Impact of Elevated Temperature and Solar Radiation on Broccoli (Brassica oleraceae var. italica Plenck) Cultivation
Abstract
1. Introduction
2. Materials and Methods
2.1. Plant Material and Cultivation
2.2. Cultivation Practices
2.2.1. Fertilization
2.2.2. Crop Protection
2.3. Environmental Parameters
2.3.1. Irrigation
2.3.2. Environmental Data
2.4. Physiology and Morphology Parameters
2.4.1. During Cultivation
2.4.2. During Harvesting
2.5. Statistical Analysis
3. Results
3.1. Environmental Conditions
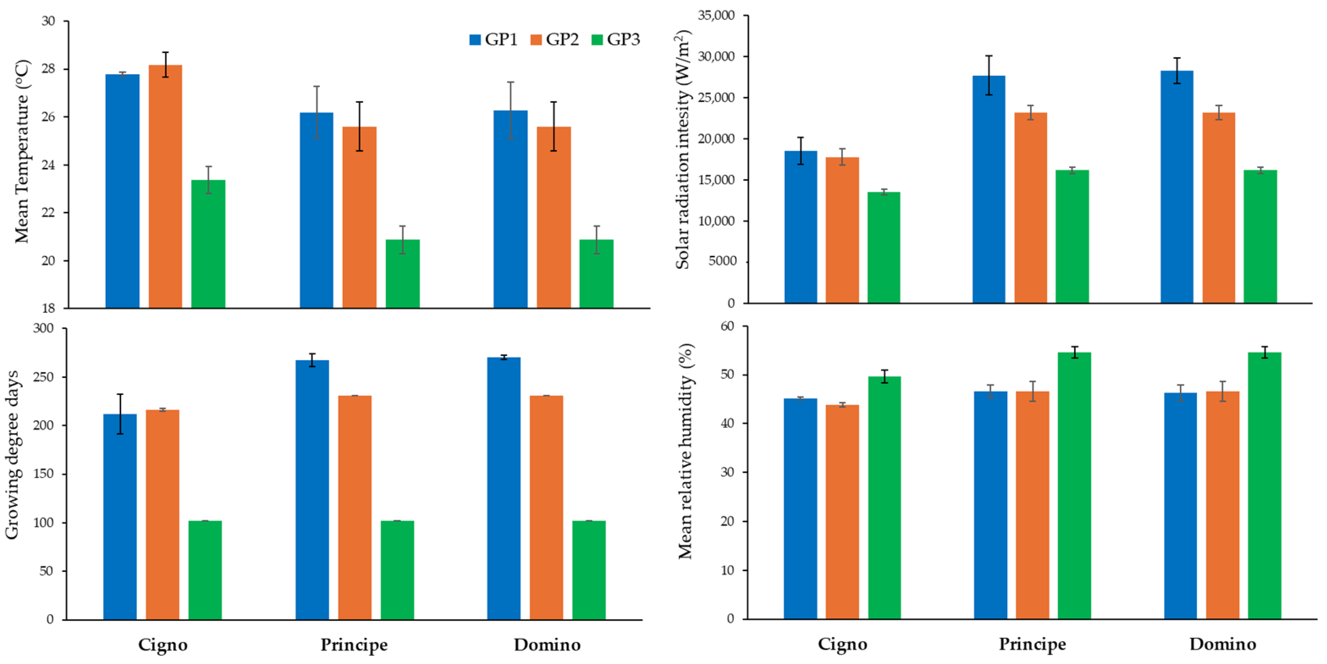
3.1.1. Air Temperature (°C)
3.1.2. Solar Radiation Intensity (W/m2)
3.1.3. Relative Air Humidity (%)
3.2. Crop Growth and Yield
3.2.1. Cultivation Period
3.2.2. Irrigation Water Use
3.2.3. Plant Height
3.2.4. Number of Leaves per Plant
3.2.5. Head LEAF Number
3.2.6. Number of Lateral Shoots
3.2.7. Head Diameter
3.2.8. Head Weight
3.2.9. Head Quality
3.2.10. Commercial Production
3.2.11. Non-Commercial Production
4. Discussion
Effect of Growing Period, Hybrid and Their Interaction
5. Conclusions
Author Contributions
Funding
Data Availability Statement
Acknowledgments
Conflicts of Interest
References
- Dixon, G.R. Vegetable Brassicas and Related Crucifers; CABI: Wallingford, UK, 2006; ISBN 0851993958. [Google Scholar]
- Moreno, D.A.; Carvajal, M.; López-Berenguer, C.; García-Viguera, C. Chemical and Biological Characterisation of Nutraceutical Compounds of Broccoli. J. Pharm. Biomed. Anal. 2006, 41, 1508–1522. [Google Scholar] [CrossRef] [PubMed]
- Ares, A.M.; Nozal, M.J.; Bernal, J. Extraction, Chemical Characterization and Biological Activity Determination of Broccoli Health Promoting Compounds. J. Chromatogr. A 2013, 1313, 78–95. [Google Scholar] [CrossRef] [PubMed]
- De Maria Mourão, I.; Brito, L.M. Empirical Models for Harvest Date Prediction in Broccoli (Brassica oleracea L. Var. Italica Plenck). Acta Hortic. 2000, 539, 47–53. [Google Scholar] [CrossRef]
- Abewoy, D. Review on Impacts of Climate Change on Vegetable Production and Its Management Practices. Adv. Crop Sci. Technol. 2018, 6, 1–7. [Google Scholar] [CrossRef]
- Heather, D.W.; Sieczka, J.B.; Dickson, M.H.; Wolfe, D.W. Heat Tolerance and Holding Ability in Broccoli. J. Am. Soc. Hortic. Sci. 2019, 117, 887–892. [Google Scholar] [CrossRef]
- Diputado, M.T., Jr.; Nichols, M.A. The Effect of Sowing Date and Cultivar on the Maturity Characteristics of Broccoli (Brassica oleraceae Var. Italica). Acta Hortic. 1989, 59–66. [Google Scholar] [CrossRef]
- Wiebe, H.-J. The morphological development of cauliflower and broccoli cultivars depending on temperature. Sci. Hortic. 1975, 3, 95–101. [Google Scholar] [CrossRef]
- Zhang, Y.; Ren, L.; Han, R.; Li, A.; Wang, Y.; Lin, T.; Zhang, Y.; Zhao, H.; Chen, H. Phenotypic Characteristics and Genetic Diversity of New Broccoli (Brassica oleracea Var. Italica Plenck) Varieties in China. Sci. Agric. 2023, 80, e20220223. [Google Scholar] [CrossRef]
