hortic. 2007, 116, 240–247. [Google Scholar] [CrossRef]
- Wen, Y.C.; Wang, H.Z.; Shen, J.X.; Liu, G.H. Comparison of fingerprinting in Brassica napus varieties based on SRAP and SSR markers. J. Oil Crop Sci. 2006, 28, 233–239. [Google Scholar]
- Abdelhameed, A.A.; Amer, M.W.; Shaye, A.A.N.; Hassan, M.O. Assessing the Diversity of Beta vulgaris L. ssp. maritima (Sea Beet) Populations in Egypt. Plants 2024, 13, 3152. [Google Scholar] [CrossRef] [PubMed]
- Nagl, N.; Weiland, J.; Lewellen, R. Detection of DNA polymorphism in sugar beet bulks by SRAP and RAPD markers. J. Biotechnol. 2007, 131, S32. [Google Scholar] [CrossRef]
- Chadded, H.; Crespan, M.; Guenni, K.; Sai-Kachout, S.; Chtourou-Ghorbel, N. Genetic diversity assessment in Tunisian Tall Fescue (Festuca arundinacea Schreb) using SRAP markers: Implications for breeding and germplasm conservation. Plant Mol. Biol. Report. 2025, 1–12. [Google Scholar] [CrossRef]
- Yan, C.; Zou, Y.; Wu, Z.D.; Xing, W.; Li, H. A method suitable for large-scale and rapid extraction of DNA from sugar beets. Sugar Crops China 2018, 40, 44–46. [Google Scholar] [CrossRef]
- Guo, Y.Z.; Huang, Q.; Ye, X.R.; Chen, Z.; Huang, Z.; Chen, H.L.; Xue, Z.Z. Genetic Diversity Analysis of Kidney Bean Germplasm Resources Based on Morphological Markers and SRAP Markers. Fujian J. Agric. Sci. 2023, 38, 166–173. [Google Scholar] [CrossRef]
- Song, Y.; Wu, Z.D. Screening of Core CBDP Primers for Sugar Beet Based on Different Programs. Sugar Crops China 2025, 47, 23–30. [Google Scholar] [CrossRef]
- Yi, Z.Z.; Zhang, S.T.; Li, M.H. Genetic diversity of Procambarus clarkii populations based on mitochondrial DNA and microsatellite markers in different areas of Guangxi, China. Mitochondrial DNA 2020, 31, 48–56. [Google Scholar] [CrossRef]
- Sudhir, K.; Glen, S.; Koichiro, T. MEGA7: Molecular Evolutionary Genetics Analysis Version 7.0 for Bigger Datasets. Mol. Biol. Evol. 2016, 33, 1870. [Google Scholar]
- Evanno, G.; Regnaut, S.; Goudet, J. Detecting the number of clusters of individuals using the software STRUCTURE: A simulation study. Mol. Ecol. 2005, 14, 2611–2620. [Google Scholar] [CrossRef]
- Li, Y.L.; Liu, J.X. Structure Selector: A web based software to select and visualize the optimal number of clusters using multiple methods. Mol. Ecol. Resour. 2018, 18, 176–177. [Google Scholar] [CrossRef]
- Kopelman, N.M.; Mayzel, J.; Jakobsson, M.; Rosenberg, N.A.; Mayrose, I. CLUMPAK: A program for identifying clustering modes and packaging population structure inferences across K. Mol. Ecol. Resour. 2015, 15, 1179–1191. [Google Scholar] [CrossRef]
- Peakall, R.; Smouse, P.E. GenAlEx 6.5: Genetic analysis in Excel. Population genetic software for teaching and research—An update. Bioinformatics 2012, 28, 2537–2539. [Google Scholar] [CrossRef]
- Lv, Z.; Guo, H. Comparison of genetic diversity analysis by RSAP, SSR and SRAP markers in potato. Genom. Appl. Biol. 2018, 37, 2544–2550. [Google Scholar]
- Li, Q.Q.; Wang, Y.Q.; Liu, R.; Liu, N.X.; Pi, Z.; Wu, Z.D. Screening and evaluation of SSR primers in sugar beet genome. Chin. Agric. Sci. Bull. 2022, 38, 95–99. [Google Scholar]
- Bahjat, M.N.; Yıldız, M.; Nadeem, A.M. Correction: Population structure, genetic diversity, and GWAS analyses with GBS-derived SNPs and silicodart markers unveil genetic potential for breeding and candidate genes for agronomic and root quality traits in an international sugar beet germplasm collection. BMC Plant Biol. 2025, 25, 672. [Google Scholar] [CrossRef]
Disclaimer/Publisher’s Note: The statements, opinions and data contained in all publications are solely those of the individual author(s) and contributor(s) and not of MDPI and/or the editor(s). MDPI and/or the editor(s) disclaim responsibility for any injury to people or property resulting from any ideas, methods, instructions or products referred to in the content. |
© 2025 by the authors. Licensee MDPI, Basel, Switzerland. This article is an open access article distributed under the terms and conditions of the Creative Commons Attribution (CC BY) license (https://creativecommons.org/licenses/by/4.0/).