Flowering Responses to Vernalization and Photoperiod in Minuartia laricina (L.) Mattf., a Perennial Herb in the Korean Peninsula
Abstract
1. Introduction
2. Materials and Methods
2.1. Plants Materials
2.2. Expt. 1: Phenological Observation of Flowering Characteristics in M. laricina
2.3. Expt. 2: Growth and Flowering Response to Cold Treatment and Photoperiod
2.4. Experimental Design and Statistical Analysis
3. Results
3.1. Expt. 1: Phenological Observation of Flowering Characteristics in M. laricina
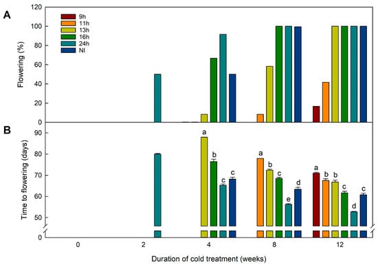
3.2. Expt. 2: Growth and Flowering Response to Cold Treatment and Photoperiod
4. Discussion
5. Conclusions
Author Contributions
Funding
Data Availability Statement
Acknowledgments
Conflicts of Interest
References
- Ryu, B.Y. Selection of native plants for the use of veranda container garden at apartment house. J. Korean People Plants Environ. 2004, 7, 19–23. [Google Scholar]
- Burghardt, K.T.; Tallamy, D.W.; Shriver, W.G. Impact of native plants on bird and butterfly biodiversity in suburban landscapes. Conserv. Biol. 2009, 23, 219–224. [Google Scholar] [CrossRef]
- Pardee, G.L.; Philpott, S.M. Native plants are the bee’s knees: Local and landscape predictors of bee richness and abundance in backyard gardens. Urban Ecosyst. 2014, 17, 641–659. [Google Scholar] [CrossRef]
- Gillis, A.J.; Swim, J.K. Adding native plants to home landscapes: The roles of attitudes, social norms, and situational strength. J. Environ. Psychol. 2020, 72, 101519. [Google Scholar] [CrossRef]
- Rupp, L.A.; Anderson, R.M.; Klett, J.; Love, S.L.; Goodspeed, J.; Gunnell, J. Native and adapted plant introduction for low-water landscaping. HortTechnology 2018, 28, 431–435. [Google Scholar] [CrossRef]
- Fausey, B.A.; Cameron, A.C. Evaluating herbaceous perennial species as new flowering potted crops. Acta Hortic. 2005, 683, 207–214. [Google Scholar] [CrossRef]
- Wilde, H.D.; Gandhi, K.J.; Colson, G. State of the science and challenges of breeding landscape plants with ecological function. Hortic. Res. 2015, 2, 14054. [Google Scholar] [CrossRef]
- National Institute of Biological Resources. National Biodiversity Information Sharing System. Available online: https://species.nibr.go.kr/home/mainHome.do?cont_link=009&subMenu=009002&contCd=009002&pageMode=view&ktsn=120000060765 (accessed on 1 June 2024).