- Farnham, M.W.; Bjorkman, T. Breeding Vegetables Adapted to High Temperatures: A Case Study with Broccoli. HortScience 2011, 46, 1093–1097. [Google Scholar] [CrossRef]
- Erdem, T.; Arin, L.; Erdem, Y.; Polat, S.; Deveci, M.; Okursoy, H.; Gültaş, H.T. Yield and Quality Response of Drip Irrigated Broccoli (Brassica oleracea L. Var. Italica) under Different Irrigation Regimes, Nitrogen Applications and Cultivation Periods. Agric. Water Manag. 2010, 97, 681–688. [Google Scholar] [CrossRef]
- Uptmoor, R.; Li, J.; Schrag, T.; Stützel, H. Prediction of Flowering Time in Brassica oleracea Using a Quantitative Trait Loci-Based Phenology Model. Plant Biol. 2012, 14, 179–189. [Google Scholar] [CrossRef] [PubMed]
- Tan, D.K.Y.; Birch, C.J.; Wearing, A.H.; Rickert, K.G. Predicting Broccoli Development I. Development Is Predominantly Determined by Temperature Rather than Photoperiod. Sci. Hortic. 2000, 84, 227–243. [Google Scholar] [CrossRef]
- Lindemann-Zutz, K.; Fricke, A.; Stützel, H. Prediction of Time to Harvest and Its Variability in Broccoli (Brassica oleracea Var. Italica) Part I. Plant Developmental Variation and Forecast of Time to Head Induction. Sci. Hortic. 2016, 198, 424–433. [Google Scholar] [CrossRef]
- Grevsen, K. Modeling of Plant Development in Broccoli. Acta Hort. 2000, 533, 567–574. [Google Scholar] [CrossRef]
- Marshall, B.; Thompson, R. A Model of the Influence of Air Temperature and Solar Radiation on the Time to Maturity of Calabrese Brassica oleracea Var Italica. Ann. Bot. 1987, 60, 513–519. [Google Scholar] [CrossRef]
- Stansell, Z.; Björkman, T.; Branham, S.; Couillard, D.; Farnham, M.W. Use of a Quality Trait Index to Increase the Reliability of Phenotypic Evaluations in Broccoli. HortScience 2017, 52, 1490–1495. [Google Scholar] [CrossRef]
- Branham, S.E.; Stansell, Z.J.; Couillard, D.M.; Farnham, M.W. Quantitative Trait Loci Mapping of Heat Tolerance in Broccoli (Brassica oleracea Var. Italica) Using Genotyping-by-Sequencing. Theor. Appl. Genet. 2017, 130, 529–538. [Google Scholar] [CrossRef] [PubMed]
- Pons, T.L.; Van Der Toorn, J. Establishment of Plantago lanceolata L. and Plantago major L. among grass: I. Significance of Light for Germination. Oecologia 1988, 75, 394–399. [Google Scholar] [CrossRef] [PubMed]
- Yang, Y.W.; Tsai, C.C.; Wang, T.T. A Heat-Tolerant Broccoli F1 Hybrid, “Ching-Long 45”. HortScience 1998, 33, 1090–1091. [Google Scholar] [CrossRef]
- Bisbis, M.B.; Gruda, N.; Blanke, M. Potential Impacts of Climate Change on Vegetable Production and Product Quality—A Review. J. Clean. Prod. 2018, 170, 1602–1620. [Google Scholar] [CrossRef]
- Lin, H.H.; Lin, K.H.; Chen, S.C.; Shen, Y.H.; Lo, H.F. Proteomic Analysis of Broccoli (Brassica oleracea) under High Temperature and Waterlogging Stresses. Bot. Stud. 2015, 56, 18. [Google Scholar] [CrossRef] [PubMed]
