Effects of Salinity on ‘Fino 95’ Lemon Trees Inoculated with Arbuscular Mycorrhizal Fungi
Abstract
1. Introduction
2. Materials and Methods
2.1. Plant Culture and Experimental Design
2.2. Determination of Physiological Parameters
2.3. Plant Growth
2.4. Plant Analysis
2.5. Determination of Mycorrhizal Colonization
2.6. Statistical Analysis
3. Results
3.1. Mycorrhizal Colonization and Plant Growth Analysis
3.2. Physiological Changes
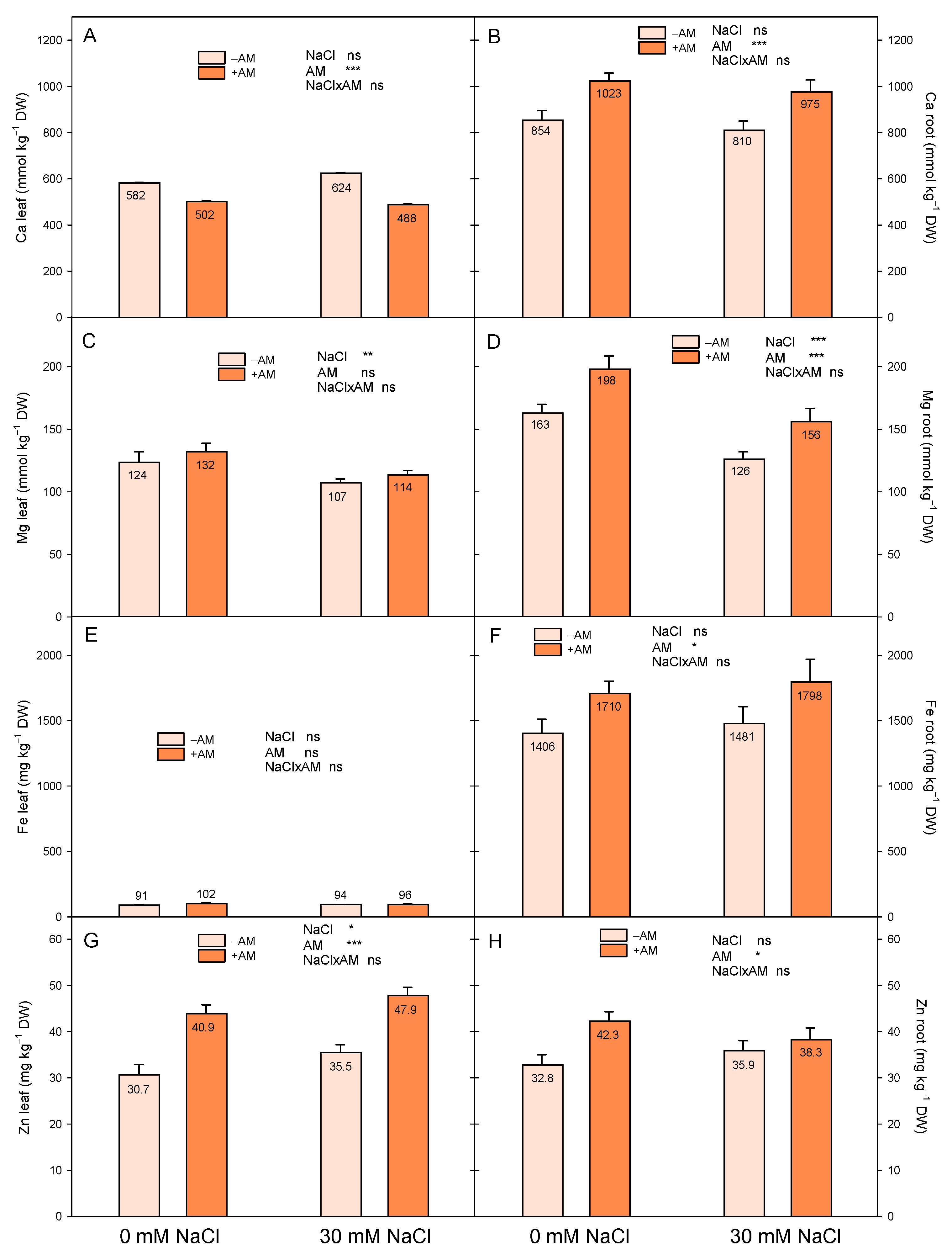
3.3. Nutritional Changes
3.4. Gas Interchange Parameters
4. Discussion
5. Conclusions
Author Contributions
Funding
Data Availability Statement
Acknowledgments
Conflicts of Interest
References
- Rasera, J.B.; da Silva, R.F.; Mourão Filho, F.D.A.A.; Delbem, A.C.B.; Saraiva, A.M.; Sentelhas, P.C.; Marques, P.A.A. Climate change and citriculture: A bibliometric analysis. Agronomy 2023, 13, 723. [Google Scholar] [CrossRef]
- Abobatta, W.F. Citriculture and climate change. Mod. Concepts Dev. Agron. 2020, 6, 000639. [Google Scholar] [CrossRef]
- Navarro, L. The Spanish citrus industry. Acta Hortic. 2015, 1065, 41–48. [Google Scholar] [CrossRef]
- Ben Amor, R.; de Miguel Gomez, M.D. Competitiveness of Spanish orange sector in the Mediterranean area. Acta Hortic. 2020, 1292, 23–30. [Google Scholar] [CrossRef]
- Maas, E.V. Salinity and citriculture. Tree Physiol. 1993, 12, 195–216. [Google Scholar] [CrossRef] [PubMed]
- Grattan, S.R.; Díaz, F.J.; Pedrero, F.; Vivaldi, G.A. Assessing the suitability of saline wastewaters for irrigation of Citrus spp.: Emphasis on boron and specific-ion interactions. Agric. Water Manag. 2015, 157, 48–58. [Google Scholar] [CrossRef]
- Soares, D.; Paço, T.A.; Rolim, J. Assessing climate change impacts on irrigation water requirements under Mediterranean conditions—A review of the methodological approaches focusing on maize crop. Agronomy 2023, 13, 117. [Google Scholar] [CrossRef]
- Yetik, A.K.; Sen, B. Evaluation of the impacts of climate change on irrigation requirements of maize by CROPWAT Model. Gesunde Pflanz. 2022, 75, 1297–1305. [Google Scholar] [CrossRef]
- MAGRAMA. Anuario de Estadística Agraria 2021; Ministerio de Agricultura, Pesca y Alimentación, Madrid, Spain. Available online: https://www.mapa.gob.es/es/estadistica/temas/estadistica-diqital/ (accessed on 10 October 2023).
- Pérez-Pérez, J.G.; Porras, I.; Garcia-Lidon, A.; Botía, P.; Garcia-Sanchez, F. ‘Fino’ lemon clones compared with two other lemon varieties on two rootstocks in Murcia (Spain). Sci. Hortic. 2005, 106, 530–538. [Google Scholar] [CrossRef]
- Robles, J.M.; Botía, P.; Pérez-Pérez, J.G. Sour orange rootstock increases water productivity in deficit irrigated ‘Verna’ lemon trees compared with Citrus macrophylla. Agric. Water Manag. 2017, 186, 98–107. [Google Scholar] [CrossRef]
- Storey, R.; Walker, R.R. Citrus and salinity. Sci. Hortic. 1999, 78, 39–81. [Google Scholar] [CrossRef]
