You are currently viewing a new version of our website. To view the old version click .
Horticulturae
  • Article
  • Open Access

25 September 2025

Data-Driven Optimization of Substrate Composition for Lettuce in Soilless Cultivation

,
,
,
,
and
1
Institute of Digital Agriculture, Zhejiang Academy of Agricultural Sciences, Hangzhou 310021, China
2
School of Life Science, Guangxi Normal University, Guilin 541006, China
*
Authors to whom correspondence should be addressed.
This article belongs to the Special Issue Advances in Soil and Plant Nutrient Management for Optimizing Horticultural Crop Yields and Soil Sustainability

Abstract

Soilless cultivation has emerged as a sustainable solution for modern agriculture, yet substrate formulation is still often guided by empirical approaches, limiting efficiency and reproducibility. To address this gap, we established a data-driven framework for optimizing substrate composition in garden lettuce (Lactuca sativa L.) cultivation. Using a randomized design, 200 substrate formulations were prepared from peat, vermiculite, and perlite, and their effects on plant growth were evaluated under controlled environmental conditions. Peat content reduced substrate porosity and water-holding capacity, whereas vermiculite increased both properties (linear regression, p < 0.05). Substrate formulations profoundly affected plant biomass, and the peat content was identified as a key predictor. Two rounds of substrate optimization resulted in a significant increase in shoot and root biomass and chlorophyll content, with increases of 57.5% (p = 9.2 × 10−8), 89.8% (p = 8.24 × 10−10), and 43.3% (p < 2 × 10−16), respectively, compared with the initial trial. Additionally, hyperspectral imaging (HSI) and RGB imaging were employed for growth monitoring. Random forest machine-learning method identified several red-edge indices (NDVI705, mNDVI705, mSR705) as highly responsive predictors of substrate formulations, highlighting the potential of imaging traits as proxies for substrate optimization. This study provides a reproducible pathway for improving soilless substrate formulations, contributing to data-informed substrate design and advancing the practice of precision agriculture.

1. Introduction

Soilless cultivation has been a promising solution in agriculture, especially in controlled environment systems such as greenhouses and vertical farms [1]. By removing the reliance on traditional soil, this approach offers significant advantages, including enhanced land-use efficiency, reduced disease transmission, and precise regulation of water and nutrient delivery [2]. These features make soilless systems particularly attractive for urban agriculture, where space limitations and sustainability are critical concerns [3].
Although the use of soilless cultivation is increasing, the importance of soilless substrate formulations in crop production has not been fully recognized. Peat has traditionally been used for its favorable physical and chemical properties, but its extraction poses serious environmental concerns [4]. Therefore, the adoption of sustainable peat alternatives—such as coconut coir, wood fibers, and composted organic wastes—is critical to reduce environmental degradation and promote climate-smart horticulture [5,6,7]. However, even with the availability of renewable materials, substrate formulations are still largely developed through empirical, trial-and-error methods, which depend strongly on expert experience [8]. This situation causes problems such as low reproducibility, long optimization periods, and poor adaptability to different crops or environmental conditions. The absence of standardized and data-driven strategies for substrate design is a key limitation for achieving intelligent and large-scale soilless cultivation. In recent years, research on substrate optimization has mostly focused on materials from industrial, forestry, and agricultural byproducts, as well as sphagnum peat [9]. Most studies still apply conventional experimental methods, such as single-factor experiments and response surface methodology, to examine the influence of substrate properties on plant performance [6,10]. These approaches provide useful information, but they often cannot represent the complex and nonlinear relationships in multi-component substrate systems. Data-driven approaches for substrate optimization are still at an early stage, and building predictive models to connect substrate formulations with plant responses remains a major challenge [11].
At the same time, hyperspectral (HSI) and visible imaging have attracted attention because they can collect detailed spectral information over hundreds of continuous wavebands [12]. It has been applied in many agricultural fields, including soil nutrient evaluation [13,14], detection of plant stress [15,16], and estimation of physiological traits [17,18]. HSI allows non-destructive and high-resolution monitoring of biological and chemical properties, and is considered a useful tool for precision agriculture [19]. However, its use for analyzing substrate composition and designing substrate formulations is still rare. Previous studies have shown that HSIs can be used to assess soil fertility and plant physiological status, but their ability to analyze complex substrate mixtures and support intelligent formulation design has not yet been fully explored.
At the same time, machine learning (ML) and artificial intelligence have shown strong potential in agriculture, for example, in irrigation management, crop quality grading, and nutrient optimization [20,21]. These methods are especially suitable for modeling complex and high-dimensional relationships, including those that link spectral data, physical characteristics, and biological outcomes [22]. While ML and HSI have been combined successfully in other agricultural areas, their joint use in soilless substrate formulation is still limited. Only a few studies have tried to predict plant growth responses from the spectral features of substrate mixtures, and this leaves an important gap in both research methods and practical applications.
To address this gap, the present study introduces a data-driven design–build–test–learn (DBTL) framework for substrate formulation. The primary purpose of this work is to evaluate whether randomized substrate generation combined with regression and machine-learning models can predict plant growth responses. In doing so, the study provides proof-of-concept that predictive modeling can accelerate substrate optimization. While the analyses also highlight associations between substrate properties and plant performance, we note that mechanistic causal relationships are not directly tested here and remain an important direction for future research. Garden lettuce (Lactuca sativa L.) is chosen as the model crop because it is a fast-growing leafy vegetable and is highly sensitive to substrate properties [23,24]. Its short growth cycle and strong response to environmental changes allow quick evaluation of cultivation parameters, making it a common choice in both research and commercial production [25,26].

2. Materials and Methods

2.1. Formulation of Soilless Substrates

The two rounds of substrate testing were conducted as independent experiments. Instead of conducting multiple replicates for each formulation, we adopted a randomized substrate design coupled with statistical analyses (e.g., regression analysis) to explore a wide formulation space. This exploratory strategy aimed to identify general trends and promising formulation ranges rather than to provide definitive evaluations of individual formulations.
The first round of experiments produced initial measurements that guided the generation of optimized formulations. For the purpose of screening out suitable substrate formulations, 100 different volume ratios were randomly generated using an R script (available at https://github.com/hahafengxiang/substrate/blob/main/randomizer_R1, accessed on 13 May 2025) and then prepared 100 different composite substrates using commercially available raw materials: 5–20 mm peat moss (Pindstrup Mosebrug A/S, Ryomgaard, Denmark), 3–6 mm vermiculite (Stanley, Linyi, China) with, and 3–6 mm perlite (Stanley). The volume percentage of peat, perlite, and vermiculite was each permitted to vary from 0 to 100% under this constraint (Table 1). Specifically, weighed the mass of the substrate required to fill each square pot (100 mm top diameter × 75 mm bottom diameter × 85 mm depth, ~0.65 L) and then calculated the weights of each component of the substrate according to the proportions and mixed accordingly.
Table 1. Summary of substrate formulations from the first (R1) and second (R2) experimental rounds. The table presents the volume fractions (v/v, %) and weights of peat, vermiculite, and perlite. Chemical properties, including total organic matter (TOM), available potassium (AK), available phosphorus (AP), and total nitrogen (TN), were estimated based on the average values of the three raw materials weighted by their respective proportions in each formulation.
The second round of the experiment comprised a new, fully randomized allocation of plants to trays and the same measurement protocol. During the second round of experiments, peat and vermiculites were used as raw materials based on the results of the first-round of experiment. The volume percentage of peat was restricted to 50–90% and vermiculite to 10–50% based on the top-performing first-round formulations (Table 1). 100 different volume ratios were randomly generated using an R script (https://github.com/hahafengxiang/substrate/blob/main/randomizer_R2, accessed on 13 May 2025). The preparation methods were the same as those described above.
Soil organic matter (SOM) content was determined by the external heating potassium dichromate oxidation method (K2Cr2O7). Available nitrogen (AN) was determined using the alkali diffusion method, available phosphorus (AP) was determined by the Olsen method, and available potassium (AK) was measured using the ammonium acetate extraction–flame photometry method. Total nitrogen (TN) was determined by the Kjeldahl distillation method. Reagents were purchased from Macklin Biochemical Technology Co., Ltd. (Shanghai, China). pH was measured using a PHS-CPH pH meter (Leici, Shanghai, China).

