Quantification of Phytochemicals in Cephalotaxus harringtonia: Insights into Plant Tissue-Specific Allocation
Abstract
1. Introduction
2. Materials and Methods
2.1. Plant Materials
2.2. Instruments and Reagents
2.3. Sample Extraction and Preparation
2.4. Analysis of Total Phenolic Content (TPC)
2.5. Analysis of Total Flavonoid Content (TFC)
2.6. DPPH Radical Scavenging Assay
2.7. ABTS+ Radical Scavenging Activity
2.8. HPLC Conditions
2.9. Calibration Curve
2.10. Statistical Analysis
3. Results
3.1. TPC and TFC Assays
3.2. HPLC Analysis
3.3. DPPH and ABTS+ Radical Scavenging Assays
3.4. Pearson’s Correlation Analysis
4. Discussion
5. Conclusions
Author Contributions
Funding
Data Availability Statement
Conflicts of Interest
References
- Hao, D.C.; Hou, X.D.; Gu, X.J.; Xiax, P.G.; Ge, G.B. Ethnopharmacology, chemodiversity, and bioactivity of Cephalotaxus medicinal plants. Chin. J. Nat. Med. 2021, 19, 321–338. [Google Scholar] [CrossRef] [PubMed]
- Ji, Y.H.; Liu, C.K.; Landis, J.B.; Deng, M.; Chen, J.H. Plastome phylogenomics of Cephalotaxus (Cephalotaxaceae) and allied genera. Ann. Bot. 2021, 127, 697–708. [Google Scholar] [CrossRef] [PubMed]
- Ahmed, A.; Li, W.; Zhang, J.S.; Sam, P.H.; Zou, Y.H.; Tang, G.H.; Yin, S. A new bisabolane sesquiterpenoid and a new abietane diterpenoid from Cephalotaxus sinensis. Nat. Prod. Res. 2018, 32, 175–181. [Google Scholar] [CrossRef] [PubMed]
- Gontijo, V.S.; dos Santos, M.H.; Viegas, C., Jr. Biological and chemical aspects of natural biflavonoids from plants: A brief review. Mini Rev. Med. Chem. 2016, 17, 834–862. [Google Scholar] [CrossRef]
- Sayd, S.S.; Shakour, Z.T. Phenolic content and related antioxidant activities in in Vitro cultures of Cephalotaxus harringtonia L. Grown in Egypt. Life Sci. J. 2014, 11, 990–996. [Google Scholar]
- Oyenihi, A.B.; Smith, C. Are polyphenol antioxidants at the root of medicinal plant anti-cancer success? J. Ethnopharmacol. 2019, 229, 54–72. [Google Scholar] [CrossRef]
- Pérard-Viret, J.; Quteishat, L.; Alsalim, R.; Royer, J.; Dumas, F. Cephalotaxus alkaloids. Alkaloids Chem. Biol. 2017, 78, 205–352. [Google Scholar] [CrossRef]
- Ahn, S.Y.; Lee, C.D.; Ku, J.J.; Lee, S.; Lee, S. Anti-aging potential of Cephalotaxus harringtonia extracts: The role of harringtonine and homoharringtonine in skin protection. Appl. Biol. Chem. 2024, 67, 1–12. [Google Scholar] [CrossRef]
- Lou, J.S.; Bi, W.C.; Chan, G.K.L.; Jin, Y.; Wong, C.W.; Zhou, Z.Y.; Wang, H.Y.; Yao, P.; Dong, T.T.X.; Tsim, K.W.K. Ginkgetin induces autophagic cell death through p62/SQSTM1-mediated autolysosome formation and redox setting in non-small cell lung cancer. Oncotarget 2017, 8, 93131–93148. [Google Scholar] [CrossRef]
- Tian, Z.; Tang, C.; Wang, Z. Neuroprotective effect of ginkgetin in experimental cerebral ischemia/reperfusion via apoptosis inhibition and PI3K/Akt/mTOR signaling pathway activation. J. Cell Biochem. 2019, 120, 18487–18495. [Google Scholar] [CrossRef]
