Color Stability and Antioxidant Capacity of Crataegus monogyna Jacq. Berry Extract Influenced by Different Conditions
Abstract
1. Introduction
2. Materials and Methods
2.1. Extraction
2.2. Studies on the Effect of Thermal Treatments and Storage Temperature
2.3. Studies on External Ion Influences
2.4. Studies on pH Influence
2.5. Antioxidant Capacity by Reaction with ABTS (2,2′-Azinobis [3-Ethylbenzothiazoline-6-sulfonic Acid]-Diammonium Salt) Radical
2.6. Antioxidant Capacity by Reaction with DPPH (2,2-Diphenyl-1-picrylhydrazyl) Radical
2.7. Folin–Ciocalteu Method for Total Polyphenols and Total Flavonoids
2.8. Total Polyphenols by Abs 280
2.9. Total Cinnamic Acids
2.10. Total Flavonols
2.11. Total Content of Carotenoids
2.12. The Content of Individual Carotenoids
2.13. Color Parameters (CIELab)
2.14. Individual Polyphenols by HPLC
2.15. Mathematical Modelling
2.16. Statistical Analysis
3. Results and Discussion
3.1. The Polyphenol Composition and the Antioxidant Capacity of Hawthorn Berries Extract
3.2. Antioxidant Capacity (ABTS) of Hawthorn Berry Extract at Different pH, Ionic Strength, Temperature, and Storage Conditions
3.3. CIELab Color Parameters of Hawthorn Berry Extracts at Different pH, Ionic Strength, Temperature, and Storage Conditions
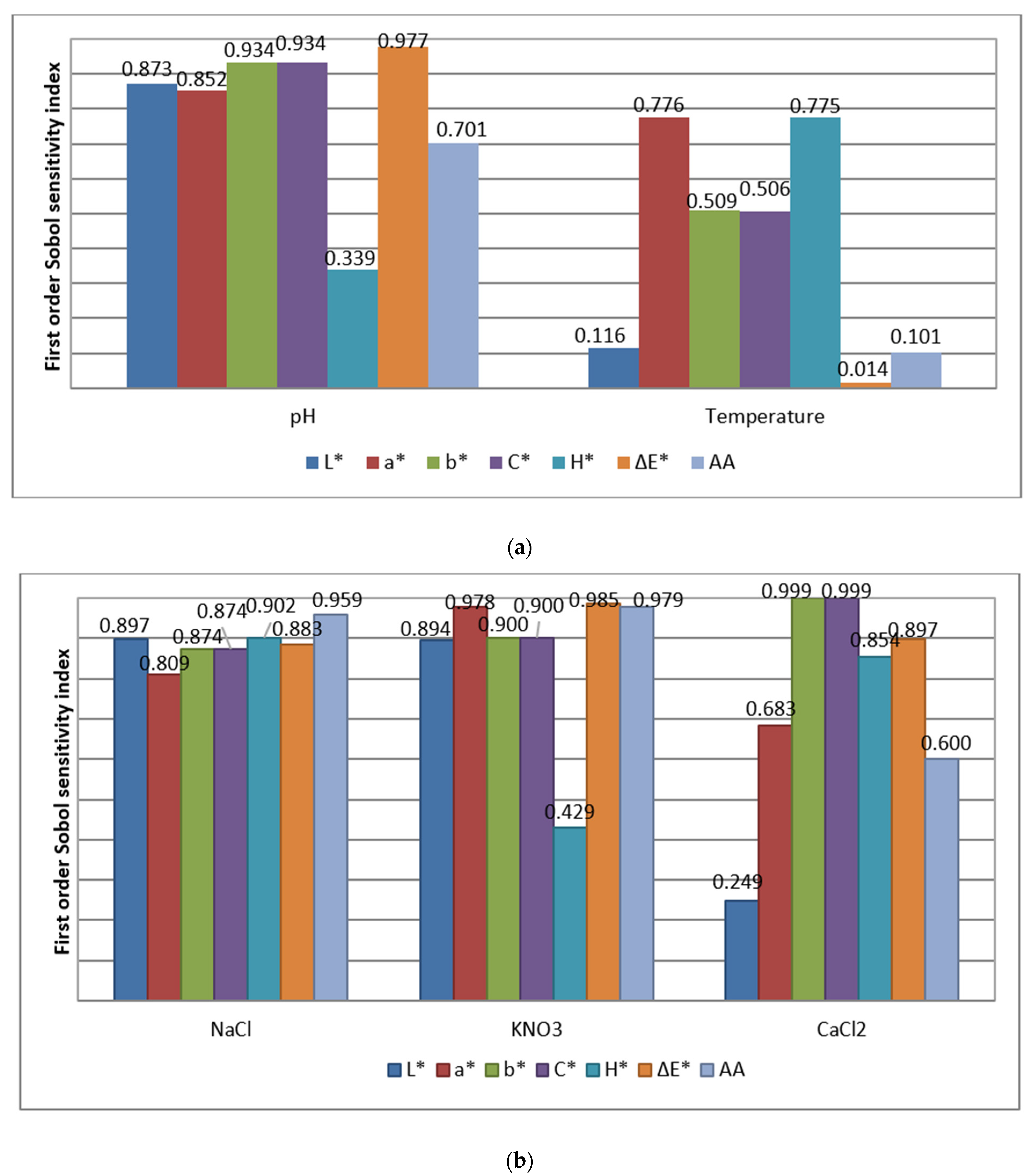
3.4. Mathematical Modelling of the Results by First-Order Sobol Sensitivity Index
4. Conclusions
Author Contributions
Funding
Data Availability Statement
Acknowledgments
Conflicts of Interest
References
- Royal Horticultural Society. 2021. Available online: https://www.rhs.org.uk/plants/4775/Crataegus-monogyna/Details (accessed on 5 June 2021).
- Bahorun, T.; Trotin, F.; Vasseurt, J. Comparative polyphenolic productions in Crataegus monogyna callus cultures. Phytochemistry 1994, 37, 1273–1276. [Google Scholar] [CrossRef]
- Rodrigues, S.; Calhelha, R.C.; Barreira, J.C.; Duenas, M.; Carvalho, A.M.; Abreu, R.M.; Santos-Buelga, C.; Ferreira, I.C. Crataegus monogyna buds and fruits phenolic extracts: Growth inhibitory activity on human tumor cell lines and chemical characterization by HPLC–DAD–ESI/MS. Food Res. Int. 2012, 49, 516–523. [Google Scholar] [CrossRef]
- Li, M.; Chen, X.; Deng, J.; Ouyang, D.; Wang, D.; Liang, Y.; Chen, Y.; Sun, Y. Effect of thermal processing on free and bound phenolic compounds and antioxidant activities of hawthorn. Food Chem. 2020, 332, 127429. [Google Scholar] [CrossRef] [PubMed]
- Jarzycka, A.; Lewinska, A.; Gancarz, R.; Wilk, K.A. Assessment of extracts of Helichrysum arenarium, Crataegus monogyna, Sambucus nigra in photoprotective UVA and UVB; photostability in cosmetic emulsions. J. Photochem. Photobiol. B Biol. 2013, 128, 50–57. [Google Scholar] [CrossRef] [PubMed]