2.2. Substrate Physical Properties

To evaluate the influence of substrate composition on physical properties, including total porosity and water-holding capacity (WHC), we randomly selected a representative subset of 30 formulations from the 100 randomized substrates. This sampling strategy was intended to capture the variability across the full design space while keeping the measurements experimentally manageable. The physical properties were determined by the gravimetric method. Each substrate was first saturated with water, allowed to drain for 1 h, and then weighed to obtain the WHC. The porosity was calculated as the proportion of water retained after saturation and drainage to the total substrate volume.

2.3. Plant Materials and Growth Conditions

The experiment was conducted inside an artificial climate chamber at the Zhejiang Academy of Agricultural Sciences, Hangzhou, China (30°18′ N, 120°12′ E). The lettuce variety used in the experiment was ‘Speedy Crisp No.1’ of Romaine-type garden lettuce (Xinxinran Horticulture Co., Ltd., Weifang, China). Lettuce was selected as a model plant for substrate evaluation. Plants in this study were grown in pots filled with randomized substrate formulations, allowing direct assessment of substrate-driven effects. Seeds were initially raised in plug trays, and transplanting was conducted when the seedlings reached the two true leaf stages. The seedlings were then exposed to 16 h of light (219.7 ± 6.7 µmol·m−2·s−1, mean value ± standard error, n = 6) and 8 h of darkness, provided by cold white LED lamps with a correlated color temperature of approximately 5000 K. Day/night temperatures were maintained at 25/20 °C and relative humidity at 85%. Watering was carried out every day after planting with tap water (EC = 0.6 mS/cm, pH = 7.4) to maintain substrate moisture near field capacity. No fertilizer was applied during the trial period. Fertilizers were deliberately omitted in order to isolate the intrinsic nutrient contributions of substrate components. Seedlings were grown for four weeks and subjected to phenotyping and biomass determination.

2.4. Phenotypic Imaging and Data Analysis

The standardized plant phenotyping platform TraitScanner (PhenoTrait Co., Beijing, China) was used for measurement. The platform consists of an automated mobile scanning platform, imaging units, control modules, and analysis software. The hyperspectral imaging unit is equipped with a Specim FX10 (Specim, Spectral Imaging Ltd., Oulu, Finland) camera and halogen lamps for illumination and a wide wavelength range from visible light to near-infrared light (400–1000 nm).
The seedlings were placed on the measurement stage of the phenotyping platform. During data acquisition, the sensor was configured at its maximum spectral and spatial resolution to ensure the capture of high-quality hyperspectral information. A white reference panel and dark current correction before image acquisition to ensure radiometric consistency across time. The raw image data were subsequently preprocessed through radiometric correction, spectral calibration, and noise reduction, thereby minimizing potential errors and interferences introduced during imaging.
In total, 48 hyperspectral and RGB indices were calculated through the software of TraitScanner v1.0, and the indices mentioned in the results were sum of greenness index (SG), red edge normalized difference vegetation index (NDVI705), modified red edge normalized difference vegetation index (mNDVI705), modified red edge ratio vegetation index (mSR705), red-green ratio index (RGRI), chlorophyll content (CC), green projected area (GPA), canopy length (CL), bounding rectangle area (BRA), enclosing circle diameter (ECD).

2.5. Measurements of Chlorophyll and Biomass

A chlorophyll meter (SPAD502; KONICA MINOLTA, Osaka, Japan) was used to estimate the chlorophyll content. For this purpose, the chlorophyll content at a distance of 50% from the base of the leaf was measured on three randomly selected leaves, and then the average value was calculated.
At the end of the experiment, plant biomass was determined using the direct weighing method. At harvest, whole plants were carefully removed from pots by loosening the substrate manually, and roots were gently rinsed with distilled water to remove substrate adhesive to roots. Cleaned roots were blotted with absorbent paper to remove surface water. Shoots and roots were separated at the stem base using scissors. Samples were then oven-dried at 105 °C for 30 min and at 70 °C to a constant mass.
Percentage increases in shoot dry matter (SDM), root dry matter (RDM), and chlorophyll content (SPAD values) between the two experimental rounds were calculated by comparing the mean values of the optimized formulations in the second round of experiment with the corresponding mean values in the first round.

2.6. Statistics

Mean values of substrate chemical properties were compared among materials using one-way ANOVA, followed by Tukey’s post hoc test implemented in the agricolae package (v1.3.7) in R 4.2.1. Paired t-tests were used to perform pairwise comparisons of mean values. The Shapiro–Wilk test was performed to check the normality of data, and Levene’s test was performed to check homogeneity of variance across groups. Ternary plots were constructed with the ggtern package (v3.5.0) to visualize substrate formulations. Linear regression analyses were performed using the base R function lm; given the compositional nature of the data (proportions summing to 100%), predictors are not independent and interactions may exist, and, therefore, model outputs were interpreted as indicative rather than mechanistic. Spearman correlation coefficients were calculated with the psych package (v2.5.6). Random forest machine learning method was employed to model the relationships between substrate components and plant growth outcomes. Since peat and vermiculite were the only components in the second-round substrates and their volume fractions summed to 100%, the volume fraction of peat alone was used as the predictor in the random forest model. The randomForest package (v4.7-1.1) was used for building the model, and a ten-fold cross-validation was applied to determine the optimal number of features for model construction [27]. The relative importance of selected features was subsequently ranked by the mean decrease in accuracy (MSE).

