Microbial Exploitation of Feather Wastes for Sustainable Production of Keratinase and Collagenase Enzymes by Didymella keratinophila AUMC 15399 in Submerged Fermentation
Abstract
1. Introduction
2. Materials and Methods
2.1. Strain Isolation and Preservation
2.2. Morphological and Molecular Identification of the Strain of Didymella
2.3. Extraction of Keratin Powder
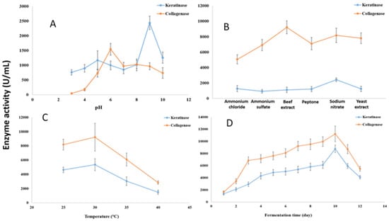
2.4. Optimization of Fermentation Conditions
2.5. Production and Partial Purification of Keratinase and Collagenase in Submerged Fermentation (SmF)
2.6. Keratinase Assay
2.7. Collagenase Assay
2.8. Impact of pH, Temperature and Some Ions and Inhibitors on Keratinase and Collagenase Activity
3. Results
3.1. Morphological and Molecular Identification of the Strain of Didymella
3.2. Maximization of Keratinase and Collagenase Production
3.3. Production of Keratinase and Collagenase from Native Chicken Feathers in SmF
3.4. Effect of pH on Keratinase and Collagenase Activity
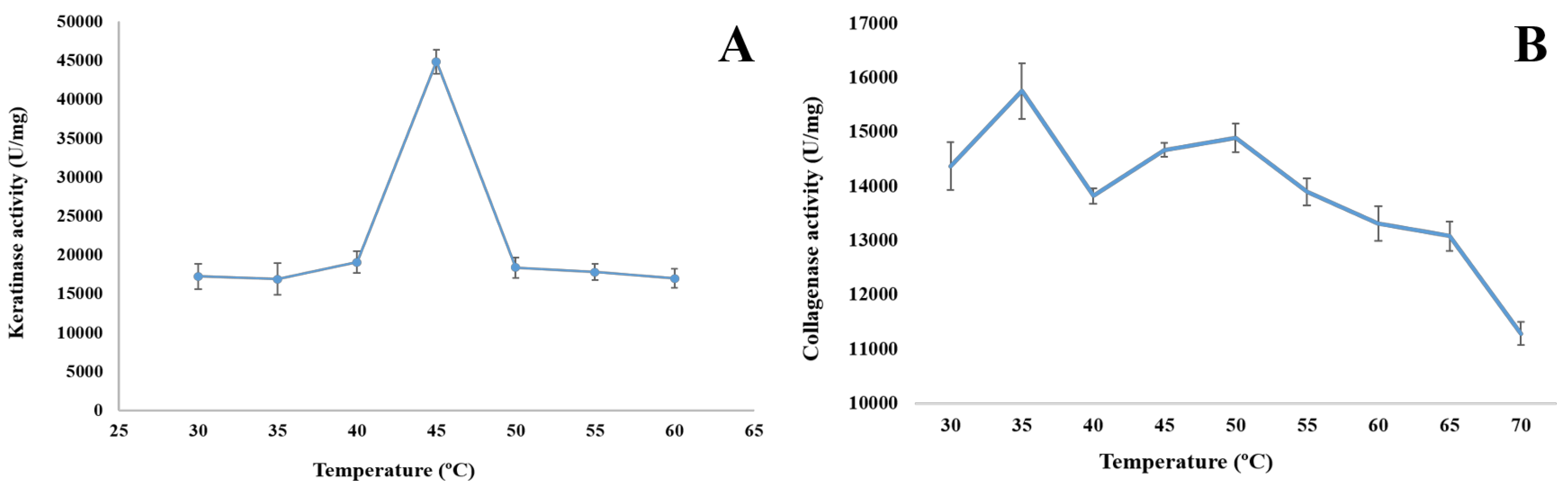
3.5. Effect of Temperature on Keratinase and Collagenase Activity
3.6. Effect of Some Ions and Inhibitors on Keratinase and Collagenase Activity
4. Discussion
5. Conclusions
Author Contributions
Funding
Institutional Review Board Statement
Informed Consent Statement
Data Availability Statement
Conflicts of Interest
References
- Sharma, S.; Gupta, A. Sustainable management of keratin waste biomass: Applications and future perspectives. Braz. Arch. Biol. Technol. 2016, 59, e16150684. [Google Scholar] [CrossRef]
- Alwakeel, S.S.; Ameen, F.; Al Gwaiz, H.; Sonbol, H.; Alghamdi, S.; Moharram, A.M.; Al-Bedak, O.A. Keratinases Produced by Aspergillus stelliformis, Aspergillus sydowii, and Fusarium brachygibbosum Isolated from Human Hair: Yield and Activity. J. Fungi 2021, 7, 471–483. [Google Scholar] [CrossRef] [PubMed]
- Verma, A.; Singh, H.; Anwar, S.; Chattopadhyay, A.; Tiwari, K.K.; Kaur, S.; Dhilon, G.S. Microbial keratinases: Industrial enzymes with waste management potential. Crit. Rev. Biotechnol. 2017, 37, 476–491. [Google Scholar] [CrossRef]
- Reddy, C.C.; Khilji, I.A.; Gupta, A.; Bhuyar, P.; Mahmood, S.; AL-Japairai, K.A.S.; Chua, G.K. Valorization of keratin waste biomass and its potential applications. J. Water Process. Eng. 2021, 40, 101707. [Google Scholar] [CrossRef]
- Hassan, M.A.; Abol-Fotouh, D.; Omer, A.M.; Tamer, T.M.; Abbas, E. Comprehensive insights into microbial keratinases and their implication in various biotechnological and industrial sectors: A review. Int. J. Biol. Macromol. 2020, 154, 567–583. [Google Scholar] [CrossRef]
- Khumalo, M.; Sithole, B.; Tesfaye, T. Valorization of waste chicken feathers: Optimization of keratin extraction from waste chicken feathers by sodium bisulphite, sodium dodecyl sulphate and urea. J. Environ. Manag. 2020, 262, 110329. [Google Scholar] [CrossRef]
