Design-of-Experiment-Guided Establishment of a Fermentative Bioprocess for Biomass-Bound Astaxanthin with Corynebacterium glutamicum
Abstract
1. Introduction
2. Materials and Methods
2.1. Preculture Conditions
2.2. Fermentative Production
2.2.1. Batch Conditions
2.2.2. Fed-Batch Conditions
2.3. Quantification of Carotenoids, Carbohydrates and Organic Acids
2.4. Design of Experiments Setup and Statistical Analysis
3. Results
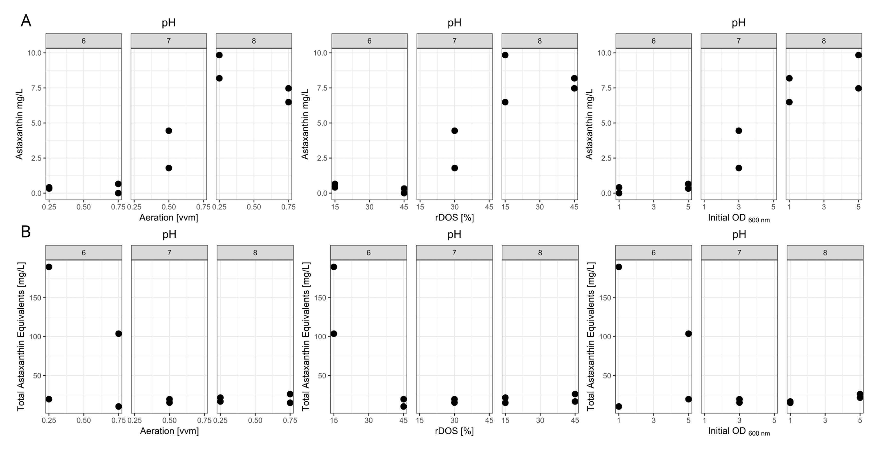
3.1. Design of Experiments for rDOS, Aeration Rate, Initial OD600nm and pH
3.2. Validation of Optimal Batch Fermentation Conditions
3.2.1. Further Analysis of the Influence of the Aeration Rate on Astaxanthin Production in Batch Cultivation
3.2.2. Validation of pH 8 as Setpoint for Optimal Astaxanthin Production in Batch Cultivation
3.2.3. pH-Shift Experiments in Late Exponential Phase Indicate Different pH Optima for Astaxanthin Biosynthesis and Its Precursor Biosynthesis
3.3. Transfer of Optimized Batch Bioprocess Conditions to Fed-Batch Bioprocess Accelerated Astaxanthin Production
4. Discussion
Supplementary Materials
Author Contributions
Funding
Institutional Review Board Statement
Informed Consent Statement
Data Availability Statement
Acknowledgments
Conflicts of Interest
References
- Naguib, Y.M.A. Antioxidant Activities of Astaxanthin and Related Carotenoids. J. Agric. Food Chem. 2000, 48, 1150–1154. [Google Scholar] [CrossRef] [PubMed]
- Dose, J.; Matsugo, S.; Yokokawa, H.; Koshida, Y.; Okazaki, S.; Seidel, U.; Eggersdorfer, M.; Rimbach, G.; Esatbeyoglu, T. Free Radical Scavenging and Cellular Antioxidant Properties of Astaxanthin. Int. J. Mol. Sci. 2016, 17, 10103. [Google Scholar] [CrossRef] [PubMed]
- Pereira da Costa, D.; Campos Miranda-Filho, K. The Use of Carotenoid Pigments as Food Additives for Aquatic Organisms and Their Functional Roles. Rev. Aquac. 2020, 12, 1567–1578. [Google Scholar] [CrossRef]
- Zhang, L.; Wang, H. Multiple Mechanisms of Anti-Cancer Effects Exerted by Astaxanthin. Mar. Drugs 2015, 13, 4310–4330. [Google Scholar] [CrossRef] [PubMed]
- Chang, M.X.; Xiong, F. Astaxanthin and Its Effects in Inflammatory Responses and Inflammation-Associated Diseases: Recent Advances and Future Directions. Molecules 2020, 25, 5342. [Google Scholar] [CrossRef]
- Giannaccare, G.; Pellegrini, M.; Senni, C.; Bernabei, F.; Scorcia, V.; Cicero, A.F.G. Clinical Applications of Astaxanthin in the Treatment of Ocular Diseases: Emerging Insights. Mar. Drugs 2020, 18, 239. [Google Scholar] [CrossRef]