3. Results

3.1. Randomized Substrate Formulations

We used peat, vermiculite, and perlite as base materials for substrate formulations. This randomized method generated 100 substrate formulations with markedly different compositions (Figure 1a).
Figure 1. Compositions of 100 randomized substrate formulations. (a) Percent by volume of peat, vermiculite, and perlite. (bd) Shoot biomass (SDM), root biomass (RDM), and leaf chlorophyll content (Chl, SPAD values) of lettuce plants. Lettuce seedlings were grown for 28 days after seed germination in a growth chamber (16 h light/8 h dark; day/night temperature 25/20 °C; relative humidity 85%; cold white LED light, 219.7 ± 6.7 µmol·m−2·s−1). (eg) Ternary plots illustrating plant growth outcomes (SDM, RDM, Chl) across soilless substrate formulations. Each point denotes a formulation, positioned according to the relative proportions of peat, vermiculite, and perlite, with point size indicating the corresponding growth value.
To determine the chemical contributions of different materials to the substrates, the nutrition profiles of the materials were determined. Peat primarily provides nutrition for plant growth with about 749.667 g/kg of TOM, 9.13 mg/kg of TN, 2628.333 mg/kg AK, and 516.3 mg/kg of AP, which were much higher than those of perlite and vermiculite (Table 2). These effects were most evident during the 28-day cultivation window. Empirically, perlite and vermiculite were included to support gas permeability in the substrate. Meanwhile, vermiculite also showed a considerable contribution to AK content, which was about 2.4-fold higher than perlite (Table 2). In addition, the pH of peat moss exhibited much lower values than that of the other two raw materials (Table 2).
Table 2. Chemical properties of substrate materials. Total organic matter (TOM), available potassium (AK), available phosphorus (AP), and total nitrogen (TN) were determined (n = 3). Letters after the numbers show Tukey’s multiple comparisons of one-way ANOVA between peat, perlite, and vermiculite.

3.2. Plant Growth in the Randomized Substrates

The growth outcomes of leaf total chlorophyll content, biomass (SDM and RDM) was evaluated after 28 days of growth under LED lights. Overall, the lettuce plants in the 99 randomized substrate formulations (excluding one NA value) yielded an average of 0.18 ± 0.01 g (mean values ± standard error) of SDM, 0.06 ± 0.01 g of RDM, and 11.35 ± 0.20 SPAD value of leaf chlorophyll (Figure 1b,c). Ranking SDM values from the highest to the lowest, RDM exhibited a similar trend with SDM, with the highest values were found in substrate formulations with more peat content (Figure 1b,c). Since fertilizers were not applied during the experiment, this is attributable to the inherently low baseline nutrient contents of these substrates, which provided insufficient N, P, and K to sustain growth. While high peat content was generally associated with higher biomass, some high-peat formulations showed relatively low SDM values (Figure 1a,b). These deviations likely reflect random biological variation, including differences in seed vigor, which were not fully controlled in this exploratory trial. However, there was no obvious trend of change for leaf chlorophyll content (Figure 1d).
We also visualized plant growth parameters with ternary plots to link substrate compositions to the lettuce growth. Samples with high biomass and leaf area tend to occur in substrates with higher peat content (Figure 1e,f), suggesting the promotion effect of peat on garden lettuce growth. However, leaf total chlorophyll did not show any preference for the three substrate materials (Figure 1g).

3.3. Effects of Formulation on Substrate Physical Properties

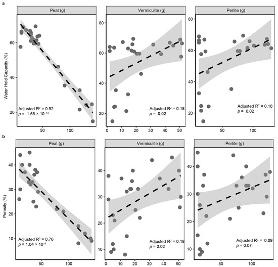
To determine the physical contributions of different materials to the substrates, the substrate porosity and WHC were determined for 30 randomly selected formulations. Specifically, peat proportion was significantly and negatively regressed to both substrate porosity and WHC. In contrast, both vermiculite and perlite proportions were positively regressed to the two physical properties, whereas the relationship between perlite and substrate porosity was not significant (p = 0.07) (Figure 2a,b).
Figure 2. Relationships between formulation composition and substrate water hold capacity (WHC) (a) and porosity (b). Lettuce seedling were grown for 28 days after seed germination in a growth chamber (16 h light/8 h dark; day/night temperature 25/20 °C; relative humidity 85%; cold white LED light, 219.7 ± 6.7 µmol·m−2·s−1). Relationship between substrate components (peat, perlite, and vermiculite) and physical properties (water holding capacity [WHC] and porosity) was fitted with linear regression. Each point represents one formulation (n = 30). The dashed line indicates the fitted regression, and the shaded area represents the 95% confidence interval.

3.4. Correlations Between Substrate Composition and Plant Growth Performance

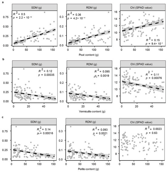
Spearman correlations were evaluated between substrate compositions and lettuce SDM, RDM, and leaf chlorophyll content, respectively. Peat content (g/pot) was positively and significantly correlated with SDM (R2 = 0.50) and RDM (R2 = 0.36) (p < 1 × 10−10), indicating it is a good indicator of biomass production (Figure 3a). In contrast, the other two kinds of materials, vermiculite and perlite, were negatively and significantly correlated with biomass, while the R2 coefficients were all much lower compared to peat content (Figure 3b,c). For the relationships with leaf chlorophyll content, peat content was positively correlated, and vermiculite content was negatively correlated with the SPAD values, while the R2 coefficients were quite low (≤0.15) (Figure 3b,c). Additionally, perlite content showed no correlations with leaf chlorophyll content (Figure 3a).
Figure 3. Relationships between plant growth outcomes and the contents of peat (a), vermiculite (b), and perlite (c) in the substrate formulation. Lettuce seedlings were grown for 28 days after seed germination in a growth chamber (16 h light/8 h dark; day/night temperature 25/20 °C; relative humidity 85%; cold white LED light, 219.7 ± 6.7 µmol·m−2·s−1). Relationship was fitted with linear regression. Each point represents one formulation (n = 99). The dashed line indicates the fitted regression, and the shaded area represents the 95% confidence interval. SDM: shoot dry mass, RDM: root dry mass, Chl: leaf chlorophyll.

3.5. Iteration of Substrate Formulation Design

According to the plant growth outcomes during the first-round experiment, we selected the top 10 substrate formulations (10%) with the highest SDM since the lettuce shoots are the most edible parts and of the most economic value. These formulations were made up of 67 ± 5.4% peat, 16.3 ± 5.2% vermiculite, and 16.7 ± 5.1% perlite (volume percentage). In the second-round optimization of substrate formulations, we considered the functional overlap between vermiculite and perlite, reflected by their similar roles contributing to physical properties (Figure 1), and their correlations with plant growth performance (Figure 2). Since perlite contributed insignificantly to substrate porosity and to leaf chlorophyll content, we decided to employ peat and vermiculite as the substrate materials for the second round of growth experiments.
Another 100 formulations were built by randomizing peat volume percentage ranging from 50 to 90%, and accordingly, vermiculite volume percentage ranged from 50 to 10% (Figure 4a). Lettuce seedlings were grown on the 100 new formulations for 28 days. Compared to the first round of experiment, the optimization of substrate formulations significantly increased 57.5% in the mean values of SDM (p = 9.2 × 10−8), 89.8% in RDM (p = 8.24 × 10−10), and 43.3% in leaf chlorophyll contents (SPAD values) (p < 2 × 10−16) (Figure 4b–d). The top 10 substrate formulations (10%) with the highest SDM were also drawn from the 100 formulations, which consisted of 75.7 ± 3.6% peat and 24.3 ± 3.6% vermiculite (Figure 4a).
Figure 4. Optimization of soilless substrate components and plant growth outcomes. (a) Percent by volume of peat and vermiculite. (bd) Shoot biomass (SDM), root biomass (RDM), and leaf chlorophyll content (SPAD values) of lettuce plants. Lettuce seedlings were grown for 28 days after seed germination in a growth chamber (16 h light/8 h dark; day/night temperature 25/20 °C; relative humidity 85%; cold white LED light, 219.7 ± 6.7 µmol·m−2·s−1).

