Next Article in Journal
Phosphoric Acid and Magnesium Chloride Composite-Modified Biochar Improved Pakchoi Growth by Reducing Pb and Cd Accumulation and Altering Soil Properties and Microbial Communities
Next Article in Special Issue
Data-Driven Optimization of Substrate Composition for Lettuce in Soilless Cultivation
Previous Article in Journal
Effects of Potassium Supply in Nutrient Solution on Water and Nutrient Absorption of Substrate-Grown Tomato Plants
 
 
Font Type:
Arial Georgia Verdana
Font Size:
Aa Aa Aa
Line Spacing:
Column Width:
Background:
Article

Broccoli Cultivation Under Different Sources and Rates of Specialty Phosphorus Fertilizers in the Brazilian Cerrado

by
Dinamar Márcia da Silva Vieira
1,
Reginaldo de Camargo
1,
Miguel Henrique Rosa Franco
2,
Valdeci Orioli Júnior
3,
Arcângelo Loss
4,
Hamilton César de Oliveira Charlo
3,
Fausto Antônio Domingos Júnior
3 and
José Luiz Rodrigues Torres
3,*
1
Department of Agronomy, Agricultural Sciences Institute, Federal University of Uberlandia, Glória Campus, Uberlandia 38410-337, MG, Brazil
2
AGROCP Company, Uberlândia 38408-684, MG, Brazil
3
Federal Institute of Triangulo Mineiro, Uberaba Campus, 4000 São João Batista Ribeiro St., Uberaba 38064-790, MG, Brazil
4
Agricultural Sciences Center, Department of Rural Engineering, Federal University of Santa Catarina, Campus Florianópolis, Florianópolis 88035-972, SC, Brazil
*
Author to whom correspondence should be addressed.
Horticulturae 2025, 11(6), 631; https://doi.org/10.3390/horticulturae11060631
Submission received: 1 May 2025 / Revised: 26 May 2025 / Accepted: 29 May 2025 / Published: 4 June 2025

Abstract

This study aimed to evaluate the agronomic performance and yield of broccoli grown under different sources and rates of specialty phosphorus (P) fertilizers in Uberaba, Minas Gerais, Brazil. The experiment was conducted in a randomized block design arranged in a split-plot scheme, testing three P sources: (1) conventional monoammonium phosphate (CMP); (2) polymer-coated monoammonium phosphate (PCMP); and (3) organomineral fertilizer (Org). Four application rates were evaluated: 0 (no P applied), 50% (200 kg ha−1 of P2O5), 75% (300 kg ha−1 of P2O5), and 100% (400 kg ha−1 of P2O5) of the recommended phosphorus rate for broccoli, with four replications. The parameters assessed included plant nutritional status, soil fertility at harvest, number of leaves (NL), fresh head weight (FHW), dry head weight (DHW), and broccoli yield (YLD). In the first growing cycle, broccoli showed the highest NL (24), FHW (1.05 kg plant−1), DHW (0.27 kg plant−1), and YLD (18.81 Mg ha−1) values when PCMP was applied, which was 5, 25, 8 and 23% higher than Org and 20, 25, 14 and 34% higher than CMP. In the second cycle, broccoli showed higher values of NL (23), FHW (1.85 kg plant−1), DHW (0.26 kg plant−1), and YLD (33.01 Mg ha−1) where Org was applied, which was 4, 15, 8 and 5% higher than CMP and 2, 24, 4 and 14% higher than PCMP, respectively. All the variables evaluated showed the highest values at the 100% dose. Broccoli yield in the same area was 124%, 153%, and 115% higher in the second cycle compared to the first for CMP, PCMP, and Org, respectively. The greatest residual effect on soil fertility was observed in the area treated with the Org.

1. Introduction

Plants belonging to the Brassicaceae family are among the most widely consumed vegetables in Brazil, owing to their high nutritional and commercial value, as well as their adaptability to cultivation across all regions of the country [1,2]. Among brassicas, broccoli cultivation has emerged as one of the most promising, with national production and consumption increasing by approximately 63% over the past decade [3].
This exponential growth is associated with the intensive use of soil and irrigation water and the application of large amounts of highly soluble mineral fertilizers, pH-correcting agents, and agrochemicals. These practices can lead to nutrient imbalances and losses through volatilization, leaching, and adsorption [4,5]. Daily irrigation is required due to prolonged dry periods when broccoli is cultivated in the Brazilian Cerrado. This biome is characterized by weathered, acidic soils with mineralogy dominated by iron (Fe) and aluminum (Al) oxides and kaolinite. The presence of positively charged sites on the surfaces of these oxides promotes high phosphate adsorption. Consequently, nutrient losses through leaching and adsorption tend to be significant in this environment [6,7].
To minimize nutrient losses, particularly phosphorus (P), specialty fertilizers have been developed, among which organomineral fertilizers (OMFs) and polymer-coated phosphate fertilizers (PCFs) stand out. These fertilizers are designed to release nutrients in a more controlled and gradual manner, which can enhance nutrient uptake by plants and reduce overall losses [8,9,10,11,12,13].
Organomineral fertilizers (OMFs) result from the physical blending or association of mineral and organic fertilizers from various sources. The organic matter (OM) in the granules contributes to an increase in the soil’s cation exchange capacity [14,15], promoting the proliferation of soil microorganisms. These microorganisms help solubilize mineral fertilizers, enhancing the residual effect of phosphorus fertilization. This is achieved through competition between the organic acids released by microbial activity and phosphate ions for adsorption sites in the soil [6,16,17].
Polymer-coated fertilizers (PCFs) are fertilizers covered with polymer layers that reduce the initial release of nutrients through various mechanisms, aiming to extend their availability to crops and optimize plant uptake, thereby minimizing nutrient losses [8]. According to Figueiredo et al. [18], the gradual release promoted by the nutrient coating reduces its contact with Fe and Al oxides and clay minerals, thereby preventing the formation of stable compounds that would otherwise limit phosphorus availability in the soil.
The edaphoclimatic conditions for vegetable cultivation in the Cerrado, particularly those related to soil fertility, have been corrected or maintained primarily through highly soluble mineral sources [19]. Generally, fertilization recommendations for crops have been established based on studies conducted in low-fertility soils managed under conventional tillage systems [20]. Under these conditions, using slow-release specialty fertilizers has shown a potential to improve nutrient uptake efficiency, especially phosphorus [15,21,22].
In vegetable cultivation areas, fertilization with OMFs and PCFs can offer new prospects for production and improvements in soil chemical quality. However, since these are slow-release products and vegetables are short-cycle crops, their use requires further evaluation to avoid nutrient deficiencies or excesses in the plants [23,24,25].
In this context, the hypothesis tested in this study is whether special fertilizers (OMFs and PCFs) are more efficient in supplying phosphorus for broccoli production in the weathered soils of the Cerrado, when compared to traditional mineral fertilizers. Therefore, this study aimed to evaluate the agronomic performance of broccoli grown under different rates and sources of specialty phosphorus fertilizers in Uberaba, Minas Gerais, Brazil.

2. Materials and Methods

2.1. Characterization of the Experimental Area

The study was conducted in an experimental area in the municipality of Uberaba, Minas Gerais, Brazil, which is located between the geographical coordinates 19°39′19″ S and 47°57′27″ W, at an approximate altitude of 800 m, in two consecutive cycles. The first cycle took place from March to June and the second cycle from September to December 2023, in an area that had been fallow for a year, where plants from the Poaceae family predominate, and the last crop that was grown in the area was cabbage (Brassica oleracea var. capitata), also grown in the same area with a conventional management system.
The experimental area had been used for over 10 years as a pasture for Urochloa brizantha cv. Marandu, followed by two successive cropping cycles of soybean (Glycine max L.) and maize (Zea mays L.) for dry grain production in rotation. The area was then left fallow for five years, during which it was mowed occasionally, until the implementation of this experiment. At that point, soil samples were collected from the 0–20 cm layer for chemical characterization. Two disking operations were carried out: deep disking using a harrow with 18 disks (76.2 cm in diameter), followed by superficial disking with a light harrow equipped with 44 disks (60.96 cm in diameter). Finally, planting holes were prepared for transplanting the broccoli seedlings (Brassica oleracea var. italica L.).
The soil in the experimental area was classified as Typic Oxisol [26], with a medium texture and the following particle size distribution at the 0–20 cm layer: 260 g kg−1 of clay, 700 g kg−1 of sand, and 40 g kg−1 of silt. The corresponding chemical properties are presented in Table 1.
The climate of the region is classified as Aw-type, a tropical savanna with a hot climate according to the updated Koppen classification [27], characterized by hot, rainy summers and cool, dry winters. The region has an accumulated annual rainfall of 1600 mm, an average annual temperature of 22.6 °C and relative humidity of 68% [28]. During the experiment, the total rainfall was 796 mm and the average temperature was 21 °C during the first cycle (March to June 2023), and 456 mm with an average temperature of 24 °C during the second cycle (September to December 2023) (Figure 1).