- Fenster, C.B.; Armbruster, W.S.; Wilson, P.; Dudash, M.R.; Thomson, J.D. Pollination Syndromes and Floral Specialization. Annu. Rev. Ecol. Evol. Syst. 2004, 35, 375–403. [Google Scholar] [CrossRef]
- Amasino, R.M. Vernalization, competence, and the epigenetic memory of winter. Plant Cell 2004, 16, 2553–2559. [Google Scholar] [CrossRef]
- Kim, D.H.; Doyle, M.R.; Sung, S.; Amasino, R.M. Vernalization: Winter and the timing of flowering in plants. Annu. Rev. Cell Dev. Biol. 2009, 25, 277–299. [Google Scholar] [CrossRef] [PubMed]
- Osnato, M.; Cota, I.; Nebhnani, P.; Cereijo, U.; Pelaz, S. Photoperiod control of plant growth: Flowering time genes beyond flowering. Front. Plant Sci. 2022, 12, 805635. [Google Scholar] [CrossRef] [PubMed]
- Park, J.W.; Shin, U.S.; Oh, H.J.; Lee, S.I.; Kwon, Y.E.; Lee, S.Y.; Jeong, M.J. Effect of plant growth retardants on growth and flowering of Minuartia laricina (L.) Mattf. Flower Res. J. 2022, 30, 92–99. [Google Scholar] [CrossRef]
- Thomas, B.; Vince-Prue, D. Photoperiodism in Plants; Elsevier: Amsterdam, The Netherlands, 1996. [Google Scholar]
- Runkle, E.S.; Heins, R.D. Photocontrol of flowering and extension growth in the long-day plant pansy. J. Am. Soc. Hortic. Sci. 2003, 128, 479–485. [Google Scholar] [CrossRef]
- Chung, S.E.; Park, J.W.; Im, N.H.; Lee, H.B. Long-day Requirement for Floral Induction in Lythrum salicaria ‘Dwarf Pink’. J. People Plants Environ. 2024, 27, 269–278. [Google Scholar] [CrossRef]
- Katal, N.; Rzanny, M.; Mäder, P.; Wäldchen, J. Deep learning in plant phenological research: A systematic literature review. Front. Plant Sci. 2022, 13, 805738. [Google Scholar] [CrossRef]
- The World Flora Online. Available online: https://www.worldfloraonline.org/taxon/wfo-0001292108 (accessed on 1 June 2024).
- Song, S.J.; Shin, U.S.; Kim, S.Y.; Jeong, M.J.; Lee, S.Y. Growth and flowering response of Patrinia rupestris in response to different cold durations and photoperiods. Flower Res. J. 2019, 27, 101–108. [Google Scholar] [CrossRef]
- Xiang, K.; Guo, Q.; Zhang, B.; Wang, J.; Jin, N.; Wang, Z.; Liu, J.; Wang, C.; Du, Z.; Wang, L.; et al. Impact of preseason climate factors on vegetation photosynthetic phenology in mid–high latitudes of the northern hemisphere. Plants 2024, 13, 1254. [Google Scholar] [CrossRef]
- Ettinger, A.K.; Chamberlain, C.J.; Morales-Castilla, I.; Buonaiuto, D.M.; Flynn, D.F.B.; Savas, T.; Wolkovich, E.M. Winter temperatures predominate in spring phenological responses to warming. Nat. Clim. Chang. 2020, 10, 1137–1142. [Google Scholar] [CrossRef]
- Blanchard, M.G.; Runkle, E.S. Intermittent light from a rotating high-pressure sodium lamp promotes flowering of long-day plants and seedlings. HortScience 2010, 45, 236–241. [Google Scholar] [CrossRef]
- Lang, A. Physiology of flower initiation. In Encyclopedia of Plant Physiology; Ruhland, W., Ed.; Springer: Berlin, Germany, 1965. [Google Scholar]
- Michigan State University Extension Floriculture & Greenhouse Crop Production. Life After Cold! Available online: https://www.canr.msu.edu/resources/vernalization-part-4 (accessed on 1 June 2024).
- Michigan State University Extension Floriculture & Greenhouse Crop Production. Cool Campanula. Available online: https://www.canr.msu.edu/resources/cool-campanula (accessed on 1 June 2024).