3.6. Phenotyping Traits Obtained by HSI and RGB Imaging

Because biomass assessment is inherently delayed, we employed both hyperspectral and RGB imaging to enable real-time monitoring of plant growth. The random forest model was used for regressing substrate formulation compositions to the growth outcomes and also to the hyperspectral imaging indices. The random forest regression explained 14.85% of the variance in peat fraction (mean squared residual = 242.46). A 10-fold cross-validation identified 13 features with the highest MSE% (the most important features). SDM, RDM, and also leaf chlorophyll (SPAD values) were among the most important features, indicating their robustness. Although the overall predictive power was modest, red-edge indices consistently ranked as the most important features (Figure 5a). Three and red-edge reflectance indices, red-edge normalized difference vegetation index (NDVI705), modified red-edge normalized difference vegetation index (mNDVI705), and modified red-edge simple ratio index (mSR705), were also among the 13 features (Figure 5a). Considerable correlations were identified between the 13 features (Figure 5b). Noticeably, mSR705 was simultaneously correlated with SDM and RDM, revealing the relationships between lettuce crown size and biomass.
Figure 5. Featured plant traits in response to substrate formulation compositions. (a) The rank of feature importance in the random forest model. The contribution of each of the features was ranked by the mean decrease in accuracy (MSE). (b) Spearman correlations between the 13 features. The asterisks in the blocks indicate significant correlations. * p ≤ 0.05, ** p ≤ 0.01. Lettuce seedlings were grown for 28 days after seed germination in a growth chamber (16 h light/8 h dark; day/night temperature 25/20 °C; relative humidity 85%; cold white LED light, 219.7 ± 6.7 µmol·m−2·s−1).

4. Discussion

This study aimed to optimize substrate composition for lettuce in soilless cultivation using high-throughput imaging and machine learning while quantifying the effects of substrate properties on growth. The research successfully linked spectral features to substrate formulations, leading to improved growth outcomes through iterative optimization. Notably, the innovative soilless substrate design shifted from traditional empirical approaches to a precise, data-driven methodology that enhances efficiency and scalability in precision agriculture.

4.1. Iterative Optimization and Performance Gains

The optimization process in this study followed a structured DBTL cycle, offering a systematic and iterative framework that accelerates innovation by tightly coupling experimental and computational workflows. In the design phase of this study, substrate formulations were systematically generated through randomized ratio schemes, ensuring broad coverage of the composition space. The build phase involved preparing these formulations and cultivating lettuce under controlled environmental conditions. In the test phase, high-throughput phenotyping, including hyperspectral and RGB imaging, was employed to capture plant growth and physiological responses with high temporal and spectral resolution. Finally, the learn phase integrated phenotypic, spectral, and compositional data into machine learning models to identify key predictors and guide iterative refinement of substrate formulations.
The DBTL cycle has been widely adopted in bioengineering using plants or microorganisms as production units [28,29,30]. However, it has rarely been used in the optimization of plant growth substrates to our best knowledge. Therefore, this study adopts the DBTL cycle, which not only enhances experimental efficiency and reproducibility but also enables rapid convergence toward high-performance formulations, demonstrating its potential as a generalizable approach for precision-guided optimization in soilless cultivation. In practice, the convergence or sufficiency of DBTL cycles can be considered from two aspects. From the biological aspect, convergence means that after several optimization rounds, there are no further significant improvements in shoot biomass, root biomass, chlorophyll content, or key spectral indices, showing that plant response has reached a stable level [28]. From the practical aspect, sufficiency is reached when the optimized formulations can meet or exceed the commercial standards for yield and quality, while also keeping costs and environmental impact acceptable [31]. Therefore, the DBTL framework is not expected to continue endlessly, but to stop when additional cycles bring only small benefits compared with the extra input or sustainability requirements.
In the second round of experiments, substrate formulations were strategically designed based on the top-performing 10% of formulations from the initial randomized trial, focusing the search within a narrowed region of the ternary composition space defined by peat, perlite, and vermiculite. This targeted “elite sampling” approach concentrated experimental effort where empirical evidence indicated the highest yield potential [32], while still allowing for fine-scale variation to capture local optima. This design not only improved efficiency but also minimized resource use and experimental redundancy. The approach inherently captures nonlinear and interactive effects among components, accelerates convergence toward optimal formulations, and provides a scalable template for iterative optimization in other controlled-environment crop systems. The top-performing formulations identified in this study contained approximately 75% peat and 25% vermiculite. This composition is broadly consistent with commercially used peat-dominant substrates for lettuce cultivation, which often include 60–90% peat combined with inorganic or organic amendments (e.g., perlite, vermiculite, coir) [33,34]. However, our results were obtained under fertilizer-free conditions and should be interpreted as exploratory rather than prescriptive. Future validation under fertilized and hydroponic conditions is necessary to determine whether the optimized peat–vermiculite range identified here aligns with industrial best practices. The iterative refinement of substrate formulations yielded substantial performance gains, with the second-round experiment demonstrating a 57.5% increase in shoot dry mass (SDM), an 89.8% increase in root dry mass (RDM), and a 43.3% enhancement in leaf chlorophyll content (SPAD) compared to the initial randomized formulations. These improvements underscore the efficacy of a data-driven framework. Nonetheless, further validation across seasons and larger production settings would strengthen external generalizability.
Traditional research on optimizing growth substrates primarily relied on empirical approaches, which suffered from several key limitations. Early studies often selected substrates through trial-and-error rather than systematic characterization of physical-chemical properties such as air-filled porosity and water-holding capacity, leading to inconsistent results [35,36]. Additionally, fixed substrate ratios were assumed to be universally optimal without considering crop-specific requirements or dynamic root-environment interactions [37,38]. These shortcomings highlighted the need for more data-driven, interdisciplinary approaches integrating substrate physics and plant growth outcomes to optimize soilless cultivation systems effectively. We acknowledge that the lack of replicates reduces the reliability of conclusions for any specific formulation. However, our intention was not to establish final recommendations, but to perform a high-throughput screening of formulation space. By combining randomization with regression-based analysis, we obtained considerable indications of how substrate components affect physical and chemical properties.

