Effects of Drought Stress on Photosynthetic Characteristics and Endogenous Hormone Levels in the Sweet Potato (Ipomoea batatas)
Abstract
1. Introduction
2. Materials and Methods
2.1. Study Site
2.2. Experimental Design
2.3. Sampling and Analysis
2.4. Data Analysis
3. Results
3.1. Effect of Drought Stress on Sweet Potato Biomass
3.2. Effect of Drought Stress on Agronomic Indices
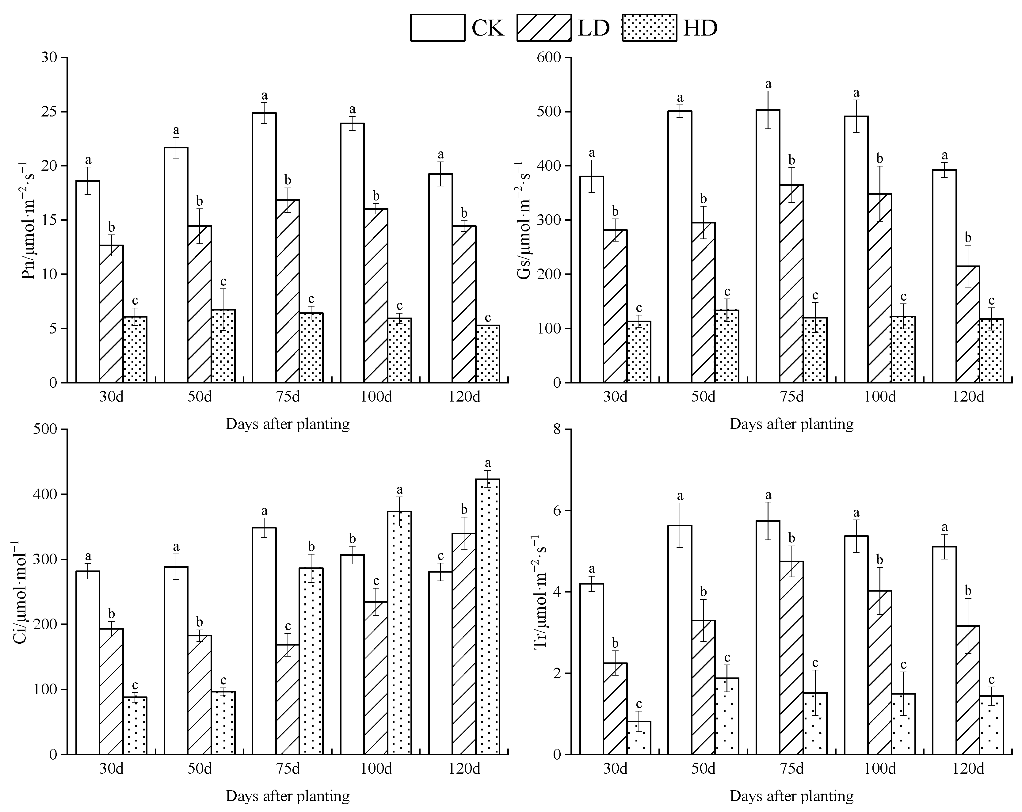
3.3. Effect of Drought Stress on Leaf Photosynthetic Parameters
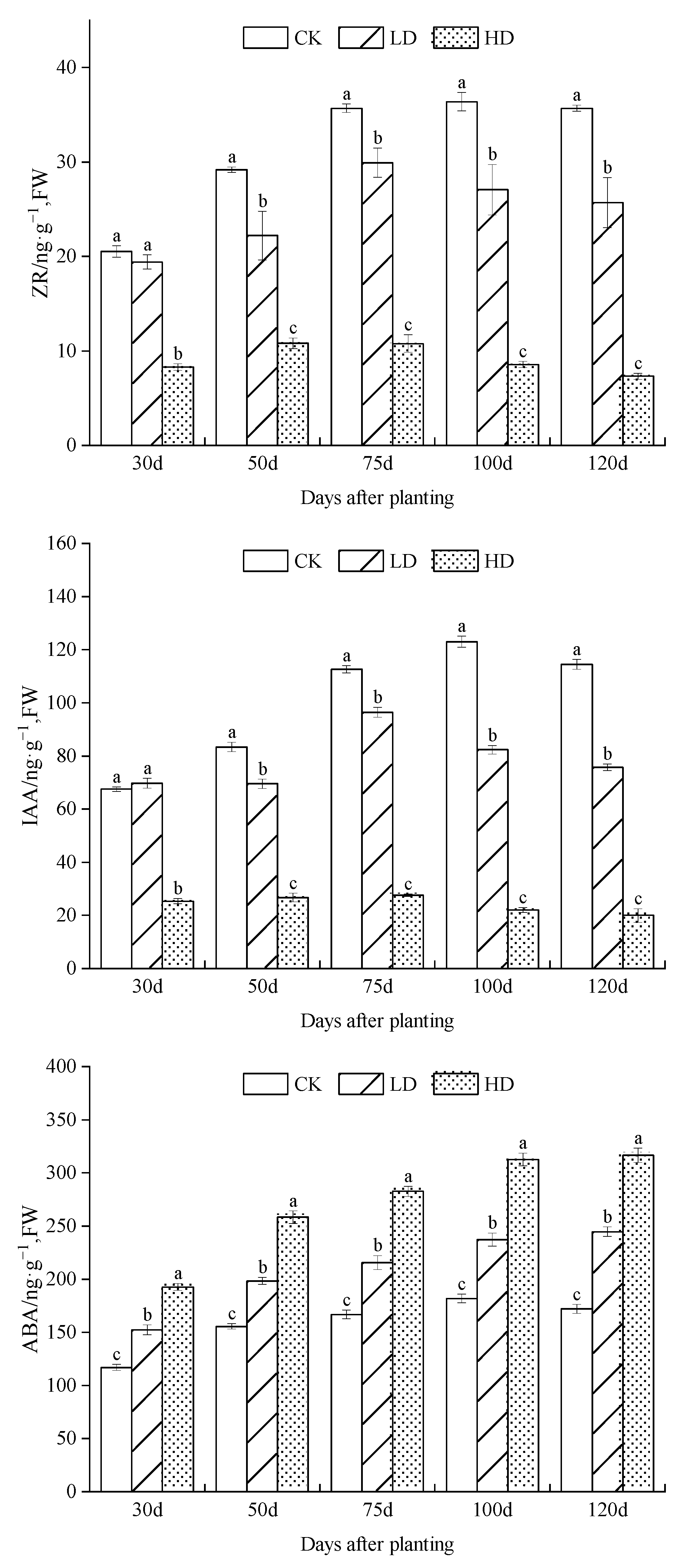
3.4. Effects of Drought Stress on Endogenous Hormones Levels
3.5. Production and Production Components
3.6. Correlation Analysis
4. Discussion
4.1. Effect of Drought Stress on Sweet Potato Photosynthetic Parameters
4.2. Effects of Drought Stress on Endogenous Hormones Levels
4.3. The Relationship Between Hormones and Photosynthesis
5. Conclusions
Author Contributions
Funding
Data Availability Statement
Acknowledgments
Conflicts of Interest
References
- Iqbal, S.; Wang, X.; Mubeen, I.; Kamran, M.; Kanwal, I.; Díaz, G.A.; Abbas, A.; Parveen, A.; Atiq, M.N.; Alshaya, H.; et al. Phytohormones Trigger Drought Tolerance in Crop Plants: Outlook and Future Perspectives. Front. Plant Sci. 2022, 12, 799318. [Google Scholar] [CrossRef] [PubMed]
- Davies, W.J.; Metcalfe, J.; Lodge, T.A.; Costa, A.R.D. Plant Growth Substances and the Regulation of Growth Under Drought. Funct. Plant Biol. 1986, 13, 105–125. [Google Scholar] [CrossRef]
- Haghpanah, M.; Hashemipetroudi, S.; Arzani, A.; Araniti, F. Drought Tolerance in Plants: Physiological and Molecular Responses. Plants 2024, 13, 2962. [Google Scholar] [CrossRef] [PubMed]
- Chhaya; Yadav, B.; Jogawat, A.; Gnanasekaran, P.; Kumari, P.; Lakra, N.; Lal, S.K.; Pawar, J.; Narayan, O.P. An overview of recent advancement in phytohormones-mediated stress management and drought tolerance in crop plants. Plant Gene 2021, 25, 100264. [Google Scholar] [CrossRef]
- Zhang, H.Y.; Duan, W.X.; Xie, B.T.; Dong, S.X.; Wang, B.Q.; Shi, C.Y.; Zhang, L.M. Effects of Drought Stress at Different Growth Stages on Endogenous Hormones and Its Relationship with Storage Root Yield in Sweetpotato. Acta Agron. Sin. 2018, 44, 126–136. [Google Scholar] [CrossRef]
- Lei, Y.; Chen, S.; Xu, L.; Zhang, Y.; Yang, Y. Enhancing plant drought tolerance through exogenous nitric oxide: A comprehensive meta-analysis. BMC Plant Biol. 2025, 25, 447. [Google Scholar] [CrossRef] [PubMed]