- Vidmar, B.; Vodovnik, M. Microbial keratinases: Enzymes with promising biotechnological applications. Food Technol. Biotechnol. 2018, 56, 312–328. [Google Scholar] [CrossRef]
- Gafar, A.; Khayat, M.E.; Ahmad, S.A.; Yasid, N.A.; Shukor, M.Y. Response Surface Methodology for the Optimization of Keratinase Production in Culture Medium Containing Feathers by Bacillus sp. UPM-AAG1. Catalysts 2020, 10, 848. [Google Scholar] [CrossRef]
- Bohacz, J.; Kowalska, T.K.; Kitowski, I.; Ciesielska, A. Degradation of chicken feathers by Aphanoascus keratinophilus and Chrysosporium tropicum strains from pellets of predatory birds and its practical aspect. Int. Biodeterior. Biodegrad. 2020, 151, 104968. [Google Scholar] [CrossRef]
- Nnolim, N.E.; Udenigwe, C.C.; Okoh, A.I.; Nwodo, U.U. Microbial Keratinase: Next Generation Green Catalyst and Prospective Applications. Front. Microbiol. 2020, 11, 3280. [Google Scholar] [CrossRef]
- Fang, Z.; Zhang, J.; Liu, B.; Du, G.; Chen, J. Biodegradation of wool waste and keratinase production in scale-up fermenter with different strategies by Stenotrophomonas maltophilia BBE11-1. Bioresour. Technol. 2013, 140, 286–291. [Google Scholar] [CrossRef]
- Akhter, M.; Marzan, L.W.; Akter, Y.; Shimizu, K. Microbial Bioremediation of Feather Waste for Keratinase Production: An Outstanding Solution for Leather Dehairing in Tanneries. Microbiol. Insights 2020, 13, 1–12. [Google Scholar] [CrossRef]
- Akram, F.; ul Haq, I.; Jabbar, Z. Production and characterization of a novel thermo-and detergent stable keratinase from Bacillus sp. NKSP-7 with perceptible applications in leather processing and laundry industries. Int. J. Biol. Macromol. 2020, 164, 371–383. [Google Scholar] [CrossRef]
- Avdiyuk, K.V.; Varbanets, L.D. Keratinolytic enzymes: Producers, physical and chemical properties. Application for biotechnology. Biotechnol. Acta 2019, 12, 27–45. [Google Scholar]
- Abdel-Fattah, A.M.; El-Gamal, M.S.; Ismail, S.A.; Emran Ma Hashem, A.M. Biodegradation of feather waste by keratinase produced from newly isolated Bacillus licheniformis ALW1. J. Genet. Eng. Biotechnol. 2018, 16, 311–318. [Google Scholar] [CrossRef] [PubMed]
- Moridshahi, R.; Bahreini, M.; Sharifmoghaddam, M.; Asoodeh, A. Biochemical characterization of an alkaline surfactant-stable keratinase from a new keratinase producer, Bacillus zhangzhouensis. Extremophiles 2020, 24, 693–704. [Google Scholar] [CrossRef] [PubMed]
- Hisano, T.; Abe, S.; Wakashiro, M.; Kimura, A.; Murata, K. Isolation and properties of a collagenase with caseinolytic activity from a Pseudomonas sp. J. Biosci. Bioeng. 1989, 68, 399–403. [Google Scholar] [CrossRef]
- Hanada, K.; Mizutani, T.; Yamagishi, M.; Tsuji, H.; Misaki, T.; Sawada, J. The isolation of collagenase and its enzymological and physico-chemical properties. Agric. Biol. Chem. 1973, 37, 1771–1781. [Google Scholar] [CrossRef]
- Van Wart, H.E.; Steinbrink, D.R. A continuous spectrophotometric assay for Clostridium histolyticum collagenase. Anal. Biochem. 1981, 113, 356–365. [Google Scholar] [CrossRef] [PubMed]