- Siomos, A.S.; Koularmanis, K.; Tsouvaltzis, P. The Impacts of the Emerging Climate Change on Broccoli (Brassica oleracea L. Var. Italica Plenck.) Crop. Horticulturae 2022, 8, 1032. [Google Scholar] [CrossRef]
- Farnham, M.W.; Björkman, T. Evaluation of Experimental Broccoli Hybrids Developed for Summer Production in the Eastern United States. HortScience 2011, 46, 858–863. [Google Scholar] [CrossRef]
- Kalisz, A.; Gil, J.; Kunicki, E.; Sękara, A.; Sałata, A.; Caruso, G. Different Temperature Regimes Influenced the Quality of Broccoli Seedlings, Which Caused a Change in the Chemical Composition of Mature Heads. Agronomy 2021, 11, 1806. [Google Scholar] [CrossRef]
- Kałużewicz, A.; Krzesiński, W.; Knaflewski, M.; Lisiecka, J.; Spiżewski, T.; FrąSzczak, B. Effect of Temperature on the Growth of Broccoli (Brassica oleracea L. Var. Italica Plenck) CV. Fiesta. Veg. Crop. Res. Bull. 2012, 77, 129–141. [Google Scholar] [CrossRef]
- Björkman, T.; Pearson, K.J. High Temperature Arrest of Inflorescence Development in Broccoli (Brassica oleracea Var. Italica L.). J. Exp. Bot. 1998, 49, 101–106. [Google Scholar] [CrossRef]
- Grevsen, K.; Olesen, J.E. Modelling Development of Broccoli (Brassica oleracea L. Var. Italica) from Transplanting to Head Initiation. J. Hortic. Sci. Biotechnol. 1999, 74, 698–705. [Google Scholar] [CrossRef]
- Hatfield, J.L.; Prueger, J.H. Temperature Extremes: Effect on Plant Growth and Development. Weather Clim. Extrem. 2015, 10, 4–10. [Google Scholar] [CrossRef]
- Alfaro, E.J.; Gershunov, A.; Cayan, D. Prediction of Summer Maximum and Minimum Temperature over the Central and Western United States: The Roles of Soil Moisture and Sea Surface Temperature. J. Clim. 2006, 19, 1407–1421. [Google Scholar] [CrossRef]
- Hatfield, J.L.; Boote, K.J.; Kimball, B.A.; Ziska, L.H.; Izaurralde, R.C.; Ort, D.; Thomson, A.M.; Wolfe, D. Climate Impacts on Agriculture: Implications for Crop Production. Agron. J. 2011, 103, 351–370. [Google Scholar] [CrossRef]
- Wen, D.; Han, F.; Zhao, Y.; Liu, Y.; Liu, Y.; Huang, J.; Li, Z. Construction and Identification of Cold Tolerance in Different Broccoli Cultivars at the Seedling Stage. Agronomy 2024, 14, 237. [Google Scholar] [CrossRef]
- Francescangeli, N.; Sangiacomo, M.A.; Martí, H.R. Vegetative and Reproductive Plasticity of Broccoli at Three Levels of Incident Photosynthetically Active Radiation. Spanish J. Agric. Res. 2007, 5, 389–401. [Google Scholar] [CrossRef]
- Tan, D.K.Y.; Birch, C.J.; Wearing, A.H.; Rickert, K.G. Predicting Broccoli Development II. Comparison and Validation of Thermal Time Models. Sci. Hortic. 2000, 86, 89–101. [Google Scholar] [CrossRef]