2.2. Experimental Design and Treatments

The experiment was conducted in a randomized block design, arranged in a split-plot scheme with four replications. In the main plots, three phosphorus sources were evaluated: (1) conventional monoammonium phosphate (CMP) (formula 11-52-00); (2) polymer-coated monoammonium phosphate (PCMP) (formula 11-52-00); and (3) granular organomineral fertilizer (Org) (formula 05-26-00). In the subplots, four phosphorus application rates were tested: 0 (no P applied), 50% (200 kg ha−1 of P2O5), 75% (300 kg ha−1 of P2O5), and 100% (400 kg ha−1 of P2O5) of the recommended rate for broccoli, as proposed by Ribeiro et al. [29].
The granulated organomineral fertilizer (Org) used, based on filter cake, was formula 05-26-00 (N-P-K), which contained 8% total organic carbon (0.14 g dm−3 of organic matter).
The study was conducted over two consecutive cropping cycles in the same experimental area, with broccoli seedlings (Brassica oleracea var. italica L.) transplanted successively approximately 30 days after the harvest of the previous crop.
Soon after completing the harvest of the first cycle, two harrowing operations were carried out again (medium plow harrow and light harrow), to incorporate residues and level the soil in the area, followed by hoeing and the subsequent transplanting of seedlings for the second cycle.

2.3. Additional Information

2.3.1. Production, Transplanting, and Cultural Practices for Broccoli Seedlings

Single-head broccoli seedlings were grown in 128-cell polystyrene trays filled with Bioplant commercial substrate, using the seed of the hybrid broccoli cultivar Avenger from the Sakata company, which has an average cycle of 100 days, an average mass of 700 g per head, and an average yield of 20 Mg ha−1. The seedlings were produced in a greenhouse covered with plastic and enclosed sidewalls by a commercial nursery in Uberaba, Minas Gerais.
Before planting the broccoli, weed regrowth in the area following soil preparation was controlled using glyphosate (Gliz® 480 SL, 960 g ha−1 of a.i.) (São Paulo, SP, Brazil) and 2,4-D dimethylamine (Aminol® 806, 1612 g ha−1 of a.i.) (Londrina, PR, Brazil). The herbicides were applied using a Jacto sprayer mounted on a 75 HP Agrale tractor (Caxias do Sul, RS, Brazil), operating at a maximum 6 km h−1 speed. The sprayer had a 2000 L tank, delivering 200 L ha−1 spray volume.
After transplanting the seedlings, weed management was carried out through the application of fluazifop-p-butyl (Fusilade® 250 EW, 175 g ha−1 of a.i.) (São Paulo, SP, Brazil), supplemented, when necessary, by manual hoeing or mowing using a motorized handheld brush cutter to keep the area free of weeds.
Approximately 15 days after desiccation, the seedlings broccolis were transplanted to the field on 5 March 2023 (first cycle), when they had reached a height of 10 to 15 cm. The seedlings were planted in previously dug holes using manual post-hole diggers, with an approximate diameter of 0.15 m and a depth of 0.18 m at a spacing of 0.80 × 0.50 m, targeting a plant density of 25,000 plants per hectare. Harvesting began on 28 May 2023.
In the second cycle, seedling transplanting took place on 12 September 2023, using a spacing of 0.80 × 0.50 m to achieve a plant density of 25,000 plants per hectare. Harvesting began on 6 December 2023. No raised beds were constructed in the area. Each plot consisted of four, 4.0 m in length, with six plants per row, 24 plants per plot, and 1.0 m alleys between blocks. The eight central plants were considered the usable area for evaluating fresh head weight (FHW), dry head weight (DHW), and crop yield (YLD).
The plants were irrigated daily using a fixed conventional sprinkler system equipped with sectorial sprinklers with a 560 L h−1 flow rate, spaced 9 m apart. Irrigation was applied for approximately 20 to 30 min daily to maintain soil moisture near field capacity.

2.3.2. Planting, Fertilization, and Application of Top-Dressing Fertilizers

All planting and topdressing fertilization was applied directly into the planting holes, where the seedlings were subsequently transplanted. Fertilizer rates were determined based on soil chemical analysis and under the recommendations of the Soil Fertility Commission of the State of Minas Gerais [29].
The recommended rates of N, P, and K for broccoli were 150 kg ha−1 of N, 400 kg ha−1 of P2O5, and 100 kg ha−1 of K2O, based on an expected yield of 20 Mg ha−1, for the state of Minas Gerais, according to Ribeiro et al. [29]. The full rate of phosphorus was applied at planting, while nitrogen and potassium were split into four applications: 20% at planting and the remaining amounts at 20 days (20%), 40 days (30%), and 60 days (30%) after transplanting.
At the same time points as the split applications, three foliar sprays were carried out to supply boron (B), molybdenum (Mo), and cobalt (Co) at 20, 40, and 60 days after transplanting. The solution applied contained 1 g L−1 of boric acid (17% B) and 2.7 mL of Vitaphol CoMo®, a product containing 10% Mo and 2% Co. Applications were performed to ensure full leaf coverage without runoff, using a solution composed of 1 g L−1 of boric acid plus 0.5 g L−1 of ammonium molybdate [30].

2.3.3. Broccoli Harvest

Broccoli was harvested as the inflorescences reached commercial maturity when the floral buds were fully developed but still tightly closed, forming compact and firm heads. Harvesting began 85 days after transplanting the seedlings to the field.

2.4. Evaluations

2.4.1. Agronomic Attributes

Immediately after harvest, the number of leaves (NL) and fresh head weight (FHW) was determined on an analytical scale, and crop yield (YLD) was determined by quantifying the number of heads produced in the area. Part of the harvested material was taken to the laboratory, chopped into smaller pieces to facilitate drying, and placed in a forced-air circulation oven at 65 °C for 72 h or until reaching a constant weight to determine the dry head weight (DHW). The FHW and DHW results were expressed in kilograms per plant (kg plant−1) and the productivity of marketable broccoli heads in megagrams per hectare (Mg ha−1).

2.4.2. Leaf Sampling and Nutritional Status Analysis

Samples of recently matured leaves were collected at the broccoli head formation stage to analyze the nutritional status of the plants, following the methodology proposed by Martinez et al. [31].
Total nitrogen was analyzed using the Kjeldahl distillation method, phosphorus using colorimetry, and potassium using flame atomic emission spectrophotometry [14]. Calcium and magnesium were determined through atomic absorption spectrophotometry [32] and sulfur through turbidimetry [33]. The total content of each nutrient was estimated by multiplying the percentage of the nutrient in each sample by the total dry weight.

2.4.3. Soil Sampling and Chemical Analysis

After the broccoli harvest, a Dutch auger collected individual soil samples from the eight planting holes where the usable area plants had been harvested. These samples were combined to form a composite sample per plot, with four replications, collected at a depth of 15 cm to quantify the residual effect of the fertilizers used after each cropping cycle.
After soil sampling, the samples were air-dried, crushed, and sieved through a 2.0 mm mesh to obtain the air-dried fine earth fraction (ADFE), which was used for fertility analyses following the analytical methods described by Teixeira et al. [14].
Soil pH in water was determined using a 1:2.5 soil-to-solution ratio. The soil was left in contact with distilled water for one hour, after which the pH was measured using a benchtop pH meter. Exchangeable Ca2+, Mg2+, and Al3+ and potential acidity (H+ + Al) were extracted using 1 mol L−1 KCl solution and quantified through titration. Phosphorus (P) and potassium (K+) were extracted using a double-acid solution (0.05 mol L−1 HCl + 0.0125 mol L−1 H2SO4) following the Mehlich-1 method and analyzed with colorimetry (P) and flame photometry (K+), respectively, according to the methodology described by Teixeira et al. [14].

2.5. Statistical Analysis

The residual normality assumptions, variance homogeneity, and block additivity were tested using the Shapiro–Wilk and Bartlett tests, respectively. The values of the evaluated variables were subjected to an analysis of variance (ANOVA) using the F-test. Significant, quantitative factors (fertilizer rates) were further analyzed by regression using SigmaPlot software, version 2012. Means of qualitative factors (soil treatments) were grouped using the Scott–Knott test at a 5% significance level (p < 0.05).
A joint analysis of variance was performed using data from both broccoli cropping cycles. When a significant effect was observed, means were grouped using the Scott–Knott test at a 5 and 1% significance level (p < 0.05; p < 0.01) with the aid of the Agroestat software, version 2024, developed by Barbosa and Maldonado Júnior [34].