- Asdornnithee, S.; Akiyama, K.; Sasaki, T.; Takata, R. Isolation and characterization of a collagenolytic enzyme from Bacillus licheniformis N22. J. Biosci. Bioeng. 1994, 78, 283–287. [Google Scholar] [CrossRef]
- Tran, L.H.; Nagano, H. Isolation and characteristics of Bacillus subtilis CN2 and its collagenase production. J. Food Sci. 2002, 67, 1184–1187. [Google Scholar] [CrossRef]
- Li, J.; Cheng, J.H.; Teng, Z.J.; Sun, Z.Z.; He, X.Y.; Wang, P.; Shi, M.; Song, X.Y.; Chen, X.L.; Zhang, Y.Z.; et al. Taxonomic and Enzymatic Characterization of Flocculibacter collagenilyticus gen. nov., sp. nov., a Novel Gammaproteobacterium With High Collagenase Production. Front. Microbiol. 2012, 12, 465. [Google Scholar] [CrossRef]
- Lima, C.A.; Rodrigues, P.M.; Porto, T.S.; Viana, D.A.; Lima Filho, J.L.; Porto, A.L.; da Cunha, M.G.C. Production of a collagenase from Candida albicans URM3622. Biochem. Eng. J. 2009, 43, 315–320. [Google Scholar] [CrossRef]
- Köhler, J.R.; Casadevall, A.; Perfect, J. The spectrum of fungi that infects humans. Cold Spring Harb Perspect Med. 2015, 5, 1–22. [Google Scholar] [CrossRef]
- Smith, D.; Onions, A.H.S. The Preservation and Maintenance of Living Fungi; CAB international: Wallingford, UK, 1994. [Google Scholar]
- Al-Bedak, O.A.; Sayed, R.M.; Hassan, S.H. A new low-cost method for long-term preservation of filamentous fungi. Biocatal. Agric. Biotechnol. 2019, 22, 101417. [Google Scholar] [CrossRef]
- Moubasher, A.H.; Ismail, M.A.; Al-Bedak, O.A.; Mohamed, R.A. Ramophialophora chlamydospora, a new species from an alkaline lake of Wadi-El-Natron, Egypt. Asian J. Mycol. 2019, 2, 110–117. [Google Scholar] [CrossRef]
- Al-Bedak, O.A.; Moubasher, A.H.; Ismail, M.A.; Mohamed, R.A. Aspergillus curvatus, a new species in section Circumdati isolated from an alkaline water of Lake Khadra in Wadi-El-Natron, Egypt. Asian J. Mycol. 2020, 3, 325–334. [Google Scholar] [CrossRef]
- White, T.J.; Bruns, T.; Lee, S.; Taylor, J. Amplification and direct sequencing of fungal ribosomal RNA genes for phylogenetics. PCR Protoc. A Guide Methods Appl. 1990, 18, 315–322. [Google Scholar]
- Edgar, R.C. MUSCLE: Multiple sequence alignment with high accuracy and high throughput. Nucleic Acids Res. 2004, 32, 1792–1797. [Google Scholar] [CrossRef]
- Felsenstein, J. Confidence limits on phylogenies: An approach using the bootstrap. Evolution 1985, 39, 783–791. [Google Scholar] [CrossRef]
- Kumar, S.; Stecher, G.; Li, M.; Knyaz, C.; Tamura, K. MEGA X: Molecular evolutionary genetics analysis across computing platforms. Mol. Biol. Evol. 2018, 35, 1547–1549. [Google Scholar] [CrossRef]
- Posada, D.; Crandall, K.A. Modeltest: Testing the model of DNA substitution. Bioinformatics 1998, 14, 817–818. [Google Scholar] [CrossRef]
- Al-Bedak, O.A.; Moubasher, A.H. Aspergillus gaarensis, a new addition to section Circumdati from soil of Lake El-Gaar in Wadi-El-Natron, Egypt. Stud. Fungi 2020, 5, 59–65. [Google Scholar] [CrossRef]
