Abstract
Apple germplasm resources can be divided into 35 species (taxonomy) and further categorized as wild germplasms, landraces, and cultivars (germplasm type-based classification). Analyses of the variations in apple fruit phenotypic traits among species and germplasm resources revealed the underlying genetic diversity in apple germplasm resources. The study data provide a foundation for the research on apple fruit quality and for promoting the efficient use of apple germplasm resources. Six fruit phenotypic traits of 185 apple germplasm resources preserved in the National Repository of Pear and Apple Germplasm Resources (Xingcheng) were recoded, organized, and analyzed. The six fruit traits of apple germplasm resources varied. The rank order of fruit traits in terms of the degree of variation was as follows (highest to lowest): fruit weight, vitamin C, titratable acidity, fruit hardness, soluble solids, and soluble sugar. Correlation and principal component analyses indicated that fruit firmness, soluble solids, and soluble sugar were major traits that can represent the six fruit phenotypic traits. The six fruit traits differed between and within groups. A hierarchical cluster analysis based on the average coefficient of variation (CV) for each phenotype divided the 185 apple germplasm resources into five groups. The examined apple germplasm resources had diverse fruit phenotypic traits, with the highest CV for fruit weight, indicative of abundant genetic variations underlying the differences between germplasm types. Variations in fruit weight, fruit firmness, soluble solids, and soluble sugar were greater for wild germplasms than for landraces and cultivars. Because fruit firmness and soluble sugar were continuously targeted during long-term artificial selection, the CVs for these fruit traits were significantly lower for cultivars than for wild germplasms.
1. Introduction
Apple (Malus domestica Borkh.), which belongs to the family Rosaceae and genus Malus Mill, is a deciduous tree species grown worldwide and produces one of the most economically significant fruits [,]. In 2022, global apple production exceeded 86 million tons, primarily because of its strong ecological adaptability and high nutritional value, making it a highly desirable fruit among consumers [,]. Apple fruit is rich in essential nutrients, including dietary fiber, vitamins, and minerals. It provides significant amounts of vitamin C, which is crucial for immune function and skin health, and dietary fiber, which enhances digestion and cardiovascular health [,,]. Additionally, apples contain antioxidants, such as polyphenols, which are beneficial for reducing oxidative stress and inflammation. These nutritional components help make apple fruit a popular healthy dietary choice across diverse populations [,].
Apple fruit phenotypic traits, including fruit weight, vitamin C content, titratable acidity, firmness, and soluble sugar content, directly influence fruit taste, nutritional value, marketability, and adaptability to various environments. Differences in these traits reflect the diversity of apple germplasm resources and are important for determining how different apple varieties can satisfy consumer preferences and nutritional needs [,,,,].
In recent years, many researchers have used molecular biological techniques such as simple sequence repeat (SSR) molecular marker-based techniques as well as simplified genome sequencing (e.g., SLAF-seq) and resequencing technologies to provide effective breeding methods [,,,]. However, these methods depend on accurate phenotypic data, which can be difficult to obtain because of environmental variability and the complexity of certain traits. Thus, optimizing molecular breeding and germplasm resource utility requires the collection, investigation, and analysis of phenotypic traits [,]. Phenotypic trait research is critical for understanding plant diversity, because plant phenotypic diversity reflects both genetic and environmental variations and is easily affected by environmental factors [,]. Notably, with a sufficiently large population, phenotypic diversity can partially reflect the extent of genetic variations and the adaptability of plants to environmental conditions [,]. The coefficient of variation indicates differences within and between populations and represents trait-related genetic diversity. A high CV reflects relatively high variability within or between populations and a rich genetic background, while also being useful for identifying cultivars [].
A previous study on phenotypic characteristics of apple cultivars and their wild progenitors revealed significant changes during apple breeding and substantial differences in fruit weight, acidity, and phenolic contents among apple cultivars and their wild ancestors, reflecting the positive effects of apple domestication and breeding []. Moradi et al. [] examined various traits of Malus orientalis (Uglitzk.) such as tree morphology, leaf shape, leaf color, and fruit shape, revealing that the diversity within M. orientalis may contribute valuable genetic information to the global gene pool of Malus species. Zhang et al. [] identified and evaluated the diversity in 14 traits of 160 wild apple germplasm resources in the Tianshan region, thereby generating useful data relevant to the conservation and utility of wild apple resources. Diao et al. [] conducted morphological and quantitative trait analyses of the floral and tree shapes of 41 wild apple resources from Xinjiang to screen for wild germplasms with superior traits.