3. Results and Discussion

3.1. Agronomic, Soil, and Plant Chemical Attributes in the First Cropping Cycle

The results obtained after the first cropping cycle showed that broccoli exhibited significantly higher values (p < 0.05) for the number of leaves (NL) (24.00), fresh head weight (FHW) (1.05 kg plant−1), dry head weight (DHW) (0.27 kg plant−1), and yield (YLD) (18.01 Mg ha−1) where the polymer-coated monoammonium phosphate (PCMP) was applied when compared to 22.87, 0.84 g plant−1, 0.25 g plant−1, and 15.34 Mg ha−1 where the organomineral fertilizer (Org) was applied and to the 19.12, 0.67 g plant−1, 0.22 g plant−1, and 14.02 Mg ha−1 obtained with the conventional monoammonium phosphate (CMP). It is worth noting that the highest values for all evaluated parameters consistently occurred at the rate corresponding to 100% of the recommended fertilization for the crop (Table 2).
Phosphorus (P) is one of the macronutrients required in the smallest amounts by plants; however, it is often the most limiting factor for agricultural production under Brazilian conditions [35]. This was confirmed in the present study, as the lowest yield values were observed in the treatment with no P application (zero rate) compared to the other application rates (50%, 75%, and 100%) across all three fertilizers evaluated.
Initial soil chemical analysis showed a phosphorus (P) content of 0.7 mg dm−3, which is below the critical level for crop production of 15.1 mg dm−3 of P, according to Alvarez et al. [13]. This result explains the lower broccoli yield observed at the zero rate, as the available phosphorus was insufficient to support normal plant development.
In general, the total phosphorus content in soil ranges from 200 to 3000 mg kg−1, with less than 0.1% of this total (0.002 to 2.0 mg dm−3) present in the soil solution [36]. According to Rolim Neto et al. [37], the low availability of phosphorus (P) in tropical soils is due to its low overall content, the low solubility of the P compounds typically found in these soils, and its immobilization resulting from strong interactions with soil constituents.
Fertilization efficiency does not depend solely on the application rates or amounts applied, as phosphorus availability from soluble phosphate fertilizers is influenced by the chemical reactions that control nutrient supply to the soil solution, particularly chemical adsorption or precipitation, the pH around the fertilizer granule, and the type of precipitate that predominates [7,25].
A significant interaction between fertilizer types and application rates was analyzed through regression to determine the maximum yield and the optimal fertilizer rate. The curves showed a linear fit for the number of leaves (NL) with CMP, PCMP, and Org fertilizers, indicating that increasing the application rate led to an increase in NL to support greater plant development (Figure 2A).
Regarding fresh head weight (FHW), the regression curve showed a polynomial fit for PCMP, and using the equation of the curve, it can be calculated that MFC reached a maximum value of 1.35 kg at a rate of 376 kg ha−1 of P2O5 (94.5%). Beyond this point, FHW progressively declined. For CMP and Org, the regression curves showed a linear fit, with FHW increasing as fertilizer rates increased (Figure 2B).
The regression curve for dry head weight (DHW) showed a polynomial fit for CMP, PCMP, and Org. Maximum DHW values of 0.29, 0.32, and 0.27 kg were reached at application rates of 370, 450, and 500 kg ha−1 of P2O5, respectively, after which DHW progressively declined (Figure 2C).
For yield (YLD), the regression curve showed a linear fit for CMP and Org, with values increasing as the application rates increased. For PCMP, the curve exhibited a polynomial fit, with YLD increasing up to 21 Mg ha−1 at a rate of 93 kg ha−1 of P2O5, after which it declined with further increases in application rate (Figure 2D).
According to Figueiredo et al. [18], the potential unavailability of P under high pH conditions can affect the efficiency of polymer-coated phosphate fertilizers (PCMP) and other controlled-release formulations. However, this behavior was not observed in the present study, as the highest values for NL, FHW, DHW, and YLD (Table 1) were recorded in the areas where PCMP was applied, in contrast to the results observed with CMP and Org.
Soil chemical analysis conducted immediately after harvest showed that the experimental areas had similar pH values at planting, ranging from 5.68 to 5.76. Phosphorus (P) levels ranged from 99.49 to 108.02 mg dm−3, potassium (K) from 217.85 to 218.31 mg dm−3, calcium (Ca) from 1.62 to 1.63 cmolc dm−3, magnesium (Mg) from 0.47 to 0.49 cmolc dm−3, aluminum (Al) from 0.01 to 0.03 cmolc dm−3, and potential acidity (H + Al) from 4.17 to 4.18 cmolc dm−3. These results indicate that nutrient levels were significantly higher and more consistent in the treatments where PCMP and Org were applied, compared to CMP, which showed wider variation in P (71.62 to 201.34 mg dm−3), Ca (1.42 cmolc dm−3), Mg (0.40 cmolc dm−3), and H + Al (4.08 cmolc dm−3). The highest nutrient concentrations in the soil occurred at the 100% application rate for all three fertilizers (Table 2), following Ribeiro et al. [29].
The P, K, Ca, and Mg levels measured immediately after harvest were higher than the initial soil values of 10.3 mg dm−3 for P, 66.3 mg dm−3 for K, 0.47 cmolc dm−3 for Ca, and 0.26 cmolc dm−3 for Mg, and lower than the initial H + Al value of 1.40 cmolc dm−3 (Table 1). These results indicate that fertilization with all three fertilizers improved the chemical quality of the soil by the end of the cropping cycle.
In general, foliar analysis showed no significant differences among the fertilizers evaluated for nitrogen (N) and potassium (K). However, for phosphorus (P), the highest value was recorded with CMP at the 100% rate, which was significantly higher (p < 0.05) compared to the values observed with PCMP and Org. No significant differences were found among the fertilizer rates for N, whereas the highest K value was observed at the 100% application rate (Table 3).
In their study evaluating different phosphorus sources combined with organic compost in broccoli production, Cardoso et al. [19] observed that the addition of organic compost increased P, K, and Ca levels, as well as cation exchange capacity, base sum, and base saturation (V%). They also demonstrated that using low-solubility phosphorus sources, when combined with organic fertilization, can result in yields comparable to those obtained with highly soluble sources.
This finding confirms the efficiency of the fertilizers used in supplying nutrients for plant development and indicates that the faster release of P from CMP resulted in higher foliar concentrations of this nutrient.
Nitrogen (N) and potassium (K) are the nutrients most required by most crops and, consequently, are also the most abundant in plant tissues, often occurring at levels four to five times higher than phosphorus (P) in plant residues [35]. This was confirmed in the present study, as the amounts of N and K accumulated in broccoli residues were approximately six times higher than that of P. In their study on the uptake dynamics of macro- and micronutrients in brassicas, Alves et al. [38] found that P was the fifth most accumulated macronutrient, surpassing only sulfur (S).
Foliar analysis of broccoli at harvest during the first cropping cycle showed values ranging from 48.53 to 49.97 g kg−1 for nitrogen (N), 7.46 to 8.10 g kg−1 for phosphorus (P), and 49.61 to 51.23 g kg−1 for potassium (K) (Table 3). All of these nutrients fell within the sufficiency ranges considered adequate for plant development, which are 30 to 55 g kg−1 for N, 3 to 8 g kg−1 for P, and 25 to 50 g kg−1 for K, according to Trani and Raij [30].
One of the benefits provided by the use of organomineral fertilizers (OMFs) and polymer-coated fertilizers (PCFs) is the reduced loss of nutrients through leaching and adsorption, which generally occurs because their cation exchange capacity is typically much higher than that of clay minerals. As a result, nutrient release is slower [9]. In this study, nutrient availability appears to have been slower with PCMP, which may have influenced agronomic attributes (NL, FHW, DHW, and YLD) when compared to Org (Table 1, Figure 2), despite similar values being observed in soil (Table 2) and foliar analysis (Table 3) at harvest between the Org and PCMP treatments.