- García-Sánchez, F.; Jifon, J.; Carvajal, M.; Syvertsen, J.P. Gas exchange, chlorophyll and nutrient contents in relation to Na+ and Cl− accumulation in ‘Sunburst’ mandarin grafted on different rootstock. Plant Sci. 2002, 162, 705–712. [Google Scholar] [CrossRef]
- Syvertsen, J.P.; Garcia-Sanchez, F. Multiple abiotic stresses occurring with salinity stress in citrus. Environ. Exp. Bot. 2014, 103, 128–137. [Google Scholar] [CrossRef]
- García-Sánchez, F.; Syvertsen, J.P. Salinity tolerance of Cleopatra mandarin and Carrizo citrange citrus rootstocks seedlings is affected by CO2 enrichment during growth. J. Amer. Soc. Hort. Sci. 2006, 131, 24–31. [Google Scholar] [CrossRef]
- Romero-Aranda, R.; Moya, L.; Tadeo, F.R.; Legaz, F.; Primo-Millo, E.; Talón, M. Physiological and anatomical disturbances induced by chloride salts in sensitive and tolerant citrus: Beneficial and detrimental effects of cations. Plant Cell Environ. 1998, 21, 1243–1253. [Google Scholar] [CrossRef]
- Munns, R.; Tester, M. Mechanism of salinity tolerance. Ann. Rev. Plant Biol. 2008, 59, 651–681. [Google Scholar] [CrossRef] [PubMed]
- Gómez-Cadenas, A.; Vives, V.; Zandalinas, S.I.; Manzi, M.; Sánchez-Pérez, A.M.; Pérez-Clemente, R.M.; Arbona, V. Abscisic acid: A versatile phytohormone in plant signaling and beyond. Curr. Protein Pept. Sci. 2015, 16, 413–434. [Google Scholar] [CrossRef] [PubMed]
- López-Climent, M.F.; Arbona, V.; Pérez-Clemente, R.M.; Gómez-Cadenas, A. Relationship between salt tolerance and photosynthetic machinery performance in citrus. Environ. Exp. Bot. 2008, 62, 176–184. [Google Scholar] [CrossRef]
- Arbona, V.; López-Climent, M.F.; Pérez-Clemente, R.M.; Gómez-Cadenas, A. Maintenance of a high photosynthetic performance is linked to flooding tolerance in citrus. Environ. Exp. Bot. 2009, 66, 135–142. [Google Scholar] [CrossRef]
- Evelin, H.; Kapoor, R.; Giri, B. Arbuscular mycorrhizal fungi in alleviation of salt stress: A review. Ann. Bot. 2009, 104, 1263–1280. [Google Scholar] [CrossRef]
- Navarro, J.M.; Pérez-Tornero, O.; Morte, A. Alleviation of salt stress in citrus seedlings inoculated with arbuscular mycorrhizal fungi depends on the rootstock salt tolerance. J. Plant Physiol. 2014, 171, 76–85. [Google Scholar] [CrossRef] [PubMed]
- Navarro, J.M.; Andujar, S.; García-Olmos, B.; Rodriguez-Morán, M.; Pérez-Tornero, O.; Morte, A. Arbuscular mycorrhizal fungi influence the response of citrus rootstock seedlings to salinity. Acta Hortic. 2011, 922, 245–252. [Google Scholar] [CrossRef]
- Wu, Q.S.; Zou, Y.N.; He, X.H. Contributions of arbuscular mycorrhizal fungi to growth, photosynthesis, root morphology and ionic balance of citrus seedlings under salt stress. Acta Physiol. Plant. 2010, 32, 297–304. [Google Scholar] [CrossRef]
- Wu, Q.S.; Zou, Y.N.; He, X.H. Mycorrhizal symbiosis enhances tolerance to NaCl stress through selective absorption but not selective transport of K+ over Na+ in trifoliate orange. Sci. Horti. 2013, 160, 366–374. [Google Scholar] [CrossRef]