- Cortes, J.; Digumarti, R.; Parikh, P.M.; Wetzler, M.; Lipton, J.H.; Hochhaus, A.; Craig, A.R.; Benichou, A.C.; Nicolini, F.E.; Kantarjian, H.M. Phase 2 study of subcutaneous omacetaxine mepesuccinate for chronic-phase chronic myeloid leukemia patients resistant to or intolerant of tyrosine kinase inhibitors. Am. J. Hematol. 2013, 88, 350–354. [Google Scholar] [CrossRef] [PubMed]
- Jin, J.; Wang, J.X.; Chen, F.F.; Wu, D.P.; Hu, J.; Zhou, J.F.; Hu, J.D.; Wang, J.M.; Li, J.Y.; Huang, X.J.; et al. Homoharringtonine-based induction regimens for patients with de-novo acute myeloid leukaemia: A multicentre, open-label, randomised, controlled phase 3 trial. Lancet Oncol. 2013, 14, 599–608. [Google Scholar] [CrossRef] [PubMed]
- Shen, Y.; He, A.; Wang, F.; Bai, J.; Wang, J.; Zhao, W.; Zhang, W.; Cao, X.; Chen, Y.; Liu, J.; et al. Granulocyte colony stimulating factor priming chemotherapy is more effective than standard chemotherapy as salvage therapy in relapsed acute myeloid leukemia. Med. Clin. 2018, 151, 339–344. [Google Scholar] [CrossRef] [PubMed]
- Lü, S.; Wang, J. Homoharringtonine and omacetaxine for myeloid hematological malignancies. J. Hematol. Oncol. 2014, 7, 2. [Google Scholar] [CrossRef]
- Bohlander, S.K. A new kid on the block for acute myeloid leukemia treatment? Homoharringtonine interferes with key pathways in acute myeloid leukemia cells. Haematologica 2020, 105, 7–9. [Google Scholar] [CrossRef]
- Moirangthem, D.S.; Borah, J.C.; Laishram, S.; Kalita, M.C.; Talukdar, N.C. HPLC analysis of harringtonine and homoharringtonine in the needles of Cephalotaxus griffithii alkaloid fraction and cytotoxic activity on chronic myelogenous leukaemia K562 cell. Nat. Prod. Res. 2014, 28, 1503–1506. [Google Scholar] [CrossRef]
- Kim, H.P.; Park, H.; Son, K.H.; Chang, H.W.; Kang, S.S. Biochemical pharmacology of biflavonoids: Implications for anti-inflammatory action. Arch. Pharm. Res. 2008, 31, 265–273. [Google Scholar] [CrossRef]
- Patel, K.; Patel, D.K. Therapeutic benefit and biological importance of ginkgetin in the medicine: Medicinal importance, pharmacological activities and analytical aspects. Curr. Bioact. Compd. 2021, 17, 2–10. [Google Scholar] [CrossRef]
- Mishra, K.; Ojha, H.; Chaudhury, N.K. Estimation of antiradical properties of antioxidants using DPPH assay: A critical review and results. Food Chem. 2012, 130, 1036–1043. [Google Scholar] [CrossRef]
- Kim, J.T.; Chung, I.M.; Kim, M.J.; Lee, J.S.; Son, B.Y.; Bae, H.H.; Go, Y.S.; Kim, S.L.; Baek, S.B.; Kim, S.H.; et al. Comparison of antioxidant activity assays in fresh purple waxy corn (Zea mays L.) during grain filling. Appl. Biol. Chem. 2022, 65, 1–7. [Google Scholar] [CrossRef]
- Kim, J.; Soh, S.Y.; Bae, H.; Nam, S.Y. Antioxidant and phenolic contents in potatoes (Solanum tuberosum L.) and micropropagated potatoes. Appl. Biol. Chem. 2019, 62, 1–9. [Google Scholar] [CrossRef]