4.2. Imaging as a Predictive Tool

In the second round of the experiment, phenotyping based on imaging methods proved to be a powerful predictive tool for decoding the complex interactions between substrate formulation and plant response. By extracting a suite of spectral indices—most notably the red-edge reflectance indices—and integrating them with traditional growth metrics (SDM, RDM, SPAD), our random forest models were able to explain a substantial proportion of variance in biomass and chlorophyll outcomes. For example, mSR705 emerged as one of the top predictors of both shoot and root mass. Two other red-edge indices, NDVI705 and mNDVI705, were also identified as among the most responsive features to substrate formulations. These results were consistent with other studies indicating the predictive roles of red-edge indices on plant biomass [15,39,40]. Both hyperspectral and RGB imaging offer non-destructive, high-resolution temporal monitoring, enabling continuous assessment of plant health without sacrificing experimental units [18,41]. Integrating both techniques combines structural precision (RGB) with spectral sensitivity (HSI), offering comprehensive phenotyping from cellular to canopy scales under controlled and field conditions [42].
The integration of imaging and machine learning markedly streamlines substrate optimization by replacing protracted, labor-intensive factorial trials with rapid, data-guided feedback loops [18,28]. In our study, two iterative screening rounds—each lasting only 28 days—sufficed to refine substrate compositions and achieve substantial gains in biomass and chlorophyll, compared to the months typically required for single-factor or response surface experiments. This accelerated pipeline readily adapts to crop-specific requirements. When coupled with automated mixing and irrigation systems in vertical farms or greenhouses, this framework can continuously adjust substrate formulations in response to real-time plant health metrics, ensuring consistent performance at commercial scales. However, the relatively low R2 of the random forest model indicates that hyperspectral indices explained only part of the variation in substrate composition, reflecting both biological complexity and multicollinearity among indices. Nevertheless, the consistent identification of red-edge indices aligns with their established relevance to chlorophyll and canopy structure, suggesting that the random forest approach is useful for exploratory feature selection. Future studies should include external validation datasets and additional physiological measurements to confirm the robustness of these findings.
These findings should also be understood within the broader context of controlled-environment studies. Red-edge vegetation indices, including NDVI705 and its derivatives, have consistently been shown to capture biomass accumulation, nitrogen uptake, and photosynthetic efficiency in hydroponic, aeroponic, and restricted-irrigation systems where no solid substrates are used [15,40,43]. Their responsiveness across both substrate-based and substrate-free systems suggests that red-edge indices are not limited to a particular cultivation mode but are robust indicators of crop growth under a wide range of controlled-environment conditions. However, although the red-edge indices demonstrated broad applicability, their utility in reflecting plant responses to substrate composition still requires validation across different hydroponic and fertilized cultivation systems.

4.3. The Importance of Substrate Compositions for Lettuce Growth

Peat emerged as the most influential component in driving lettuce growth, with its proportion in the substrate showing a robust, positive relationship with both shoot and root biomass as well as leaf chlorophyll content. In our first-round experiment, increasing peat volume led to significantly higher SDM (R2 = 0.5) and RDM (R2 = 0.36), indicating that peat’s nutrient-rich organic matter substantially enhances plant biomass accumulation. Concurrently, peat content exhibited a modest yet positive correlation with chlorophyll content (SPAD values) (R2 = 0.15), suggesting that substrates richer in peat support not only structural growth but also photosynthetic capacity. These findings underscore the dual role of peat as a primary source of available nutrients and as a regulator of substrate physical properties in optimizing biomass production and leaf greenness [44].
By contrast, vermiculite and perlite showed weaker or negative correlations with biomass and only minimal associations with SPAD values, further highlighting the central importance of peat in formulating high-performance soilless substrates. The low lettuce biomass observed in perlite- or vermiculite-rich formulations is consistent with nutrient deficiency under fertilizer-free conditions, reflecting the minimal intrinsic nutrient supply of these components. We acknowledge that the use of a single cultivar and fertilizer-free irrigation limits the generalizability of our findings to commercial soilless practice. In practical cultivation systems where fertilizers are supplied, the relative importance of chemical differences among substrates may diminish, and physical properties such as porosity and WHC would play a more decisive role. Furthermore, the optimal substrate composition is likely to be contingent upon the cultivation system. In hydroponic methods such as NFT (Nutrient Film Technique) and DFT (Deep Flow Technique), where nutrients are externally supplied, the substrate serves primarily as a structural matrix and a reservoir for water rather than as a nutrient source [5]. Consequently, future studies should evaluate the performance of optimized formulations under fertilized and hydroponic conditions to validate and extend the generalizability of the present findings. However, studies also point out the necessity for the replacement of peat in soilless culture due to its unsustainable extraction, which degrades carbon-rich peatlands and releases stored CO2, exacerbating climate change [1,5]. Peat extraction and utilization contribute to carbon emissions and peatland degradation, which are increasingly recognized as incompatible with climate mitigation and ecosystem conservation goals [4,9]. Consequently, the horticultural sector faces strong pressure to reduce reliance on peat. In addition to peat, a range of alternative substrates has been investigated for horticultural use, with the dual aim of maintaining crop performance while reducing ecological impacts. Alternative substrates like coconut coir [6], wood fiber [7], biochar [45], and composted green waste [46] offer comparable water retention and aeration while reducing ecological impact and promoting circular resource use [5,47]. Thus, while peat remains agronomically effective, sustainable transitions toward these alternatives are crucial for future soilless cultivation systems. For this reason, future research should test whether the predictive framework established here—particularly the spectral indices (NDVI705, mNDVI705, mSR705) identified as reliable predictors of biomass—remains valid when applied to alternative and more sustainable materials. Such studies will be critical to ensure that intelligent substrate design not only maximizes crop productivity but also supports long-term environmental sustainability.
The superiority of peat in substrate optimization can be attributed to its exceptionally high organic matter content and associated nutrient-holding characteristics. In our chemical analyses (Table 1), peat exhibited a total organic matter of 749.7 g kg−1—orders of magnitude greater than perlite (1.9 g kg−1) and vermiculite (4.8 g kg−1)—alongside markedly higher levels of available potassium (2628 mg kg−1) and phosphorus (516 mg kg−1). Such nutrient richness fosters sustained release, ensuring that roots encounter a steady supply of essential elements required for vigorous cell division and differentiation. Moreover, the intrinsic water-holding capacity of peat helps maintain substrate moisture in the optimal range for nutrient uptake, thereby minimizing water stress and promoting chloroplast development, as reflected in the observed increases in SPAD values. The dominance of peat in contributing to substrate nutrient availability was observed under a 4-week fertilizer-free regime. While this design enabled us to isolate intrinsic chemical contributions of the substrate components, it does not necessarily predict nutrient dynamics under longer cultivation cycles or fertilization. In fertilized systems, external nutrient inputs are likely to reduce the relative influence of peat, and microbial transformations over time may further alter nutrient release patterns [48,49]. Future work should, therefore, extend chemical monitoring to longer time frames and fertilized conditions to evaluate the persistence and practical significance of peat’s contribution.
In contrast, perlite and vermiculite contributed little to nutrient provision, with available potassium and phosphorus contents less than 10% of those in peat, and exhibited either weak or negative correlations with both SDM and RDM. Their primary function lay in enhancing physical parameters—perlite increased aeration but did not significantly affect porosity (p = 0.07), while vermiculite improved both porosity and water-holding capacity. Although these traits are essential for root respiration and preventing hypoxia, they cannot substitute for the nutritional foundation provided by peat. Hence, while perlite and vermiculite are indispensable for tailoring substrate structure, our results confirm that high peat proportions are the key driver of biomass accumulation and photosynthetic capacity in soilless lettuce cultivation. We acknowledge that measuring physical properties for only 30 of the 100 formulations limits the precision of extrapolated estimates. Future work should expand and replicate physical measurements across the design space to refine prediction intervals and validate the model across additional substrate types.
Looking forward, substrate optimization can be advanced through several strategic directions. Expanding the range of substrate constituents beyond peat, perlite, and vermiculite to include sustainable alternatives—such as biochar, coconut coir, and agricultural by-products—would enhance both the environmental sustainability and the functional diversity of formulations [6]. Recent studies on substrate-free cultivation and restricted irrigation systems have underscored their relevance for resource-efficient horticultural production [50]. These findings suggest that the DBTL and imaging-guided framework presented here may also be extended beyond substrate optimization in lettuce to broader controlled-environment contexts, including hydroponics and deficit irrigation management.

