Next Article in Journal
Foliar Methyl Jasmonate Application Activates Antioxidant Mechanisms to Counteract Water Deficits and Aluminum Stress in Vaccinium corymbosum L.
Previous Article in Journal
Genome-Wide Characterization of Class III Peroxidases and Their Expression Profile During Mycorrhizal Symbiosis and Phosphorus Deprivation in Lettuce (Lactuca sativa L.)
 
 
Font Type:
Arial Georgia Verdana
Font Size:
Aa Aa Aa
Line Spacing:
Column Width:
Background:
Article

Nutritional Quality, Functional Properties, and Biological Characterization of Watermeal (Wolffia globosa)

by
Parinya Boonarsa
1,
Apichaya Bunyatratchata
1,2,
Theeraphan Chumroenphat
3,
Pornpisanu Thammapat
4,
Tipaukson Chaikwang
1,
Tarathep Siripan
1,
Hua Li
5 and
Sirithon Siriamornpun
1,2,*
1
Department of Food Technology and Nutrition, Faculty of Technology, Mahasarakham University, Kantarawichai, Maha Sarakham 44150, Thailand
2
Research Unit of Thai Food Innovation (TFI), Mahasarakham University, Kantarawichai, Maha Sarakham 44150, Thailand
3
Cosmetic Science and Spa Program, Faculty of Thai Traditional and Alternative Medicine, Ubon Ratchathani Rajabhat University, Ubon Ratchathani 34000, Thailand
4
Food Technology Program, Faculty of Agricultural Technology, Rajabhat Mahasarakham University, Maha Sarakham 44000, Thailand
5
Department of Cuisine and Nutrition, Yangzhou University, Yangzhou 225127, China
*
Author to whom correspondence should be addressed.
Horticulturae 2024, 10(11), 1171; https://doi.org/10.3390/horticulturae10111171
Submission received: 27 September 2024 / Revised: 31 October 2024 / Accepted: 1 November 2024 / Published: 5 November 2024
(This article belongs to the Section Processed Horticultural Products)

Abstract

Watermeal (Wolffia globosa) has emerged as a promising candidate as an alternative protein source due to its outstanding nutritional profile. This study evaluated the nutritional quality, functional properties, and biological characteristics of W. globosa. The protein content was found to be high at 26.76 g/100 g of dry weight (DW). Functional properties, including water and oil holding capacities, protein solubility, foaming, and emulsifying abilities across different pH levels, were assessed to determine optimal conditions. Amino acid profiling revealed that essential amino acids constitute 67% of the total amino acids. Polyunsaturated fatty acids (PUFAs), particularly α-linolenic (18:3 n-3) and linoleic acids (18:2 n-6), were identified as the predominant fatty acids. Additionally, watermeal was found to contain significant amounts of α-tocopherol (699 µg/g) and γ-oryzanol (100 µg/g), which contribute to its antioxidant capacity, as confirmed by DPPH and FRAP assays. The prominent protein bands were observed at around 62–67 kDa, likely representing a structural, metabolic protein (vicilin-like protein) of 38% of the total protein content. Overall, W. globosa demonstrates significant potential as a functional food ingredient, offering a rich nutrient profile and health-promoting properties, making it a promising choice for future diets.

1. Introduction

As the global population continues to grow, the demand for sustainable food sources is increasing, highlighting the need to explore alternatives to traditional foods [1]. High-protein foods, in particular, are becoming increasingly popular among consumers [2]. With urban expansion and an aging population, the world population is projected to increase by over a third, or 2.3 billion people, from 2009 to 2050, presenting a significant challenge for food security [3,4]. This challenge is likely to drive a push for protein-rich alternatives in the food market. However, the rising global production of food protein, especially high-quality animal protein, raises concerns about environmental sustainability. Producing 1 kg of high-quality animal protein requires approximately 6 kg of plant protein for livestock, which places pressure on land and water resources and contributes to increased greenhouse gas emissions [2,5,6]. Plant-based alternatives are more sustainable than animal products regarding greenhouse gas emissions, water use, and land use [7]. Incorporating plant protein into diets can ensure a sufficient supply of high-quality protein for the global population while minimizing environmental impacts. The nutritional value and health benefits of plant protein underscores its importance in the diet.
Wolffia globosa (Roxb.) Hartog and Plas, commonly known as watermeal or duckweed, known in Thai as phum, khai-phum, or khai-nam, belongs to the Lemnaceae family, which includes five genera: Landoltia, Lemna, Spirodela, Wolffia, and Wolffiella, each with varying plant forms and habitats [8]. Watermeal is a small, free-floating, aquatic plant (less than 5 mm long) with a flat oval shape, and lacks true leaves and stems [8,9]. Moreover, its high content of protein, dietary fiber, carbohydrates, and phytochemicals makes it a nutrient-rich “superfood”. The crude protein content of watermeal varies among species; for instance, Lemna sp. contains 16.0 g/100 g of dry weight (DW), Landoltia sp. ranges from 20.0 to 28.7 g/100 g DW, W. arrhiza has 19.8 g/100 g DW, and W. arrhiza 7678a contains 50.9 g/100 g DW [8,10,11]. The high protein content of watermeal makes it an excellent candidate for developing functional food products. As a result, Thailand is increasingly promoting its cultivation. A few studies have reported on its active ingredients and antioxidant properties. However, research on the nutritional value and functional properties of watermeal is still limited. Further studies on these aspects are needed to provide valuable insights for product development and enhance the potential for incorporating watermeal into the diet.
Therefore, we aim to investigate the nutritional value, functional properties, and bioactive activities of watermeal, including proximate analysis, amino acid profiling, fatty acid composition, tocopherol, oryzanol and the evaluation of its functional properties to provide foundational information for food product development and to enhance the potential for future applications.

2. Materials and Methods

2.1. Materials and Chemicals

The fresh watermeal (W. globosa) was collected from a farm located in Nakhon Ratchasima Province, Thailand. It is spherical with a smooth, green surface and a diameter of approximately 1 mm (Figure 1). The fresh sample was washed, steamed, freeze-dried, and ground into powder. The powders were stored at −20 °C until they were analyzed. All chemicals were purchased from Sigma-Aldrich Co. (St. Louis, MO, USA).

2.2. Proximate Composition Analysis

The contents of ash, lipid, protein, and fiber were measured according to the AOAC methods [12], 900.02, 920.176, 920.177 and 985.29, respectively. The calculation of total carbohydrate content was performed by subtracting the ash, lipid, protein, and fiber contents from 100. The results were expressed as g/100 g of dried weight (DW).

2.3. Water-Holding Capacity (WHC)

The WHC was assessed using the method described by Zielińska et al. [13]. A 0.5 g watermeal sample was mixed with 20 mL of DI water and shaken at 500 rpm for 30 min at room temperature. The dispersion was then centrifuged at 4000 rpm for 10 min. The WHC was calculated by weighing the precipitate and the results were expressed as grams of water absorbed per gram of sample (g/g).

2.4. Oil-Holding Capacity (OHC)

The OHC was calculated using Zielińska et al. technique [13]. Briefly, a 0.5 g sample of watermeal was mixed with 20 mL of rice bran oil and stirred at 500 rpm for 30 min at room temperature. The dispersion was then centrifuged at 4000 rpm for 10 min. The oil-holding capacity was determined by weighing the precipitate with the results expressed as grams of oil absorbed per gram of sample (g/g).

2.5. Determination of Protein Solubility as a Function of pH

Protein solubility was determined according to a published method [13], with some modification. The sample was dispersed in DI water (2% w/v) and the pH was adjusted to a range of 2 to 11 using 0.1 M or 1 M HCl and NaOH. The dispersion was shaken for 1 h at 25 °C. After centrifugation at 4000 rpm for 20 min, the supernatants were collected and the protein content was determined using the Bradford method [14]. Absorbance was measured at 595 nm using a microplate reader (Varioskan Lux, Thermo Fisher Scientific, Waltham, MA, USA). Protein solubility was calculated based on the percentage of soluble protein in the sample.

2.6. Determination of Foaming Properties as a Function of pH

A modified version of the Mishyna et al. method [15] was used to determine the foaming capacity of the watermeal sample as a function of pH. Briefly, a 1% (w/v) sample solution was prepared using DI water and the pH was adjusted to a range of 2 to 11 using 0.1 M or 1 M HCl and NaOH. The samples were then homogenized for 2 min at 15,000 rpm using a homogenizer (AM-8 nissei Ace HOMOGENIZER, Tokyo, Japan). Foam capacity was calculated as a percentage difference between initial volume and foam volume. Foam stability was assessed by recording the volume of the foam’s solution at 10, 30, and 60 min at room temperature.