- Bălan, D.; Israel-Roming, F.; Cornea, P.; Gherghina, E.; Luţă, G.; Matei, F.; Curtąu, M. Novel fungal collagenase from Aspergillus oryzae. Sci. Bull. Ser. F Biotechnol. 2013, 17, 160–163. [Google Scholar]
- Lowry, O.H.; Biol Chem, J. Protein measurement with the Folin phenol reagent. J. Biol. Chem. 1951, 193, 265–275. [Google Scholar] [CrossRef]
- Paul, T.; Halder, S.K.; Das, A.; Bera, S.; Maity, C.; Mandal, A.; Das, P.S.; Mohapatra, P.K.D.; Pati, B.R.; Mondal, K.C. Exploitation of chicken feather waste as a plant growth promoting agent using keratinase producing novel isolate Paenibacillus woosongensis TKB2. Biocatal. Agric. Biotechnol. 2013, 2, 50–57. [Google Scholar] [CrossRef]
- Bhange, K.; Chaturvedi, V.; Bhatt, R. Ameliorating effects of chicken feathers in plant growth promotion activity by a keratinolytic strain of Bacillus subtilis PF1. Bioresour. Bioprocess. 2016, 3, 1–10. [Google Scholar] [CrossRef]
- de Menezes, C.L.A.; Santos, R.C.; Santos, M.V.; Boscolo, M.; da Silva, R.; Gomes, E.; da Silv, R.R. Industrial sustainability of microbial keratinases: Production and potential applications. World J. Microbiol. Biotechnol. 2021, 37, 1–17. [Google Scholar] [CrossRef]
- Kang, D.; Herschend, J.; Al-Soud, W.A.; Mortensen, M.S.; Gonzaloa, M.; Jacquiod, S.; Sørensen, S.J. Enrichment and characterization of an environmental microbial consortium displaying efficient keratinolytic activity. Bioresour. Technol. 2018, 270, 303–310. [Google Scholar] [CrossRef]
- Kalaikumari, S.S.; Vennila, T.; Monika, V.; Chandraraj, K.; Gunasekaran, P.; Rajendhran, J. Bioutilization of poultry feather for keratinase production and its application in leather industry. J. Clean. Prod. 2019, 208, 44–53. [Google Scholar] [CrossRef]
- Reddy, M.R.; Reddy Ks Chouhan, Y.R.; Bee, H.; Reddy, G. Effective feather degradation and keratinase production by Bacillus pumilus GRK for its application as bio-detergent additive. Bioresour. Technol. 2017, 243, 254–263. [Google Scholar] [CrossRef]
- Peng, Z.; Mao, X.; Zhang, J.; Du, G.; Chenet, J. Biotransformation of keratin waste to amino acids and active peptides based on cell-free catalysis. Biotechnol. Biofuels 2020, 13, 1–12. [Google Scholar] [CrossRef] [PubMed]
- Hassan, M.A.; Taha, T.H.; Hamad, G.M.; Hashem, M.; Alamri, S.; Mostafa, Y.S. Biochemical characterization and application of keratinase from Bacillus thuringiensis MT1 to enable valorization of hair wastes through biosynthesis of vitamin B-complex. Int. J. Biol. Macromol. 2020, 153, 561–572. [Google Scholar] [CrossRef]
- Tharwat, N.; Al-Bedak, O.A.; Hamouda, R.E.; El Shreif, R.H.; Mounir, R.M.; Sami, A.M. Antifungal effect of gold nanoparticles on fungi isolated from onychomycosis patients. Al-Azhar J. Pharm. Sci. 2019, 60, 26–42. [Google Scholar]