To comprehensively characterize phenotypic trait variations in apple germplasm resources, this study focused on apple germplasm resources preserved in the “National Repository of Pear and Apple Germplasm Resource Nursery (Xingcheng)”. By applying standardized data collection methods and statistical analysis techniques, this study systematically assessed the fruit phenotypic traits of 185 apple germplasm resources over two consecutive years. Key trait data, including fruit weight, vitamin C, titratable acidity, fruit firmness, soluble solids, and soluble sugar content, were analyzed to detect differences between and within groups and to further clarify phenotypic and genetic variation patterns during domestication or selection processes. The study data provide a basis for apple quality improvement and the scientific and rational use of germplasm resources.
2. Materials and Methods
2.1. Plant Materials
This study was conducted at the National Repository of Pear and Apple Germplasm Resources (Xingcheng) from 2021 to 2022. During the apple fruit physiological maturity period (August to October), fully blackened seeds were used to determine the specific harvest time for individual germplasms. For each germplasm, four trees were randomly selected from three groups of trees, and 5 kg fruit was collected from various directions for subsequent analyses. Experimental materials consisted of 52 wild germplasms, 34 landraces, and 99 cultivars, with 10 replicates per material (Supplementary Table S1).
2.2. Fruit Phenotypic Identification
Fruit weight, fruit firmness, soluble solid content, vitamin C content, soluble sugar content, and titratable acidity were measured as described by Nie []. Briefly, fruit weight was determined using an ACS-30A electronic balance (Shanghai Yousheng Weighing Apparatus Co., Ltd., Shanghai, China), whereas fruit firmness was measured using a GY-4 digital fruit firmness tester (Zhejiang Topu Instrument Co., Ltd., Zhejiang, China). Soluble solid and soluble sugar contents were determined using an ATAGO digital refractometer (PAL-1 type, Tokyo, Japan) and a spectrophotometer, respectively.
2.3. Statistical Analysis
Data were analyzed using Microsoft Excel 2016 to calculate the following: mean, standard deviation, CV, and frequency distribution. In addition, a nested analysis of variance and principal component analysis (PCA) were performed. The R packages “NbClust”, “factoextra”, and “igraph” were used for a hierarchical cluster analysis, after which “ggtree” was used to visualize the clustering results.
3. Results
3.1. Phenotypic Trait Variation and Distribution
An analysis of fruit trait data for 185 apple germplasm resources revealed the positively skewed distribution of fruit firmness, soluble solids, titratable acidity, vitamin C, and soluble sugars, which was in contrast to the bimodal normal distribution of fruit weight. There were significant differences among phenotypes, with a consistent overall trend across both years (Figure 1).

Figure 1.
Frequency distribution and correlation coefficient plots across different years. (A) Samples collected in 2021. (B) Samples collected in 2022. “*”: p-value < 0.05; “**”: p-value < 0.01; “***”: p-value < 0.001.
Fruit weight mainly ranged from 0 to100 g and from 150 to 250 g (Figure 1), with CVs of 79.74% and 78.59% in 2021 and 2022, respectively (Table 1), reflecting the high variability and substantial dispersion around the mean fruit weight. Fruit firmness was mainly 6–10 kg/cm2, with CVs of 29.06% and 31.29% in 2021 and 2022. The soluble solid content was typically between 10% and 15%, with CVs of 22.87% and 20.78% in 2021 and 2022, respectively. Titratable acidity was mainly between 0.4% and 0.8%, with CVs of 52.19% and 52.51% in 2021 and 2022, respectively. The vitamin C content was mainly 2–10 mg/100 g, with CVs of 58.15% and 60.89% in 2021 and 2022, respectively. The soluble sugar content mainly ranged from 6% to 12%, with CVs of 19.16% and 16.40% for the 2 years.

Table 1.
Variations in fruit traits among germplasm resources in 2021 and 2022.
According to the CVs of various phenotypic traits, there was considerable genetic diversity among the examined apple germplasm resources. The rank order of the degree of variation was as follows (highest to lowest): fruit weight, vitamin C, titratable acidity, fruit firmness, soluble solids, and soluble sugars.
3.2. Phenotypic Trait Correlation Analysis and Principal Component Analysis
The correlation analysis of six fruit traits of 185 apple germplasm resources (Figure 1) detected a highly significant negative correlation between fruit weight and the soluble solids (correlation coefficient: −0.250) as well as titratable acidity (correlation coefficient: −0.515). Conversely, there was a highly significant positive correlation between the soluble solids and soluble sugars (correlation coefficient: 0.814) as well as between titratable acidity and the vitamin C (correlation coefficient: 0.357). Notably, in 2022, there was a highly significant negative correlation between fruit weight and fruit firmness and vitamin C, whereas in 2021, there was a highly significant positive correlation between titratable acidity and fruit firmness.