- Song, S.J.; Jeong, M.J.; Lee, S.Y. Ecophysiology of growth and flowering of four Korean native Veronica taxa in response to the photoperiod and cold treatment. Acta Hortic. 2020, 1291, 205–214. [Google Scholar] [CrossRef]
- Im, N.H.; Lim, S.H.; Lee, H.B.; An, S.K.; Lee, S.Y.; Kim, K.S. Growth and flowering responses of Lysimachia mauritiana Lam. to cold treatment and photoperiod. Sci. Hortic. 2020, 270, 109429. [Google Scholar] [CrossRef]
- Clough, E.A.; Cameron, A.C.; Heins, R.D.; Carlson, W.H. Growth and development of Oenothera fruticosa is influenced by vernalization duration, photoperiod, forcing temperature, and plant growth regulators. J. Am. Soc. Hortic. Sci. 2001, 126, 269–274. [Google Scholar] [CrossRef]
- Park, J.W.; Im, N.H.; Lee, H.B. Corydalis speciosa Maxim. is a day-neutral plant with an obligate cold requirement. Sci. Hortic. 2024, 325, 112686. [Google Scholar] [CrossRef]
- Lim, S.H.; Im, N.H.; An, S.K.; Lee, H.B.; Kim, K.S. Korean native Veronica rotunda and Veronica longifolia are day-neutral plants with no vernalization requirements. Hortic. Environ. Biotechnol. 2021, 62, 859–869. [Google Scholar] [CrossRef]
- Whitman, C.M.; Runkle, E.S. Determining the flowering requirements of two Aquilegia cultivars. HortScience 2012, 47, 1261–1264. [Google Scholar] [CrossRef]
- Mattson, N.S.; Erwin, J.E. The impact of photoperiod and irradiance on flowering of several herbaceous ornamentals. Sci. Hortic. 2005, 104, 275–292. [Google Scholar] [CrossRef]
- Taiz, L.; Zeiger, E.; Møller, I.M.; Murphy, A. Plant Physiology and Development, 6th ed.; Oxford University Press: Oxford, UK, 2018. [Google Scholar]
- Ha, T.M. A review of plants’ flowering physiology: The control of floral induction by juvenility, temperature and photoperiod in annual and ornamental crops. Asian J. Agric. Food Sci. 2014, 2, 186–195. [Google Scholar]
- Runkle, E.S.; Heins, R.D.; Cameron, A.C.; Carlson, W.H. Photoperiod and cold treatment regulate flowering of Rudbeckia fulgida ‘Goldsturm’. HortScience 1999, 34, 55–58. [Google Scholar] [CrossRef]
- Runkle, E.S.; Heins, R.D.; Cameron, A.C.; Carlson, W.H. Flowering of Leucanthemum × superbum ‘Snowcap’ in response to photoperiod and cold treatment. HortScience 1998, 33, 1003–1006. [Google Scholar] [CrossRef]
- Runkle, E.S.; Heins, R.D.; Cameron, A.C.; Carlson, W.H. Cold treatment modifies the photoperiodic flowering response of Lobelia × speciosa. Sci. Hortic. 1999, 80, 247–258. [Google Scholar] [CrossRef]
- Ferguson, B.J.; Beveridge, C.A. Roles for auxin, cytokinin, and strigolactone in regulating shoot branching. Plant Physiol. 2009, 149, 1929–1944. [Google Scholar] [CrossRef]
- Roberts, E.; Summerfield, R. Measurement and Prediction of Flowering in Annual Crops. In Manipulation of Flowering; Atherton, J.G., Ed.; Butterworth’s: London, UK, 1987; pp. 17–51. [Google Scholar]