3.2. Agronomic, Soil, and Plant Chemical Attributes in the Second Cropping Cycle

In the second cropping cycle, the values for the number of leaves (NL), fresh head weight (FHW), dry head weight (DHW), and yield (YLD) were significantly higher in the treatment where the Org fertilizer was applied compared to PCMP and CMP. However, a reversal in performance was observed among the fertilizers: CMP outperformed PCMP in terms of FHW, DHW, and YLD (Table 4), in contrast to the first cropping cycle, where PCMP had shown superior results across all evaluated parameters (Table 1, Figure 2).
Regarding the application rates, no significant differences were observed in the NL across the three fertilizer rates (50%, 75%, and 100%) and in DHW at both the lower (0% and 50%) and higher (75% and 100%) rates, where values were similar. However, for FHW and YLD, the values were significantly higher at the highest application rate, showing an increasing trend as the applied rates increased (Table 4).
The positive effect of the Org fertilizer is directly related to its composition, as these products contain fulvic and humic components within their organic fractions. In general, these components enhance nutrient uptake from the product, stimulate microbial activity around the root system, improve nutrient retention and release, water retention, aeration, and soil aggregation, and contribute to residual nutrient effects in the soil [6,12,24]. Aguiar et al. [39] also emphasized that adding organic biomass (OB) through the Org fertilizer reduces phosphorus sorption in the soil, as the OB blocks phosphate adsorption sites, thereby protecting P from direct contact with soil colloids.
The PCMP can alter the hydrogenic potential (pH) of the soil, but this occurs to a lesser extent than CMP, because the polymerization that coats the fertilizer helps delay the release of nutrients, including ammonia, which can acidify the soil over time, whereas this does not occur with CMP, where the release of this ammonia into the soil occurs immediately, which will contribute to the acidification of the environment [18], while Org fertilizer, which contains organic matter, releases nutrients more slowly when decomposed and tends to have a less acidifying effect [15], which justifies the inversion that occurred in the NL, FHW, DHW, and YLD values in the second cycle, since Org fertilizer showed the best values, followed by CMP and PCMP in the second cycle.
Over time, Magela et al. [40] emphasize that there is a gradual improvement in soil fertility, with nutrient stabilization and increased yield, since in Org fertilizers, the microbial breakdown of the organic matrix leads to the gradual release of nutrients. In this study, the Org fertilizer appears to have provided some degree of residual effect in the soil for the second cropping cycle, which was not observed with PCMP.
In their study, Ferrari et al. [12] selected promising phosphate sources and formulations for phosphorus supply and observed that the combination of nutrients from organic and mineral sources in organomineral fertilizers proved effective in minimizing adsorption issues commonly found in the weathered soils of the Cerrado. They reported linear increases in soil phosphorus content over the evaluation period, both in quantity and in trend, as a result of the proposed mixtures compared to the control treatment and the application of isolated sources.
In tropical soils, acidity limits plant development, but it is known that the action of organic matter reduces its negative effects, as well as reducing the effects of aluminum toxicity in experimental or field conditions, promoting better crop performance, even under adverse conditions [9,23].
When evaluating the residual effect of phosphorus sources with and without organic compost on the production of other vegetables grown in succession to broccoli, Cardoso et al. [25] observed that fertilization with organic compost combined with phosphorus sources provided the residual effect necessary for satisfactory yields in the subsequent crops.
Aguilar et al. [10] evaluated the effect of mineral fertilizers, Org fertilizers, and growth regulators on broccoli seedling production in their study. They observed that except for the number of leaves (NL), the other agronomic parameters evaluated showed no significant differences among the treatment results from those observed in this study.
Depending on the spacing used, Melo [41] noted that broccoli yield (YLD) can range from 7 to 22 Mg ha−1, which is consistent with the total yields observed in this study across both cropping cycles. In the first cycle, total YLD ranged from 14.02 to 18.81 Mg ha−1 (Table 1), while in the second cycle, it ranged from 28.85 to 33.01 Mg ha−1, based on a planting density of 25,000 plants per hectare (Table 4).
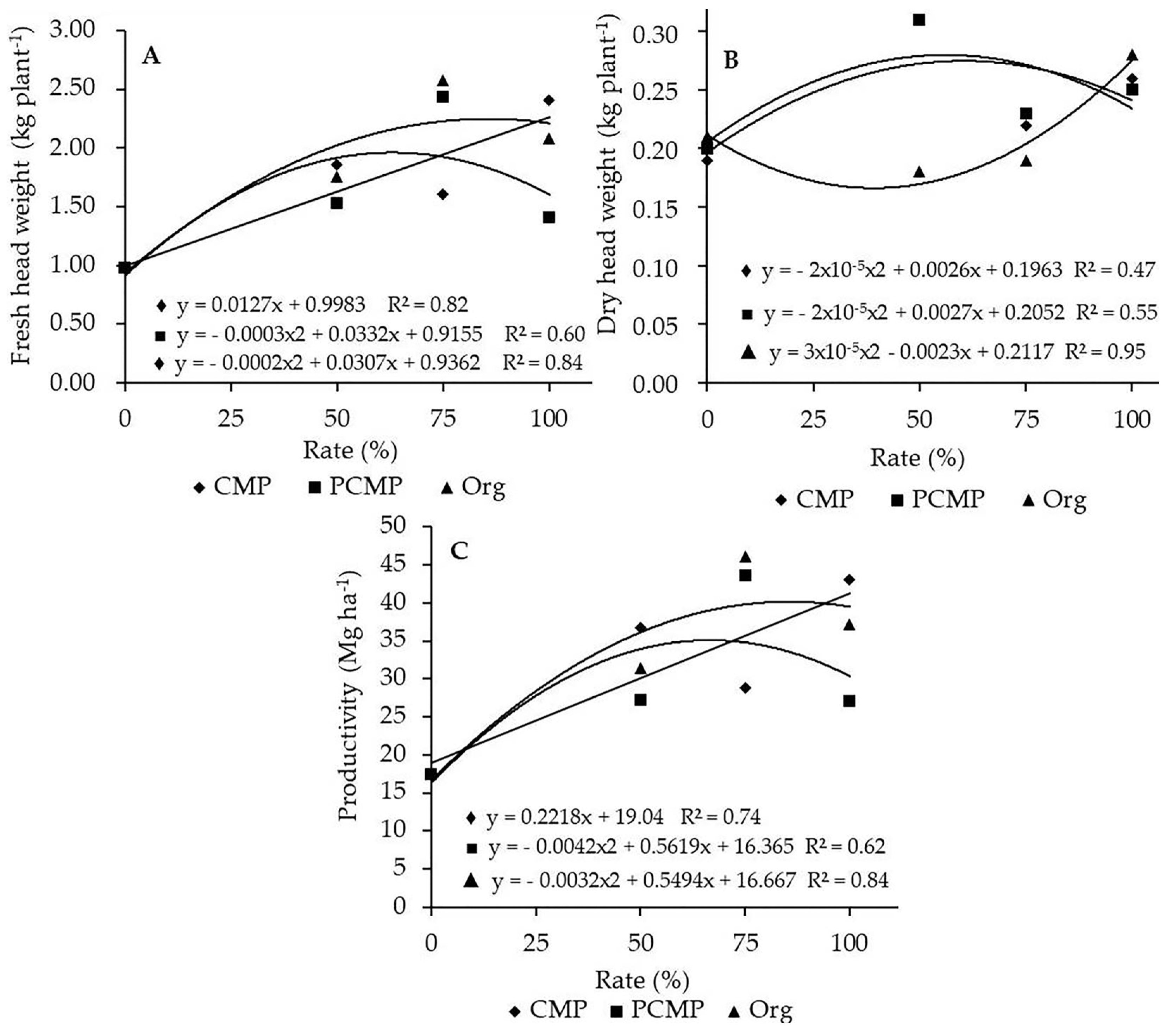
Based on the breakdown of significant interactions through regression analysis, the regression curve for fresh head weight (FHW) under CMP showed a linear fit, with FHW increasing as the fertilizer rate increased. However, this was not the case for PCMP and Org, whose regression curves showed a polynomial fit. FHW increased up to a maximum of 1.83 and 2.11 kg at application rates of 221 kg ha−1 of P2O5 (55.3%) and 307 kg ha−1 of P2O5 (76.7%), respectively, and then declined with further increases in rate (Figure 3A).
For dry head weight (DHW), the values increased with CMP and PCMP applications until reaching maximum values of 0.28 and 0.30 kg at application rates of 260 and 270 kg ha−1 of P2O5 (65.0% and 67.5%, respectively), after which they declined as the rates increased further. In contrast, the regression curve for Org showed an inverse pattern: DHW decreased until reaching a minimum of 0.17 kg at 153 kg ha−1 of P2O5 (38.3%) and then increased as the application rates continued to rise (Figure 3B).
For yield (YLD), the regression curve showed a linear fit for CMP, with YLD increasing as the application rates increased. For PCMP and Org, the curves showed a polynomial fit, with YLD increasing up to 35.2 and 40.2 Mg ha−1 at application rates of 268 kg ha−1 of P2O5 (66.9%) and 343 kg ha−1 of P2O5 (85.8%), respectively, followed by a decline as the rates continued to increase (Figure 3C).
In the second cycle, soil chemical analysis conducted immediately after harvest showed that the areas where fertilizers were applied had similar pH values, ranging from 5.56 to 5.60. The values for phosphorus (P = 105.99 mg dm−3), potassium (K = 116.68 mg dm−3), and calcium (Ca = 1.48 cmolc dm−3) were significantly higher in the Org treatment. In contrast, the values for magnesium (Mg), aluminum (Al), and potential acidity (H + Al) were similar and did not differ among CMP, PCMP, and Org treatments. The highest concentrations of nutrients in the soil were always observed at the recommended rate of 100%, according to Ribeiro et al. [29], for the three fertilizers (CMP, PCMP, and Org) (Table 5).
Soil chemical analysis also revealed improvements in soil chemical quality in the areas where CMP, PCMP, and Org fertilizers were applied, with Org standing out due to its higher P and K levels and a greater residual effect after harvest. This effect is likely related to the addition of organic matter to the soil alongside the mineral fertilizer, as demonstrated in the studies by Fernandes et al. [42], Higashikawa and Menezes Júnior [16], Silva et al. [17], and Teixeira et al. [15].
When evaluating the agronomic efficiency and phosphorus recovery of Org and CMP fertilizers in sandy and clay soils, Sá et al. [21] observed that, at the tested rates, the residual effects did not differ significantly between the phosphorus sources. However, plants showed greater agronomic efficiency when Org fertilizer was used than CMP.
Soil pH and P, Ca, Mg, and H + Al levels were similar between the first (Table 2) and second cropping cycles (Table 5). However, the available K content in the soil was 50% lower in the second cycle. This lower availability of K can be attributed to its higher susceptibility to leaching during periods of increased rainfall (Figure 2), as it is not a structural component of any organic molecule and is found primarily as a free or adsorbed cation. This makes it easily exchangeable within cells or tissues, with high intracellular mobility. Moreover, it is the most abundant cation in plant tissues and is absorbed from the soil solution in large quantities by roots in the form of K+ ions [43].
Foliar analysis of broccoli at harvest during the second cropping cycle showed values ranging from 42.55 to 48.06 g kg−1 for nitrogen (N), 6.02 to 6.59 g kg−1 for phosphorus (P), and 42.63 to 45.07 g kg−1 for potassium (K) (Table 6). All values fall within the sufficiency range for the crop, considered adequate for plant development: 30 to 55 g kg−1 for N, 3 to 8 g kg−1 for P, and 25 to 50 g kg−1 for K, according to [30].
The highest foliar P content was observed with the Org fertilizer, while no significant differences were found among the 50% (6.40 g kg−1), 75% (6.73 g kg−1), and 100% (7.39 g kg−1) application rates, which were statistically equal and higher than the value observed at the zero rate (4.59 g kg−1). These results confirm the importance of phosphate fertilizer application in this study and demonstrate its residual effect in the soil at harvest time.
In general, nitrogen (N) is the nutrient most required by most crops and, consequently, is also the most abundant in plant tissues. In the Org fertilizer, this N is retained in the organic matrix and gradually released into the soil. However, for this organic N to become available to plants, soil microorganisms must first mineralize the organic matter. These microorganisms use N as an energy source and carbon (C) from plant residues to build their own biomass, meaning that only the excess N is released into the soil and made available to plants for growth and production [44]. In this study, this release of N appears to have occurred naturally, as described by those authors, since the soil N content was within the sufficiency range (30 to 55 g kg−1) for optimal plant development.