- Durand, M.; Murchie, E.H.; Lindfors, A.V.; Urban, O.; Aphalo, P.J.; Robson, T.M. Diffuse Solar Radiation and Canopy Photosynthesis in a Changing Environment. Agric. For. Meteorol. 2021, 311, 108684. [Google Scholar] [CrossRef]
- Shapla, S.A.; Hussain, M.A.; Mandal, M.S.H.; Mehraj, H.; Jamal Uddin, A.F.M. Growth and Yield of Broccoli (Brassica oleracea Var. Italica L.) to Different Planting Times. Int. J. Bus. Soc. Sci. Res. 2014, 2, 95–99. [Google Scholar]
- Wurr, D.C.E.; Fellows, J.R.; Hambidge, A.J. The Influence of Field Environmental Conditions on Calabrese Growth and Development. J. Hortic. Sci. 1991, 66, 495–504. [Google Scholar] [CrossRef]
- Grevsen, K. Effects of Temperature on Head Growth of Broccoli (Brassica oleracea L. Var. Italica): Parameter Estimates for a Predictive Model. J. Hortic. Sci. Biotechnol. 1998, 73, 235–244. [Google Scholar] [CrossRef]
- Fujime, Y.; Hirose, T. Studies on Thermal Conditions of Curd Formation and Development in Cauliflower and Broccoli. I. Effects of Low Temperature Treatment of Seed. J. Jpn. Soc. Hortic. Sci. 1979, 48, 81–90. [Google Scholar] [CrossRef]
- Gauss, J.F.; Taylor, G.A. Environmental Factors Influencing Reproductive Differentiation and the Subsequent Formation of the Inflorescence of Brassica oleracea L. Var. Italica, Plenck, Cv. ‘Coastal’1. J. Am. Soc. Hortic. Sci. 1969, 94, 275–280. [Google Scholar] [CrossRef]
- Olesen, J.E.; Grevsen, K. Effects of Temperature and Irradiance on Vegetative Growth of Cauliflower (Brassica oleracea L. Botrytis) and Broccoli (Brassica oleracea L. Italica). J. Exp. Bot. 1997, 48, 1591–1598. [Google Scholar] [CrossRef]
- Daniel, K.A.; Muindi, E.M.; Gogo, E.O.; Muti, S. Performance of Brassica Rapa and Brassica oleracea under Shade Net within Coastal Environment. J. Agric. Ecol. Res. Int. 2022, 23, 45–59. [Google Scholar] [CrossRef]












| 4-4-12 | 8-2-2 | 6-0-0 (+8Β) | 19-6-6 | 14-5-24 | 14-5-30 | |
|---|---|---|---|---|---|---|
| Organic matter | 48 | 65 | ||||
| Organic N | 4 | 8 | ||||
| Inorganic N | 6 | 19 | 14 | 14 | ||
| Nitrate-Ν | 13.5 | 12.5 | 8.4 | |||
| Ammonia-Ν | 6 | 5.6 | ||||
| Urea-Ν | 5.5 | 1.5 | ||||
| P2O5 | 4 | 2 | 6 | 5 | 5 | |
| K2O | 12 | 2 | 6 | 24 | 3 | |
| Ca | 6 | 6 | 14 | 10 | ||
| S | 5.6 | 9 | 6 | |||
| Mg | 5 | 1.1 | ||||
| Fe | 0.05 | 0.05 | 0.05 | |||
| B | 8 | 0.01 | 0.01 | 0.01 | ||
| Cu | 0.02 | 0.02 | 0.02 | |||
| Mn | 1 | 0.05 | 0.05 | 0.05 | ||
| Mo | 0.04 | 0.001 | 0.001 | 0.001 | ||
| Zn | 0.1 | 0.02 | 0.02 | 0.02 |
| Plant Height | Plant Leaf Number | Head Leaf Number | ||||||||
|---|---|---|---|---|---|---|---|---|---|---|
| Source of Variance | df | MS | p | η2 | MS | p | η2 | MS | p | η2 |
| Replicates | 3 | 1.93 | 3.36 | 2.29 | ||||||
| Genotype (G) | 2 | 686.56 | *** | 68 | 159.24 | *** | 17 | 148.06 | *** | 35 |
| Growing period (GP) | 2 | 156.55 | *** | 15 | 715.44 | *** | 78 | 173.67 | *** | 41 |