A PCA was conducted for six fruit traits. Using eigenvalues greater than 1 as the criterion, four principal components could be extracted (Table 2). The first principal component (PC1) contributed the most to phenotypic variance (84.61%), with the highest eigenvector value obtained for fruit weight. The second principal component (PC2) contributed 12.14% of the phenotypic variance, with the highest eigenvector value obtained for the soluble solid content. Additionally, there was a highly significant positive correlation between the soluble solids and soluble sugars (Figure 1). The first two principal components combined contribute 96.75% of the phenotypic variance, indicating that PC1 and PC2 can represent most of the information for the six examined fruit phenotypic traits.

Table 2.
Principal component analysis of six apple fruit phenotypic traits.
3.3. Variations Among Different Germplasm Types
3.3.1. Coefficients of Variation for Different Germplasm Types
An analysis of phenotypic trait variations across different germplasm types (Table 3) showed that wild germplasms had the highest CVs (47.61% and 47.83% in 2021 and 2022, respectively), indicative of considerable genetic diversity. In contrast, the average CVs were for cultivars (32.31% and 31.38% in 2021 and 2022, respectively). The CVs of fruit weight, fruit firmness, soluble solids, vitamin C, and soluble sugars were higher for wild germplasms than for landraces and cultivars, whereas the CVs for titratable acidity were lower for wild germplasms than for the other two germplasm types. The overall trend in the CVs of different phenotypic traits was generally consistent across germplasm types, with the highest and lowest CVs obtained for fruit weight and soluble sugar content, respectively.

Table 3.
Coefficient of variation (%) of six fruit traits of three apple germplasm types.
3.3.2. Multiple Comparisons of Different Germplasm Types
A multiple comparison analysis of six fruit traits across three apple germplasm types (Table 4) detected significant differences among the traits of different germplasm types. The fruit weight was significantly higher for cultivars than for landraces and wild germplasms, while titratable acidity and the vitamin C content were significantly higher for wild germplasms than for landraces and cultivars. There were generally no major differences in the traits of different germplasm types between years. However, there were significant differences in the soluble solids and soluble sugars of wild germplasms as well as in the soluble sugars of landraces between years.

Table 4.
Multiple comparison results for six apple fruit traits in different years.
3.3.3. Principal Component Analysis of Different Germplasm Types
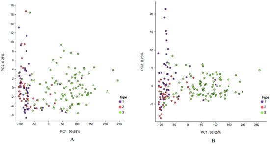
A PCA of three germplasm types (Figure 2) revealed that the distribution patterns of wild germplasms, cultivars, and landraces in PCA plots were generally consistent between 2021 and 2022. The overall trend for wild germplasms was stable. Specifically, they were primarily distributed between −100 and −50 on the PC1 axis, which was in contrast to their wide distribution across the PC2 axis, indicative of substantial variations in the soluble solids among wild germplasms. Landraces were mainly distributed between −100 and 50 on the PC1 axis. Additionally, their distribution on the PC2 axis narrowed from −5 to 18 in 2021 to −10 to 5 in 2022, indicating that the intraspecific variation in the soluble solids was lower in 2022 than in 2021. Cultivars were widely distributed across the PC1 axis but were concentrated between −10 and 10 on the PC2 axis, suggesting that cultivars generally have relatively large fruit with a highly variable weight but a similar soluble solid content. The PCA results were generally in accordance with the variation and distribution of phenotypic traits across germplasm types (Table 3 and Table 4).

Figure 2.
Results of a PCA of the phenotypic traits of 185 apple germplasm resources in 2 years. (A) Samples collected in 2021. (B) Samples collected in 2022. (1) Wild germplasms. (2) Landraces. (3) Cultivars.
3.4. Cluster Analysis of Fruit Phenotypic Traits
A hierarchical cluster analysis divided the 185 germplasm resources into five groups (Figure 3). Group 1 consisted of three cultivars from China and the US, all with a fruit weight exceeding 300 g and relatively soft flesh. Group 2 included 19 cultivars from six countries, including China, the US, and the former Soviet Union, with a fruit weight of 227.40–273.90 g and flesh that was relatively soft with a sweet and sour taste. Group 3 comprised fifty germplasm resources collected worldwide, including three wild germplasms from China, Russia, and the US, respectively, with a fruit weight exceeding 150 g. Group 4 contained twenty-eight germplasm resources, including two wild germplasms, six landraces, and twenty cultivars, most of which were Chinese cultivars with medium to large fruit and soluble solids content typically between 11% and 12%. Group 5 included 85 germplasm resources, which were mainly domestic wild germplasms and landraces characterized by a relatively small fruit that was firm and had a high titratable acidity.