- Murkute, A.A.; Sharma, S.; Singh, S.K.; Patel, V.B. Response of mycorrhizal citrus rootstock plantlets to salt stress. Indian J. Hort. 2009, 66, 456–460. [Google Scholar]
- Tang, C.; Zhang, Z.; Yu, L.; Li, Y. Research progress of arbuscular mycorrhizal fungi promoting citrus growth. Horticulturae 2023, 9, 1162. [Google Scholar] [CrossRef]
- Conesa, A.; Legua, P.; Navarro, J.M.; Pérez-Tornero, O.; García-Lidón, A.; Porras, I. Recovery of different Citrus rootstock seedlings previously irrigated with saline waters. J. Am. Pomol. Soc. 2011, 65, 158–166. [Google Scholar]
- Nieves, M.; Cerdá, A.; Botella, M.A. Salt tolerance of two lemon scions measured by leaf chloride and sodium accumulation. J. Plant Nutr. 1991, 14, 623–636. [Google Scholar] [CrossRef]
- Hoagland, D.R.; Arnon, D.I. The Water Culture Method for Growing Plants without Soil; Circular—California Agricultural Experiment Station: Berkeley, CA, USA, 1950; p. 347. [Google Scholar]
- Schölander, P.F.; Hammel, H.T.; Bradstreet, E.D.; Hemmingsen, E.A. Sap pressure in plants. Science 1965, 149, 920–922. [Google Scholar] [CrossRef]
- Tattini, M.; Gucci, R.; Romani, A.; Baldi, A.; Everard, J.D. Growth, gas exchange and ion content in Olea europaea plants during salinity and subsequent relief. Physiol. Plant. 1995, 95, 203–210. [Google Scholar] [CrossRef]
- Guilliam, M.G. Rapid measurement of chloride in plant materials. Soil Sci. Soc. Am. Proc. 1971, 35, 512–513. [Google Scholar] [CrossRef]
- Grieve, C.M.; Grattan, S.R. Rapid assay for determination of water soluble quaternary amino compounds. Plant Soil 1983, 70, 303–307. [Google Scholar] [CrossRef]
- Bates, L.S.; Waldren, R.P.; Teare, I.D. Rapid determination of free proline for water stress studies. Plant Soil 1973, 39, 205–207. [Google Scholar] [CrossRef]
- Heath, R.L.; Packer, L. Photoperoxidation in isolated chloroplasts. I. Kinetics and stoichiometry of fatty acid peroxidation. Arch. Biochem. Biophys. 1968, 125, 189–198. [Google Scholar] [CrossRef] [PubMed]
- Phillips, J.M.; Hayman, D.S. Improved procedures for clearing roots and staining parasitic and vesicular-arbuscular mycorrhizal fungi for rapid assessment of infection. Trans. Br. Mycol. Soc. 1970, 55, 158–161. [Google Scholar] [CrossRef]
- McGonigle, T.P.; Miller, M.H.; Evans, D.G.; Fairchild, G.L.; Swan, J.A. A new method which gives an objective measure of colonization of roots by vesicular-arbuscular mycorrhizal fungi. New Phytol. 1990, 115, 495–501. [Google Scholar] [CrossRef] [PubMed]
- He, J.D.; Li, J.L.; Wu, Q.S. Effects of Rhyzoglomus intraradices on plant growth and root endogenous hormones of trifoliate orange under salt stress. J. Anim. Plant Sci. 2019, 29, 245–250. [Google Scholar]
- Hadian-Deljou, M.; Esna-Ashari, M.; Mirzaieasl, A. Alleviation of salt stress and expression of stress-responsive gene through the symbiosis of arbuscular mycorrhizal fungi with sour orange seedlings. Sci. Hortic. 2020, 268, 109373. [Google Scholar] [CrossRef]