- Maher, T.; Raus, R.A.; Daddiouaissa, D.; Ahmad, F.; Adzhar, N.S.; Latif, E.S.; Abdulhafiz, F.; Mohammed, A. Medicinal plants with anti-leukemic effects: A review. Molecules 2021, 26, 2741. [Google Scholar] [CrossRef] [PubMed]
- Lwin, H.P.; Han, S.Y.; Byeon, S.E.; Lee, J.; Yoo, J.; Jung, H.I.; Lee, J. Differential responses of bulb quality attributes, mineral nutrient contents, and targeted major metabolites in onion bulbs after long-term commercial cold storage. Hortic. Environ. Biotechnol. 2023, 64, 627–642. [Google Scholar] [CrossRef]
- So, J.; Lee, H.D.; Kim, J.H.; Lee, S.; Lim, J.H. Antioxidant, antimicrobial, and skin-whitening effects and quantitative analysis of phenolic compounds in Korean wild Chrysanthemum flowers via HPLC/UV. Hortic. Environ. Biotechnol. 2024, 65, 215–227. [Google Scholar] [CrossRef]
- Uy, N.P.; Kim, H.; Ku, J.; Lee, S. Regional variations in Peucedanum japonicum antioxidants and phytochemicals. Plants 2024, 13, 377. [Google Scholar] [CrossRef]
- Kim, J.; Uy, N.P.; Kim, D.; Lee, S. Analysis of phenolic acid content and antioxidant activity of chestnut honey from different regions of Korea. Nat. Prod. Sci. 2023, 29, 127–131. [Google Scholar] [CrossRef]
- Choi, J.; Lee, H.D.; Cho, H.; Lee, C.D.; Tran, G.H.; Kim, H.; Moon, S.K.; Lee, S. Antioxidative phenolic compounds from the aerial parts of Cyperus exaltatus var. iwasakii and their HPLC analysis. Appl. Biol. Chem. 2023, 66, 61–71. [Google Scholar] [CrossRef]
- Choi, J.W.; Kim, J.R.; Lee, H.D.; Cho, H.J.; Paje, L.A.; Shin, H.; Lee, S.H. Development of an analytical approach for the utilization of edible tree sprouts. Nat. Prod. Sci. 2022, 28, 27–32. [Google Scholar] [CrossRef]
- Bongmo, L.V.L.; Bissoue, A.N.; Bissim, S.M.; Tabekoueng, G.B.; Tsopgni, W.D.T.; Lateef, M.; Kasali, F.M.; Ali, M.S.; Waffo, A.F.K.; Wansi, J.D. Secondary metabolites from Anthonotha cladantha (Harms) J. Léonard. Nat. Prod. Sci. 2023, 29, 50–58. [Google Scholar] [CrossRef]
- Doan, T.T.M.; Tran, G.H.; Nguyen, T.K.; Lim, J.H.; Lee, S. Antioxidant activity of different cultivars of Chrysanthemum morifolium and quantitative analysis of phenolic compounds by HPLC/UV. Appl. Biol. Chem. 2024, 67, 17. [Google Scholar] [CrossRef]
- Munteanu, I.G.; Apetrei, C. Analytical methods used in determining antioxidant activity: A review. Int. J. Mol. Sci. 2021, 22, 3380. [Google Scholar] [CrossRef] [PubMed]
- Jang, B.K.; Chi, L.W.; Cho, J.S.; Lee, C.H. Antimicrobial activity screening of sixty-four evergreen woody species according to extraction conditions against Trichophyton mentagrophytes. Korean J. Plant Resour. 2018, 31, 330–341. [Google Scholar] [CrossRef]
- Yang, Y.-J.; Kim, H.-J.; Kang, S.-H.; Kang, S.-C. Screening of natural herb resources for anti-oxidative effects in Korea. Korean J. Plant Resour. 2011, 24, 1–9. [Google Scholar] [CrossRef][Green Version]
- Ma, D.; Guo, Y.; Ali, I.; Lin, J.; Xu, Y.; Yang, M. Accumulation characteristics of plant flavonoids and effects of cultivation measures on their biosynthesis: A review. Plant Physiol. Biochem. 2024, 215, 108960. [Google Scholar] [CrossRef] [PubMed]