3.3. Joint Analysis of Data from the Two Cycles

This residual effect was more evident in the soil where the Org fertilizer was applied, as shown by the joint analysis of the data. There was an improvement in soil chemical quality in this area during the second cropping cycle, where the highest values for NL, FHW, DHW, and YLD of broccoli were observed. This may be explained by the presence of organic matter combined with mineral fertilizer, which promotes slow nutrient release and reduces losses through leaching and adsorption.
According to Kiehl [45], the addition of organic material provided by the Org fertilizer enhances the residual effect of phosphorus fertilization through the gradual release of the nutrient into the soil. Fernandes et al. [42] emphasized that this increase in residual soil P occurs due to competition for adsorption sites between phosphate ions and the organic acids generated during the mineralization of the organic biomass added to the soil.
Analyzing broccoli production in response to different N and K rates applied via fertigation, with all P applied at planting, Silva et al. [46] observed a linear increase in dry head weight (DHW) with increasing N rates, ranging from 19 to 28 g plant−1. However, these values are lower than those obtained in the present study, which range from 32 to 81 g plant−1.
The potassium (K) requirements for optimal plant growth range from 25 to 50 g kg−1 of the dry mass of vegetative plant parts. However, plants have the ability to absorb more K than they actually need—a phenomenon commonly referred to as the luxury consumption of potassium [47].
In evaluating the nutrient uptake of brassicas, Silva et al. [48] observed that macronutrient absorption followed the decreasing order of export: K > N > Ca > P > S > Mg, with the highest uptake rates occurring during the final 10 days of the crop cycle. Aquino et al. [49] and Correa et al. [50], in turn, reported the following sequences: K > N > Ca > S > P > Mg and K > N > S > Ca > P > Mg, respectively.

4. Conclusions

The polymer-coated monoammonium phosphate (PCMP) and granular organomineral (Org) fertilizers used as phosphorus sources resulted in the highest fresh and dry head weights and yield at the 100% rate (400 kg ha−1 of P2O5).
In the first growing cycle, broccoli showed the highest values for leaf number (NL) (24), fresh head mass (FHW) (1.05 kg plant−1), dry head mass (DHW) (0.27 kg plant−1), and productivity (YLD) (18.81 Mg ha−1) when PCMP was applied, which were 5, 25, 8, and 23% higher than Org and 20, 25, 14, and 34% higher than conventional monoammonium phosphate (CMP). In the second cycle, broccoli showed higher values of NL (23), FHW (1.85 kg plant−1), DHW (0.26 kg plant−1), and YLD (33.01 Mg ha−1) where Org was applied, which were 4, 15, 8, and 5% higher than CMP and 2, 24, 4, and 14% higher than PCMP, respectively.
Broccoli yield in the same area was 124%, 153%, and 115% higher in the second cropping cycle compared to the first cycle for the CMP, PCMP, and Org fertilizers, respectively.
The greatest residual effect in the soil was observed in the area where the Org fertilizer was applied.

Author Contributions

Conceptualization, M.H.R.F., R.d.C., J.L.R.T. and D.M.d.S.V.; methodology, M.H.R.F., R.d.C., V.O.J., H.C.d.O.C. and J.L.R.T.; software, J.L.R.T., A.L., F.A.D.J. and D.M.d.S.V.; validation, M.H.R.F., R.d.C., J.L.R.T. and H.C.d.O.C.; formal analysis, R.d.C., J.L.R.T. and A.L.; research, D.M.d.S.V. and J.L.R.T.; resources, M.H.R.F. and R.d.C.; data curation, R.d.C., J.L.R.T. and A.L.; writing/preparation of original draft, D.M.d.S.V., J.L.R.T. and R.d.C.; writing/revising and editing, D.M.d.S.V., J.L.R.T., R.d.C., V.O.J., F.A.D.J. and A.L.; visualization, D.M.d.S.V. and J.L.R.T.; supervision, M.H.R.F., R.d.C. and J.L.R.T.; project administration, R.d.C. and J.L.R.T.; acquisition of funding, M.H.R.F. and R.d.C. All authors have read and agreed to the published version of the manuscript.

Funding

This research was partially funded by the AgroCP Company of Uberlândia, MG, Brazil, which supplied the fertilizers evaluated and paid for the chemical analyses of the soil and plant, by the Food Analysis Laboratory of the Federal Institute of the Triângulo Mineiro Campus Uberaba, which carried out physical-chemical analyses on the harvested broccoli, by the National Council for Scientific and Technological Development (CNPq), through process number 306151/2020-0, which provided a research productivity grant to one of the researchers involved in the project (JLRT) and by the Minas Gerais State Research Support Foundation (FAPEMIG), through a grant awarded to the first author, a PhD student in the Postgraduate Program in Agronomy at the Agrarian Science Institute of the Federal University of Uberlândia, MG, Brazil.

Data Availability Statement

The original data presented in the study will be openly available at https://repositorio.ufu.br, as soon as the doctoral thesis is defended in the Postgraduate Program in Agronomy.

Acknowledgments

The authors would like to acknowledge the financial support provided by CNPq (process 306151/2020-0) and to thank FAPEMIG for the PhD scholarship awarded to the first author, the AgroCP Company of Uberlândia, MG, Brazil, for partially funding the project, and the Federal Institute of the Triângulo Mineiro Campus Uberaba for making its infrastructure available to conduct the project.

Conflicts of Interest

The author Miguel Henrique Rosa Franco was employed by the company AGROCP Company. The remaining authors declare that the research was conducted in the absence of any commercial or financial relationships that could be construed as a potential conflict of interest.