Figure 3.
Clustering of 185 apple germplasm resources.
To clarify the criteria for classifying groups, the average CV for each examined trait was calculated across the five groups (Table 5). As the clustering distance increased, the proportion of wild germplasms increased, while the proportion of cultivars decreased, leading to a corresponding increase in the average CV of each group (Figure 4). The average CVs were 18.68% for fruit weight, 15.70% for the soluble solid content, and 13.70% for the soluble sugars. Thus, the clustering was primarily due to three traits (fruit weight, soluble solids, and soluble sugars), which is consistent with the PCA findings.

Table 5.
Coefficients of variation of six apple fruit traits in different groups (%).

Figure 4.
Percentage of germplasm types in various groups.
4. Discussion
Exploring and optimizing the use of germplasm resources is critical for revitalizing the seed industry []. As one of the centers of origin and evolution for apples, China has an exceptionally rich array of germplasm resources, including diverse landraces and wild germplasms, which rank among the most abundant worldwide []. The CV serves as an important indicator of trait diversity, with a high CV reflecting substantial variability and a diverse genetic background, which can be advantageous for breeding and cultivar improvement because of the associated broad range of traits to be selected and enhanced []. In the current study, we analyzed six fruit phenotypic traits using 185 apple germplasm resources in 2021 and 2022. The CVs ranged from 16.40% to 79.47%, with the following rank order for the phenotypic variation of fruit traits (highest to lowest): fruit weight, vitamin C, titratable acidity, fruit firmness, soluble solids, soluble sugars.
Plant phenotypes do not independently adapt to environmental changes; instead, there is a certain degree of correlation among phenotypic traits [,,]. In the present study, a correlation analysis of six fruit phenotypic traits revealed a highly significant negative correlation between fruit weight and titratable acidity, but a highly significant positive correlation between soluble solids and soluble sugars. To further clarify the relationships among these traits, PCA was performed to consolidate multiple traits so that information can be reflected by relatively few trait variables and correlated traits can be compressed and integrated together. According to PCA results, there was a notable correlation between soluble solids and soluble sugars, reflecting the close relationship between these two traits [,,].
Apple accessions have markedly different characteristics because of long-term artificial selection and domestication []. During the domestication of wild germplasms to landraces, fruit flavor and quality were enhanced. However, domestication tended to result in landraces that were less genetically diverse than wild germplasms [,,,,]. Duan et al. [] analyzed whole-genome resequencing data of 117 apple germplasm resources from 24 species and conducted a genetic structure analysis using high-quality SNPs obtained after filtering. According to their analysis, breeding cultivars and their wild relatives (M. sylvestris, M. sieversii) cluster together to form a major subgroup. Selective scanning of different germplasm types identified genes related to fruit sugar content, fruit firmness, and secondary metabolites, but it also clarified the persistent selection for fruit sweetness and firmness during the domestication of apples. Liao et al. [] completed a whole-genome resequencing analysis of 497 apple germplasm resources. Moreover, by analyzing the genetic structure and conducting a PCA, they elucidated the genetic relationships between wild resources and breeding cultivars []. The genetic diversity of wild resources and ancient cultivars is significantly higher than that of modern breeding cultivars, highlighting the loss of genetic diversity in apples caused by artificial selection during breeding [].
To clarify the extent of the variations in fruit phenotypes among different groups, we categorized 185 apple germplasm resources into wild germplasms, landraces, and cultivars. We detected large variations in six fruit phenotypic traits within and between these groups; the variations were unevenly distributed. The CVs of fruit weight, fruit firmness, soluble solids, and soluble sugars were higher for wild germplasms than for landraces and cultivars. Additionally, there was significantly less variation in fruit firmness, soluble solids, and soluble sugars in landraces and cultivars than in wild germplasms. This decrease in variation in landraces and cultivars may be attributed to the continuous artificial selection for fruit firmness and soluble solids and soluble sugars, which resulted in decreased genetic diversity [,]. The variation in landraces and cultivars decreased from 2021 to 2022, possibly because environmental factors affected these groups more than wild germplasms. On the basis of PCA results, the distribution of landraces and cultivars on the PC2 axis was more concentrated in 2022 than in 2021, implying environmental conditions were relatively stable in 2022. Compared with landraces and cultivars, wild germplasms, which were highly genetically diverse before domestication, enabling them to adapt to environmental changes, were less affected by environmental fluctuations. To explore the possible causes of these phenomena, we conducted multiple comparative analyses of germplasm types in different years, which showed that the most significant differences between 2021 and 2022 were in the soluble solids and soluble sugars of wild germplasms.