- Perez-Galvez, A.; Viera, I.; Roca, M. Carotenoids and chlorophylls as antioxidants. Antioxidants 2020, 9, 505. [Google Scholar] [CrossRef] [PubMed]
- Wu, M.; Liu, L.; Xing, Y.; Yang, S.; Li, H.; Cao, Y. Roles and mechanisms of hawthorn and its extracts on atherosclerosis: A review. Front. Pharmacol. 2020, 11, 118. [Google Scholar] [CrossRef]
- Kaderides, K.; Kyriakoudi, A.; Mourtzinos, I.; Goula, A.M. Potential of pomegranate peel extract as a natural additive in foods. Trends Food Sci. Technol. 2021, 115, 380–390. [Google Scholar] [CrossRef]
- Bardakci, H.; Celep, E.; Gozet, T.; Kan, Y.; Kirmizibekmez, H. Phytochemical characterization and antioxidant activities of the fruit extracts of several Crataegus taxa. S. Afr. J. Bot. 2019, 124, 5–13. [Google Scholar] [CrossRef]
- Shortle, E.; Kerry, J.; Furey, A.; Gilroy, D. Optimisation of process variables for antioxidant components from Crataegus monogyna by supercritical fluid extraction (CO2) using Box Behnken experimental design. J. Supercrit. Fluids 2013, 81, 112–118. [Google Scholar] [CrossRef]
- Pawlaczyk-Graja, I. Polyphenolic-polysaccharide conjugates from flowers and fruits of single-seeded hawthorn (Crataegus monogyna Jacq.): Chemical profiles and mechanisms of anticoagulant activity. Int. J. Biol. Macromol. 2018, 116, 869–879. [Google Scholar] [CrossRef]
- Cristea, E.; Sturza, R.; Jauregi, P.; Niculaua, M.; Moșanu-Ghendov, A.; Patras, A. Influence of pH and ionic strength on the color parameters and antioxidant properties of an ethanolic red grape marc extract. J. Food Biochem. 2019, 43, e12788. [Google Scholar] [CrossRef] [PubMed]
- Re, R.; Pellegrini, N.; Proteggente, A.; Pannala, A.; Yang, M.; Rice-Evans, C. Antioxidant activity applying an improved ABTS radical cation decolorization assay. Free Radic. Biol. Med. 1999, 26, 1231–1237. [Google Scholar] [CrossRef] [PubMed]
- Ribereau-Gayon, P.; Glories, Y.; Maujean, A.; Dubourdieu, D. Handbook of Enology—Volume 2, The Chemistry of Wine Stabilization and Treatments; John Wiley and Sons, Ltd.: Hoboken, NJ, USA, 2006. [Google Scholar]
- Spranger, I.; Sun, B.; Mateus, A.M.; de Freitas, V.; Ricardo-da-Silva, J. Chemical characterization and antioxidant activities of oligomeric and polymeric procyanidin fractions from grape seeds. Food Chem. 2008, 108, 519–532. [Google Scholar] [CrossRef] [PubMed]
- Demir, N.; Yioldiz, O.; Alpaslan, M.; Hayaloglu, A.A. Evaluation of volatiles, phenolic compounds and antioxidant activities of rose hip (Rosa L.) fruits in Turkey. LWT Food Sci. Technol. 2014, 57, 126–133. [Google Scholar] [CrossRef]