- Abirami, S.; Ragavi, R.; Antony, V.S. Utilization of keratinolytic Lichtheimia corymbifera AS1 for degradation of cattle hoove–A slaughter house waste to use in plant growth. Biointerface Res. Appl. Chem. 2020, 10, 6417–6426. [Google Scholar]
- Sousa, M.; Souza, O.; Maciel, M.; Cruz, R.; Rêgo, M.G. Keratinolytic potential of fungi isolated from soil preserved at the Micoteca URM. Eur. J. Biotechnol. Biosci. 2015, 3, 10–15. [Google Scholar]
- Paul, T.; Das, A.; Mandal, A.; Halder, S.K.; DasMohapatra, P.K.; Pati, B.R.; Mondal, K.C. Production and purification of keratinase using chicken feather bioconversion by a newly isolated Aspergillus fumigatus TKF1: Detection of valuable metabolites. Biomass Convers. Biorefin. 2014, 4, 137–148. [Google Scholar] [CrossRef]
- Bagewadi, Z.K.; Mulla, S.I.; Ninnekar, H.Z. Response surface methodology based optimization of keratinase production from Trichoderma harzianum isolate HZN12 using chicken feather waste and its application in dehairing of hide. J. Environ. Chem. Eng. 2018, 6, 4828–4839. [Google Scholar] [CrossRef]
- Gradišar, H.; Friedrich, J.; Križaj, I.; Jerala, R. Similarities and specificities of fungal keratinolytic proteases: Comparison of keratinases of Paecilomyces marquandii and Doratomyces microsporus to some known proteases. Appl. Environ. Microbiol. 2005, 71, 3420–3426. [Google Scholar] [CrossRef]
- Koutb, M.; Morsy, F.M.; Bagy, M.M.K.; Hassan, E.A. Optimization of extracellular keratinase production by Aspergillus terreus isolated from chicken’s litter. J. Adv. Lab. Res. Biol. 2012, 3, 210–216. [Google Scholar]
- Mazotto, A.M.; Couri, S.; Damaso, M.C.T.; Vermelho, A.B. Degradation of feather waste by Aspergillus niger keratinases: Comparison of submerged and solid-state fermentation. Int. Biodeterior. Biodegrad. 2013, 85, 189–195. [Google Scholar] [CrossRef]
- Kim, J.D. Purification and characterization of a keratinase from a feather-degrading fungus, Aspergillus flavus Strain K-03. Mycobiology 2007, 35, 219–225. [Google Scholar] [CrossRef] [PubMed]
- Isaac, G.S.; Abu-Tahon, M.A. Dehairing capability of alkaline keratinase produced by new isolated Cochliobolus hawaiiensis AUMC 8606 grown on chicken feather. Rom. Biotechnol. Lett. 2016, 22, 12147–12154. [Google Scholar]
- Menon, S.; Savur, B.; Kasat, D.; Mavani, U.; Singh, S. Management and utilization of Keratin Waste–A review. Int. J. Adv. Res. Innov. Ideas Educ. 2020, 6, 511–515. [Google Scholar]
- Kačinová, V.; Kolčáková, V.; Petranová, D. Axiocentric media education as a strategy for the cultivation of media recipients. Eur. J. Sci. Theol. 2014, 10, 103–116. [Google Scholar]
- Tapia, D.M.; Simões, M.L.G. Production and partial characterization of keratinase produced by a microorganism isolated from poultry processing plant wastewater. Afr. J. Biotechnol. 2008, 7, 296–300. [Google Scholar]
- Riffel, A.; Brandelli, A.; Bellato, C.M.; Souza, G.H.M.F.; Eberlin, M.N.; Tavares, F.C.A. Purification and characterization of a keratinolytic metalloprotease from Chryseobacterium sp. kr6. J. Biotechnol. 2007, 128, 693–703. [Google Scholar] [CrossRef]