A hierarchical cluster analysis divided the 185 apple germplasm resources into five distinct groups. As the clustering distance increased, the proportion of wild germplasms increased, but the proportion of breeding cultivars decreased. According to CVs, fruit weight, soluble solids, and soluble sugars were the primary traits used for clustering. Previous research showed that wild apple resources from Xinjiang spread eastward, gradually giving rise to early varieties, such as Malus domestica subsp. chinensis in China. Earlier studies detected the gene flow between Hebei and northeast China [,,]. Clustering results also revealed that landraces from Xinjiang in Group 4 were clustered with domestic breeding cultivars, whereas landraces from Hebei in Group 5 were more closely associated with wild germplasms from Xinjiang and Russia as well as with landraces from northeast China.
Considerable genetic diversity is critical for germplasm conservation, but it is also relevant to breeding apple varieties with superior quality, high yield, and broad adaptability [,]. Germplasm resources, which are a fundamental component of breeding programs, provide abundant genetic diversity. Optimizing the use of this diversity may lead to the development of apple varieties with more favorable traits than current cultivars. Hence, to appropriately use germplasm resources during breeding, they must be accurately identified []. By comprehensively analyzing the diversity of apple germplasm resources, we can clarify the variations in fruit phenotypic traits among and within species. This will help to elucidate the changes during apple evolution and domestication, while also providing a scientific foundation for future research on fruit quality as well as germplasm conservation. The findings of this study may be important for guiding future studies conducted to increase apple fruit quality and develop new varieties, but they may also be useful for thoroughly characterizing the genetic variations associated with the diversity in apple fruit traits [].
Supplementary Materials
The following supporting information can be downloaded at: https://www.mdpi.com/article/10.3390/horticulturae10121318/s1, Table S1: Materials.
Author Contributions
Conceptualization, Z.L. (Zichen Li) and W.T.; methodology, Z.L. (Zhao Liu); software, D.W., Y.S. and X.L.; validation, S.S. and K.W.; Supervision, L.W.; writing—original draft preparation, Z.L. (Zichen Li); writing—review and editing, Y.G. All authors have read and agreed to the published version of the manuscript.
Funding
This study was supported by the National Key R&D Program of China (No. 2023YFD1200100), the Agricultural Science and Technology Innovation Program (CAAS-ASTIP-2022-RIP-02), and the “Xingliao Talent Program” Project of Liaoning Province (XLYC2203177).
Data Availability Statement
The original contributions presented in the study are included in the article and Supplementary Materials, further inquiries can be directed to the corresponding author.
Conflicts of Interest
The authors declare no conflicts of interest.
References
- Bondonno, N.P.; Bondonno, C.P.; Ward, N.C.; Hodgson, J.M.; Croft, K.D. The cardiovascular health benefits of apples: Whole fruit vs. isolated compounds. Trends Food Sci. Technol. 2017, 69, 243–256. [Google Scholar] [CrossRef]
- Li, Y.N. An Investigation and Studies on the Origin and Evolution of Malus domestica Borkh in the World. Acta Hortic. Sin. 1999, 4, 5–12. [Google Scholar]
- Food and Agriculture Organization Corporate Statistical Database. Available online: https://www.fao.org/faostat/en/#data/QCL (accessed on 5 August 2024).