- Biehler, E.; Mayer, F.; Hoffmann, L.; Krause, E.; Bohn, T. Comparison of 3 spectrophotometric methods for carotenoid determination in frequently consumed fruits and vegetables. J. Food Sci. 2009, 75, C55–C61. [Google Scholar] [CrossRef]
- Patras, A. Stability and colour evaluation of red cabbage waste hydroethanolic extract in presence of different food additives or ingredients. Food Chem. 2019, 275, 539–548. [Google Scholar] [CrossRef]
- International Organisation of Vine and Wine. Determination of chromatic characteristics according to CIELab. In Compendium of International Analysis of Methods-OIV; International Organisation of Vine and Wine: Paris, France, 2013; Volume 1. [Google Scholar]
- Cristea, E.; Ghendov-Mosanu, A.; Patras, A.; Socaciu, C.; Pintea, A.; Tudor, C.; Sturza, R. The Influence of Temperature, Storage Conditions, pH, and Ionic Strength on the Antioxidant Activity and Color Parameters of Rowan Berry Extracts. Molecules 2021, 26, 3786. [Google Scholar] [CrossRef]
- Saltelli, A.; Annoni, P.; Azzini, I.; Campolongo, F.; Ratto, M.; Tarantola, S. Variance based sensitivity analysis of model output. Design and estimator of the total sensitivity index. Comput. Phys. Commun. 2010, 181, 259–270. [Google Scholar] [CrossRef]
- Balasundram, N.; Sundram, K.; Samman, S. Phenolic compounds in plants and agri-industrial by-products: Antioxidant activity, occurrence, and potential uses. Food Chem. 2006, 99, 191–203. [Google Scholar] [CrossRef]
- Cosmulescu, S.; Trandafir, I.; Nour, V. Phenolic acids and flavonoids profiles of extracts from edible wild fruits and their antioxidant properties. Int. J. Food Prop. 2017, 20, 2124–3134. [Google Scholar] [CrossRef]
- Ozcan, M.; Haciseferoullari, H.; Marakoglu, T.; Arslan, D. Hawthorn (Crataegus spp.) fruit: Some physical and chemical properties. J. Food Eng. 2005, 69, 409–413. [Google Scholar] [CrossRef]
- Garcia-Mateos, R.; Ibarra-Estrada, E.; Nieto-Angel, R. Antioxidant compounds in hawthorn fruits (Crataegus spp.) of Mexico. Rev. Mex. Biodivers. 2013, 84, 1298–1304. [Google Scholar] [CrossRef]
- Cui, T.; Li, J.-Z.; Kayahara, K.; Ma, L.; Wu, L.-X.; Nakamura, K. Quantification of the Polyphenols and Triterpene Acids in Chinese Hawthorn Fruit by High-Performance Liquid Chromatography. J. Agric. Food. Chem. 2006, 54, 4574–4581. [Google Scholar] [CrossRef] [PubMed]
- Lou, X.; Xu, H.; Hanna, M.; Yuan, L. Identification and quantification of free, esterified, glycosylated and insoluble-bound phenolic compounds in hawthorn berry fruit (Crataegus pinnatifida) and antioxidant activity evaluation. LWT Food Sci. Technol. 2020, 130, 109643. [Google Scholar] [CrossRef]