- Harmon-Threatt, A.N.; Kremen, C. Bumble bees selectively use native and exotic species to maintain nutritional intake across highly variable and invaded local floral resource pools. Ecol. Entomol. 2015, 40, 471–478. [Google Scholar] [CrossRef]
- Menz, M.H.M.; Phillips, R.D.; Winfree, R.; Kremen, C.; Aizen, M.A.; Johnson, S.D.; Dixon, K.W. Reconnecting plants and pollinators: Challenges in the restoration of pollination mutualisms. Trends Plant Sci. 2011, 16, 4–12. [Google Scholar] [CrossRef] [PubMed]








| Cold Treatment (Weeks) | Photoperiod | Avg. Daily Air Temperature (°C) | DLI (mol∙m−2∙d−1) | ||
|---|---|---|---|---|---|
| 0 | 9 h | 16.0 | ±0.9 1 | 7.2 | ±0.3 1 |
| 11 h | 15.7 | ±1.0 | 6.8 | ±0.3 | |
| 13 h | 15.9 | ±1.0 | 6.1 | ±0.2 | |
| 16 h | 16.5 | ±1.1 | 5.9 | ±0.2 | |
| 24 h | 17.9 | ±1.0 | 6.8 | ±0.3 | |
| NI 2 | 17.8 | ±0.9 | 7.0 | ±0.3 | |
| 2 | 9 h | 15.9 | ±0.9 | 7.0 | ±0.3 |
| 11 h | 15.5 | ±0.9 | 6.5 | ±0.3 | |
| 13 h | 15.7 | ±1.0 | 5.9 | ±0.2 | |
| 16 h | 16.3 | ±1.0 | 5.8 | ±0.2 | |
| 24 h | 17.6 | ±0.9 | 6.5 | ±0.3 | |
| NI | 17.7 | ±0.9 | 6.9 | ±0.3 | |
| 4 | 9 h | 16.1 | ±1.0 | 7.7 | ±0.4 |
| 11 h | 15.7 | ±1.1 | 7.2 | ±0.4 | |
| 13 h | 15.9 | ±1.1 | 6.6 | ±0.3 | |
| 16 h | 16.5 | ±1.0 | 6.6 | ±0.3 | |
| 24 h | 17.6 | ±0.9 | 7.3 | ±0.4 | |
| NI | 17.9 | ±0.9 | 7.6 | ±0.4 | |
| 8 | 9 h | 17.3 | ±1.1 | 7.9 | ±0.4 |
| 11 h | 17.3 | ±1.2 | 8.1 | ±0.4 | |
| 13 h | 17.3 | ±1.1 | 8.0 | ±0.4 | |
| 16 h | 17.6 | ±1.1 | 8.2 | ±0.4 | |
| 24 h | 18.6 | ±1.0 | 8.1 | ±0.4 | |
| NI | 18.7 | ±0.8 | 7.9 | ±0.4 | |
| 12 | 9 h | 20.5 | ±1.3 | 7.8 | ±0.4 |
| 11 h | 20.5 | ±1.4 | 8.2 | ±0.4 | |
| 13 h | 20.7 | ±1.3 | 9.0 | ±0.4 | |
| 16 h | 20.8 | ±1.2 | 9.5 | ±8.1 | |
| 24 h | 21.1 | ±1.3 | 8.1 | ±0.4 | |
| NI | 20.6 | ±1.2 | 8.0 | ±0.4 | |
| Cold Treatment (Weeks) | Photoperiod | Plant Height (cm) | Plant Width (cm) | Number of Branches | Number of Flowers | ||||
|---|---|---|---|---|---|---|---|---|---|
| 0 | 9 h | 3.1 | b 1 | 11.1 | c | 15.6 | d | 0 | |
| 11 h | 3.0 | b | 11.2 | c | 17.4 | c | 0 | ||
| 13 h | 3.2 | b | 12.5 | c | 18.4 | c | 0 | ||
| 16 h | 3.6 | b | 14.5 | b | 21.3 | b | 0 | ||
| 24 h | 5.9 | a | 23.5 | a | 24.3 | a | 0.3 | ||
| NI | 3.5 | b | 15.2 | b | 20.8 | b | 0 | ||
| 2 | 9 h | 3.5 | bc | 12.0 | d | 16.7 | d | 0 | b |
| 11 h | 3.6 | bc | 13.5 | d | 17.7 | cd | 0 | b | |
| 13 h | 3.0 | c | 15.9 | c | 18.7 | c | 0 | b | |
| 16 h | 3.8 | bc | 21.2 | b | 21.3 | b | 0.5 | b | |
| 24 h | 5.4 | a | 25.9 | a | 24.8 | a | 9.3 | a | |
| NI | 4.0 | b | 20.8 | b | 21.3 | b | 0 | b | |
| 4 | 9 h | 4.0 | c | 16.4 | d | 16.4 | e | 0 | c |
| 11 h | 4.2 | c | 18.8 | c | 18.6 | de | 0.2 | c | |