- Cheng, X.F.; Wu, H.H.; Zou, Y.N.; Wu, Q.S.; Kuča, K. Mycorrhizal response strategies of trifoliate orange under well-watered, salt stress, and waterlogging stress by regulating leaf aquaporin expression. Plant Physiol. Biochem. 2021, 162, 27–35. [Google Scholar] [CrossRef]
- Dastogeer, K.M.G.; Zahan, M.I.; Tahjib-Ul-Arif, M.; Akter, M.A.; Okazaki, S. Plant Salinity Tolerance Conferred by Arbuscular Mycorrhizal Fungi and Associated Mechanisms: A Meta-Analysis. Front. Plant Sci. 2020, 11, 588550. [Google Scholar] [CrossRef]
- Ding, Y.E.; Fan, Q.F.; He, J.D.; Wu, H.H.; Zou, Y.N.; Wu, Q.S.; Kuča, K. Effects of mycorrhizas on physiological performance and root TIPs expression in trifoliate orange under salt stress. Arch. Agron. Soil Sci. 2019, 66, 182–192. [Google Scholar] [CrossRef]
- Kumar, A.; Dames, J.F.; Gupta, A.; Sharma, S.; Gilbert, J.A.; Ahmad, P. Current developments in arbuscular mycorrhizal fungi research and its role in salinity stress alleviation: A biotechnological perspective. Crit. Rev. Biotechnol. 2015, 35, 461–474. [Google Scholar] [CrossRef] [PubMed]
- Parijar, M.; Rakshit, A. Arbuscular mycorrhiza: A versatile component for alleviation of salt stress. Nat. Environ. Pollut. Technol. 2016, 15, 417–428. [Google Scholar]
- Hashem, A.; Abd_Allah, E.F.; Alqarawi, A.A.; Egamberdieva, D. Arbuscular Mycorrhizal Fungi and Plant Stress Tolerance. In Plant Microbiome: Stress Response; Egamberdieva, D., Ahmad, P., Eds.; Springer Nature: Singapore, 2018; pp. 81–104. [Google Scholar]
- Evelin, H.; Devi, T.S.; Gupta, S.; Kapoor, R. Mitigation of salinity stress in plants by arbuscular mycorrhizal symbiosis: Current understanding and new challenges. Front. Plant Sci. 2019, 10, 470. [Google Scholar] [CrossRef] [PubMed]
- Ahammed, G.J.; Hajiboland, R. 2024. Introduction to arbuscular mycorrhizal fungi and higher plant symbiosis: Characteristic features, functions, and applications. In Arbuscular Mycorrhizal Fungi and Higher Plants; Ahammed, G.J., Hajiboland, R., Eds.; Springer Nature: Singapore, 2024; pp. 1–18. [Google Scholar]
- Zou, Y.-N.; Srivastava, A.K.; Ni, Q.-D.; Wu, Q.-S. Disruption of mycorrhizal extraradical mycelium and changes in leaf water status and soil aggregate stability in rootbox-grown trifoliate orange. Front. Microbiol. 2015, 6, 203. [Google Scholar] [CrossRef] [PubMed]
- Zhang, Y.C.; Wang, P.; Wu, Q.H.; Zou, Y.N.; Bao, Q.; Wu, Q.S. Arbuscular mycorrhizas improve plant growth and soil structure in trifoliate orange under salt stress. Archi. Agron. Soil Sci. 2017, 63, 491–500. [Google Scholar] [CrossRef]
- Cheng, H.Q.; Ding, Y.E.; Shu, B.; Zou, Y.N.; Wu, Q.S.; Kuča, K. Plant aquaporin responses to mycorrhizal symbiosis under abiotic stress. Intl. J. Agric. Biol. 2020, 23, 786–794. [Google Scholar]