References

  1. Torres, J.L.R.; Gomes, F.R.C.; Barreto, A.C.; Tamburús, A.Y.; Vieira, D.M.S.; Souza, Z.M.; Mazetto Júnior, J.C. Application of different cover crops and mineral fertilizer doses for no-till cultivation of broccoli cauliflower and cabbage. Aust. J. Crop Sci. 2017, 11, 1339–1345. [Google Scholar] [CrossRef]
  2. Syed, R.U.; Moni, S.S.; Break, M.K.B.; Khojali, W.M.A.; Jafar, M.; Alshammari, M.D.; Abdelsalam, K.; Taymour, S.; Alreshidi, K.S.M.; Taha, M.M.E.; et al. Broccoli: A multi-faceted vegetable for health: An in-depth review of its nutritional attributes, antimicrobial abilities, and anti-inflammatory properties. Antibiotics 2023, 12, 1157. [Google Scholar] [CrossRef]
  3. Santos, C.A.; Cruz, L.C.C.D.; Carmo, M.G.F. Anuário HF 2024. Brócolis: Mercado segue aquecido. Campo Neg. 2024, 1, 1–3. [Google Scholar]
  4. Fayad, J.A.; Arl, V.; Comin, J.J.; Mafra, A.L.; Marchesi, D.R. Sistema de Plantio Direto de Hortaliças: Método de Transição Para um Novo Modo de Produção, 1st ed.; Expressão Popular: São Paulo, Brazil, 2019; p. 432. [Google Scholar]
  5. Torres, J.L.R.; Gomes, F.R.C.; Barreto, A.C.; Orioli Júnior, V.; França, G.D.; Lemes, E.M. Nutrient cycling of different plant residues and fertilizer doses in broccoli cultivation. Hortic. Bras. 2021, 38, 11–19. [Google Scholar] [CrossRef]
  6. Vieira, D.M.S.; Torres, J.L.R.; Camargo, R.; Silva, A.A.; Lana, R.M.Q.; Charlo, H.C.O.; Lemes, E.M.; Carvalho, E.R. Residual effects of phosphorus and micronutrients in vegetable growing areas under different organomineral fertilizer doses. Horticulturae 2023, 9, 761. [Google Scholar] [CrossRef]
  7. Torres, J.L.R.; Almeida, D.D.A.; Pereira, M.G.; Guardieiro, L.V.F.; Loss, A.; Lourenzi, C.R.; Gonzalez, A.P.; Carvalho, M.; Vieira, D.M.S. Phosphorus Fractionations and Availability in Areas under Different Management Systems in the Cerrado. Agronomy 2023, 13, 966. [Google Scholar] [CrossRef]
  8. Almeida, T.; Pocojeski, E.; Nesi, C.N.; Oliveira, J.P.M.; Silva, L.S. Eficiência de fertilizante fosfatado protegido na cultura do milho. Sci. Agrar. 2016, 17, 29–35. [Google Scholar] [CrossRef][Green Version]
  9. Rodrigues, M.; Pavinato, P.S.; Withers, P.J.A.; Teles, A.P.B.; Herrera, W.F.B. Legacy phosphorus and no tillage agriculture in tropical oxisols of the Brazilian savanna. Sci. Total. Environ. 2016, 542, 1050–1061. [Google Scholar] [CrossRef]
  10. Aguilar, A.S.; Silva, A.C.O.; Oliveira, R.C.; Silva, J.E.R.; Luz, J.M.Q.; Castro, L.H.S. Use of fertilizers and growth regulators in the production of broccoli seedlings. Pesqui. Agropecu. Trop. 2017, 22, e201704. [Google Scholar]
  11. Aguilar, A.S.; Cardoso, A.F.; Lima, L.C.; Luz, J.M.Q.; Rodrigues, T.; Lana, R.M.Q. Influence of organomineral fertilization in the development of the potato crop CV. Cupid. Biosci. J. 2019, 35, 199–210. [Google Scholar] [CrossRef]
  12. Ferrari, A.C.; Fagundes, H.S.; Pereira, M.G.; Zonta, E. Organomineral fertilizers from oilseed pies. Rev. Gest. Soc. Ambient. 2024, 18, e04680. [Google Scholar] [CrossRef]
  13. Alvarez, V.V.H.; Novais, R.F.; Barros, N.F.; Cantarutti, R.B.; Lopes, A.S. Interpretação dos resultados das análises de solos. In Recomendações Para o Uso de Corretivos e Fertilizantes em Minas Gerais—5ª Aproximação; Ribeiro, A.C., Guimarães, P.T.G., Alvarez, V.V.H., Eds.; Comissão de Fertilidade do Solo do Estado de Minas Gerais: Viçosa, Brazil, 1999; pp. 25–32. [Google Scholar]
  14. Teixeira, P.C.; Donagemma, G.K.; Fontana, A.; Teixeira, W.G. Manual de Métodos de Análise de Solos, 3rd ed.; Embrapa: Rio de Janeiro, Brazil, 2017; 573p. [Google Scholar]
  15. Teixeira, P.C.; Loiola, J.A.D.; Dias, R.C.; Alonso, J.M.; Zonta, E.; Straliotto, R. Evaluation of different phosphate organomineral fertilizers in maize cultivation on soils with contrasting phosphorus contents. Int. J. Recycl. Org. Waste Agric. 2025, 14, 1–9. [Google Scholar] [CrossRef]
  16. Higashikawa, F.S.; Menezes Júnior, F.O.G. Adubação mineral, orgânica e organomineral: Efeitos na nutrição, produtividade, pós-colheita da cebola e na fertilidade do solo. Sci. Agrar. 2017, 18, 1–10. [Google Scholar] [CrossRef]
  17. Silva, L.G.; Reginaldo, C.; Lana, R.M.Q.; Delvaux, J.C.; Fagan, E.B.; Machado, V.J. Biochemical changes and development of soybean with use of pelletized organominerals fertilizer based of sewage sludge and filter cake. Acta Sci. Agron. 2020, 42, 1–9. [Google Scholar] [CrossRef]
  18. Figueiredo, C.C.; Barbosa, D.V.; Oliveira, A.S.; Fagioli, M.; Sato, J.H. Adubo fosfatado revestido com polímero e calagem na produção e parâmetros morfológicos de milho. Rev. Ciênc. Agron. 2012, 43, 446–452. [Google Scholar] [CrossRef]
  19. Cardoso, A.I.I.; Silva, P.N.L.; Colombari, L.F.; Lanna, N.B.L.; Fernandes, D.M. Phosphorus sources associated with organic compound in broccoli production and soil chemical attributes. Hortic. Bras. 2019, 37, 228–233. [Google Scholar] [CrossRef]
  20. Herrera, W.F.B.; Rodrigues, M.; Teles, A.P.B.; Barth, G.; Pavinato, P.S. Crop yields and soil phosphorus lability under soluble and humic complexed phosphate fertilizers. Agron. J. 2016, 108, 1692–1702. [Google Scholar] [CrossRef]
  21. Sá, J.M.; Jantalia, C.P.; Teixeira, P.C.; Polidoro, J.C.; Benites, V.M.; Araújo, A.P. Agronomic and P recovery efficiency of organomineral phosphate fertilizer from poultry litter in Sandy and clayey soils. Pesqui. Agropecu. Bras. 2017, 52, 786–793. [Google Scholar] [CrossRef]
  22. Martins, D.C.; Resende, A.V.; Galvão, J.C.C.; Simão, E.P.; Ferreira, J.P.C.; Almeida, G.O. Organomineral phosphorus fertilization in the production of corn, soybean and bean cultivated in succession. Am. J. Plant Sci. 2017, 8, 2407–2421. [Google Scholar] [CrossRef]
  23. Araújo, M.D.; Souza, H.A.D.; Benites, V.M.; Pompeu, R.C.; Natale, W.; Leite, L.F. Organomineral phosphate fertilization in millet in sandy soil. Rev. Bras. Eng. Agric. Ambient. 2020, 24, 694–699. [Google Scholar] [CrossRef]
  24. Vieira, D.M.S.; Camargo, R.; Torres, J.L.R.; Silva, A.A.; Lana, R.M.Q.; Carvalho, F.J. Growing vegetables in succession in different soils and doses of phosphorus in an organomineral fertilizer. Rev. Bras. Eng. Agric. Ambient. 2020, 24, 806–813. [Google Scholar] [CrossRef]
  25. Cardoso, A.I.I.; Silva, P.N.L.; Fernandes, D.M.; Lanna, N.B.L.; Colombari, L.F.; Nakada-Freitas, P.G. Residual effect of phosphorus sources on the presence and absence of organic compost in the production of beet and chicory in subsequent cultivation of broccoli. Hortic. Bras. 2024, 42, e2543. [Google Scholar] [CrossRef]
  26. Soil Survey Staff. Keys to Soil Taxonomy, 13th ed.; USDA Natural Resources Conservation Service: Washington, DC, USA, 2022. [Google Scholar]
  27. Beck, H.E.; Zimmermann, N.E.; McVicar, T.R.; Vergopolan, N.; Berg, A.; Wood, E.F. Present and future Köppen-Geiger climate classification maps at 1-km resolution. Sci. Data 2018, 1, 1–12. [Google Scholar] [CrossRef]
  28. Inmte. Gráficos. Available online: https://portal.inmet.gov.br/servicos/gr%C3%A1ficos-climatol%C3%B3gicos (accessed on 15 August 2024).
  29. Ribeiro, A.C.; Guimarães, P.T.G.; Alvarez, V.V.H. Recomendações Para o Uso de Corretivos e Fertilizantes em Minas Gerais; UFV: Viçosa, Brazil, 1999; p. 359. [Google Scholar]
  30. Trani, P.E.; Raij, B. Hortaliças. In Recomendações de Adubação e Calagem Para o Estado de São Paulo; Raij, B., Cantarella, H., Quaggio, J.A., Furlani, A.M.C., Eds.; Boletim técnico, 100; IAC: Campinas, Brazil, 1997; pp. 157–163. [Google Scholar]
  31. Martinez, H.E.P.; Carvalho, J.G.; Souza, R.B. Diagnose Foliar. In Recomendações Para o Uso de Corretivos e Fertilizantes em Minas Gerais: 5ª Aproximação; Ribeiro, A.C., Guimarães, P.T.G., Alvarez, V.V.H., Eds.; UFV: Viçosa, Brazil, 1999; pp. 143–168. [Google Scholar]
  32. Bataglia, O.C.; Furlani, A.M.C.; Teixeira, J.P.F.; Gallo, J.R. Métodos de Análises Química de Plantas; Boletim 78; Instituto Agronômico de Campinas, Instituto Agronômico: Campinas, Brazil, 1983; 48p, Available online: https://www.researchgate.net/publication/286903152_Metodos_de_analise_quimica_de_plantas (accessed on 30 January 2025).
  33. Tedesco, M.J.; Gianello, C.; Bissani, C.A.; Bohnen, H.; Volkweiss, S.J. Análise de Solos, Plantas e Outros Materiais; Boletim Técnico, 5; UFRS: Porto Alegre, Brazil, 1995; 174p. [Google Scholar]
  34. Barbosa, J.C.; Maldonado, W., Jr. Software AgroEstat: Sistema de Análises Estatísticas de Ensaios Agronômicos; Universidade Estadual Paulista, Faculdade de Ciências Agrárias e Veterinárias, Câmpus de Jaboticabal: São Paulo, Brasil, 2009. [Google Scholar]
  35. Brady, N.C.; Weil, R. Elementos da Natureza e Propriedades dos Solos, 3rd ed.; Bookman: Porto Alegre, Brazil, 2013; 716p. [Google Scholar]
  36. Novais, R.F.; Smith, T.J. Fósforo em Solo e Planta em Condições Tropicais; Editora da Universidade Federal de Viçosa (UFV): Viçosa, Brazil, 1999; 399p. [Google Scholar]
  37. Rolim Neto, F.C.; Schaefer, C.E.G.R.; Costa, L.M.; Corrêa, M.M.; Fernandes Filho, E.I.; Ibraimo, M.M. Phosphorus adsorption, specific surface, and mineralogical attributes of soils developed from volcanic rocks from the Upper Paranaíba, MG (Brazil). Rev. Bras. Cienc. Solo 2004, 28, 953964. [Google Scholar] [CrossRef]
  38. Alves, A.U.; Prado, R.M.; Correia, M.A.R.; Gondim, A.R.O.; Cecílio Filho, A.B.; Politi, L.S. Cauliflower cultivated in substrate: Progress of absorption of macro and micronutrients. Ciênc. Agrotecnol. 2011, 35, 45–55. [Google Scholar] [CrossRef]
  39. Aguiar, F.R.; França, A.C.; Gonçalves, T.S.; Franco, M.H.R.; Coelho, J.S.; Mdeiros, I.S. Adubação organomineral com adição de bactérias promotoras do crescimento de plantas (BPCPs) no cultivo de alface. Braz. J. Dev. 2025, 11, 1–23. [Google Scholar] [CrossRef]
  40. Magela, M.L.M.; Luz, J.M.Q.; Lana, R.M.Q.; Oliveira, R.C.; Finzi, R.R.; Gontijo, L.N.; Pires, D.C.M. Fertilizantes organominerais na adubação da batata: Uma revisão bibliográfica. Obs. La Econ. Latinoam. 2024, 22, e8432. [Google Scholar] [CrossRef]
  41. Melo, R.A.C. A Cultura do Brócolis; Embrapa: Brasília, Brazil, 2015; 153p. [Google Scholar]