- Morgan, J.; Richards, A. The New Book of Apples: The Definitive Guide to Over 2000 Varieties; Ebury Press: London, UK, 2002. [Google Scholar]
- Chen, X.S.; Wang, N.; Peng, F.T.; Mao, Z.Q.; Yin, C.M.; Jiang, Y.M.; Ge, S.F.; Hu, D.G.; Li, Y.Y.; Du, Y.P.; et al. Advances in Quality and Maturity Breeding of Important Deciduous Fruit Trees in China. Acta Hortic. Sin. 2024, 51, 8–26. [Google Scholar]
- Siekierzynska, A.; Piasecka-Kwiatkowska, D.; Myszka, A.; Burzynska, M.; Sozanska, B.; Sozanski, T. Apple allergy: Causes and factors influencing fruits allergenic properties-Review. Clin. Transl. Allergy 2021, 11, e12032. [Google Scholar] [CrossRef]
- Kalinowska, M.; Bielawska, A.; Lewandowska-Siwkiewicz, H.; Priebe, W.; Lewandowski, W. Apples: Content of phenolic compounds vs. variety, part of apple and cultivation model, extraction of phenolic compounds, biological properties. Plant Physiol. Biochem. 2014, 84, 169–188. [Google Scholar] [CrossRef]
- Kumpulainen, J.T.; Salonen, J.T. Desirable versus harmful levels of intake of flavonoids and phenolic acids. In Natural Antioxidants and Anticarcinogens in Nutrition, Health and Disease; Elsevier: Amsterdam, The Netherlands, 1999. [Google Scholar]
- Baxter, C.; Carrari, F.; Bauke, A.; Overy, S.; Hill, S.; Quick, P.; Fernie, A.; Sweetlove, L. Fruit carbohydrate metabolism in an introgression line of tomato with increased fruit soluble solids. Plant Cell Physiol. 2005, 46, 425–437. [Google Scholar] [CrossRef] [PubMed]
- Yang, S.; Meng, Z.; Li, Y.; Chen, R.; Yang, Y.; Zhao, Z. Evaluation of Physiological Characteristics, Soluble Sugars, Organic Acids and Volatile Compounds in ‘Orin’ Apples (Malus domestica) at Different Ripening Stages. Molecules 2021, 26, 807. [Google Scholar] [CrossRef]
- Li, M.J.; Li, P.M.; Ma, F.W. Sugar metabolism and accumulation in the fruit of transgenic apple trees with decreased sorbitol synthesis. Hortic. Res. 2018, 5, 60. [Google Scholar] [CrossRef]
- Cliff, M.A.; Stanich, K.; Lu, R.; Hampson, C.R. Use of descriptive analysis and preference mapping for early-stage assessment of new and established apples. J. Sci. Food Agric. 2016, 96, 2170–2183. [Google Scholar] [CrossRef]
- Harker, F.R.; Kupferman, E.M.; Marin, A.B.; Gunson, F.A.; Triggs, C.M. Eating quality standards for apples based on consumer preferences. Postharvest Biol. Technol. 2008, 50, 70–78. [Google Scholar] [CrossRef]
- Yamaki, S. Isolation of vacuoles from immature apple fruit flesh and compartmentation of sugars, organic acids, phenolic compounds and amino acids. Plant Cell Physiol. 1984, 25, 151–166. [Google Scholar]
- Gao, Y.; Wang, D.J.; Wang, K.; Cong, P.H.; Zhang, C.X.; Li, L.W.; Piao, J.C. Chloroplast DNA variation and genetic evolution of Malus sieversii (Ledeb.) M. Roem. J. Plant Genet. Resour. 2020, 21, 579–587. [Google Scholar]
- Gao, Y.; Wang, D.J.; Wang, K.; Cong, P.H.; Zhang, C.X.; Li, L.W.; Piao, J.C. Analysis of Genetic Diversity of Apple Germplasms of Malus Using SLAF-seq Technology. Acta Hortic. Sin. 2020, 47, 1869–1882. [Google Scholar]
- Jiang, L.; Geng, D.; Zhi, F.; Li, Z.; Yang, Y.; Wang, Y.; Shen, X.; Liu, X.; Yang, Y.; Xu, Y.; et al. A genome-wide association study provides insights into fatty acid synthesis and metabolism in Malus fruits. J. Exp. Bot. 2022, 73, 7467–7476. [Google Scholar] [CrossRef]
- Kumar, S.; Molloy, C.; Hunt, M.; Deng, C.H.; Wiedow, C.; Andre, C.; Dare, A.; McGhie, T. GWAS provides new insights into the genetic mechanisms of phytochemicals production and red skin colour in apple. Hortic. Res. 2022, 9, uhac218. [Google Scholar] [CrossRef]
- Heidari, P.; Rezaei, M.; Sahebi, M.; Khadivi, A. Phenotypic variability of Pyrus boissieriana Buhse, implications for conservation and breeding. Sci. Hortic. 2019, 247, 1–8. [Google Scholar] [CrossRef]