- Li, Z.; Liu, Z.; Zhu, J.; Wang, W.; Gao, C.; Qi, J.; Qiu, X.; Bao, M.; Luo, H.; Li, Y.; et al. Drought–Rewatering Dynamics in Chinese Cropping Systems: A Meta-Analysis of Yield Loss Mitigation, Water Use Efficiency, and Compensatory Physiological Response. Agronomy 2025, 15, 911. [Google Scholar] [CrossRef]
- Li, Y.; He, X.; Li, Q.; Liu, B.; Li, S.; Ai, X.; Wei, M.; Zhang, D. Effect of CO2 enrichment on antioxidant system in cucumber seedling root system under drought stress. Plant Physiol. J. 2019, 55, 1011–1019. [Google Scholar] [CrossRef]
- Kim, T.-L.; Lim, H.; Lee, K.; Denison, M.I.J.; Natarajan, S.; Oh, C. Comparative phenotypic, physiological, and transcriptomic responses to drought and recovery in two Fraxinus species. BMC Plant Biol. 2025, 25, 348. [Google Scholar] [CrossRef]
- Luo, H.G.; Han, H.Y.; Zhang, Y.L.; Zhang, W.F. Effects of drought and re-watering on endogenous hormone contents of cotton roots and leaves under drip irrigation with mulch. Chin. J. Appl. Ecol. 2013, 24, 1009–1016. [Google Scholar]
- Zhang, M.S.; Xie, B.; Tan, F. Relationship Between Changes of Endogenous Hormone in Sweet Potato Under Water Stress and Variety Drought-resistance. Agric. Sci. China 2002, 1, 626–630. [Google Scholar]
- Wang, J.Q.; Li, S.P.; Liu, Q.; Li, H. Mechanism of Spraying Growth Regulators to Alleviate Drought Stress of Sweet Potato. Sci. Agric. Sin. 2020, 53, 500–512. [Google Scholar] [CrossRef]
- Zhang, H.Y.; Wang, B.Q.; Feng, X.Y.; LI, G.L.; Xie, B.T.; Dong, S.X.; Duan, W.X.; Zhang, L.M. Effects of Drought Treatments at Different Growth Stages on Growth and the Activity of Antioxidant Enzymes in Sweetpotato. Sci. Agric. Sin. 2020, 53, 1126–1139. [Google Scholar] [CrossRef]
- Sun, Z.; Fan, W.J.; Liu, G.L.; Tian, C.G.; Zhang, P.; Liu, H.J.; Yang, J.; Zhao, F.; Shi, C.Y. Effects of exogenous ABA on leaf photosynthetic characteristics and associated physiological indexes of sweetpotato (Ipomoea batatas) seedlings under drought stress. Zhiwu Shengli Xuebao/Plant Physiol. J. 2017, 53, 873–888. [Google Scholar] [CrossRef]
- Zhang, H.Y.; Xie, B.T.; Wang, B.Q.; Dong, S.X.; Duan, W.X.; Zhang, L.M. Evaluation of drought tolerance and screening for drought-tolerant indicators in sweetpotato cultivars. Acta Agron. Sin. 2019, 45, 419–430. [Google Scholar] [CrossRef]