- Ferreyra, M.L.F.; Serra, P.; Casati, P. Recent advances on the roles of flavonoids as plant protective molecules after UV and high light exposure. Physiol. Plant. 2021, 173, 736–749. [Google Scholar] [CrossRef]
- Moirangthem, D.S.; Talukdar, N.C.; Kasoju, N.; Bora, U. Antioxidant, antibacterial, cytotoxic, and apoptotic activity of stem bark extracts of Cephalotaxus griffithii Hook. f. BMC Complement. Altern. Med. 2012, 12, 30. [Google Scholar] [CrossRef] [PubMed]
- Long, W.; Huang, G.; Yao, X.; Lv, L.; Yu, C.; Wang, K. Untargeted metabolism approach reveals difference of varieties of bud and relation among characteristics of grafting seedlings in Camellia oleifera. Front. Plant Sci. 2022, 13, 1024353. [Google Scholar] [CrossRef]
- Kutney, J.P. Studies in plant tissue culture: Potential sources of clinically important anti-tumor agents. Pure Appl. Chem. 2013, 54, 2523–2536. [Google Scholar] [CrossRef]
- Fang, J.; Reichelt, M.; Hidalgo, W.; Agnolet, S.; Schneider, B. Tissue-specific distribution of secondary metabolites in rapeseed (Brassica napus L.). PLoS ONE 2012, 7, e48006. [Google Scholar] [CrossRef]
- Gan, J.; Feng, Y.; He, Z.; Li, X.; Zhang, H. Correlations between antioxidant activity and alkaloids and phenols of maca (Lepidium meyenii). J. Food Qual. 2017, 2017, 3185945. [Google Scholar] [CrossRef]
- Aslam, S.; Jahan, N.; Rahman, K.U.; Zafar, F.; Ashraf, M.Y. Synergistic interactions of polyphenols & their effect on antiradical Potential. Pak. J. Pharm. Sci. 2017, 30, 1297–1304. [Google Scholar] [PubMed]
- Raudone, L.; Radušiene, J.; Seyis, F.; Yayla, F.; Vilkickyte, G.; Marksa, M.; Ivanauskas, L.; Cırak, C. Distribution of phenolic compounds and antioxidant activity in plant parts and populations of seven underutilized wild Achillea species. Plants 2022, 11, 447. [Google Scholar] [CrossRef] [PubMed]
- Tungmunnithum, D.; Thongboonyou, A.; Pholboon, A.; Yangsabai, A. Flavonoids and other phenolic compounds from medicinal plants for pharmaceutical and medical aspects: An overview. Medicines 2018, 5, 93. [Google Scholar] [CrossRef]
- Venkatesan, T.; Choi, Y.W.; Kim, Y.K. Impact of different extraction solvents on phenolic content and antioxidant potential of Pinus densiflora bark extract. Biomed. Res. Int. 2019, 2019, 3520675. [Google Scholar] [CrossRef]
- Dias, A.L.B.; de Aguiar, A.C.; Rostagno, M.A. Extraction of natural products using supercritical fluids and pressurized liquids assisted by ultrasound: Current status and trends. Ultrason. Sonochem. 2021, 74, 105584. [Google Scholar] [CrossRef]
- Antunes, F.; Mota, I.F.; Fangueiro, J.F.; Lopes, G.; Pintado, M.; Costa, P.S. From sugarcane to skin: Lignin as a multifunctional ingredient for cosmetic application. Int. J. Biol. Macromol. 2023, 234, 123592. [Google Scholar] [CrossRef]