5. Conclusions

In conclusion, this study demonstrates a proof-of-concept, data-driven framework for soilless substrate optimization that integrates high-throughput phenotyping with machine learning to rapidly and reproducibly refine substrate formulations, yielding up to 89.8% increases in root biomass and substantial gains in shoot growth and chlorophyll content. Beyond its methodological innovation, the framework carries clear practical implications for commercial growers. By shortening the trial-and-error period traditionally required for substrate development, it can reduce production costs, improve resource-use efficiency, and support more consistent crop quality across batches. Future applications of this framework could integrate alternative, peat-reduced or peat-free materials into the optimization pipeline, offering a potential pathway toward environmentally sustainable growing media that reduce reliance on non-renewable resources. Nevertheless, the conclusions drawn here are limited to a single crop species and a short-term experimental setting without fertilizer input. The findings should, therefore, be interpreted as a proof-of-concept, rather than a universally applicable solution. Future research should validate and calibrate this approach across multiple crops, growth stages, and environmental conditions, including commercial greenhouse and vertical farming systems, and evaluate alternative substrate components such as peat-free materials. Such efforts will be essential for translating this framework into a broadly applicable tool for precision substrate management. This study provides a reproducible pathway for improving soilless substrate formulations under fertilizer-free, short-term conditions, illustrating the potential of data-informed substrate design for future applications in precision agriculture.

Author Contributions

Conceptualization, X.T. and D.K.; methodology, X.T., Z.Y. and M.D.; software, Z.Y. and L.D.; validation, Z.Y. and Y.L.; formal analysis, Z.Y. and L.D.; investigation, Z.Y., Y.L. and L.D.; resources, Y.L. and X.T.; writing—original draft preparation, Z.Y., L.D. and X.T.; writing—review and editing, Z.Y., L.D., M.D., Y.L., D.K. and X.T.; visualization, Z.Y., Y.L. and L.D.; supervision, Z.Y. and L.D.; project administration, X.T. and D.K.; funding acquisition, X.T. and D.K. All authors have read and agreed to the published version of the manuscript.

Funding

This study was funded by the National Natural Science Foundation of China (Grant No. 42201300), Zhejiang Provincial Basic Public Welfare Research Project (Grant No. LGN22C130016), and Key R&D Program of Zhejiang Province (Grant No. 2022C02026).

Data Availability Statement

Data are contained within the article.

Acknowledgments

The authors thank Mengchu Xia and Zehua Zhang for their kind help in the preparation of the growth substrate and collection of experimental data.

Conflicts of Interest

The authors declare no conflicts of interest.

Abbreviations

The following abbreviations are used in this manuscript:
AKAvailable Potassium
APAvailable Phosphorus
BRABounding Rectangle Area
CCChlorophyll Content
CLCanopy Length
DBTLDesign–Build–Test–Learn
ECDEnclosing Circle Diameter
GPAGreen Projected Area
HSIHyperspectral Imaging
MLMachine Learning
mNDVI705Modified Red Edge Normalized Difference Vegetation Index
mSR705Modified Red Edge Simple Ratio Index
NDVI705Red Edge Normalized Difference Vegetation Index
RDMRoot Dry Mass
RGBRed-Green-Blue
RGRIRed-Green Ratio Index
SDMShoot Dry Mass
TNTotal Nitrogen
TOMTotal Organic Matter
WHCWater-Holding Capacity