2.7. Determination of Emulsifying Properties as a Function of pH

The method of Pearce and Kinsella [16] was slightly modified to determine the emulsifying capacity of watermeal sample as a function of pH. Briefly, a 1% (w/v) sample solution was prepared using 0.2 M phosphate buffer (pH 7). The pH was then adjusted to a range of values between 2 and 11 using 0.1 or 1 M HCl and NaOH. Following pH adjustment, 2 mL of rice bran oil was added to each sample. The samples were then homogenized for 2 min at 15,000 rpm using a homogenizer (AM-8 nissei Ace HOMOGENIZER, Tokyo, Japan). The emulsifying capacity was calculated using the following formula.
Emulsifying capacity (%) = (Hf/Hi) × 100
where Hi represents the initial volume of the solution in the cylinder prior to homogenization and Hf the final volume of the emulsified layer.
To evaluate the stability of the emulsion, 10 mL of a 0.3% sodium dodecyl sulfate (SDS) solution was combined with 50 µL of the sample using an inversion method. After combining for 0 min, the absorbance of the combined solution was measured at 500 nm. This was carried out again after 10, 30, and 60 min. The technique outlined by Hall et al. [17] was used to calculate the change in absorbance at each time point.

2.8. Determination of Amino Acid Composition

The amino acid analysis conditions followed the method described by Chumroenphat et al. [18], using liquid chromatography-mass spectrometry (LCMS-8030, Shimadzu, Kyoto, Japan) with a C-18 column for amino acid separation, with a flowrate of 0.2 mL/min and a column temperature of 40 °C. The calculation of the essential amino acid index (EAAI) was performed using the method described by Yi et al. [19].

2.9. Determination of Fatty Acid Composition

Fatty acid methyl esters (FAMEs) were analyzed using a GC system (GC-2014, Shimadzu, Tokyo, Japan) with flame ionization detection and a fused silica capillary column (DB-Wax, USA; 30 m × 0.25 mm, 25 m film thickness) for quantitative analysis in order to determine the fatty acid composition. The temperature programming varied from 150 °C to 230 °C, and the carrier gas was nitrogen. By contrasting their retention duration with that of the internal reference fatty acid heptadecanoic acid (C17:0), the emerging peaks were located [20]. The analysis followed the conditions specified by Yang et al. [21]. The fatty acid composition was calculated using the formula.
Fatty   acid   composition = area   under   each   peak   total   area   of   all   fatty   acids   in   the   chromatogram × 100
The atherogenicity index (AI) and thrombogenicity index (TI) were calculated according to Ulbricht and Southgate [22] using the following formula.
AI = C 12 : 0 + 4 × C 14 : 0 + C 16 : 0 Σ M U F A + Σ P U F A n 6 + Σ P U F A n 3
TI = C 12 : 0 + 4 × C 14 : 0 + C 18 : 0 Σ M U F A + 0.5 Σ P U F A n 6 + 3 Σ P U F A n 3 + Σ P U F A n 3 Σ P U F A n 6

2.10. Determination of Tocopherols and γ-Oryzanol

A modified version of the method by Chen and Bergman [23] was used to determine the α-, δ-, and γ-tocopherols and γ-oryzanol of watermeal samples. Briefly, one gram of the sample was mixed with acetone and water (1:10 v/v) using a vortex mixer, which was followed by centrifugation at 2500× g for 20 min. After that, two more extractions were conducted on the residue utilizing the identical process. Under a nitrogen gas stream, the combined supernatants were evaporated until they were completely dry. An RP-HPLC system with a photodiode-array detector (Shimadzu, Kyoto, Japan) was used to assess the amounts of γ-Oryzanol and tocopherol. The mobile phase consisted of acetonitrile/methanol, and the detection wavelengths for γ-oryzanol and tocopherols were set at 325 nm and 292 nm, respectively.

2.11. Determination of TPC, TFC, and Antioxidant Activity

2.11.1. Preparation of Sample Extraction

A slightly modified method by Jelled et al. [24] was used for sample extraction. Briefly, a 1.0 g sample was extracted in 10 mL of 80% methanol for 12 h at 37 °C using an incubator shaker at 150 rpm. Following filtering through Whatman No. 1 filter paper, the mixture was collected and the filtrate separated. The leftover pellet was re-extracted using the identical parameters. The total flavonoid and phenolic content and the antioxidant activity were then examined using the mixed filtrates.

2.11.2. Total Phenolic Contents (TPC)

TPC was calculated using Thammapat et al. methodology [25]. In summary, 2.25 mL of 10% Folin–Ciocalteu reagent was combined with 0.3 mL of the extract, and the mixture was allowed to react for 5 min at room temperature. An amount of 2.25 mL of a 6% Na2CO3 solution was then added, and the combination was allowed to stand at room temperature for 90 min. Next, employing a UV–vis spectrophotometer (UV 1700, Shimadzu, Tokyo, Japan), the absorbance was determined at 725 nm. Gallic acid equivalents in milligrams per gram of dried sample (mg GAE/g DW) were used to express the results.

2.11.3. Total Flavonoid Contents (TFC)

The colorimetric technique outlined by Wanyo et al. [26] was used to calculate the TFC. In a 10 mL graduated test tube, 500 µL of the extract was combined with 2.25 mL of purified water, and then 150 µL of a 5% NaNO2 solution was added. An amount of 300 µL of a 10% AlCl3·6H2O solution was added, and the combination was left to react for an additional 5 min after standing for 6 min. Subsequently, 1.0 mL of 1 M NaOH was added, and the mixture was vortexed thoroughly before being measured immediately at 510 nm. The results were reported as milligrams of quercetin equivalents per gram of dried weight (mg QE/g DW).

2.11.4. DPPH Free Radical Scavenging Assay

With a minor adjustment, the extracts DPPH scavenging activity was assessed using the methodology outlined by Butsat and Siriamornpun [27]. Briefly, 0.1 mL of the sample extract was mixed with 1.9 mL of 0.1 mM DPPH in ethanol. The mixture was vortexed for 1 min, allowed to stand in the dark at room temperature for 30 min. Absorbance was then measured at 517 nm and the results were expressed as milligrams of vitamin C per gram of dried weight (mg vitamin C/g DW).

2.11.5. Ferric Reducing Antioxidant Power (FRAP) Assay

Based on the FRAP assay by Siriamornpun et al. [28]. In brief, 0.06 mL of the extract, 0.18 mL of deionized water, and 1.8 mL of FRAP reagent were combined. Freshly made 0.3 M acetate buffer (pH 3.6), 10 mM TPTZ in 40 mM HCl, 20 mM FeCl3·6H2O, and filtered water were combined in a 10:1:1:12 ratio at 37 °C to generate the FRAP reagent. After shaking the mixture and incubating it in a water bath for 4 min at 37 °C, the absorbance at 593 nm was determined. The FRAP values were reported as mmol FeSO4 per gram of dried weight (mmol FeSO4/g DW).

2.12. Protein Molecular Weight

2.12.1. Protein Extraction Procedure

The samples were extracted using the method by Kim et al. [29]. In summary, 10 mL of 0.02% ascorbic acid was used to homogenize 1 g of the sample powder, and the mixture was then filtered through medical gauze. For 30 min, the filtrate was centrifuged at 10,000× g. The JESS Simple Western analysis was performed using the obtained supernatant.

2.12.2. Determination of Protein Molecular Weight

Protein molecular weight analysis was conducted using the Jess Simple Western system (Protein Simple, San Jose, CA, USA), which involves a capillary-based Western technique. In preparation, cell lysates were diluted with sample buffer to achieve a concentration of 1 mg/mL. The sample was then mixed with a master mix containing 40 mM dithiothreitol (DTT), a reducing agent, along with 1× sample buffer and 1× fluorescence standard. The mixture was subsequently heated to 95 °C for five min to denature the proteins by breaking disulfide bonds and separating them into their individual polypeptides. Therefore, the molecular weights reported reflect the polypeptide chains rather than the native protein complexes.
For the analysis, 3 μL of the protein extract was loaded into each assay plate well along with primary antibodies (anti-JAK2 and anti-STAT5, diluted 1:20) and anti-mouse secondary antibodies conjugated with horseradish peroxidase (HRP). A chemiluminescent substrate and a protein normalization solution were also included. Biotinylated molecular weight standards (ranging from 12 to 230 kDa) were loaded in each experiment to provide molecular weight references. Electrophoresis, protein separation, and detection were fully automated by the Jess system, which precisely manages capillaries and plate loading. The molecular weights of the individual polypeptides were analyzed and confirmed using Compass for SW software version 6.3.0 (Protein Simple, San Jose, CA, USA).