- Greenway, H.; Munns, R. Mechanisms of salt tolerance on nonhalophytes. Ann. Rev. Plant Physiol. 1980, 31, 149–190. [Google Scholar] [CrossRef]
- Rabie, G.H.; Almadini, A.M. Role of bioinoculants in development of salt-tolerance of Vicia faba plants under salinity stress. Afr. J. Biotechnol. 2005, 4, 210–222. [Google Scholar]
- Jahromi, F.; Aroca, R.; Porcel, R.; Ruiz-Lozano, J.M. Influence of salinity on the in vitro development of Glomus intraradices and on the in vivo physiological and molecular responses of mycorrhizal lettuce plants. Microb. Ecol. 2008, 55, 45–53. [Google Scholar] [CrossRef]
- Hashem, A.; Abd_Allah, E.F.; Egamberdieva, D.; Ahmad, P. Effect of AM fungi on growth, physio-biochemical attributes, lipid peroxidation, antioxidant enzymes and plant growth regulators in Lycopersicon esculentum mill. Subjected to different concentration of NaCl. Pak. J. Bot. 2015, 47, 327–340. [Google Scholar]
- Scagel, C.F.; Bryla, D.R. Salt exclusion and mycorrhizal symbiosis increase tolerance to NaCl and CaCl2 salinity in ‘Siam Queen’ basil. Hortic. Sci. 2017, 52, 278–287. [Google Scholar] [CrossRef]
- Hammer, E.C.; Nasr, H.; Pallon, J.; Olsson, P.A.; Wallander, H. Elemental composition of arbuscular mycorrhizal fungi at high salinity. Mycorrhiza 2011, 21, 117–129. [Google Scholar] [CrossRef] [PubMed]
- Nieves, M.; Ruiz, D.; Cerdá, A. Influence of Rootstock-Scion Combination in Lemon Trees Salt Tolerance. In Proceedings of the International Society of Citriculture, Acireale, Italy, 8–13 March 1992; pp. 387–390. [Google Scholar]
- Ruiz-Lozano, J.M.; Porcel, R.; Azcón, C.; Aroca, R. Regulation by arbuscular mycorrhizae of the integrated physiological response to salinity in plants: New challenges in physiological and molecular studies. J. Exp. Bot. 2012, 63, 4033–4044. [Google Scholar] [CrossRef] [PubMed]
- Liu, C.Y.; Zou, Y.N.; Zhang, D.J.; Shu, B.; Wu, Q.S. Mycorrhizae and tolerance of abiotic stress in citrus plants. In Biofertilizers for Sustainable Agriculture and Environment; Giri, B., Prasad, R., Wu, Q.S., Varma, A., Eds.; Springer Nature: Cham, Switzerland, 2019; pp. 465–488. [Google Scholar]
- Evelin, H.; Giri, B.; Kapoor, R. Contribution of Glomus intraradices inoculation to nutrient acquisition and mitigation of ionic imbalance in NaCl-stressed Trigonella foenum-graecum. Mycorrhiza 2012, 22, 203–217. [Google Scholar] [CrossRef]
- Giri, B.; Mukerji, K.G. Mycorrhizal inoculant alleviates salt stress in Sesbania aegyptiaca and Sesbania grandiflora under field conditions: Evidence for reduced sodium and improved magnesium uptake. Mycorrhiza 2004, 14, 307–312. [Google Scholar] [CrossRef] [PubMed]
- Grattan, S.R.; Grieve, C.M. Mineral element acquisition and growth response of plants grown in saline environments. Agric. Ecosyst. Environ. 1992, 38, 275–300. [Google Scholar] [CrossRef]
- Linderman, R.G. Vesicular arbuscular mycorrhizae and soil microbial interaction. In Mycorrhizae in Sustainable Agriculture; Bethlenfalvay, G.J., Linderman, R.G., Eds.; ASA Special Publications: Madison, WI, USA, 1992; pp. 45–70. [Google Scholar]