References

  1. Savvas, D.; Gruda, N. Application of Soilless Culture Technologies in the Modern Greenhouse Industry—A Review. Eur. J. Hortic. Sci. 2018, 83, 280–293. [Google Scholar] [CrossRef]
  2. Fussy, A.; Papenbrock, J. An Overview of Soil and Soilless Cultivation Techniques—Chances, Challenges and the Neglected Question of Sustainability. Plants 2022, 11, 1153. [Google Scholar] [CrossRef] [PubMed]
  3. Gunapala, R.; Gangahagedara, R.; Wanasinghe, W.C.S.; Samaraweera, A.U.; Gamage, A.; Rathnayaka, C.; Hameed, Z.; Baki, Z.A.; Madhujith, T.; Merah, O. Urban Agriculture: A Strategic Pathway to Building Resilience and Ensuring Sustainable Food Security in Cities. Farming Syst. 2025, 3, 100150. [Google Scholar] [CrossRef]
  4. Paoli, R.; Feofilovs, M.; Kamenders, A.; Romagnoli, F. Peat Production for Horticultural Use in the Latvian Context: Sustainability Assessment through LCA Modeling. J. Clean. Prod. 2022, 378, 134559. [Google Scholar] [CrossRef]
  5. Gruda, N.S.; Machado, R.M.A.; van Os, E.A. Is Soilless Culture a Sustainable Form of Agriculture? Horticulturae 2023, 9, 1190. [Google Scholar] [CrossRef]
  6. Gohardoust, M.R.; Bar-Tal, A.; Effati, M.; Tuller, M. Characterization of Physicochemical and Hydraulic Properties of Organic and Mineral Soilless Culture Substrates and Mixtures. Agronomy 2020, 10, 1403. [Google Scholar] [CrossRef]
  7. Česonienė, L.; Krikštolaitis, R.; Daubaras, R.; Mažeika, R. Effects of Mixes of Peat with Different Rates of Spruce, Pine Fibers, or Perlite on the Growth of Blueberry Saplings. Horticulturae 2023, 9, 151. [Google Scholar] [CrossRef]
  8. Gong, B.; Wang, N.; Zhang, T.; Li, S.; Wu, X.; Tian, J.; Li, J.; Lyu, G.; Gao, H. Establishment and Verification of Prediction Models for Evaluating the Physical and Chemical Properties of Soilless Substrates. Int. J. Agric. Biol. Eng. 2021, 14, 9–18. [Google Scholar] [CrossRef]
  9. Sabatino, L. Increasing Sustainability of Growing Media Constituents and Stand-Alone Substrates in Soilless Culture Systems. Agronomy 2020, 10, 1384. [Google Scholar] [CrossRef]
  10. Papadimitriou, D.M.; Daliakopoulos, I.N.; Louloudakis, I.; Savvidis, T.I.; Sabathianakis, I.; Savvas, D.; Manios, T. Impact of Container Geometry and Hydraulic Properties of Coir Dust, Perlite, and Their Blends Used as Growing Media, on Growth, Photosynthesis, and Yield of Golden Thistle (S. hispanicus L.). Sci. Hortic. 2024, 323, 112425. [Google Scholar] [CrossRef]
  11. Sodini, M.; Cacini, S.; Navarro, A.; Traversari, S.; Massa, D. Estimation of Pore-Water Electrical Conductivity in Soilless Tomatoes Cultivation Using an Interpretable Machine Learning Model. Comput. Electron. Agric. 2024, 218, 108746. [Google Scholar] [CrossRef]
  12. Lu, B.; Dao, P.D.; Liu, J.; He, Y.; Shang, J. Recent Advances of Hyperspectral Imaging Technology and Applications in Agriculture. Remote Sens. 2020, 12, 2659. [Google Scholar] [CrossRef]
  13. Farrar, M.B.; Wallace, H.M.; Tahmasbian, I.; Yule, C.M.; Dunn, P.K.; Hosseini Bai, S. Rapid Assessment of Soil Carbon and Nutrients Following Application of Organic Amendments. Catena 2023, 223, 106928. [Google Scholar] [CrossRef]
  14. Malmir, M.; Tahmasbian, I.; Xu, Z.; Farrar, M.B. Geoderma Prediction of Soil Macro- and Micro-Elements in Sieved and Ground Air-Dried Soils Using Laboratory-Based Hyperspectral Imaging Technique. Geoderma 2019, 340, 70–80. [Google Scholar] [CrossRef]
  15. Feng, W.; Guo, B.-B.; Zhang, H.-Y.; He, L.; Zhang, Y.-S.; Wang, Y.-H.; Zhu, Y.-J.; Guo, T.-C. Remote Estimation of above Ground Nitrogen Uptake during Vegetative Growth in Winter Wheat Using Hyperspectral Red-Edge Ratio Data. Field Crops Res. 2015, 180, 197–206. [Google Scholar] [CrossRef]
  16. Zhang, K.; Yan, F.; Liu, P. The Application of Hyperspectral Imaging for Wheat Biotic and Abiotic Stress Analysis: A Review. Comput. Electron. Agric. 2024, 221, 109008. [Google Scholar] [CrossRef]
  17. Gao, X.; Li, S.; He, Y.; Yang, Y.; Tian, Y. Spectrum Imaging for Phenotypic Detection of Greenhouse Vegetables: A Review. Comput. Electron. Agric. 2024, 225, 109346. [Google Scholar] [CrossRef]
  18. Sarić, R.; Nguyen, V.D.; Burge, T.; Berkowitz, O.; Trtílek, M.; Whelan, J.; Lewsey, M.G.; Čustović, E. Applications of Hyperspectral Imaging in Plant Phenotyping. Trends Plant Sci. 2022, 27, 301–315. [Google Scholar] [CrossRef]
  19. Khan, A.; Vibhute, A.D.; Mali, S.; Patil, C.H. A Systematic Review on Hyperspectral Imaging Technology with a Machine and Deep Learning Methodology for Agricultural Applications. Ecol. Inform. 2022, 69, 101678. [Google Scholar] [CrossRef]
  20. Meshram, V.; Patil, K.; Meshram, V.; Hanchate, D.; Ramkteke, S.D. Machine Learning in Agriculture Domain: A State-of-Art Survey. Artif. Intell. Life Sci. 2021, 1, 100010. [Google Scholar] [CrossRef]
  21. Saleem, M.H.; Potgieter, J.; Arif, K.M. Automation in Agriculture by Machine and Deep Learning Techniques: A Review of Recent Developments. Precis. Agric. 2021, 22, 2053–2091. [Google Scholar] [CrossRef]
  22. Sharma, A.; Jain, A.; Gupta, P.; Chowdary, V. Machine Learning Applications for Precision Agriculture: A Comprehensive Review. IEEE Access 2021, 9, 4843–4873. [Google Scholar] [CrossRef]
  23. Nerlich, A.; Dannehl, D. Soilless Cultivation: Dynamically Changing Chemical Properties and Physical Conditions of Organic Substrates Influence the Plant Phenotype of Lettuce. Front. Plant Sci. 2021, 11, 601455. [Google Scholar] [CrossRef] [PubMed]
  24. Ye, Z.; Tan, X.; Dai, M.; Chen, X.; Zhong, Y.; Zhang, Y.; Ruan, Y.; Kong, D. A Hyperspectral Deep Learning Attention Model for Predicting Lettuce Chlorophyll Content. Plant Methods 2024, 20, 22. [Google Scholar] [CrossRef] [PubMed]
  25. Dai, M.; Tan, X.; Ye, Z.; Chen, X.; Zhang, Y.; Ruan, Y.; Ma, B.; Kong, D. Analysis of Lettuce Transcriptome Reveals the Mechanism of Different Light/Dark Cycle in Promoting the Growth and Quality. Front. Plant Sci. 2024, 15, 1394434. [Google Scholar] [CrossRef]
  26. Kong, D.; Ye, Z.; Dai, M.; Ma, B.; Tan, X. Light Intensity Modulates the Functional Composition of Leaf Metabolite Groups and Phyllosphere Prokaryotic Community in Garden Lettuce (Lactuca sativa L.) Plants at the Vegetative Stage. Int. J. Mol. Sci. 2024, 25, 1451. [Google Scholar] [CrossRef]