2.13. Statistical Analysis

All experiments were performed in triplicate, and the results are presented as means ± standard deviation (n = 3). Statistical analysis was conducted using SPSS version 17 and Origin 2022 software (9.95), employing one-way analysis of variance (ANOVA) and Duncan’s multiple range test (p ≤ 0.05).

3. Result and Discussion

3.1. Chemical Composition of Watermeal

The chemical composition of watermeal is presented in Table 1. Moisture content was over 90 g/100 g of fresh weight (FW), which is consistent with other watermeal species [10]. Watermeal is rich in protein (26.76 g/100 g DW), with its content being significantly higher than that in common crops such as wheat (13.0 g/100 g DW) [30], corn grain (13.6 g/100 g DW), brown rice (11.0 g/100 g DW), and pea (24.0 g/100 g DW) [31,32,33], but lower than soybean (39.8 g/100 g DW) [34], duckweed species (W. arrhiza) 50.9 g/100 g DW [10], and whey (80.0 g/100 g DW) [35]. The carbohydrate content is the highest, at 45.74 g/100 g DW, providing a good energy source, while its substantial fiber content of 16.76 g/100 g DW offers additional health benefits, particularly for digestive health [36]. With a relatively low lipid content of 0.49 g/100 g DW, watermeal is a low-fat food, which could be advantageous for those on calorie-restricted diets. The ash content, at 7.68 g/100 g DW, indicates a good mineral profile, contributing to its overall nutritional value. These characteristics make watermeal a promising ingredient for various food applications, offering a balanced combination of essential nutrients.

3.2. Protein Functional Properties of Watermeal

3.2.1. Water- and Oil-Holding Capacity

Changes in the functional properties of proteins often correlate with modifications in surface charge, surface hydrophobicity, and the distribution of molecular weight of the protein [37,38]. The water- and oil-holding capacity of watermeal is shown in Table 1. Watermeal has a high water-holding capacity (WHC) of 25.46 g/g and a high oil-holding capacity (OHC) of 22.87 g/g. The WHC of watermeal is approximately 10 times greater than that of other alternative protein sources, such as mealworms, crickets, and locusts [13]. Similarly, the OHC of watermeal is higher than that of insects. This is important information for its use in the food industry. Both WHC and OHC are influenced by factors such as the protein, fiber, and carbohydrate content of the food, as well as the processing conditions and ingredient interactions. Understanding and optimizing these capacities can help improve the quality and shelf life of food products.

3.2.2. Protein Solubility

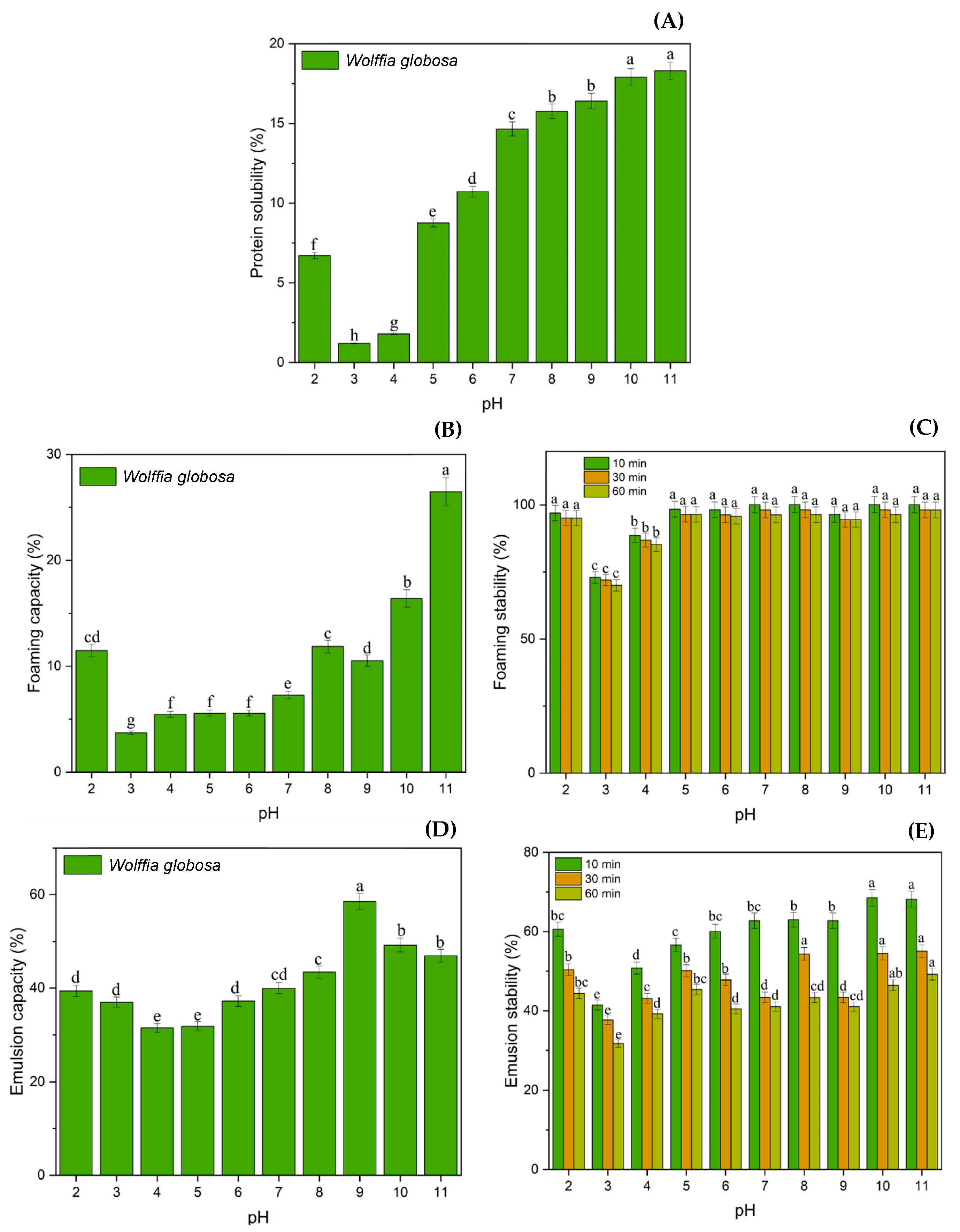
The solubility of proteins is widely regarded as the most critical techno-functional characteristic because it fundamentally influences other functional properties such as emulsification, foaming, and gelation [38]. The change in protein solubility of watermeal across a pH range of 2 to 11 is illustrated in Figure 2A. The observed pattern suggests that watermeal protein demonstrates a preference for solubility in alkaline conditions (pH 10–11), while exhibiting the lowest solubility (or highest precipitation) between pH 3 and 4. These results suggest that watermeal has an isoelectric point (pI) around pH 3–4. Studying the solubility properties of watermeal can provide valuable insights into its functional characteristics.

3.2.3. Foaming Properties

The foaming properties of proteins depend on their ability to form flexible, elastic, cohesive interfacial film which is capable of entrapping and retaining air [39]. The change in foaming capacity (FC) and foaming stability (FS) of watermeal is shown in Figure 2B,C. The difference in pH significantly affected the FC of watermeal, with a pH of 11 showing the highest foaming capacity (26.47%) and the lowest being at pH 3 (3.70%). Watermeal had a decreased amount of foam stability after 60 min, indicating that even at alkaline pH, there was a high foam formation value. But after 60 min had passed, there was a significant decrease in foam values. This may be a result of the stability within the protein molecule, which affects the ability to foam and the stability of the foam in watermeal.