- Ortas, I.; Ortakçi, D.; Kaya, Z.; Çinar, A.; Önelge, N. Mycorrhizal dependence of sour orange in relation to phosphorus and zinc nutrition. J. Plant Nutr. 2002, 24, 1263–1279. [Google Scholar] [CrossRef]
- Kothari, S.K.; Marschner, H.; Romheld, V. Contribution of the VA mycorrhizal hyphae in acquisition of phosphorus and zinc by maize grown in a calcareous soil. Plant Soil. 1991, 131, 177–185. [Google Scholar] [CrossRef]
- Pacovsky, R.S. Micronutrient uptake and distribution in mycorrhizal or phosphorus fertilized soybeans. Plant Soil. 1986, 95, 379–388. [Google Scholar] [CrossRef]
- Smith, S.E.; Read, D.J. Mycorrhizal Symbiosis, 3rd ed.; Academic Press: London, UK, 2008; p. 815. [Google Scholar]
- Al-Karaki, G.N. Growth of mycorrhizal tomato and mineral acquisition under salt stress. Mycorrhiza 2000, 10, 51–54. [Google Scholar] [CrossRef]
- Kumar, A.; Sharma, S.; Mishra, S. Influence of arbuscular mycorrhizal (AM) fungi and salinity on seedlings growth, solute accumulation, and mycorrhizal dependency of Jatropha curcas L. J. Plant Growth Regul. 2010, 29, 297–306. [Google Scholar] [CrossRef]
- Navarro, J.M.; Morte, A. Arbuscular mycorrhizal fungi as biofertilizers to increase the plant quality of Sour-Orange seedlings. Agronomy 2024, 14, 230. [Google Scholar] [CrossRef]
- Sivrastava, A.K.; Singh, S. Leaf and soil nutrient guide in citrus. A review. Agric. Rev. 2004, 25, 235–251. [Google Scholar]
- Navarro, J.M.; Morte, A. Mycorrhizal effectiveness in Citrus macrophylla at low phosphorus fertilization. J. Plant Physiol. 2019, 232, 301–310. [Google Scholar] [CrossRef] [PubMed]
- Chen, J.; Zhang, H.Q.; Zhang, X.L.; Tang, M. Arbuscular mycorrhizal symbiosis alleviates salt stress in black locust through improved photosynthesis, water status, and K+/Na+ homeostasis. Front. Plant Sci. 2017, 8, 1739–1753. [Google Scholar] [CrossRef] [PubMed]
- van der Heijden, M.G.A.; Horton, T.R. Socialism in soil? The importance of mycorrhizal fungal networks for facilitation in natural ecosystems. J. Ecol. 2009, 97, 1139–1150. [Google Scholar] [CrossRef]
- Hoeksema, J.D.; Chaudhary, V.B.; Gehring, C.A.; Johnson, N.C.; Karst, J.; Koide, R.T.; Pringle, A.; Zabinski, C.; Bever, J.D.; Moore, J.C.; et al. A meta-analysis of context-dependency in plant response to inoculation with mycorrhizal fungi. Ecol. Lett. 2010, 13, 394–407. [Google Scholar] [CrossRef]
- Werner, G.D.A.; Kiers, E.T. Partner selection in the mycorrhizal mutualism. New Phytol. 2015, 205, 1437–1442. [Google Scholar] [CrossRef]
- Jin, L.; Wang, Q.; Wang, Q.; Wang, X.; Gange, A.C. Mycorrizal-induced growth depression in plants. Symbiosis 2017, 72, 81–88. [Google Scholar] [CrossRef]
- Li, H.Y.; Smith, S.E.; Holloway, R.E.; Zhu, Y.G.; Smith, F.A. Arbuscular mycorrhizal fungi contribute to phosphorus uptake by wheat grown in a phosphorus-fixing soil even in the absence of positive growth responses. New Phytol. 2006, 172, 536–543. [Google Scholar] [CrossRef] [PubMed]