| 13 h | 4.2 | c | 19.9 | c | 19.3 | cd | 1.3 | c | |
| 16 h | 5.8 | ab | 22.0 | b | 21.5 | bc | 8.9 | b | |
| 24 h | 6.8 | a | 26.1 | a | 24.0 | a | 18.8 | a | |
| NI | 5.2 | bc | 22.8 | b | 21.8 | ab | 12.4 | b | |
| 8 | 9 h | 4.0 | d | 19.2 | d | 17.8 | c | 0.2 | c |
| 11 h | 4.8 | cd | 20.9 | d | 18.0 | c | 0.9 | c | |
| 13 h | 6.0 | bc | 25.8 | c | 19.2 | c | 11 | c | |
| 16 h | 7.7 | a | 29.8 | b | 27.0 | b | 31.7 | b | |
| 24 h | 8.5 | a | 32.3 | a | 33.5 | a | 65.8 | a | |
| NI | 7.3 | ab | 29.5 | b | 28.8 | b | 29.9 | b | |
| 12 | 9 h | 4.8 | e | 18.1 | d | 18.8 | c | 1.8 | c |
| 11 h | 7.2 | d | 22.2 | c | 18.8 | c | 7.8 | c | |
| 13 h | 9.2 | c | 27.1 | b | 20.3 | c | 23.6 | b | |
| 16 h | 10.8 | b | 29.0 | b | 28.8 | b | 29.3 | b | |
| 24 h | 12.5 | a | 32.7 | a | 38.6 | a | 74.5 | a | |
| NI | 10.6 | bc | 28.9 | B | 29.6 | b | 32 | b | |
| Significance | |||||||||
| Cold treatment (C) | *** | *** | *** | *** | |||||
| Photoperiod (P) | *** | *** | *** | *** | |||||
| C × P | *** | *** | *** | *** | |||||
Disclaimer/Publisher’s Note: The statements, opinions and data contained in all publications are solely those of the individual author(s) and contributor(s) and not of MDPI and/or the editor(s). MDPI and/or the editor(s) disclaim responsibility for any injury to people or property resulting from any ideas, methods, instructions or products referred to in the content. |
© 2025 by the authors. Licensee MDPI, Basel, Switzerland. This article is an open access article distributed under the terms and conditions of the Creative Commons Attribution (CC BY) license (https://creativecommons.org/licenses/by/4.0/).
Share and Cite
Lee, D.G.; Park, S.; Kim, C.W.; Kim, J.H.; Lee, S.Y. Flowering Responses to Vernalization and Photoperiod in Minuartia laricina (L.) Mattf., a Perennial Herb in the Korean Peninsula. Horticulturae 2025, 11, 188. https://doi.org/10.3390/horticulturae11020188
Lee DG, Park S, Kim CW, Kim JH, Lee SY. Flowering Responses to Vernalization and Photoperiod in Minuartia laricina (L.) Mattf., a Perennial Herb in the Korean Peninsula. Horticulturae. 2025; 11(2):188. https://doi.org/10.3390/horticulturae11020188
Chicago/Turabian StyleLee, Dong Gyu, Suejin Park, Chae Won Kim, Jae Hui Kim, and Seung Youn Lee. 2025. "Flowering Responses to Vernalization and Photoperiod in Minuartia laricina (L.) Mattf., a Perennial Herb in the Korean Peninsula" Horticulturae 11, no. 2: 188. https://doi.org/10.3390/horticulturae11020188
APA StyleLee, D. G., Park, S., Kim, C. W., Kim, J. H., & Lee, S. Y. (2025). Flowering Responses to Vernalization and Photoperiod in Minuartia laricina (L.) Mattf., a Perennial Herb in the Korean Peninsula. Horticulturae, 11(2), 188. https://doi.org/10.3390/horticulturae11020188