3.2.4. Emulsifying Properties

The variations in emulsion activities and emulsion stabilities are associated with the amphiphilicity of the protein surface, protein content (both soluble and insoluble), and other components [38]. The change in emulsion capacity (EC) and emulsion stability (ES) at different pH levels of watermeal are shown in Figure 2D,E. The EC of watermeal is significantly influenced by pH, with the highest emulsifying ability observed at pH 9 (58.54%) and the lowest at pH 4 (31.14%). The ES of watermeal is highly stable at pH 10–11 even after 60 min and shows the lowest stability at pH 3. This corresponds to the solubility properties of proteins (Figure 2A), which dissolve well in alkaline conditions and precipitate at the isoelectric point. Watermeal has a higher protein composition, better solubility, and greater protein hydrophobicity, which could account for its differences in emulsion formation capabilities. Proteins with high hydrophobicity tend to adsorb more readily at the oil–water interface, reducing interfacial tension and aiding in the break-up of droplets [15,40].

3.3. Amino Acid Composition of Watermeal

Amino acid composition can serve as a nutritional index for evaluating protein sources. To assess the quality of protein from these plants in relation to the human diet, it is essential to analyze their amino acid content [40,41]. The amino acid composition of watermeal, in comparison to that of whey protein, soybean and pea [42,43], is presented in Table 2. The amino acid composition of watermeal reveals a moderate total amino acid content of 27.83 g/100 g of dry weight (DW), with essential amino acids (EAAs) comprising 66.61% of the total. Arginine and phenylalanine are the most abundant EAAs in watermeal, with concentrations of 5.33 g/100 g DW and 3.39 g/100 g DW, respectively, surpassing their levels in whey protein but lower than in pea protein. However, watermeal has lower levels of other critical EAAs such as leucine and lysine, and does not meet the WHO/FAO/UNU recommended levels for several EAAs, indicating it may not fully satisfy the essential amino acid requirements for adults on its own. Non-essential amino acids (NEAAs) are present in smaller amounts, with aspartic acid and tyrosine being the most prominent. The Essential Amino Acid Index (EAAI) of watermeal is 0.43, significantly lower than that of whey, soybean, and pea, suggesting that while watermeal is a valuable source of certain amino acids, it may not provide a complete amino acid profile for human nutrition and might need to be combined with other protein sources to ensure a balanced intake.

3.4. Fatty Acid Composition of Watermeal

The fatty acid composition of watermeal is shown in Table 3. The fatty acid composition reveals a balanced profile of saturated and unsaturated fatty acids, with a significant predominance of polyunsaturated fatty acids (PUFAs). Among the identified fatty acids, α-linolenic acid (C18:3) was the most abundant at 33.63 g/100 g, followed by linoleic acid (C18:2) at 26.08 g/100 g, indicating that watermeal is a rich source of essential omega-3 and omega-6 fatty acids. Palmitic acid (C16:0) was the most prevalent saturated fatty acid at 24.54 g/100 g, while palmitoleic acid (C16:1) and oleic acid (C18:1) were the dominant monounsaturated fatty acids, accounting for 5.52 g/100 g and 4.32 g/100 g, respectively. The total saturated fatty acids (SFAs) constituted 28.49 g/100 g of the fatty acid profile, whereas the unsaturated fatty acids (USFAs) made up 69.82 g/100 g, with monounsaturated fatty acids (MUFAs) at 9.98 g/100 g and PUFAs at 59.84 g/100 g. This composition underscores the nutritional value of watermeal, particularly in terms of its high content of PUFAs, which are crucial for maintaining cardiovascular health and reducing inflammation [45]. The presence of a small percentage (1.70 g/100 g) of unidentified fatty acids suggests the need for further investigation to fully characterize the lipid profile of this aquatic plant.
The assessment of the atherogenicity index (AI) and thrombogenicity index (TI) provides valuable insights into the potential health impacts of individual fatty acids, particularly in relation to the risk of atherosclerosis, blood clot formation, atheroma development, and thrombus formation [49]. As shown in Table 3, watermeal demonstrates AI and TI values within the typical range (AI = 0.05–16.29; TI = 0.04–6.69) [50] observed in plants, as reported by [49]. These values are comparable to those found in tuna (AI = 1.52, TI = 0.23) and significantly lower than other food sources, such as whey (AI = 33.6, TI = 4.1) [42]. This suggests that watermeal is a safe food source for human health.

3.5. α-,δ-, and γ-Tocopherols and γ-Oryzanol of Watermeal

Tocopherols and γ-oryzanol are phytochemicals with antioxidant activities and potential health benefits [23]. This research examined the tocopherols and γ-oryzanol content in watermeal, as detailed in Table 4. The findings reveal that watermeal contains a high level of tocopherols, with α-tocopherol being the most abundant, followed by δ- and γ-tocopherol. The α-tocopherol content in watermeal is higher than other plants such as brown rice [32], and is 30-700 times greater than rice from northeastern Thailand and brown rice during germination [51,52]. In addition, the content of α -tocopherol is up to 46 times higher than that found in rice (O. sativa L.) [25]. Similarly, watermeal also contains a high amount of γ-oryzanol, which exceeds that found in rice from northeastern Thailand [52]. γ-Oryzanol is an antioxidant compound, associated with decreasing plasma cholesterol, lowering serum cholesterol, decreasing cholesterol absorption, and decreasing platelet aggregation [53]. These results indicate that watermeal contains a significant source of antioxidants such as tocopherols and oryzanol, making it an important nutritional resource with potential health benefits.

3.6. Bioactive Compounds and Antioxidant Activity of Watermeal

Bioactive compounds are substances that exert biological activity directly influencing living organisms. The effects of bioactive compounds can be either positive or negative depending on the compound, dosage, and their bioavailability [63]. In this study, we examined the TPC and TFC of watermeal extracts (Table 4). Watermeal had a TPC content of 2.49 mg GAE/g DW and a TFC content of 4.89 mg GAE/g DW, which is approximately 3–10 times lower than that of W. arrhiza [10]. However, these levels were higher than those found in other plants such as rice bran and rice husk (TPC 0.9–2.39 mg GAE/g DW, TFC 0.32–3.88 mg RE/g DW) [26]. These results show that watermeal is an important source of bioactive compounds with potential antioxidant and anti-inflammatory properties [64].
The literature comparing the bioactive compounds and biological activities of watermeal with other protein sources, such as whey protein, soybean, and pea, indicates that watermeal contains higher levels of α- and δ-tocopherol than soybean and pea, but lower levels of γ-tocopherol. Furthermore, the TPC, TFC, FRAP of watermeal are superior to those of whey and soybean. However, watermeal exhibits lower DPPH radical scavenging activity compared to both soybean and pea (Table 4). It should be noted that these comparisons are based on the available data from the literature; further studies, preferably conducted under the same experimental conditions, would provide more accurate and consistent comparisons.
Antioxidants are essential for human health, as they are able to inhibit or delay oxidation reactions, and thus prevent oxidative stress associated with diseases such as high blood pressure, neurodegenerative disorders, or cancer [65,66]. The free radical scavenging activities of watermeal measured by DPPH and FRAP assay are shown in Table 4. Watermeal exhibited lower DPPH activity compared to turmeric (1.45–9.19 mg TE/100 g DW) [18]. Interestingly, watermeal demonstrated a remarkably high FRAP activity (45.78 mmol FeSO4/g DW), which was approximately 1000–5000 times higher than rice bran and rice husk [26]. This result indicates that phenolic and flavonoid compounds contribute to its antioxidant activity. Additionally, certain amino acids in watermeal, such as tryptophan, methionine, histidine, lysine, cysteine, arginine, and tyrosine [11], also contribute to its antioxidant activity. These results suggest that watermeal is not only a source of amino acids but also possesses antioxidant properties.

3.7. Protein Molecular Weight of Watermeal

The molecular weight distribution of watermeal proteins, as shown in Figure 3, revealed distinct bands across the molecular weight spectrum. Protein molecular weights were estimated by comparing the band positions to the molecular weight markers (12–230 kDa). Specifically, approximately 80% of prominent protein bands were observed at around 62–67 kDa, 26 kDa, and 8 kDa, indicating the presence of major protein components within these molecular weight ranges. The intense band at 66 kDa suggests a highly abundant protein, likely representing a structural, metabolic (vicilin-like) protein or albumin protein [67,68]. Interestingly, the vicilin-like protein is the major globulin protein of watermeal, serving as a source of stored nitrogen and carbon, as well as amino acids [69]. Other noticeable bands at lower molecular weights, including around 26 kDa and 8 kDa, may correspond to enzymes or other functional proteins. The observed protein profiles align with the expected protein content of watermeal, known for its high nutritional value, particularly in amino acid composition. The presence of proteins in a broad range of molecular weights suggests a diverse array of proteins, which could potentially contribute to watermeal functional properties such as antioxidant activity and other bioactive effects. In summary, the molecular weight analysis confirms the complex protein composition of watermeal, revealing several key proteins of varying sizes. This diverse protein profile highlights the potential of watermeal as a valuable source of plant-based proteins for food applications.