- Farag, A.M.; Hassan, M.A. Purification, characterization and immobilization of a keratinase from Aspergillus oryzae. Enzym. Microb. 2004, 34, 85–93. [Google Scholar] [CrossRef]
- El-Ayouty, Y.M.; El-Said, A.; Salama, A.M. Purification and characterization of a keratinase from the feather-degrading cultures of Aspergillus flavipes. Afr. J. Biotechnol. 2012, 11, 2313–2319. [Google Scholar]
- Abidi, F.; Aissaoui, N.; Gaudin, J.C.; Chobert, J.M.; Haertlé, T.; Marzouki, M.N. Analysis and molecular characterization of Botrytis cinerea protease Prot-2. Use in bioactive peptides production. Appl. Biochem. Biotechnol. 2013, 170, 231–247. [Google Scholar] [CrossRef]
- Graminho, E.R.; da Silva, R.R.; Cabral, T.P.F.; Arantes, E.C.; da Rosa, N.G.; Juliano, L.; Okamoto, D.N.; de Oliveira, L.C.G.; Kondo, M.Y.; Juliano, M.A.; et al. Purification, Characterization, and Specificity Determination of a New Serine Protease Secreted by Penicillium waksmanii. Appl. Biochem. Biotechnol. 2012, 169, 201–214. [Google Scholar] [CrossRef]
- Daboor, S.M.; Budge, S.M.; Ghaly, A.E.; Brooks, S.; Dave, D. Extraction and purification of collagenase enzymes: A critical review. Am. J. Biochem. Biotechnol. 2010, 6, 239–263. [Google Scholar] [CrossRef]
- Duarte, A.S.; Correia, A.; Esteves, A.C. Bacterial collagenases—A review. Crit. Rev. Microbiol. 2016, 7828, 1–21. [Google Scholar] [CrossRef]
- Watanabe, K. Collagenolytic proteases from bacteria. Appl. Microbiol. Biotechnol. 2014, 63, 520–526. [Google Scholar] [CrossRef] [PubMed]
- Schenck, S.; Chase, T.T.; Rosenzweig, W.D.; Pramer, D. Collagenase Production by Nematode-Trapping Fungi. Appl. Environ. Microbiol. 1980, 40, 567–570. [Google Scholar] [CrossRef] [PubMed]
- Tosi, S.; Tosi, L.A.I.; Iadarola, P.; Caretta, G. Collagenase production in an Antarctic strain of Arthrobotrys tortor Jarowaja. Mycopathologia 2001, 153, 157–162. [Google Scholar] [CrossRef]
- Ferreira, C.M.O.; Correia, P.C.; Brandão-Costa, R.M.P.; Albuquerque, W.W.C.; Liu, T.P.S.L.; Campos-Takaki, G.M.; Porto, A.L.F. Collagenase produced from Aspergillus sp. (UCP 1276) using chicken feather industrial residue. Biomed. Chromatogr. 2016, 31, e3882. [Google Scholar] [CrossRef] [PubMed]
- Hurion, N.; Fromentin, H.; Keil, A.B. Specificity of the Collagenolytic Enzyme from the Fungus Entomophthora coronata: Comparison with the Bacterial Collagenase from Achromobacter iophagus. Arch. Biochem. Biophys. 1979, 192, 438–445. [Google Scholar] [CrossRef] [PubMed]
- Lima, C.A.; Marques, D.A.V.; Neto, B.B.; Filho, J.L.L.; Carneiro-da-Cunha, M.G.; Porto, A.L.F. Fermentation Medium for Collagenase Production by Penicillium aurantiogriseum URM4622. Biotechnol. Prog. 2011, 27, 1470–1477. [Google Scholar] [CrossRef]