- Grace, E.J.; Cotsaftis, O.; Tester, M.; Smith, F.A.; Smith, S.E. Arbuscular mycorrhizal inhibition of growth in barley cannot be attributed to extent of colonization, fungal phosphorus uptake or effects on expression of plant phosphate transporter genes. New Phytol. 2009, 181, 938–949. [Google Scholar] [CrossRef] [PubMed]
- Smith, F.A.; Grace, E.J.; Smith, S.E. More than a carbon economy: Nutrient trade and ecological sustainability in facultative arbuscular mycorrhizal symbioses. New Phytol. 2009, 182, 347–358. [Google Scholar] [CrossRef] [PubMed]
- Hasanuzzaman, M.; Raihan, M.R.H.; Masud, A.A.C.; Rahman, K.; Nowroz, F.; Rahman, M.; Nahar, K.; Fujita, M. Regulation of reactive oxygen species and antioxidant defence in plants under salinity. Int. J. Mol. Sci. 2021, 22, 9326. [Google Scholar] [CrossRef] [PubMed]
- Alqarawi, A.A.; Abd_Allah, E.F.; Hashem, A. Alleviation of salt-induced adverse impact via mycorrhizal fungi in Ephedra aphylla Forssk. J. Plant Interact. 2014, 9, 802–810. [Google Scholar] [CrossRef]
- Yang, Y.; Tang, M.; Sulpice, R.; Chen, H.; Tian, S.; Ban, Y. Arbuscular mycorrhizal fungi alter fractal dimension characteristics of Robinia pseudoacacia L seedlings through regulating plant growth, leaf water status, photosynthesis and nutrient concentration under drought stress. J. Plant Growth Regul. 2014, 3, 612–625. [Google Scholar] [CrossRef]





| NaCl (mM) | Root Colonization (%) | Vesicular Colonization (%) | Arbuscular Colonization (%) |
|---|---|---|---|
| 0 | 89 | 54 | 65 |
| 30 | 85 | 55 | 53 |
| ANOVA | ns | ns | ns |
| NaCl (mM) | Ψx | Π | P | Π100 | MDA | |
|---|---|---|---|---|---|---|
| 0 | −0.75 | −1.72 | 0.94 | −1.66 | 116.1 | |
| 30 | −1.06 | −1.78 | 0.74 | −1.74 | 133.7 | |
| AMF | ||||||
| −AM | −0.92 | −1.78 | 0.81 | −1.68 | 125.5 | |
| +AM | −0.89 | −1.72 | 0.87 | −1.72 | 124.3 | |
| NaCl × AMF | ||||||
| 0 | −AM | −0.69 d | −1.81 a | 1.02 b | −1.64 | 111.8 a |
| +AM | −0.81 c | −1.63 b | 0.86 b | −1.67 | 120.4 b | |
| 30 | −AM | −1.15 a | −1.75 ab | 0.60 a | −1.71 | 139.1 c |
| +AM | −0.97 b | −1.81 a | 0.89 b | −1.77 | 128.3 b | |
| ANOVA | ||||||
| NaCl | *** | ns | ** | * | *** | |
| AMF | ns | ns | ns | ns | ns | |
| NaCl × AMF | *** | * | *** | ns | ** | |
| NaCl (mM) | Cl− | Na+ | P | K+ | K+/Na+ | Ca2+/Na+ | Mg2+/Na+ | Cu | Mn | |
|---|---|---|---|---|---|---|---|---|---|---|
| 0 | 99.8 | 198.5 | 39.7 | 570 | 2.95 | 2.70 | 0.68 | 27.0 | 22.3 | |
| 30 | 143.5 | 190.2 | 36.3 | 604 | 3.24 | 3.07 | 0.59 | 37.8 | 24.7 | |
| AMF | ||||||||||
| −AM | 120.2 | 201.5 | 50.3 | 580 | 3.06 | 3.00 | 0.57 | 34.4 | 25.6 | |
| +AM | 123.1 | 187.2 | 25.7 | 594 | 3.13 | 2.76 | 0.70 | 30.5 | 21.3 | |
| NaCl × AMF | ||||||||||
| 0 | −AM | 99.4 | 200.4 | 52.2 | 526 a | 2.79 | 2.78 | 0.64 | 28.5 | 24.8 |