  42. Fernandes, D.M.; Grohskopf, M.A.; Gomes, E.R.; Ferreira, N.R.; Büll, L.T. Fósforo na solução do solo em resposta à aplicação de fertilizantes fluidos mineral e organomineral. Irriga 2015, 1, 4–27. [Google Scholar] [CrossRef]
  43. Marschner, P. Mineral Nutrition of Higher Plants, 3rd ed.; Elsevier: San Diego, CA, USA, 2012; 651p. [Google Scholar]
  44. Loss, A.; Pereira, M.G.; Beutler, S.J.; Perin, A.; Piccolo, M.C.; Assunção, S.A.; Zonta, E. The impact of agricultural systems in the soil organic matter content in brazilian cerrado. Int. J. Res. Granthaalayah 2019, 7, 220–244. [Google Scholar] [CrossRef]
  45. Kiehl, E.J. Fertilizantes Organominerais, 4th ed.; Degaspari: Piracicaba, Brazil, 2008; 160p. [Google Scholar]
  46. Silva, P.N.L.; Souza, L.G.; Redigolo, M.V.N.; Cardoso, A.I.I. Produção de brócolis em função das doses de nitrogênio e potássio na fertirrigação das mudas. Rev. Agric. Neotrop. 2018, 5, 61–67. [Google Scholar] [CrossRef]
  47. Meurer, E.J. Potássio. In Nutrição Mineral de Plantas; Fernandes, M.S., Ed.; Universidade Federal de Viçosa: Viçosa, Brazil, 2006; pp. 281–298. [Google Scholar]
  48. Silva, L.O.D. Influência de Doses e Modos de Aplicação de Fósforo e Determinação da Curva de Acúmulo de Nutrientes na Cultura do Repolho. Master’s Thesis, Universidade Federal de Viçosa, Rio Paranaiba, Brazil, 2016; 53p. [Google Scholar]
  49. Aquino, L.A.; Puiatti, M.; Lélis, M.M.; Pereira, P.R.G.; Pereira, F.H.F. Produção de biomassa, teor e exportação de macronutrientes em plantas de repolho em função de doses de N e de espaçamentos. Ciênc. Agrár. 2009, 33, 1295–1300. [Google Scholar] [CrossRef]
  50. Correa, C.V.; Cardoso, A.I.I.; Claudio, M.T.R. Produção de repolho em função de doses e fontes de potássio em cobertura. Semin. Ciênc. Agrár. 2013, 34, 2129–2138. [Google Scholar] [CrossRef]
Figure 1. Monthly rainfall and average temperature recorded at the weather station of the Federal Institute of Education, Science and Technology of Triângulo Mineiro (IFTM), Uberaba Campus, Minas Gerais, from January to December 2023.
Figure 1. Monthly rainfall and average temperature recorded at the weather station of the Federal Institute of Education, Science and Technology of Triângulo Mineiro (IFTM), Uberaba Campus, Minas Gerais, from January to December 2023.
Horticulturae 11 00631 g001
Figure 2. Regression analysis of the interactions for number of leaves (NL) (A), fresh head weight (FHW) (B), dry head weight (DHW) (C), and yield (YLD) (D) during the first broccoli cropping cycle (mean values), in Uberaba, MG, Brazil, in 2023.
Figure 2. Regression analysis of the interactions for number of leaves (NL) (A), fresh head weight (FHW) (B), dry head weight (DHW) (C), and yield (YLD) (D) during the first broccoli cropping cycle (mean values), in Uberaba, MG, Brazil, in 2023.
Horticulturae 11 00631 g002
Figure 3. Regression analysis of the interactions for fresh head weight (FHW) (A), dry head weight (DHW) (B), and yield (YLD) (C) during the second broccoli cropping cycle (mean values), in Uberaba, MG, Brazil, in 2023.
Figure 3. Regression analysis of the interactions for fresh head weight (FHW) (A), dry head weight (DHW) (B), and yield (YLD) (C) during the second broccoli cropping cycle (mean values), in Uberaba, MG, Brazil, in 2023.
Horticulturae 11 00631 g003
Table 1. Chemical attributes of the 10–20 cm soil layer of the experimental area at the beginning of broccoli planting in Uberaba, MG, Brazil.
Table 1. Chemical attributes of the 10–20 cm soil layer of the experimental area at the beginning of broccoli planting in Uberaba, MG, Brazil.
LayerpHCaMgAlH + AlPKSSOC
cmH2OSMPcmolc dm−3mg dm−3g dm−3
0–206.005.401.800.450.002.200.710.228.7120.20
BCuFeMnZn
mg dm−3
0.201.6124.7113.200.71
pH H2O determined in a soil to water ratio of 1:1; SOC = soil organic carbon; H+Al determined based on the Shoemaker, Mac Lean, and Pratt (SMP) index, which is a method for analyzing and correcting soil acidity, based on the buffering power of the soil.
Table 2. Agronomic attributes of broccoli during the first cropping cycle under different phosphorus fertilizers and application rates in Uberaba, MG, Brazil, in 2023.
Table 2. Agronomic attributes of broccoli during the first cropping cycle under different phosphorus fertilizers and application rates in Uberaba, MG, Brazil, in 2023.
TreatmentAgronomic Attributes
NLFHWDHWYLD
--kg plant−1Mg ha−1
Fertilizer (F)
CMP19.12 c0.67 c0.22 c14.02 c
PCMP24.00 a1.05 a0.27 a18.81 a
Org22.87 b0.84 b0.25 b15.34 b
%Rate (R)
Zero19.25 c0.46 c0.22 b8.21 c
5020.67 b0.90 b0.24 a17.05 b
7524.00 a0.98 b0.25 a17.21 b
10024.08 a1.22 a0.26 a21.76 a
F-test for F70.81 *16.38 **15.47 *77.50 *
F-test for R26.16 *92.52 *9.47 *163.71 *
F-test for P × R21.72 *13.12 *22.75 *27.97 *
CV% for F5.5116.310.16.99
CV% for R7.4712.88.49.56
Means followed by the same lowercase letters belong to the same group by the Scott–Knott test (* = p < 0.05; ** = p < 0.01). CV = coefficient of variation; CMP = conventional monoammonium phosphate; PCMP = polymer-coated monoammonium phosphate; Org = organomineral fertilizer; NL = number of leaves; FHW = fresh head weight; DHW = dry head weight; YLD = Yield.
Table 3. Foliar analysis of broccoli at harvest during the first cropping cycle under different phosphorus fertilizers and application rates in Uberaba, MG, Brazil, in 2023.
Table 3. Foliar analysis of broccoli at harvest during the first cropping cycle under different phosphorus fertilizers and application rates in Uberaba, MG, Brazil, in 2023.
TreatmentNutritional Composition
NPK
g kg−1
Fertilizer (F)
CMP48.53 a8.10 a51.23 a
PCMP48.53 a7.49 b51.16 a
Org49.97 a7.46 b49.61 a
Rate (R)
Zero48.04 a7.38 b48.43 b
5048.95 a7.46 b50.24 b
7549.84 a7.70 b50.59 b
10051.83 a8.19 a53.41 a
F-test for F2.32 ns10.40 **2.21 ns
F-test for R3.17 ns12.61 **0.98 *
F-test for F × R1.18 ns7.57 *1.04 ns
CV% for F4.004.586.33
CV% for R6.126.055.82
Means followed by the same lowercase letters belong to the same group by the Scott–Knott test (* = p < 0.05; ** = p < 0.01). ns = Not significant; CV = coefficient of variation; CMP = conventional monoammonium phosphate; PCMP = polymer-coated monoammonium phosphate; Org = organomineral fertilizer.
Table 4. Agronomic attributes of broccoli during the second cropping cycle under different phosphorus fertilizers and application rates in Uberaba, MG, Brazil, in 2023.
Table 4. Agronomic attributes of broccoli during the second cropping cycle under different phosphorus fertilizers and application rates in Uberaba, MG, Brazil, in 2023.
TreatmentAgronomic Attributes
NLFHWDHWYLD
-kgMg ha−1
Fertilizer (F)
CMP22.25 b1.61 b0.24 b31.51 b
PCMP22.69 b1.49 c0.21 c28.85 c
Org23.19 a1.85 a0.26 a 33.01 a
Rate (R)
Zero21.00 b0.98 d0.20 b17.46 d
5023.25 a1.71 c0.21 b31.78 c
7523.58 a1.97 b0.26 a37.73 b
10023.00 a2.21 a0.26 a39.53 a
F-test for F1.96 *5.82 **3.10 *11.40 *
F-test for R6.49 *74.23 *8.59 *120.21 *
F-test for F × R1.47 ns14.38 *3.63 *22.63 *
CV% F5.9112.5510.18.03
CV% R6.9712.468.49.79
Means followed by the same lowercase letters belong to the same group by the Scott–Knott test (* = p < 0.05; ** = p < 0.01). ns = Not significant; CV = coefficient of variation; CMP = conventional monoammonium phosphate; PCMP = polymer-coated monoammonium phosphate; Org = organomineral fertilizer; NL = number of leaves; FHW = fresh head weight; DHW = dry head weight; YLD = yield.
Table 5. Soil chemical analysis immediately after the harvest of the second broccoli cropping cycle under different phosphorus fertilizers and application rates in Uberaba, MG, Brazil, in 2023.
Table 5. Soil chemical analysis immediately after the harvest of the second broccoli cropping cycle under different phosphorus fertilizers and application rates in Uberaba, MG, Brazil, in 2023.
TreatmentChemical Attributes
pHPKCaMgAlH + Al
H2Omg dm−3cmolc dm−3
Fertilizer (F)
CMP5.56 a75.92 c100.47 b1.26 c0.38 a0.02 a4.38 a
PCMP5.61 a94.16 b96.85 b1.43 b0.42 a0.02 a4.47 a
Org5.60 a105.99 a116.68 a1.48 a0.44 a0.03 a4.67 a
%Rate (R)
Zero5.52 b52.99 c86.47 b1.04 d0.32 c0.03 a4.05 b
505.54 b83.90 b109.09 a1.34 c0.39 b0.02 a4.51 a
755.59 b114.09 a110.26 a1.51 b0.46 a0.01 a4.73 a
1005.71 a117.13 a112.85 a1.66 a0.49 a0.01 a4.74 a
F-test for F2.55 ns0.03 *6.33 **5.83 **0.74 ns0.94 ns4.59 ns
F-test for R1.34 *41.59 *44.47 *28.38 *1.98 *1.30 ns2.75 *
F-test for F × R0.69 ns21.63 *4.30 *26.74 *8.84 *0.86 ns0.28 ns
CV% for F1.7910.216.056.1221.60317.87
CV% for R3.2413.5611.936.4711.652814.13
Means followed by the same lowercase letters belong to the same group by the Scott–Knott test (* = p < 0.05; ** = p < 0.01); ns = Not significant; CV = coefficient of variation; CMP = conventional monoammonium phosphate; PCMP = polymer-coated monoammonium phosphate; Org = organomineral fertilizer.
Table 6. Foliar analysis of broccoli immediately after harvest during the second cropping cycle under different phosphorus fertilizers and application rates in Uberaba, MG, Brazil, in 2023.
Table 6. Foliar analysis of broccoli immediately after harvest during the second cropping cycle under different phosphorus fertilizers and application rates in Uberaba, MG, Brazil, in 2023.
TreatmentNutritional Composition
NPK
g kg−1
Fertilizer (F)
CMP47.48 a6.02 b44.53 a
PCMP42.55 a6.14 b42.63 a
Org48.06 a6.59 a45.07 a
%Rate (R)
Zero43.45 a4.50 b41.60 a
5045.65 a6.40 a42.41 a
7546.23 a6.73 a46.03 a
10048.79 a7.39 a46.27 a
F teste for F0.19 ns69.31 **17.82 ns
F test for R2.81 ns13.63 *1.79 ns
F test for F × R1.87 ns1.12 ns0.26 ns
CV% F13.574.477.51
CV% R12.7913.5914.75
Means followed by the same lowercase letters belong to the same group by the Scott–Knott test (* = p < 0.05; ** = p < 0.01); ns = Not significant; CV = coefficient of variation; CMP = conventional monoammonium phosphate; PCMP = polymer-coated monoammonium phosphate; Org = organomineral fertilizer.
Disclaimer/Publisher’s Note: The statements, opinions and data contained in all publications are solely those of the individual author(s) and contributor(s) and not of MDPI and/or the editor(s). MDPI and/or the editor(s) disclaim responsibility for any injury to people or property resulting from any ideas, methods, instructions or products referred to in the content.