- Kate, S.; Pethe, A. Study of collagenase production by Penicillum sp. Isolated from Deteriorated leather sample. J. Adv. Sci. Res. 2022, 13, 227–234. [Google Scholar]
- Hamdy, H.S. Extracellular collagenase from Rhizoctonia solani: Production, purification and characterization. Indian J. Biotechnol. 2008, 7, 333–340. [Google Scholar]






| Ions and Inhibitors | Keratinase | Collagenase |
|---|---|---|
| Specific Activity (U/mg) | Specific Activity (U/mg) | |
| Control | 44,903 ± 1555 | 15,753 ± 110 |
| Na+ | 16,728 ± 12 | 3532 ± 64 |
| K+ | 7619 ± 14 | 1439 ± 37 |
| Fe2+ | 16,878 ± 64 | 14,644 ± 37 |
| Cu2+ | 12,430 ± 98 | 13,358 ± 121 |
| Ca2+ | 14,366 ± 128 | 13,972 ± 18 |
| Mg2+ | 16,093 ± 320 | 14,600 ± 66 |
| Zn2+ | 19,039 ± 149 | 13,967 ± 21 |
| Ni2+ | 14,680 ± 192 | 15,426 ± 37 |
| Co2+ | 19,495 ± 133 | 15,550 ± 84 |
| Mn2+ | 7089 ± 18 | 6699 ± 36 |
| EDTA | 14,209 ± 111 | 14,644 ± 314 |
| SDS | 12,720 ± 12 | 12,744 ± 36 |
Disclaimer/Publisher’s Note: The statements, opinions and data contained in all publications are solely those of the individual author(s) and contributor(s) and not of MDPI and/or the editor(s). MDPI and/or the editor(s) disclaim responsibility for any injury to people or property resulting from any ideas, methods, instructions or products referred to in the content. |
© 2023 by the authors. Licensee MDPI, Basel, Switzerland. This article is an open access article distributed under the terms and conditions of the Creative Commons Attribution (CC BY) license (https://creativecommons.org/licenses/by/4.0/).
Share and Cite
Al-Bedak, O.A.-H.M.; Moharram, A.M.; Hussein, N.A.-G.; Taha, D.M.; Stephenson, S.L.; Ameen, F. Microbial Exploitation of Feather Wastes for Sustainable Production of Keratinase and Collagenase Enzymes by Didymella keratinophila AUMC 15399 in Submerged Fermentation. Fermentation 2023, 9, 507. https://doi.org/10.3390/fermentation9060507
Al-Bedak OA-HM, Moharram AM, Hussein NA-G, Taha DM, Stephenson SL, Ameen F. Microbial Exploitation of Feather Wastes for Sustainable Production of Keratinase and Collagenase Enzymes by Didymella keratinophila AUMC 15399 in Submerged Fermentation. Fermentation. 2023; 9(6):507. https://doi.org/10.3390/fermentation9060507
Chicago/Turabian StyleAl-Bedak, Osama Abdel-Hafeez Mohamed, Ahmed Mohamed Moharram, Nemmat Abdel-Gawad Hussein, Doaa Mohamed Taha, Steven L. Stephenson, and Fuad Ameen. 2023. "Microbial Exploitation of Feather Wastes for Sustainable Production of Keratinase and Collagenase Enzymes by Didymella keratinophila AUMC 15399 in Submerged Fermentation" Fermentation 9, no. 6: 507. https://doi.org/10.3390/fermentation9060507
APA StyleAl-Bedak, O. A.-H. M., Moharram, A. M., Hussein, N. A.-G., Taha, D. M., Stephenson, S. L., & Ameen, F. (2023). Microbial Exploitation of Feather Wastes for Sustainable Production of Keratinase and Collagenase Enzymes by Didymella keratinophila AUMC 15399 in Submerged Fermentation. Fermentation, 9(6), 507. https://doi.org/10.3390/fermentation9060507