4. Conclusions

This comprehensive study highlights watermeal as a highly nutritious and functional food source with significant potential to address global food sustainability challenges. Proximate analysis reveals that watermeal is rich in proteins and carbohydrates and contains beneficial PUFAs, making it an excellent candidate for health-conscious and protein-deficient diets. Its substantial fiber content further enhances its nutritional profile by supporting digestive health. The functional properties of watermeal proteins, such as excellent water- and oil-holding capacities, solubility, foaming, and emulsifying abilities across various pH levels, suggest versatility in food processing applications. These attributes enable the development of a wide range of food products with improved texture and stability. Amino acid profiling indicated a balanced composition with a significant proportion of essential amino acids, though supplementation may be necessary to fully meet WHO/FAO/UNU recommendations. Fatty acid analysis highlighted the predominance of beneficial PUFAs, particularly α-linolenic and linoleic acids, which are known to support cardiovascular health and reduce inflammation. Additionally, the presence of high levels of α-tocopherol and γ-oryzanol, along with considerable total phenolic and flavonoid contents, contributes to watermeal’s robust antioxidant capacity. These bioactive compounds not only enhance nutritional value but also offer potential health benefits, such as reducing oxidative stress and associated disease risks. Protein molecular weight distribution analyses confirmed a diverse and complex protein composition, likely contributing to the observed functional and bioactive properties.
Overall, this study establishes watermeal as a promising sustainable food ingredient with extensive nutritional and functional benefits. Future research should prioritize optimizing cultivation practices for increased yield and consistency, investigating advanced processing techniques to improve the bioavailability of key nutrients, and developing innovative food products that maximize the potential of watermeal. Additionally, exploring long-term health impacts through clinical studies and assessing its scalability and environmental impact in various production systems will be critical in positioning watermeal as a key contributor to global food security and nutrition.

Author Contributions

Conceptualization, S.S.; methodology, P.B., A.B., T.C. (Theeraphan Chumroenphat), P.T., T.C. (Tipaukson Chaikwang), T.S. and H.L.; formal analysis, P.B., A.B., T.C. (Theeraphan Chumroenphat), P.T., T.C. (Tipaukson Chaikwang), T.S. and H.L.; investigation, P.B., A.B., T.C. (Theeraphan Chumroenphat), P.T., T.C. (Tipaukson Chaikwang), T.S., H.L. and S.S.; resources, S.S.; data curation, P.B.; writing—original draft, P.B.; writing—review and editing, A.B., T.C. (Theeraphan Chumroenphat), P.T., T.C. (Tipaukson Chaikwang), T.S., H.L. and S.S.; visualization, P.B.; supervision, S.S.; project administration, S.S.; funding acquisition, S.S. All authors have read and agreed to the published version of the manuscript.

Funding

This research received the fund from Mahasarakham University.

Data Availability Statement

Additional data are available on request.

Acknowledgments

This research project was financially supported by Mahasarakham University. The authors thank the Laboratory Equipment Center of Mahasarakham University for their cooperation and scientific assistance. Also, thanks to Colin Wrigley, University of Queensland, Australia, for English proofreading.

Conflicts of Interest

The authors declare no conflicts of interest.