Share and Cite

MDPI and ACS Style

Vieira, D.M.d.S.; Camargo, R.d.; Franco, M.H.R.; Orioli Júnior, V.; Loss, A.; Charlo, H.C.d.O.; Domingos Júnior, F.A.; Torres, J.L.R. Broccoli Cultivation Under Different Sources and Rates of Specialty Phosphorus Fertilizers in the Brazilian Cerrado. Horticulturae 2025, 11, 631. https://doi.org/10.3390/horticulturae11060631

AMA Style

Vieira DMdS, Camargo Rd, Franco MHR, Orioli Júnior V, Loss A, Charlo HCdO, Domingos Júnior FA, Torres JLR. Broccoli Cultivation Under Different Sources and Rates of Specialty Phosphorus Fertilizers in the Brazilian Cerrado. Horticulturae. 2025; 11(6):631. https://doi.org/10.3390/horticulturae11060631

Chicago/Turabian Style

Vieira, Dinamar Márcia da Silva, Reginaldo de Camargo, Miguel Henrique Rosa Franco, Valdeci Orioli Júnior, Arcângelo Loss, Hamilton César de Oliveira Charlo, Fausto Antônio Domingos Júnior, and José Luiz Rodrigues Torres. 2025. "Broccoli Cultivation Under Different Sources and Rates of Specialty Phosphorus Fertilizers in the Brazilian Cerrado" Horticulturae 11, no. 6: 631. https://doi.org/10.3390/horticulturae11060631

APA Style

Vieira, D. M. d. S., Camargo, R. d., Franco, M. H. R., Orioli Júnior, V., Loss, A., Charlo, H. C. d. O., Domingos Júnior, F. A., & Torres, J. L. R. (2025). Broccoli Cultivation Under Different Sources and Rates of Specialty Phosphorus Fertilizers in the Brazilian Cerrado. Horticulturae, 11(6), 631. https://doi.org/10.3390/horticulturae11060631

Note that from the first issue of 2016, this journal uses article numbers instead of page numbers. See further details here.

Article Metrics

Back to TopTop