- Ozturk, F.S.; Gokbulut, I.I. Evaluation of physicochemical characteristics, antioxidant activity and phenolic profile of Crataegus species in Malatya, Turkey. Emir. J. Food Agric. 2023, 35, 78–85. [Google Scholar] [CrossRef]
- Alirezalu, A.; Ahmadi, N.; Salehi, P.; Sonboli, A.; Alirezalu, K.; Mousavi Khaneghah, A.; Barba, F.J.; Munekata, P.E.S.; Lorenzo, J.M. Physicochemical Characterization, Antioxidant Activity, and Phenolic Compounds of Hawthorn (Crataegus spp.) Fruits Species for Potential Use in Food Applications. Foods 2020, 9, 436. [Google Scholar] [CrossRef]
- Al-Yafeai, A.; Bohm, A. In vitro bioaccessibility of carotenoids and vitamin E in rosehip products and tomato paste as affected by pectin contents and food processing. J. Agric. Food Chem. 2018, 66, 3801–3809. [Google Scholar] [CrossRef]
- Mapelli-Brahm, P.; Corte-Real, J.; Melendez-Martinez, A.J.; Bohn, T. Bioaccessibility of phytoene and phytofluene is superior to other carotenoids from selected fruit and vegetable juices. Food Chem. 2017, 229, 304–311. [Google Scholar] [CrossRef]
- Ghendov-Moșanu, A.; Cristea, E.; Patras, A.; Sturza, R.; Niculaua, M. Rose Hips, a Valuable Source of Antioxidants to Improve Gingerbread Characteristics. Molecules 2020, 25, 5659. [Google Scholar] [CrossRef]
- Xu, H.; Liu, X.; Yan, Q.; Yuan, F.; Gao, Y. A novel copigment of quercetagetin for stabilization of grape skin anthocyanins. Food Chem. 2015, 166, 50–55. [Google Scholar] [CrossRef]
- Cristea, E. The influence of temperature and time on the antioxidant activity and color parameters of dog-rose (Rosa Canina) ethanolic extract. Sci. Study Res. Chem. Chem. Eng. Biotechnol. Food Ind. 2016, 17, 189–197. [Google Scholar]
- Boon, C.; McClements, D.; Weiss, J.; Decker, E. Factors Influencing the Chemical Stability of Carotenoids in Foods. Crit. Rev. Food Sci. Nutr. 2010, 50, 515–532. [Google Scholar] [CrossRef] [PubMed]
- Guo, H.; Huang, Y.; Qian, J.-Q.; Gong, Q.-Y.; Tang, Y. Optimization of technological parameters for preparation of lycopene microcapsules. J. Food Sci. Technol. 2014, 51, 1318–1325. [Google Scholar] [CrossRef] [PubMed]
- Bell, T.; Alamzad, R.; Graf, B.A. Effect of pH on the chemical stability of carotenoids in juice. Proc. Nutr. Soc. 2016, 75, E94. [Google Scholar] [CrossRef]
- Glen, G.; Isaacs, K. Estimating Sobol sensitivity indices using correlations. Environ. Model. Softw. 2012, 37, 157–166. [Google Scholar] [CrossRef]