- Li, C.Z.; Li, H.; Liu, Q.; Shi, Y.X. Comparison of root development and fluorescent physiological characteristicsof sweet potato exposure to drought stress in different growth stages. J. Plant Nutr. Fertil. 2016, 22, 511–517. [Google Scholar] [CrossRef]
- Wang, J.Q.; Li, H.; Liu, Q.; Xiang, D. Effects of drought stress on root development and physiological characteristics of sweet potato at seedling stage. Chin. J. Appl. Ecol. 2019, 30, 3155–3163. [Google Scholar] [CrossRef]
- Guinn, G.; Brummett, D.L. Leaf age, decline in photosynthesis, and changes in abscisic acid, indole-3-acetic acid, and cytokinin in cotton leaves. Field Crops Res. 1993, 32, 269–275. [Google Scholar] [CrossRef]
- Muszynska, A.A.-O.; Guendel, A.A.-O.; Melzer, M.A.-O.; Tandron Moya, Y.A.; Röder, M.S.; Rolletschek, H.A.-O.; Rutten, T.A.-O.; Munz, E.; Melz, G.; Ortleb, S.; et al. A mechanistic view on lodging resistance in rye and wheat: A multiscale comparative study. Plant Biotechnol. J. 2021, 19, 2646–2661. [Google Scholar] [CrossRef]
- Zhang, H.Y.; Duan, W.X.; Xie, B.T.; Wang, B.Q.; Hou, F.Y.; Li, A.X.; Dong, S.X.; Qin, Z.; Wang, Q.M.; Zhang, L.M. Root yield, antioxidant capacities, and hormone contents in different drought-tolerant sweet potato cultivars treated with ABA under early drought stress. Acta Physiol. Plant. 2020, 42, 132. [Google Scholar] [CrossRef]
- An, Y.Y.; Liang, Z.S. Staged strategy of plants in response to drought stress. Yingyong Shengtai Xuebao 2012, 10, 2907–2915. [Google Scholar]
- Qiao, M.Y.; Hong, C.H.; Jiao, Y.J.; Hou, S.J.; Gao, H.B. Impacts of Drought on Photosynthesis in Major Food Crops and the Related Mechanisms of Plant Responses to Drought. Plants 2024, 13, 1808. [Google Scholar] [CrossRef] [PubMed]
- Yang, Y.J.; Chang, W.; Huang, W.; Zhang, S.B.; Hu, H. The effects of chilling-light stress on photosystems I and II in three Paphiopedilum species. Bot. Stud. 2017, 58, 53. [Google Scholar] [CrossRef]
- Wang, Z.; Ren, Z.; Cheng, C.; Wang, T.; Ji, H.; Zhao, Y.; Deng, Z.; Zhi, L.; Lu, J.; Wu, X.; et al. Counteraction of ABA-Mediated Inhibition of Seed Germination and Seedling Establishment by ABA Signaling Terminator in Arabidopsis. Mol. Plant 2020, 13, 1284–1297. [Google Scholar] [CrossRef] [PubMed]
- Gaion, L.A.; Carvalho, R.F. Stomatal response to drought is modulated by gibberellin in tomato. Acta Physiol. Plant. 2021, 43, 129. [Google Scholar] [CrossRef]