- Mirheidari, F.; Khadivi, A.; Moradi, Y.; Paryan, S. Phenotypic characterization of Prunus haussknechtii bornm., P. elaeagnifolia Spach, and P. orientalis Mill. Sci. Hortic. 2020, 265, 109273. [Google Scholar]
- Zhang, Y.; Cao, Y.F.; Huo, H.L.; Xu, J.Y.; Tian, L.M.; Qi, D.; Liu, C. An assessment of the genetic diversity of pear (Pyrus L.) germplasm resources based on the fruit phenotypic traits. J. Integr. Agric. 2022, 21, 2275–2290. [Google Scholar] [CrossRef]
- Yan, A.M.; Chen, W.X. Phenotypic feature diversity of Rhizobia isolated from Medicago sp., Melilotus sp. and Caragana sp. Biodivers. Sci. 1999, 7, 112–118. [Google Scholar]
- Alizadeh, K.; Fatholahi, S.D.; Silva, J.A. Variation in the fruit characteristics of local pear (Pyrus spp.) in the Northwest of Iran. Genet. Resour. Crop Evol. 2015, 62, 635–641. [Google Scholar] [CrossRef]
- Wang, L.R.; Zhu, G.R.; Fang, W.C. The Evaluating Criteria of Some Botanical Quantitative Characters of Peach Genetic Resources. Sci. Agric. Sin. 2005, 38, 770–776. [Google Scholar] [CrossRef]
- Jiang, X.B.; Gong, B.C.; Liu, Q.Z.; Chen, X.; Wu, K.Y.; Deng, Q.E.; Tang, D. Phenotypic Diversity of Important Agronomic Traits of Local Cultivars of Chinese Chestnut. Acta Hortic. Sin. 2014, 41, 641–652. [Google Scholar]
- Davies, T.; Watts, S.; McClure, K.; Migicovsky, Z.; Myles, S. Phenotypic divergence between the cultivated apple (Malus domestica) and its primary wild progenitor (Malus sieversii). PLoS ONE 2022, 17, e0250751. [Google Scholar] [CrossRef] [PubMed]
- Moradi, Y.; Khadivi, A.; Mirheidari, F. Multivariate analysis of oriental apple (Malus orientalis Uglitzk.) based on phenotypic and pomological characterizations. Food Sci. Nutr. 2022, 10, 2532–2541. [Google Scholar] [CrossRef] [PubMed]
- Zhang, X.C.; Ren, H.L.; Tang, S.M. Genetic Diversity Analysis of Phenotypic Traits in 160 Germplasm Resources of Malus sieversii (Ledeb.) M. Roem. from Tianshan in Ili. J. Plant Genet. Resour. 2021, 22, 1521–1530. [Google Scholar]
- Diao, Y.Q.; Xu, Z.; Yan, P.; Chen, S.Y.; Zhang, X.C.; Liu, J. Phenotypic characteristic identification and preliminary selection of excellent resources in Malus sieversii resource types. Non-Wood For. Res. 2019, 37, 17–24. [Google Scholar]
- Nie, J.Y. Analytical Techniques of Fruit Quality and Safety; Chemical Industry Press: Beijing, China, 2009; pp. 18–38. [Google Scholar]
- Wang, L.R.; Wu, J.L. Review for the research of fruit tree germplasm and breeding of new varieties in the past seven decades in China. Acta Hortic. Sin. 2021, 48, 749–758. [Google Scholar]
- Wang, D.J.; Gao, Y.; Sun, S.M.; Liu, Z.; Lu, X.; Li, Q.S.; Wang, W.D.; Li, L.W.; Dong, X.G.; Shi, X.B.; et al. Development dynamics and trends of science and technology of fruit germplasm resources in the world. China Fruits 2022, 08, 103–108. [Google Scholar]
- Shang, H.Y.; Pu, J.; Ke, H.F.; Wang, S.F.; Wu, J.H. Genetic diversity analysis and evaluation of domestic and international cotton germplasm resources under different planting environments. Acta Agron. Sin. 2024, 50, 2528–2537. [Google Scholar]
- Richards, T.E.; Kmper, W.; Trueman, S.J. Relationships between nut size, kernel quality, nutritional composition and levels of outcrossing in three Macadamia cultivars. Plants 2020, 9, 228. [Google Scholar] [CrossRef]
- Shuai, X.X.; Dai, T.T.; Chen, M.S. Comparative study of chemical compositions and antioxidant capacities of oils obtained from 15 Macadamia (Macadamia integrifolia) cultivars in China. Foods 2021, 10, 1031. [Google Scholar] [CrossRef] [PubMed]
- Gong, Y.L.; Lei, Y.; Yan, Z.Q.; Liu, X.W.; Zhang, D.S.; Wu, J.Q.; Zhu, S.S. Comprehensive Evaluation of Phenotype Genetic Diversity in Japonica Rice Germplasm Resources in Different Ecological Zones. Crops 2020, 5, 71–79. [Google Scholar]