- Zhang, X.Y.; Trame, M.N.; Lesko, L.J.; Schmidt, S. Sobol Sensitivity Analysis: A Tool to Guide the Development and Evaluation of Systems Pharmacology Models. CPT Pharmacomet. Syst. Pharmacol. 2015, 4, 69–79. [Google Scholar] [CrossRef] [PubMed] [PubMed Central]
- Frey, H.C.; Patil, S.R. Identification and review of sensitivity analysis methods. Risk Anal. 2002, 22, 553–578. [Google Scholar] [CrossRef]
- Hamby, D.M. A review of techniques for parameter sensitivity analysis of environmental models. Environ. Monit. Assess. 1994, 32, 135–154. [Google Scholar] [CrossRef]





| Rt, min | Carotenoid | λmax, nm | 
|---|---|---|
| 8.512 | Mutatoxanthin | 400, 427,451 | 
| 10.077 | Lutein | 421, 445, 473 | 
| 34.829 | α-cryptoxanthin | 420, 445, 473 | 
| 37.774 | β-cryptoxanthin | 428, 451, 476 | 
| 70.451 | cis-β-carotene | 424, 446, 472 | 
| 75.595 | All-trans-β-carotene | 421, 452, 478 | 
| 99.325 | Lycopene | 448, 471, 503 | 
| Parameter | Quantity, mg/100 g DW | 
|---|---|
| Polyphenols | |
| Total polyphenols (Folin–Ciocalteu) GAE | 1146 ± 230 | 
| Total polyphenols (Abs280) GAE | 957 ± 71 | 
| Total flavonoids GAE | 625 ± 40 | 
| Cinnamic acids CAE | 388 ± 24 | 
| Flavonols QE | 488 ± 23 | 
| Epicatechin | 8.1 ± 3.3 | 
| Ferulic acid methyl ester | 6.7 ± 1.7 | 
| Catechin | 4.2 ± 1.1 | 
| Procyanidin B1 | 2.2 ± 0.3 | 
| Ferulic acid | 1.1 ± 0.2 | 
| Procyanidin B2 | 1.0 ± 0.2 | 
| Gallic acid | 0.9 ± 0.2 | 
| p-hydroxybenzoic acid | 0.9 ± 0.2 | 
| Vanillic acid | 0.5 ± 0.3 | 
| Protocatechuic acid | 0.4 ± 0.1 | 
| Syringic acid | 0.4 ± 0.1 | 
| p-coumaric acid | 0.3 ± 0.1 | 
| Sinapic acid | 0.2 ± 0.1 | 
| Caffeic acid | 0.2 ± 0.1 | 
| Hyperoside | Traces | 
| cis-resveratrol | Traces | 
| Quercetin | Traces | 
| m-hydroxybenzoic acid | Traces | 
| Carotenoids | |
| Total carotenoids | 42 ± 2 | 
| Mutatoxanthin | 0.062 ± 0.010 | 
| Lutein | 0.064 ± 0.012 | 
| α-cryptoxanthin | 0.045 ± 0.009 | 
| β-cryptoxanthin | 0.046 ± 0.010 | 
| cis-β-carotene | 0.028 ± 0.005 | 
| All-trans-β-carotene | 0.043 ± 0.008 | 
| Lycopene | 0.027 ± 0.006 | 
| Antioxidant capacity | |
| Antioxidant capacity (ABTS), mmol TE | 7.54 ± 1.45 | 
| Antioxidant capacity (DPPH), mmol TE | 2.025 ± 0.011 | 
| (a) | ||||||
| Temperature-Time Regime | L* | a* | b* | C* | H*, ° | ΔE* | 
| Fresh extract | 92.25 ± 0.93 ab | −1.27 ± 0.13 ab | 16.34 ± 0.33 abc | 16.39 ± 0.32 ab | 94.63 ± 0.00 a | − | 
| −2 °C, 12 h | 96.78 ± 0.30 b | −1.35 ± 0.02 a | 14.46 ± 0.12 a | 14.52 ± 0.12 a | 95.20 ± 0.00 a | 4.91 ± 0.67 a | 
| 4 °C, 24 h | 95.31 ± 0.84 ab | −1.28 ± 0.12 ab | 16.31 ± 0.28 abc | 16.36 ± 0.27 ab | 94.63 ± 0.57 a | 3.06 ± 0.10 a | 