- Gomes, G.L.B.; Scortecci, K.A.-O. Auxin and its role in plant development: Structure, signalling, regulation and response mechanisms. Plant Biol. 2021, 23, 894–904. [Google Scholar] [CrossRef]
- Saidi, A.; Hajibarat, Z. Phytohormones: Plant switchers in developmental and growth stages in potato. J. Genet. Eng. Biotechnol. 2021, 19, 89. [Google Scholar] [CrossRef]
- Chen, P.L.; Yang, R.X.; Bartels, D.; Dong, T.Y.; Duan, H.Y. Roles of Abscisic Acid and Gibberellins in Stem/Root Tuber Development. Int. J. Mol. Sci. 2022, 23, 4955. [Google Scholar] [CrossRef]
- Yan, S.W.; Du, F.R.; Sun, Z.; Xu, B.J.; Shi, C.Y.; Liu, H.J. Relationship between the storage root bulking and energy supply of sweet potato under different soil textures. J. Plant Nutr. Fertil. 2024, 30, 2041–2052. [Google Scholar] [CrossRef]
- Hai, N.; Chuong, N.; Hưu, N.; Tu, C.; Kisiala, A.; Lan, X.; Hoang, T.; Thao, N. Role and Regulation of Cytokinins in Plant Response to Drought Stress. Plants 2020, 9, 422. [Google Scholar] [CrossRef]
- Sun, Z.; Shi, C.Y.; Chen, L.L.; Tian, C.G.; Zheng, J.L.; Liu, H.J.; Zhang, P. Effects of potassium nutrition on carbohydrate and endogenous hormone contents of sweet potato under drought stress. J. Plant Nutr. Fertil. 2019, 25, 1550–1559. [Google Scholar] [CrossRef]
- Jogawat, A.; Yadav, B.; Chhaya Lakra, N.; Singh, A.K.; Narayan, O.P. Crosstalk between phytohormones and secondary metabolites in the drought stress tolerance of crop plants: A review. Physiol Plant. 2021, 172, 1106–1132. [Google Scholar] [CrossRef] [PubMed]
- Song, Y.; Xiang, F.Y.; Zhang, G.Z.; Miao, Y.C.; Miao, C.; Song, C.P. Abscisic Acid as an Internal Integrator of Multiple Physiological Processes Modulates Leaf Senescence Onset in Arabidopsis thaliana. Front. Plant Sci. 2016, 19, 181. [Google Scholar] [CrossRef] [PubMed]
- Liang, C.Z.; Wang, Y.Q.; Zhu, Y.; Tang, J.Y.; Hu, B.; Liu, L.C.; Ou, S.J.; Wu, H.K.; Sun, X.H.; Chu, J.F.; et al. OsNAP connects abscisic acid and leaf senescence by fine-tuning abscisic acid biosynthesis and directly targeting senescence-associated genes in rice. Proc. Natl. Acad. Sci. USA 2014, 111, 10013–10018. [Google Scholar] [CrossRef]
- Giannakoula, A.E.; Ilias, I.F.; Dragišić Maksimović, J.J.; Maksimović, V.M.; Živanović, B.D. The effects of plant growth regulators on growth, yield, and phenolic profile of lentil plants. J. Food Compos. Anal. 2012, 28, 46–53. [Google Scholar] [CrossRef]






| Treatment | 30 d | 50 d | 75 d | 100 d | 120 d | |
|---|---|---|---|---|---|---|