  27. Tan, X.; Pan, Q.; Zhang, Z.; Kong, D.; Xu, P. Leaf Metabolites Drive the Functional Composition of the Phyllosphere Microbiome in Tea Plants. Beverage Plant Res. 2025, 5, e012. [Google Scholar] [CrossRef]
  28. van Lent, P.; Schmitz, J.; Abeel, T. Simulated Design-Build-Test-Learn Cycles for Consistent Comparison of Machine Learning Methods in Metabolic Engineering. ACS Synth. Biol. 2023, 12, 2588–2599. [Google Scholar] [CrossRef]
  29. Garg, S. The Importance of Fungal Biotechnology for Sustainable Applications. Trends Biotechnol. 2025, in press. [Google Scholar] [CrossRef]
  30. Stock, M.; Gorochowski, T.E. Open-Endedness in Synthetic Biology: A Route to Continual Innovation for Biological Design. Sci. Adv. 2024, 10, eadi3621. [Google Scholar] [CrossRef]
  31. Zournas, A.; Incha, M.R.; Radivojevic, T.; Blay, V.; Martí, J.M.; Costello, Z.; Schmidt, M.; Chung, T.; Thompson, M.G.; Pearson, A.; et al. Machine Learning-Led Semi-Automated Medium Optimization Reveals Salt as Key for Flaviolin Production in Pseudomonas Putida. Commun. Biol. 2025, 8, 630. [Google Scholar] [CrossRef]
  32. López, M. The Effect of Sampling Mode on Response Rate and Bias in Elite Surveys. Qual. Quant. 2023, 57, 1303–1319. [Google Scholar] [CrossRef]
  33. Ceglie, F.G.; Bustamante, M.A.; Ben Amara, M.; Tittarelli, F. The Challenge of Peat Substitution in Organic Seedling Production: Optimization of Growing Media Formulation through Mixture Design and Response Surface Analysis. PLoS ONE 2015, 10, e0128600. [Google Scholar] [CrossRef] [PubMed]
  34. Atzori, G.; Pane, C.; Zaccardelli, M.; Cacini, S.; Massa, D. The Role of Peat-Free Organic Substrates in the Sustainable Management of Soilless Cultivations. Agronomy 2021, 11, 1236. [Google Scholar] [CrossRef]
  35. Sradnick, A.; Werner, M.; Körner, O. Make a Choice: A Rapid Strategy for Minimizing Peat in Horticultural Press Pots Substrates Using a Constrained Mixture Design and Surface Response Approach. PLoS One 2023, 18, e0289320. [Google Scholar] [CrossRef]
  36. Tuxun, A.; Xiang, Y.; Shao, Y.; Son, J.E.; Yamada, M.; Yamada, S.; Tagawa, K.; Baiyin, B.; Yang, Q. Soilless Cultivation: Precise Nutrient Provision and Growth Environment Regulation Under Different Substrates. Plants 2025, 14, 2203. [Google Scholar] [CrossRef] [PubMed]
  37. Naseri, E.; Dalir, N.; Mokhtassi-Bidgoli, A.; Ebadi, M.-T.; Rahnemaie, R. Optimizing Saffron Cormlet Production through Substrate Composition Nutrient Concentration and Irrigation Management in Soilless Cultivation. Sci. Rep. 2025, 15, 36. [Google Scholar] [CrossRef]
  38. Lee, H.; Cui, M.; Lee, B.; Hwang, H.; Chun, C. Optimization of the Pot Volume and Substrate for Strawberry Cultivation in a Hydroponic System. Hortic. Sci. Technol. 2023, 41, 634–644. [Google Scholar] [CrossRef]
  39. Akhtar, A.M.; Qazi, W.A.; Ahmad, S.R.; Gilani, H.; Mahmood, S.A.; Rasool, A. Integration of High-Resolution Optical and SAR Satellite Remote Sensing Datasets for Aboveground Biomass Estimation in Subtropical Pine Forest, Pakistan. Environ. Monit. Assess. 2020, 192, 584. [Google Scholar] [CrossRef]
  40. Vuorinne, I.; Heiskanen, J.; Pellikka, P.K.E. Assessing Leaf Biomass of Agave Sisalana Using Sentinel-2 Vegetation Indices. Remote Sens. 2021, 13, 233. [Google Scholar] [CrossRef]
  41. Rahaman, M.M.; Chen, D.; Gillani, Z.; Klukas, C.; Chen, M. Advanced Phenotyping and Phenotype Data Analysis for the Study of Plant Growth and Development. Front. Plant Sci. 2015, 6, 619. [Google Scholar] [CrossRef] [PubMed]
  42. Ge, Y.; Bai, G.; Stoerger, V.; Schnable, J.C. Temporal Dynamics of Maize Plant Growth, Water Use, and Leaf Water Content Using Automated High Throughput RGB and Hyperspectral Imaging. Comput. Electron. Agric. 2016, 127, 625–632. [Google Scholar] [CrossRef]
  43. Al-Gaadi, K.A.; Zeyada, A.M.; Tola, E.; Madugundu, R.; Edrris, M.K.; Mahjoop, O. Use of Spectral Indices and Photosynthetic Parameters to Evaluate the Growth Performance of Hydroponic Tomato at Different Salinity Levels. PLoS ONE 2025, 20, e0325839. [Google Scholar] [CrossRef] [PubMed]
  44. Erdal, İ.; Aktaş, H.; Yaylacı, C.; Türkan, Ş.A.; Aydın, G.; Hor, Y. Effects of Peat Based Substrate Combinations on Mineral Nutrition, Growth and Yield of Tomato. J. Plant Nutr. 2024, 47, 30–48. [Google Scholar] [CrossRef]
  45. Fryda, L.; Visser, R.; Schmidt, J. Biochar Replaces Peat in Horticulture: Environmental Impact Assessment of Combined Biochar & Bioenergy Production. Detritus 2019, 5, 132–149. [Google Scholar] [CrossRef]
  46. Gong, X.; Li, S.; Sun, X.; Wang, L.; Cai, L.; Zhang, J.; Wei, L. Green Waste Compost and Vermicompost as Peat Substitutes in Growing Media for Geranium (Pelargonium zonale L.) and Calendula (Calendula officinalis L.). Sci. Hortic. 2018, 236, 186–191. [Google Scholar] [CrossRef]
  47. Mariyappillai, A.; Arumugam, G. Physico-Chemical and Hydrological Properties of Soilless Substrates. J. Environ. Biol. 2021, 42, 700–704. [Google Scholar] [CrossRef]
  48. Ammons, A.; Lebude, A.V.; Owen, J.S.; McGinnis, M. Effect of Irrigation, Fertilizer Rate and Placement, and Two Substrates on Growth of Rose and Hydrangea. J. Environ. Hortic. 2022, 40, 123–128. [Google Scholar] [CrossRef]
  49. Usero, F.M.; Armas, C.; Morillo, J.A.; Gallardo, M.; Thompson, R.B.; Pugnaire, F.I. Effects of Soil Microbial Communities Associated to Different Soil Fertilization Practices on Tomato Growth in Intensive Greenhouse Agriculture. Appl. Soil Ecol. 2021, 162, 103896. [Google Scholar] [CrossRef]
  50. Lee, J.H.; Jang, I.T.; Kim, E.A.; Shin, E.J.; Lee, S.; Lee, M.; Nam, S.Y. Evaluating the Influence of Various Light Spectra on the Growth and Morphological Responses of Air Plant (Tillandsia ionantha Planch.) Grown under Non-Substrate and Restricted Irrigation Conditions in a Controlled Environment Facility. J. Agric. Life Environ. Sci. 2024, 36, 546–561. [Google Scholar]
Disclaimer/Publisher’s Note: The statements, opinions and data contained in all publications are solely those of the individual author(s) and contributor(s) and not of MDPI and/or the editor(s). MDPI and/or the editor(s) disclaim responsibility for any injury to people or property resulting from any ideas, methods, instructions or products referred to in the content.

Article Metrics

Citations

Article Access Statistics

Multiple requests from the same IP address are counted as one view.