- Ringnér, M. What is principal component analysis? Nat. Biotechnol. 2008, 26, 303–304. [Google Scholar] [CrossRef]
- Zhang, Z.; Castelló, A. Principal components analysis in clinical studies. Ann. Transl. Med. 2017, 5, 351. [Google Scholar] [CrossRef]
- Yang, Z.Z.; Mao, G.Y.; Zang, T.H.; Xu, X.P. Perform principal component analysis using SAS and SPSS software. Chin. J. Health Stat. 2009, 26, 212–213. [Google Scholar]
- Chen, P.; Li, Z.; Zhang, D.; Shen, W.; Xie, Y.; Zhang, J.; Jiang, L.; Li, X.; Shen, X.; Geng, D.; et al. Insights into the effect of human civilization on Malus evolution and domestication. Plant Biotechnol. J. 2021, 19, 2206–2220. [Google Scholar] [CrossRef]
- Lin, Q.; Chen, J.; Liu, X.; Wang, B.; Zhao, Y.; Liao, L.; Allan, A.C.; Sun, C.; Duan, Y.; Li, X.; et al. A metabolic perspective of selection for fruit quality related to apple domestication and improvement. Genome Biol. 2023, 24, 95. [Google Scholar] [CrossRef] [PubMed]
- Su, Y.; Yang, X.; Wang, Y.; Li, J.; Long, Q.; Cao, S.; Wang, X.; Liu, Z.; Huang, S.; Chen, Z.; et al. Phased Telomere-to-Telomere reference genome and pangenome reveal an expansion of resistance genes during apple domestication. Plant Physiol. 2024, 195, 2799–2814. [Google Scholar] [CrossRef]
- Wang, T.; Duan, S.; Xu, C.; Wang, Y.; Zhang, X.; Xu, X.; Chen, L.; Han, Z.; Wu, T. Pan-genome analysis of 13 Malus accessions reveals structural and sequence variations associated with fruit traits. Nat. Commun. 2023, 14, 7377. [Google Scholar] [CrossRef]
- Duan, N.B.; Bai, Y.; Sun, H.H.; Wang, N.; Ma, Y.M.; Li, M.J.; Cheng, L.L.; Fei, Z.J.; Chen, X.S. Genome re-sequencing reveals the history of apple and supports a two-stage model for fruit enlargement. Nat. Commun. 2017, 8, 249. [Google Scholar] [CrossRef]
- Liao, L.; Zhang, W.H.; Zhang, B.; Fang, T.; Wang, X.F.; Cai, Y.; Ogutu, C.; Gao, L.; Chen, G.; Nie, X.; et al. Unraveling a genetic roadmap for improved taste in the domesticated apple. Mol. Plant 2021, 14, 1454–1471. [Google Scholar] [CrossRef] [PubMed]
- Khan, M.A.; Olsen, K.M.; Sovero, V.; Kushad, M.M.; Korban, S.S. Fruit quality traits have played critical roles in domestication of the apple. Plant Genome 2014, 7, 1. [Google Scholar] [CrossRef]
- Wang, L.; Wang, D.; Wang, K.; Sun, S.; Tian, W.; Li, Z.; Wang, G.; Lu, X.; Liu, Z.; Li, Q.; et al. Genetic Structure and Molecular Identities of 46 Apple Landraces (Malus Mill.) in China. Agronomy 2023, 13, 1262. [Google Scholar] [CrossRef]
- Chen, X.S.; Song, J.; Ji, X.H.; Zhang, Y.M.; Gao, L.P.; Li, M.; Liu, D.L.; Zhang, R.; Li, M. Developing mechanism of fruits texture in ‘Jonagold’ apple and its crisp flesh sport. Sci. Agric. Sin. 2014, 47, 727–735. [Google Scholar]
- Chen, X.S.; Wang, N.; Zhang, Z.Y.; Feng, S.Q.; Chen, X.L.; Mao, Z.Q. Progress on the resource and breeding of kernel fruits I: Progress on the germplasm resources, quality development and genetics and breeding of pear in China. J. Plant Genet. Resour. 2019, 20, 791–800. [Google Scholar]
- Lu, H.Q.; Su, Z.X. Variation and Corr elation Research of Main Fruit Char acters of Pumelo Cultivars. Chin. Agric. Sci. Bull. 2006, 12, 220–222. [Google Scholar]
Disclaimer/Publisher’s Note: The statements, opinions and data contained in all publications are solely those of the individual author(s) and contributor(s) and not of MDPI and/or the editor(s). MDPI and/or the editor(s) disclaim responsibility for any injury to people or property resulting from any ideas, methods, instructions or products referred to in the content. |
© 2024 by the authors. Licensee MDPI, Basel, Switzerland. This article is an open access article distributed under the terms and conditions of the Creative Commons Attribution (CC BY) license (https://creativecommons.org/licenses/by/4.0/).