References

  1. Fanzo, J.; Rudie, C.; Sigman, I.; Grinspoon, S.; Benton, T.G.; Brown, M.E.; Covic, N.; Fitch, K.; Golden, C.D.; Grace, D.; et al. Sustainable Food Systems and Nutrition in the 21st Century: A Report from the 22nd Annual Harvard Nutrition Obesity Symposium. Am. J. Clin. Nutr. 2021, 115, 18–33. [Google Scholar] [CrossRef] [PubMed]
  2. Hertzler, S.R.; Lieblein-Boff, J.C.; Weiler, M.; Allgeier, C. Plant Proteins: Assessing Their Nutritional Quality and Effects on Health and Physical Function. Nutrients 2020, 12, 3704. [Google Scholar] [CrossRef] [PubMed]
  3. Ahmad, A.; Ashraf, S.S. Sustainable Food and Feed Sources from Microalgae: Food Security and the Circular Bioeconomy. Algal Res. 2023, 74, 103185. [Google Scholar] [CrossRef]
  4. FAO Global Agriculture Towards 2050; FAO: Rome, Italy, 2009.
  5. Henchion, M.; Hayes, M.; Mullen, A.; Fenelon, M.; Tiwari, B. Future Protein Supply and Demand: Strategies and Factors Influencing a Sustainable Equilibrium. Foods 2017, 6, 53. [Google Scholar] [CrossRef]
  6. Pimentel, D.; Pimentel, M. Sustainability of Meat-Based and Plant-Based Diets and the Environment. Am. J. Clin. Nutr. 2003, 78, 660S–663S. [Google Scholar] [CrossRef]
  7. Bryant, C.J. Plant-Based Animal Product Alternatives Are Healthier and More Environmentally Sustainable than Animal Products. Future Foods 2022, 6, 100174. [Google Scholar] [CrossRef]
  8. On-Nom, N.; Promdang, P.; Inthachat, W.; Kanoongon, P.; Sahasakul, Y.; Chupeerach, C.; Suttisansanee, U.; Temviriyanukul, P. Wolffia globosa-Based Nutritious Snack Formulation with High Protein and Dietary Fiber Contents. Foods 2023, 12, 2647. [Google Scholar] [CrossRef] [PubMed]
  9. Zhang, J.; Azizullah, A. Genetic Diversity and DNA Barcoding in the Duckweed Family. In The Duckweed Genomes; Cao, X.H., Fourounjian, P., Wang, W., Eds.; Compendium of Plant Genomes; Springer International Publishing: Cham, Switzerland, 2020; pp. 59–65. ISBN 978-3-030-11044-4. [Google Scholar]
  10. Hu, Z.; Fang, Y.; Yi, Z.; Tian, X.; Li, J.; Jin, Y.; He, K.; Liu, P.; Du, A.; Huang, Y.; et al. Determining the Nutritional Value and Antioxidant Capacity of Duckweed (Wolffia arrhiza) Under Artificial Conditions. LWT 2022, 153, 112477. [Google Scholar] [CrossRef]
  11. Xu, J.; Shen, Y.; Zheng, Y.; Smith, G.; Sun, X.S.; Wang, D.; Zhao, Y.; Zhang, W.; Li, Y. Duckweed (Lemnaceae) for Potentially Nutritious Human Food: A Review. Food Rev. Int. 2023, 39, 3620–3634. [Google Scholar] [CrossRef]
  12. AOAC. Official Methods of Analysis of AOAC International, 18th ed.; Association of Official Analytical Chemists: Washington, DC, USA, 2005. [Google Scholar]
  13. Zielińska, E.; Karaś, M.; Baraniak, B. Comparison of Functional Properties of Edible Insects and Protein Preparations Thereof. LWT 2018, 91, 168–174. [Google Scholar] [CrossRef]
  14. Bradford, M.M. A Rapid and Sensitive Method for the Quantitation of Microgram Quantities of Protein Utilizing the Principle of Protein-Dye Binding. Anal. Biochem. 1976, 72, 248–254. [Google Scholar] [CrossRef] [PubMed]
  15. Mishyna, M.; Martinez, J.-J.I.; Chen, J.; Benjamin, O. Extraction, Characterization and Functional Properties of Soluble Proteins from Edible Grasshopper (Schistocerca gregaria) and Honey Bee (Apis mellifera). Food Res. Int. 2019, 116, 697–706. [Google Scholar] [CrossRef] [PubMed]
  16. Pearce, K.N.; Kinsella, J.E. Emulsifying Properties of Proteins: Evaluation of a Turbidimetric Technique. J. Agric. Food Chem. 1978, 26, 716–723. [Google Scholar] [CrossRef]
  17. Hall, F.G.; Jones, O.G.; O’Haire, M.E.; Liceaga, A.M. Functional Properties of Tropical Banded Cricket (Gryllodes sigillatus) Protein Hydrolysates. Food Chem. 2017, 224, 414–422. [Google Scholar] [CrossRef]
  18. Chumroenphat, T.; Somboonwatthanakul, I.; Saensouk, S.; Siriamornpun, S. Changes in Curcuminoids and Chemical Components of Turmeric (Curcuma longa L.) Under Freeze-Drying and Low-Temperature Drying Methods. Food Chem. 2021, 339, 128121. [Google Scholar] [CrossRef]
  19. Yi, L.; Lakemond, C.M.M.; Sagis, L.M.C.; Eisner-Schadler, V.; Van Huis, A.; Van Boekel, M.A.J.S. Extraction and Characterisation of Protein Fractions from Five Insect Species. Food Chem. 2013, 141, 3341–3348. [Google Scholar] [CrossRef]
  20. Khankhum, S.; Khamkaew, K.; Li, H.; Prakitchaiwattana, C.; Siriamornpun, S. Impact of Plant Oil Supplementation on Lipid Production and Fatty Acid Composition in Cunninghamella Elegans TISTR 3370. Microorganisms 2024, 12, 992. [Google Scholar] [CrossRef]
  21. Yang, L.; Siriamornpun, S.; Li, D. Polyunsaturated fatty acid content of edible insects in Thailand. J. Food Lipids 2006, 13, 277–285. [Google Scholar] [CrossRef]
  22. Ulbricht, T.L.; Southgate, D.A. Coronary Heart Disease: Seven Dietary Factors. Lancet 1991, 338, 985–992. [Google Scholar] [CrossRef]
  23. Chen, M.-H.; Bergman, C.J. A Rapid Procedure for Analysing Rice Bran Tocopherol, Tocotrienol and γ-Oryzanol Contents. J. Food Compos. Anal. 2005, 18, 319–331. [Google Scholar] [CrossRef]
  24. Jelled, A.; Fernandes, Â.; Barros, L.; Chahdoura, H.; Achour, L.; Ferreira, I.C.F.R.; Cheikh, H.B. Chemical and Antioxidant Parameters of Dried Forms of Ginger Rhizomes. Ind. Crops Prod. 2015, 77, 30–35. [Google Scholar] [CrossRef]
  25. Thammapat, P.; Meeso, N.; Siriamornpun, S. Effects of the Traditional Method and an Alternative Parboiling Process on the Fatty Acids, Vitamin E, γ-Oryzanol and Phenolic Acids of Glutinous Rice. Food Chem. 2016, 194, 230–236. [Google Scholar] [CrossRef] [PubMed]
  26. Wanyo, P.; Kaewseejan, N.; Meeso, N.; Siriamornpun, S. Bioactive Compounds and Antioxidant Properties of Different Solvent Extracts Derived from Thai Rice By-Products. Appl. Biol. Chem. 2016, 59, 373–384. [Google Scholar] [CrossRef]
  27. Butsat, S.; Siriamornpun, S. Antioxidant Capacities and Phenolic Compounds of the Husk, Bran and Endosperm of Thai Rice. Food Chem. 2010, 119, 606–613. [Google Scholar] [CrossRef]
  28. Siriamornpun, S.; Tangkhawanit, E.; Kaewseejan, N. Reducing Retrogradation and Lipid Oxidation of Normal and Glutinous Rice Flours by Adding Mango Peel Powder. Food Chem. 2016, 201, 160–167. [Google Scholar] [CrossRef]
  29. Kim, T.-K.; Yong, H.I.; Chun, H.H.; Lee, M.-A.; Kim, Y.-B.; Choi, Y.-S. Changes of Amino Acid Composition and Protein Technical Functionality of Edible Insects by Extracting Steps. J. Asia-Pac. Entomol. 2020, 23, 298–305. [Google Scholar] [CrossRef]
  30. Khalid, A.; Hameed, A.; Tahir, M.F. Wheat Quality: A Review on Chemical Composition, Nutritional Attributes, Grain Anatomy, Types, Classification, and Function of Seed Storage Proteins in Bread Making Quality. Front. Nutr. 2023, 10, 1053196. [Google Scholar] [CrossRef] [PubMed]
  31. Bolotova, O.; Sazonova, I.; Bychkova, V. Fractional Composition of Protein in Corn Grain. Agroèkoinfo 2022, 2, 34. [Google Scholar] [CrossRef]
  32. Jayadeep, A.; Malleshi, N.G. Nutrients, Composition of Tocotrienols, Tocopherols, and γ-Oryzanol, and Antioxidant Activity in Brown Rice Before and After Biotransformation [Nutrientes, Composición de Tocotrienoles, Tocoferoles y γ-Oryzanol, y Actividad Antioxidante del Arroz Integral Antes y Después de la Biotransformación]. CyTA J. Food 2011, 9, 82–87. [Google Scholar] [CrossRef]
  33. Gebreegziabher, B.G.; Tsegay, B.A. Proximate and Mineral Composition of Ethiopian Pea (Pisum sativum Var. Abyssinicum A. Braun) Landraces Vary Across Altitudinal Ecosystems. Cogent Food Agric. 2020, 6, 1789421. [Google Scholar] [CrossRef]
  34. Ciabotti, S.; Silva, A.C.B.B.; Juhasz, A.C.P.; Mendonça, C.D.; Tavano, O.L.; Mandarino, J.M.G.; Gonçalves, C.A.A. Chemical Composition, Protein Profile, and Isoflavones Content in Soybean Genotypes with Different Seed Coat Colors. Int. Food Res. J. 2016, 23, 621–629. [Google Scholar]
  35. Rout, P.; Chakraborty, C.; Hossain, S. Functional Characterization of Enzyme-Hydrolysed Soy and Whey Protein Isolates: A Comparative Approach. Food Chem. Adv. 2024, 5, 100745. [Google Scholar] [CrossRef]
  36. Clemente-Suárez, V.J.; Mielgo-Ayuso, J.; Martín-Rodríguez, A.; Ramos-Campo, D.J.; Redondo-Flórez, L.; Tornero-Aguilera, J.F. The Burden of Carbohydrates in Health and Disease. Nutrients 2022, 14, 3809. [Google Scholar] [CrossRef] [PubMed]
  37. Oonincx, D.G.A.B.; Van Broekhoven, S.; Van Huis, A.; Van Loon, J.J.A. Feed Conversion, Survival and Development, and Composition of Four Insect Species on Diets Composed of Food By-Products. PLoS ONE 2015, 10, e0144601. [Google Scholar] [CrossRef]
  38. Purschke, B.; Meinlschmidt, P.; Horn, C.; Rieder, O.; Jäger, H. Improvement of Techno-Functional Properties of Edible Insect Protein from Migratory Locust by Enzymatic Hydrolysis. Eur. Food Res. Technol. 2018, 244, 999–1013. [Google Scholar] [CrossRef]
  39. Zayas, J.F. Foaming Properties of Proteins. In Functionality of Proteins in Food; Zayas, J.F., Ed.; Springer: Berlin/Heidelberg, Germany, 1997; pp. 260–309. ISBN 978-3-642-59116-7. [Google Scholar]
  40. Ozimek, L.; Sauer, W.C.; Kozikowski, V.; Ryan, J.K.; Jørgensen, H.; Jelen, P. Nutritive Value of Protein Extracted from Honey Bees. J. Food Sci. 1985, 50, 1327–1329. [Google Scholar] [CrossRef]
  41. Udomsil, N.; Imsoonthornruksa, S.; Gosalawit, C.; Ketudat-Cairns, M. Nutritional Values and Functional Properties of House Cricket (Acheta domesticus) and Field Cricket (Gryllus bimaculatus). FSTR 2019, 25, 597–605. [Google Scholar] [CrossRef]
  42. Banaszek, A.; Townsend, J.R.; Bender, D.; Vantrease, W.C.; Marshall, A.C.; Johnson, K.D. The Effects of Whey vs. Pea Protein on Physical Adaptations Following 8-Weeks of High-Intensity Functional Training (HIFT): A Pilot Study. Sports 2019, 7, 12. [Google Scholar] [CrossRef]
  43. Vangsoe, M.T.; Thogersen, R.; Bertram, H.C.; Heckmann, L.-H.L.; Hansen, M. Ingestion of Insect Protein Isolate Enhances Blood Amino Acid Concentrations Similar to Soy Protein in A Human Trial. Nutrients 2018, 10, 1357. [Google Scholar] [CrossRef]
  44. WHO; FAO; UNU. Protein and Amino Acid Requirements in Human Nutrition: Report of a Joint FAO/WHO/UNU Expert Consultation. Available online: https://iris.who.int/handle/10665/43411 (accessed on 10 May 2024).
  45. Ander, B.P.; Dupasquier, C.M.; Prociuk, M.A.; Pierce, G.N. Polyunsaturated Fatty Acids and Their Effects on Cardiovascular Disease. Exp. Clin. Cardiol. 2003, 8, 164–172. [Google Scholar] [PubMed]