| 40 °C, 15 min. | 96.81 ± 0.05 b | −1.39 ± 0.01 a | 14.72 ± 0.20 ab | 14.78 ± 0.20 a | 95.20 ± 0.00 a | 4.84 ± 0.90 a | 
| 60 °C, 15 min. | 96.89 ± 0.06 b | −1.41 ± 0.01 a | 15.06 ± 0.12 ab | 15.13 ± 0.11 a | 95.20 ± 0.00 a | 4.81 ± 0.90 a | 
| 80 °C, 15 min. | 94.32 ± 0.24 ab | −1.05 ± 0.03 ab | 16.55 ± 0.14 abcd | 16.58 ± 0.14 ab | 93.48 ± 0.00 ab | 2.09 ± 0.72 a | 
| 100 °C, 2 min. | 92.91 ± 3.01 a | −0.79 ± 0.50 b | 18.72 ± 2.38 cd | 18.74 ± 2.36 bc | 92.34 ± 1.72 b | 2.52 ± 2.94 a | 
| (b) | ||||||
| Temperature and Storage Time | L* | a* | b* | C* | H*, ° | ΔE* | 
| Fresh extract | 92.25 ± 0.93 a | −1.27 ± 0.13 a | 16.34 ± 0.33 a | 16.39 ± 0.32 ab | 94.63 ± 0.00 a | − | 
| −2 °C, 2 weeks | 96.62 ± 0.18 a | −1.38 ± 0.04 a | 15.23 ± 0.21 a | 15.29 ± 0.20 a | 95.20 ± 0.00 a | 17.10 ± 0.76 a | 
| 4 °C, 2 weeks | 96.50 ± 0.01 a | −1.50 ± 0.02 a | 17.10 ± 0.04 ab | 16.39 ± 0.32 ab | 95.20 ± 0.00 a | 17.10 ± 0.97 a | 
| 25–30 °C, 2 weeks | 95.07 ± 0.18 a | −1.05 ± 0.02 a | 18.89 ± 0.10 b | 18.92 ± 1.69 c | 92.91 ± 0.00 b | 20.76 ± 0.79 a | 
| Salt and Concentration | L* | a* | b* | C* | H*, ° | ΔE* | 
|---|---|---|---|---|---|---|
| Control | 95.25 ± 0.93 a | −1.27 ± 0.13 a | 16.33 ± 0.33 bc | 16.38 ± 0.32 bc | 94.63 ± 0.00 a | - | 
| NaCl, 0.001 M | 96.50 ± 0.05 a | −1.35 ± 0.01 a | 14.92 ± 0.08 a | 14.98 ± 0.08 a | 95.20 ± 0.00 a | 1.89 ± 0.92 a | 
| NaCl, 0.01 M | 96.49 ± 0.13 a | −1.34 ± 0.02 a | 14.97 ± 0.08 a | 15.03 ± 0.07 a | 95.20 ± 0.00 a | 1.84 ± 0.84 a | 
| NaCl, 0.1 M | 96.51 ± 0.12 a | −1.36 ± 0.02 a | 14.83 ± 0.04 a | 14.89 ± 0.04 a | 95.20 ± 0.00 a | 1.96 ± 0.87 a | 
| KNO3, 0.001 M | 95.35 ± 0.17 a | −1.30 ± 0.01 a | 17.39 ± 0.10 c | 17.44 ± 0.10 c | 90.62 ± 0.00 c | 1.30 ± 0.60 a | 
| KNO3, 0.01 M | 95.40 ± 0.28 a | −1.32 ± 0.06 a | 17.42 ± 0.14 c | 17.47 ± 0.14 c | 94.06 ± 0.00 b | 1.87 ± 0.67 a | 
| KNO3, 0.1 M | 94.95 ± 0.37 a | −1.35 ± 0.16 a | 17.55 ± 0.01 c | 17.60 ± 0.01 c | 94.06 ± 0.00 b | 2.12 ± 0.11 a | 
| CaCl2, 0.001 M | 95.91 ± 0.81 a | −1.30 ± 0.11 a | 15.21 ± 0.92 b | 15.27 ± 0.93 ab | 94.63 ± 0.00 a | 1.07 ± 0.80 a | 
| CaCl2, 0.01 M | 94.96 ± 1.52 a | −1.28 ± 0.23 a | 14.48 ± 0.64 a | 14.53 ± 0.62 a | 95.20 ± 1.15 a | 1.10 ± 0.68 a | 
| CaCl2, 0.1 M | 96.26 ± 1.04 a | −1.35 ± 0.16 a | 14.47 ± 0.33 a | 14.54 ± 0.32 a | 95.20 ± 0.00 a | 1.26 ± 0.65 a | 
| CIELab Parameters | L* | a* | b* | C* | H*, ° | ΔE* | 
|---|---|---|---|---|---|---|
| Control for 2.3 | 98.4 ± 0.0 a | −0.6 ± 0.0 a | 5.6 ± 0.1 a | 5.6 ± 0.1 a | 90.10 ± 0.00 a | 1.38 ± 0.54 a | 
| pH = 2.3 | 97.4 ± 0.2 a | −0.3 ± 0.0 b | 6.5 ± 0.6 a | 6.5 ± 0.6 a | 92.34 ± 0.00 b | |