- Liu, H.-Y.; Dong, T.-X.; Li, Z.-Z.; Li, T.-T.; Jiang, J.; Zhu, M.-W.; An, T.-T.; Chen, Y.-D.; Yang, X.-H. Homoharringtonine inhibits the progression of hepatocellular carcinoma by suppressing the PI3K/AKT/GSK3/Slug signaling pathway. Neoplasma 2021, 68, 924–937. [Google Scholar] [CrossRef]
- Wang, J.; Fu, C.N.; Mo, Z.Q.; Möller, M.; Yang, J.B.; Zhang, Z.R.; Li, D.Z.; Gao, L.M. Testing the complete plastome for species discrimination, cryptic species discovery and phylogenetic resolution in Cephalotaxus (Cephalotaxaceae). Front. Plant Sci. 2022, 13, 768810. [Google Scholar] [CrossRef]
- Xu, F.; Hu, K.; Mohsin, A.; Wu, J.; Su, L.; Wang, Y.; Ben, R.; Gao, H.; Tian, X.; Chu, J. Recent advances in the biosynthesis and production optimization of gentamicin: A critical review. Synth. Syst. Biotechnol. 2021, 10, 247–261. [Google Scholar] [CrossRef]







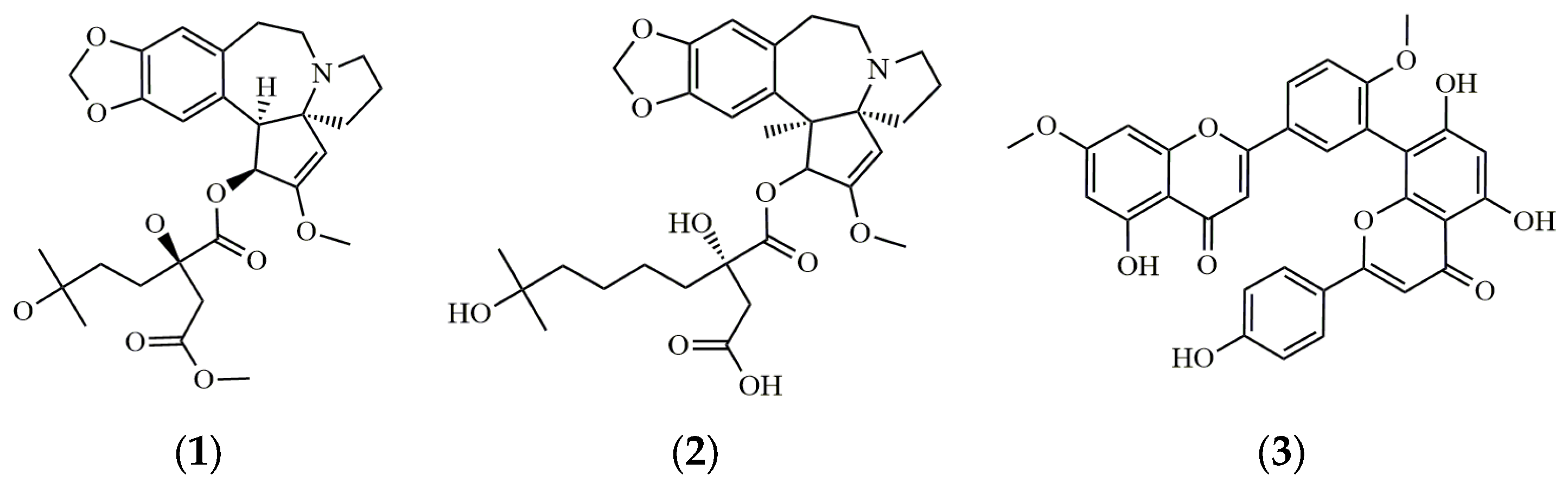
| Compound | tR | Calibration Equation | Correlation Factor, r2 |
|---|---|---|---|
| harringtonine (1) | 23.3 | Y = 1.0541X − 34.697 | 0.9999 |
| homoharringtonine (2) | 24.8 | Y = 1.0266X − 3.4901 | 0.9999 |
| ginkgetin (3) | 43.7 | Y = 18.055X − 69.013 | 0.9998 |
| Compound | Contents (mg/g) **** | ||
|---|---|---|---|
| Leaf | Stem | Bud | |
| harringtonine (1) | 25.3 ± 0.2 b | 9.6 ± 0.1 b | 240.7 ± 0.3 a |
| homoharringtonine (2) | 3.2 ± 0.1 b | 1.3 ± 0.1 c | 16.6 ± 0.5 a |
| ginkgetin (3) | 2.8 ± 0.1 a | 1.0 ± 0.1 b | tr |
| Total | 31.4 ± 0.2 b | 12.0 ± 0.1 c | 257.4 ± 0.8 a |
Disclaimer/Publisher’s Note: The statements, opinions and data contained in all publications are solely those of the individual author(s) and contributor(s) and not of MDPI and/or the editor(s). MDPI and/or the editor(s) disclaim responsibility for any injury to people or property resulting from any ideas, methods, instructions or products referred to in the content. |
© 2024 by the authors. Licensee MDPI, Basel, Switzerland. This article is an open access article distributed under the terms and conditions of the Creative Commons Attribution (CC BY) license (https://creativecommons.org/licenses/by/4.0/).
Share and Cite
Lee, C.-D.; Ku, J.; Lee, S.; Lee, S. Quantification of Phytochemicals in Cephalotaxus harringtonia: Insights into Plant Tissue-Specific Allocation. Horticulturae 2024, 10, 1286. https://doi.org/10.3390/horticulturae10121286
Lee C-D, Ku J, Lee S, Lee S. Quantification of Phytochemicals in Cephalotaxus harringtonia: Insights into Plant Tissue-Specific Allocation. Horticulturae. 2024; 10(12):1286. https://doi.org/10.3390/horticulturae10121286
Chicago/Turabian StyleLee, Chang-Dae, Jajung Ku, Sullim Lee, and Sanghyun Lee. 2024. "Quantification of Phytochemicals in Cephalotaxus harringtonia: Insights into Plant Tissue-Specific Allocation" Horticulturae 10, no. 12: 1286. https://doi.org/10.3390/horticulturae10121286
APA StyleLee, C.-D., Ku, J., Lee, S., & Lee, S. (2024). Quantification of Phytochemicals in Cephalotaxus harringtonia: Insights into Plant Tissue-Specific Allocation. Horticulturae, 10(12), 1286. https://doi.org/10.3390/horticulturae10121286