  46. Vaghela, M.; Kilara, A. Lipid Composition of Whey Protein Concentrates Manufactured Commercially and in the Laboratory. J. Dairy. Sci. 1996, 79, 1172–1183. [Google Scholar] [CrossRef]
  47. Ivanov, D.; Levi, J.D.; Sredanovi, S.A. Fatty acid composition of various soybean products. Food Feed. Res. 2010, 37, 65–70. [Google Scholar]
  48. Villalobos Solis, M.I.; Patel, A.; Orsat, V.; Singh, J.; Lefsrud, M. Fatty Acid Profiling of the Seed Oils of Some Varieties of Field Peas (Pisum Sativum) by RP-LC/ESI-MS/MS: Towards the Development of an Oilseed Pea. Food Chem. 2013, 139, 986–993. [Google Scholar] [CrossRef] [PubMed]
  49. Khalili Tilami, S.; Kouřimská, L. Assessment of the Nutritional Quality of Plant Lipids Using Atherogenicity and Thrombogenicity Indices. Nutrients 2022, 14, 3795. [Google Scholar] [CrossRef]
  50. Moussa, E.-R.W.H.; Shereen, A.N.; Manal, A.; Mehanni, A.-H.E.; Rasha, A.E. Nutritional value and fatty acid composition of household cooking on fish fatty acids profile using atherogenicity and thrombogenicity indices. J. Food Chem. Nutr. 2014, 2, 27–41. [Google Scholar]
  51. Kong, L.; Lin, Y.; Liang, J.; Hu, X.; Ashraf, U.; Guo, X.; Bai, S. Dynamic Changes in Vitamin E Biosynthesis during Germination in Brown Rice (Oryza sativa L.). Foods 2022, 11, 3200. [Google Scholar] [CrossRef]
  52. Sudtasarn, G.; Homsombat, W.; Chotechuen, S.; Chamarerk, V. Quantification of Tocopherols, Tocotrienols and γ-Oryzanol Contents of Local Rice Varieties in Northeastern Thailand. J. Nutr. Sci. Vitaminol. 2019, 65, S125–S128. [Google Scholar] [CrossRef]
  53. Wennermark, B.; Ahlmen, H.; Jaegerstad, M. Improved Vitamin E Retention By Using Freshly Milled Whole-Meal Wheat Flour During Drum-Drying. J. Agric. Food Chem. 1994, 42, 1348–1351. [Google Scholar] [CrossRef]
  54. Ma, Y.; Xu, J.; Guo, R.; Teng, G.; Chen, Y.; Xu, X. In Vitro Gastrointestinal Model for the Elderly: Effect of High Hydrostatic Pressure on Protein Structures and Antioxidant Activities of Whey Protein Isolate. Food Biosci. 2023, 52, 102452. [Google Scholar] [CrossRef]
  55. Chávez-Servín, J.L.; Andrade-Montemayor, H.M.; Velázquez Vázquez, C.; Aguilera Barreyro, A.; García-Gasca, T.; Ferríz Martínez, R.A.; Olvera Ramírez, A.M.; De La Torre-Carbot, K. Effects of Feeding System, Heat Treatment and Season on Phenolic Compounds and Antioxidant Capacity in Goat Milk, Whey and Cheese. Small Rumin. Res. 2018, 160, 54–58. [Google Scholar] [CrossRef]
  56. Das, D.; Panesar, P.S.; Saini, C.S. Development of Soybean Meal Protein Isolate-Based Active Edible Film Incorporating Bioactive Compounds Rich Kinnow (Citrus reticulata) Peel. Food Bioprod. Process. 2024, 147, 406–417. [Google Scholar] [CrossRef]
  57. Ghosh, S.; Zhang, S.; Azam, M.; Gebregziabher, B.S.; Abdelghany, A.M.; Shaibu, A.S.; Qi, J.; Feng, Y.; Agyenim-Boateng, K.G.; Liu, Y.; et al. Natural Variation of Seed Tocopherol Composition in Diverse World Soybean Accessions from Maturity Group 0 to VI Grown in China. Plants 2022, 11, 206. [Google Scholar] [CrossRef] [PubMed]
  58. Thidarat, S.; Udomsak, M.; Jindawan, W.; Namphuang, D.; Suneerat, Y. Polyphenol Contents, Antioxidant and Anticancer Activity (MCF-7) of Soybean Products in Thailand. Chiang Mai J. Sci. 2017, 44, 176–183. [Google Scholar]
  59. Zhao, X.; Liang, Z.; Wang, Z.; Zhang, P.; Fang, Z. Effect of Natural Colorants on the Quality Attributes of Pea Protein-Based Meat Patties. Food Biosci. 2024, 59, 103976. [Google Scholar] [CrossRef]
  60. Mejri, F.; Ben Khoud, H.; Njim, L.; Baati, T.; Selmi, S.; Martins, A.; Serralheiro, M.L.M.; Rauter, A.P.; Hosni, K. In Vitro and In Vivo Biological Properties of Pea Pods (Pisum sativum L.). Food Biosci. 2019, 32, 100482. [Google Scholar] [CrossRef]
  61. Keuleyan, E.; Gélébart, P.; Beaumal, V.; Kermarrec, A.; Ribourg-Birault, L.; Le Gall, S.; Meynier, A.; Riaublanc, A.; Berton-Carabin, C. Pea and Lupin Protein Ingredients: New Insights into Endogenous Lipids and the Key Effect of High-Pressure Homogenization on Their Aqueous Suspensions. Food Hydrocoll. 2023, 141, 108671. [Google Scholar] [CrossRef]
  62. Yoshida, H.; Tomiyama, Y.; Saiki, M.; Mizushina, Y. Tocopherol Content and Fatty Acid Distribution of Peas (Pisum sativum L.). J. Am. Oil Chem. Soc. 2007, 84, 1031–1038. [Google Scholar] [CrossRef]
  63. Galanakis, C.M. Introduction. In Nutraceutical and Functional Food Components; Elsevier: Amsterdam, The Netherlands, 2017; pp. 1–14. ISBN 978-0-12-805257-0. [Google Scholar]
  64. Sorrenti, V.; Burò, I.; Consoli, V.; Vanella, L. Recent Advances in Health Benefits of Bioactive Compounds from Food Wastes and By-Products: Biochemical Aspects. Int. J. Mol. Sci. 2023, 24, 2019. [Google Scholar] [CrossRef]
  65. Apak, R. Current Issues in Antioxidant Measurement. J. Agric. Food Chem. 2019, 67, 9187–9202. [Google Scholar] [CrossRef] [PubMed]
  66. Rumpf, J.; Burger, R.; Schulze, M. Statistical Evaluation of DPPH, ABTS, FRAP, and Folin-Ciocalteu Assays to Assess the Antioxidant Capacity of Lignins. Int. J. Biol. Macromol. 2023, 233, 123470. [Google Scholar] [CrossRef] [PubMed]
  67. Neris, R.L.S.; Kaur, A.; Gomes, A.V. Incorrect Molecular Weights Due to Inaccurate Prestained Protein Molecular Weight Markers That Are Used for Gel Electrophoresis and Western Blotting. bioRxiv 2020. [Google Scholar] [CrossRef]
  68. Halima, O.; Najar, F.Z.; Wahab, A.; Gamagedara, S.; Chowdhury, A.I.; Foster, S.B.; Shaheen, N.; Ahsan, N. Lentil Allergens Identification and Quantification: An Update from Omics Perspective. Food Chem. Mol. Sci. 2022, 4, 100109. [Google Scholar] [CrossRef] [PubMed]
  69. Marcone, M.F. Biochemical and Biophysical Properties of Plant Storage Proteins: A Current Understanding with Emphasis on 11S Seed Globulins. Food Res. Int. 1999, 32, 79–92. [Google Scholar] [CrossRef]
Figure 1. Appearance of watermeal (W. globosa) samples.
Figure 1. Appearance of watermeal (W. globosa) samples.
Horticulturae 10 01171 g001
Figure 2. The protein solubility (A), foaming capacity (B), foaming stability (C), emulsion capacity (D), and emulsion stability (E) as a function of the pH of watermeal (W. globosa).
Figure 2. The protein solubility (A), foaming capacity (B), foaming stability (C), emulsion capacity (D), and emulsion stability (E) as a function of the pH of watermeal (W. globosa).
Horticulturae 10 01171 g002
Figure 3. Molecular weight distribution of protein in watermeal (W. globosa).
Figure 3. Molecular weight distribution of protein in watermeal (W. globosa).
Horticulturae 10 01171 g003
Table 1. Chemical composition, water-, and oil-holding capacity of watermeal (W. globosa).
Table 1. Chemical composition, water-, and oil-holding capacity of watermeal (W. globosa).
ParameterWatermealWhey Protein [35]Soybean [34]Pea [33]
Ash (g/100 g DW)7.68 ± 0.481.44.13.3
Lipid (g/100 g DW)0.49 ± 0.184.619.41.5
Protein (g/100 g DW)26.76 ± 1.1680.039.824.4
Fiber (g/100 g DW)16.76 ± 0.20-6.724.8
Carbohydrate (g/100 g DW)48.31 ± 1.078.225.244.7
Water-holding capacity (g/g)25.46 ± 0.63---
Oil-holding capacity (g/g)22.87 ± 1.69---
Values are expressed as mean ± SD (n = 3).
Table 2. Amino acid composition of watermeal (W. globosa).
Table 2. Amino acid composition of watermeal (W. globosa).
Amino Acids
(AAs, g/100 g DW)
WatermealWhey Protein [42]Soybean [43]Pea [42]WHO/FAO/UNU for Adult [44]
Essential amino acids (EAAs)
Arginine5.33 ± 0.132.36.28.7-
Histidine0.61 ± 0.011.62.22.51.5
Isoleucine2.83 ± 0.074.63.94.53.0
Leucine2.59 ± 0.088.86.68.45.9
Lysine1.18 ± 0.027.55.37.24.5
Methionine0.18 ± 0.021.61.21.11.6
Phenylalanine3.39 ± 0.072.64.45.5-
Threonine0.35 ± 0.234.53.23.92.3
Tryptophan1.45 ± 0.011.3-1.02.3
Valine0.64 ± 0.054.44.05.03.9
ΣEAAs18.54 ± 0.4839.235.847.8
EAAI0.43 ± 0.011.21.10.9
Non-Essential amino acids (NEAAs)
Alanine1.25 ± 0.013.53.54.3
Asparagine0.75 ± 0.03-10.0-
Aspartic acid2.48 ± 0.218.4-11.5
Cysteine0.05 ± 0.001.71.01.0
Glutamine0.49 ± 0.03-16.2-
Glutamic acid1.08 ± 0.0113.3-16.8
Glycine0.18 ± 0.011.43.54.1
Proline0.30 ± 0.016.64.44.5
Serine0.37 ± 0.024.54.45.3
Tyrosine2.42 ± 0.042.33.23.8
ΣNEAAs9.29 ± 0.1441.746.251.3
ΣAAs27.83 ± 0.3680.982.099.1
ΣEAAs/ΣAAs (%)66.61 ± 0.9748.543.748.2
ΣNEAAs/ΣAAs (%)33.38 ± 0.6351.556.351.8
Values are expressed as mean ± SD (n = 3).
Table 3. Fatty acid composition (g/100 g of total fatty acids) of watermeal (W. globosa).
Table 3. Fatty acid composition (g/100 g of total fatty acids) of watermeal (W. globosa).
Fatty Acid TypesWatermealWhey Protein [46]Soybean [47]Pea [48]
Capric acid (C10:0)0.20 ± 0.013.7--
Lauric acid (C12:0)0.22 ± 0.018.8--
Myristic acid (C14:0)0.38 ± 0.0218.5--
Palmitic acid (C16:0)24.54 ± 0.0729.93.37.6
Palmitoleic acid (C16:1)5.52 ± 0.35---
Stearic acid (C18:0)2.43 ± 0.1113.12.35.0
Oleic acid (C18:1)4.32 ± 0.1313.120.527.9
Linoleic acid (C18:2)26.08 ± 0.203.368.042.3
α-Linolenic acid (C18:3)33.63 ± 0.542.15.111.3
Arachidic acid (C20:0)0.28 ± 0.01-0.71.2
Eicosenoic acid (C20:1)0.14 ± 0.01--0.9
Eicosadienoic acid (C20:2)0.12 ± 0.01--0.5
Lignoceric acid (C24:0)0.44 ± 0.02--1.9
Unknow1.70 ± 0.037.40.71.5
Total fatty acids100100100100
Total SFAs28.49 ± 0.2974.16.316.9
Total USFAs69.82 ± 0.3718.593.781.9
Total MUFAs9.98 ± 0.3313.120.537.3
Total PUFAs59.84 ± 0.295.473.244.7
AI1.5233.6--
TI0.234.1--
Values are expressed as mean ± SD (n = 3), SFAs: saturated fatty acids, USFAs: unsaturated fatty acid, MUFAs: monounsaturated fatty acids, PUFAs: polyunsaturated fatty acids.
Table 4. Tocopherols, γ-oryzanol, bioactive compounds, and antioxidant activity of watermeal (W. globosa).
Table 4. Tocopherols, γ-oryzanol, bioactive compounds, and antioxidant activity of watermeal (W. globosa).
ParameterWatermealWhey Protein [54,55]Soybean [56,57,58]Pea [59,60,61,62]
α-tocopherol (μg/g DW)699.35 ± 0.80-10.86.7
δ-tocopherol (μg/g DW)536.15 ± 0.65-75.136.5
γ-tocopherol (μg/g DW)22.20 ± 0.24-143.2766.9
γ-oryzanol (μg/g DW)100.44 ± 0.05---
TPC (mg GAE/g DW)2.49 ± 0.110.071.630.8
TFC (mg QE/g DW)4.89 ± 2.57-4.822.0
DPPH (mg vitamin C/g DW)1.15 ± 0.0913.41.410.7
FRAP (mmol FeSO4/g DW)45.78 ± 1.970.98.175.0
Values are expressed as mean ± SD (n = 3).
Disclaimer/Publisher’s Note: The statements, opinions and data contained in all publications are solely those of the individual author(s) and contributor(s) and not of MDPI and/or the editor(s). MDPI and/or the editor(s) disclaim responsibility for any injury to people or property resulting from any ideas, methods, instructions or products referred to in the content.