| Control for 3.9 | 99.1 ± 0.0 a | −0.6 ± 0.0 a | 4.7 ± 0.0 a | 4.8 ± 0.0 a | 97.49 ± 0.00 a | 1.36 ± 0.10 a | 
| pH = 3.9 | 98.0 ± 0.2 a | −0.5 ± 0.0 b | 5.5 ± 0.2 a | 5.5 ± 0.2 a | 95.20 ± 0.00 b | |
| Control for 5.9 | 96.9 ± 0.1 a | −1.3 ± 0.0 a | 12.5 ± 0.2 a | 12.6 ± 0.2 a | 95.78 ± 0.00 a | 2.70 ± 0.10 b | 
| pH = 5.9 | 95.6 ± 0.1 a | 0.8 ± 0.0 b | 13.6 ± 0.1 a | 13.6 ± 0.1 a | 93.48 ± 0.00 b | |
| Control for 7.6 | 96.9 ± 0.1 a | −1.3 ± 0.0 a | 12.5 ± 0.2 a | 12.6 ± 0.2 a | 95.78 ± 0.00 a | 12.16 ± 1.80 c | 
| pH = 7.6 | 93.3 ± 1.8 b | 1.4 ± 0.3 b | 23.8 ± 0.7 b | 23.8 ± 0.7 b | 93.48 ± 0.00 b | |
| Control for 8.1 | 97.7 ± 0.0 a | −0.9 ± 0.0 a | 8.4 ± 0.0 a | 8.4 ± 0.0 a | 96.35 ± 0.00 a | 16.01 ± 0.93 d | 
| pH = 8.1 | 93.8 ± 0.7 b | 1.1 ± 0.1 b | 23.8 ± 0.6 b | 23.8 ± 0.6 b | 92.91 ± 0.00 b | 
| Disclaimer/Publisher’s Note: The statements, opinions and data contained in all publications are solely those of the individual author(s) and contributor(s) and not of MDPI and/or the editor(s). MDPI and/or the editor(s) disclaim responsibility for any injury to people or property resulting from any ideas, methods, instructions or products referred to in the content. | 
© 2024 by the authors. Licensee MDPI, Basel, Switzerland. This article is an open access article distributed under the terms and conditions of the Creative Commons Attribution (CC BY) license (https://creativecommons.org/licenses/by/4.0/).
Share and Cite
Cristea, E.; Ghendov-Mosanu, A.; Pintea, A.; Sturza, R.; Patras, A. Color Stability and Antioxidant Capacity of Crataegus monogyna Jacq. Berry Extract Influenced by Different Conditions. Horticulturae 2024, 10, 1184. https://doi.org/10.3390/horticulturae10111184
Cristea E, Ghendov-Mosanu A, Pintea A, Sturza R, Patras A. Color Stability and Antioxidant Capacity of Crataegus monogyna Jacq. Berry Extract Influenced by Different Conditions. Horticulturae. 2024; 10(11):1184. https://doi.org/10.3390/horticulturae10111184
Chicago/Turabian StyleCristea, Elena, Aliona Ghendov-Mosanu, Adela Pintea, Rodica Sturza, and Antoanela Patras. 2024. "Color Stability and Antioxidant Capacity of Crataegus monogyna Jacq. Berry Extract Influenced by Different Conditions" Horticulturae 10, no. 11: 1184. https://doi.org/10.3390/horticulturae10111184
APA StyleCristea, E., Ghendov-Mosanu, A., Pintea, A., Sturza, R., & Patras, A. (2024). Color Stability and Antioxidant Capacity of Crataegus monogyna Jacq. Berry Extract Influenced by Different Conditions. Horticulturae, 10(11), 1184. https://doi.org/10.3390/horticulturae10111184
 
        



 
       