| leaf number | CK | 23 ± 0.2 a | 83 ± 0.6 a | 140 ± 1.1 a | 173 ± 1.4 a | 192 ± 1.7 a |
| LD | 13 ± 0.1 b | 58 ± 0.4 b | 99 ± 0.8 b | 113 ± 0.9 b | 102 ± 0.9 b | |
| HD | 6 ± 0 c | 24 ± 0.2 c | 32 ± 0.3 c | 49 ± 0.3 c | 42 ± 0.3 c | |
| branch number | CK | 2 ± 0 a | 4 ± 0.5 a | 5 ± 0.5 a | 7 ± 0.5 a | 7 ± 0.5 a |
| LD | 1 ± 0 ab | 2 ± 0 b | 3 ± 0.5 b | 4 ± 0.5 b | 2 ± 0 b | |
| HD | 0 ± 0 b | 0 ± 0 b | 1 ± 0 c | 2 ± 0 c | 2 ± 0 c |
| Treatment | Yield (t·hm−2) | Average Sweet Potato Weight (g·plants−1) | Number of Sweet Potato per Plant |
|---|---|---|---|
| CK | 33.44 ± 20.58 a | 213.47 ± 19.52 a | 3.17 ± 0.05 a |
| LD | 24.57 ± 12.87 b | 205.36 ± 14.31 b | 2.87 ± 0.05 b |
| HD | 10.93 ± 9.01 c | 197.23 ± 12.33 c | 2.33 ± 0.04 c |
Disclaimer/Publisher’s Note: The statements, opinions and data contained in all publications are solely those of the individual author(s) and contributor(s) and not of MDPI and/or the editor(s). MDPI and/or the editor(s) disclaim responsibility for any injury to people or property resulting from any ideas, methods, instructions or products referred to in the content. |
© 2025 by the authors. Licensee MDPI, Basel, Switzerland. This article is an open access article distributed under the terms and conditions of the Creative Commons Attribution (CC BY) license (https://creativecommons.org/licenses/by/4.0/).
Share and Cite
Huang, S.; Wang, J.; Wang, H.; Li, H. Effects of Drought Stress on Photosynthetic Characteristics and Endogenous Hormone Levels in the Sweet Potato (Ipomoea batatas). Horticulturae 2025, 11, 456. https://doi.org/10.3390/horticulturae11050456
Huang S, Wang J, Wang H, Li H. Effects of Drought Stress on Photosynthetic Characteristics and Endogenous Hormone Levels in the Sweet Potato (Ipomoea batatas). Horticulturae. 2025; 11(5):456. https://doi.org/10.3390/horticulturae11050456
Chicago/Turabian StyleHuang, Shihao, Jinqiang Wang, Huanyuan Wang, and Huan Li. 2025. "Effects of Drought Stress on Photosynthetic Characteristics and Endogenous Hormone Levels in the Sweet Potato (Ipomoea batatas)" Horticulturae 11, no. 5: 456. https://doi.org/10.3390/horticulturae11050456
APA StyleHuang, S., Wang, J., Wang, H., & Li, H. (2025). Effects of Drought Stress on Photosynthetic Characteristics and Endogenous Hormone Levels in the Sweet Potato (Ipomoea batatas). Horticulturae, 11(5), 456. https://doi.org/10.3390/horticulturae11050456