Share and Cite

MDPI and ACS Style

Boonarsa, P.; Bunyatratchata, A.; Chumroenphat, T.; Thammapat, P.; Chaikwang, T.; Siripan, T.; Li, H.; Siriamornpun, S. Nutritional Quality, Functional Properties, and Biological Characterization of Watermeal (Wolffia globosa). Horticulturae 2024, 10, 1171. https://doi.org/10.3390/horticulturae10111171

AMA Style

Boonarsa P, Bunyatratchata A, Chumroenphat T, Thammapat P, Chaikwang T, Siripan T, Li H, Siriamornpun S. Nutritional Quality, Functional Properties, and Biological Characterization of Watermeal (Wolffia globosa). Horticulturae. 2024; 10(11):1171. https://doi.org/10.3390/horticulturae10111171

Chicago/Turabian Style

Boonarsa, Parinya, Apichaya Bunyatratchata, Theeraphan Chumroenphat, Pornpisanu Thammapat, Tipaukson Chaikwang, Tarathep Siripan, Hua Li, and Sirithon Siriamornpun. 2024. "Nutritional Quality, Functional Properties, and Biological Characterization of Watermeal (Wolffia globosa)" Horticulturae 10, no. 11: 1171. https://doi.org/10.3390/horticulturae10111171

APA Style

Boonarsa, P., Bunyatratchata, A., Chumroenphat, T., Thammapat, P., Chaikwang, T., Siripan, T., Li, H., & Siriamornpun, S. (2024). Nutritional Quality, Functional Properties, and Biological Characterization of Watermeal (Wolffia globosa). Horticulturae, 10(11), 1171. https://doi.org/10.3390/horticulturae10111171

Note that from the first issue of 2016, this journal uses article numbers instead of page numbers. See further details here.

Article Metrics

Back to TopTop