| +AM | 100.2 | 196.5 | 27.2 | 613 bc | 3.10 | 2.62 | 0.72 | 25.6 | 19.8 | |
| 30 | −AM | 141.0 | 202.5 | 48.5 | 634 c | 3.32 | 3.23 | 0.51 | 40.2 | 26.5 |
| +AM | 146.0 | 169.5 | 24.2 | 574 ab | 3.16 | 2.91 | 0.68 | 35.3 | 22.8 | |
| Anova | ||||||||||
| NaCl | ** | ns | ns | ns | ns | ns | ns | * | ns | |
| AMF | ns | ns | *** | ns | ns | ns | * | ns | *** | |
| NaCl × AMF | ns | ns | ns | *** | ns | ns | ns | ns | ns | |
| NaCl (mM) | Cl− | Na+ | P | K+ | K+/Na+ | Ca2+/Na+ | Mg2+/Na+ | Cu | Mn | |
|---|---|---|---|---|---|---|---|---|---|---|
| 0 | 116.5 | 121.9 | 74.4 | 465 | 3.78 | 7.98 | 1.52 | 30.8 | 74.5 | |
| 30 | 126.5 | 317.7 | 74.5 | 444 | 1.43 | 2.88 | 0.44 | 28.3 | 93.4 | |
| AMF | ||||||||||
| −AM | 129.9 | 216.3 | 109.6 | 450 | 2.49 | 4.79 | 0.85 | 28.3 | 91.8 | |
| +AM | 113.2 | 223.3 | 39.4 | 459 | 2.72 | 6.07 | 1.11 | 30.8 | 76.1 | |
| NaCl × AMF | ||||||||||
| 0 | −AM | 132.8 | 129.7 | 109.4 | 441 | 3.41 b | 6.84 b | 1.28 b | 31.0 | 73.4 a |
| +AM | 100.2 | 114.2 | 39.4 | 488 | 4.15 c | 9.12 c | 1.76 c | 30.5 | 75.5 a | |
| 30 | −AM | 126.9 | 303.0 | 109.8 | 458 | 1.56 a | 2.74 a | 0.42 a | 25.6 | 110.2 b |
| +AM | 126.1 | 332.4 | 39.3 | 430 | 1.30 a | 3.03a | 0.46a | 31.1 | 76.6 a | |
| Anova | ||||||||||
| NaCl | ns | *** | ns | ns | *** | *** | *** | ns | ** | |
| AMF | ns | ns | *** | ns | ns | ** | *** | ns | * | |
| NaCl × AMF | ns | ns | ns | ns | ** | * | ** | ns | ** | |
Disclaimer/Publisher’s Note: The statements, opinions and data contained in all publications are solely those of the individual author(s) and contributor(s) and not of MDPI and/or the editor(s). MDPI and/or the editor(s) disclaim responsibility for any injury to people or property resulting from any ideas, methods, instructions or products referred to in the content. |
© 2024 by the authors. Licensee MDPI, Basel, Switzerland. This article is an open access article distributed under the terms and conditions of the Creative Commons Attribution (CC BY) license (https://creativecommons.org/licenses/by/4.0/).
Share and Cite
Navarro, J.M.; Pérez-Tornero, O.; Morte, A. Effects of Salinity on ‘Fino 95’ Lemon Trees Inoculated with Arbuscular Mycorrhizal Fungi. Horticulturae 2024, 10, 612. https://doi.org/10.3390/horticulturae10060612
Navarro JM, Pérez-Tornero O, Morte A. Effects of Salinity on ‘Fino 95’ Lemon Trees Inoculated with Arbuscular Mycorrhizal Fungi. Horticulturae. 2024; 10(6):612. https://doi.org/10.3390/horticulturae10060612
Chicago/Turabian StyleNavarro, Josefa M., Olaya Pérez-Tornero, and Asunción Morte. 2024. "Effects of Salinity on ‘Fino 95’ Lemon Trees Inoculated with Arbuscular Mycorrhizal Fungi" Horticulturae 10, no. 6: 612. https://doi.org/10.3390/horticulturae10060612
APA StyleNavarro, J. M., Pérez-Tornero, O., & Morte, A. (2024). Effects of Salinity on ‘Fino 95’ Lemon Trees Inoculated with Arbuscular Mycorrhizal Fungi. Horticulturae, 10(6), 612. https://doi.org/10.3390/horticulturae10060612