| Genotype × Growing period (G × GP) | 4 | 73.36 | *** | 14 | 10.62 | *** | 2.3 | 40.89 | *** | 19 |
| Error | 24 | 1.75 | 1.35 | 1.56 | ||||||
| Lateral Shoots Number | Head Diameter | Head Weight | ||||||||
|---|---|---|---|---|---|---|---|---|---|---|
| Source of Variance | df | MS | p | η2 | MS | p | η2 | MS | p | η2 |
| Replicates | 3 | 0.03 | 2.02 | 3714.98 | ||||||
| Genotype (G) | 2 | 211.21 | *** | 95 | 8.76 | ** | 4 | 5120.40 | * | 3 |
| Growing period (GP) | 2 | 0.41 | ns | 144.78 | *** | 64 | 88,770.29 | *** | 46 | |
| Genotype × Growing period (G × GP) | 4 | 4.73 | *** | 4 | 28.25 | *** | 25 | 38,659.99 | *** | 40 |
| Error | 24 | 0.18 | 1.07 | 1415.26 | ||||||
| Head Quality | Commercial Production | Non-Commercial Production | ||||||||
|---|---|---|---|---|---|---|---|---|---|---|
| Source of Variance | df | MS | p | η2 | MS | p | η2 | MS | p | η2 |
| Replicates | 3 | 0.06 | 17,714 | 30.95 | ||||||
| Genotype (G) | 2 | 0.05 | ns | 184,407 | *** | 4 | 2.66 | ns | ||
| Growing period (GP) | 2 | 21.97 | *** | 81 | 3,237,499 | *** | 70 | 11,480.04 | *** | 82 |
| Genotype × Growing period (G × GP) | 4 | 1.99 | *** | 15 | 484,204 | *** | 21 | 876.57 | *** | 12 |
| Error | 24 | 0.09 | 16,352 | 66.18 | ||||||
Disclaimer/Publisher’s Note: The statements, opinions and data contained in all publications are solely those of the individual author(s) and contributor(s) and not of MDPI and/or the editor(s). MDPI and/or the editor(s) disclaim responsibility for any injury to people or property resulting from any ideas, methods, instructions or products referred to in the content. |
© 2025 by the authors. Licensee MDPI, Basel, Switzerland. This article is an open access article distributed under the terms and conditions of the Creative Commons Attribution (CC BY) license (https://creativecommons.org/licenses/by/4.0/).
Share and Cite
Koularmanis, K.; Tsouvaltzis, P.; Siomos, A. Impact of Elevated Temperature and Solar Radiation on Broccoli (Brassica oleraceae var. italica Plenck) Cultivation. Horticulturae 2025, 11, 187. https://doi.org/10.3390/horticulturae11020187
Koularmanis K, Tsouvaltzis P, Siomos A. Impact of Elevated Temperature and Solar Radiation on Broccoli (Brassica oleraceae var. italica Plenck) Cultivation. Horticulturae. 2025; 11(2):187. https://doi.org/10.3390/horticulturae11020187
Chicago/Turabian StyleKoularmanis, Konstantinos, Pavlos Tsouvaltzis, and Anastasios Siomos. 2025. "Impact of Elevated Temperature and Solar Radiation on Broccoli (Brassica oleraceae var. italica Plenck) Cultivation" Horticulturae 11, no. 2: 187. https://doi.org/10.3390/horticulturae11020187
APA StyleKoularmanis, K., Tsouvaltzis, P., & Siomos, A. (2025). Impact of Elevated Temperature and Solar Radiation on Broccoli (Brassica oleraceae var. italica Plenck) Cultivation. Horticulturae, 11(2), 187. https://doi.org/10.3390/horticulturae11020187