- Pereira, C.P.M.; Souza, A.C.R.; Vasconcelos, A.R.; Prado, P.S.; Name, J.J. Antioxidant and Anti-inflammatory Mechanisms of Action of Astaxanthin in Cardiovascular Diseases (Review). Int. J. Mol. Med. 2021, 47, 37–48. [Google Scholar] [CrossRef]
- Li, J.; Guo, C.; Wu, J. Astaxanthin in Liver Health and Disease: A Potential Therapeutic Agent. Drug Des. Dev. Ther. 2020, 14, 2275–2285. [Google Scholar] [CrossRef]
- Oliyaei, N.; Moosavi-Nasab, M.; Tanideh, N.; Iraji, A. Multiple Roles of Fucoxanthin and Astaxanthin against Alzheimer’s Disease: Their Pharmacological Potential and Therapeutic Insights. Brain Res. Bull. 2023, 193, 11–21. [Google Scholar] [CrossRef]
- Shen, D.-F.; Qi, H.-P.; Ma, C.; Chang, M.-X.; Zhang, W.-N.; Song, R.-R. Astaxanthin Suppresses Endoplasmic Reticulum Stress and Protects against Neuron Damage in Parkinson’s Disease by Regulating miR-7/SNCA Axis. Neurosci. Res. 2021, 165, 51–60. [Google Scholar] [CrossRef]
- Grand-View-Research Astaxanthin Market Size, Share & Trends Analysis Report By Product (Oil, Softgel, Liquid), By Source (Natural, Synthetic), By Application (Aquaculture & Animal Feed, Nutraceuticals), By Region, And Segment Forecasts, 2021–2028. 2021. Available online: https://www.grandviewresearch.com/industry-analysis/global-astaxanthin-market (accessed on 2 June 2023).
- Lim, K.C.; Yusoff, F.M.; Shariff, M.; Kamarudin, M.S. Astaxanthin as Feed Supplement in Aquatic Animals. Rev. Aquac. 2018, 10, 738–773. [Google Scholar] [CrossRef]
- Butler, T.; Golan, Y. Astaxanthin Production from Microalgae. In Microalgae Biotechnology for Food, Health and High Value Products; Alam, M.A., Xu, J.-L., Wang, Z., Eds.; Springer: Singapore, 2020; pp. 175–242. ISBN 9789811501692. [Google Scholar]
- Stachowiak, B.; Szulc, P. Astaxanthin for the Food Industry. Molecules 2021, 26, 2666. [Google Scholar] [CrossRef] [PubMed]
- Ma, Y.; Li, J.; Huang, S.; Stephanopoulos, G. Targeting Pathway Expression to Subcellular Organelles Improves Astaxanthin Synthesis in Yarrowia lipolytica. Metab. Eng. 2021, 68, 152–161. [Google Scholar] [CrossRef]
- Tramontin, L.R.R.; Kildegaard, K.R.; Sudarsan, S.; Borodina, I. Enhancement of Astaxanthin Biosynthesis in Oleaginous Yeast Yarrowia lipolytica via Microalgal Pathway. Microorganisms 2019, 7, 472. [Google Scholar] [CrossRef] [PubMed]
- Jiang, G.; Yang, Z.; Wang, Y.; Yao, M.; Chen, Y.; Xiao, W.; Yuan, Y. Enhanced Astaxanthin Production in Yeast via Combined Mutagenesis and Evolution. Biochem. Eng. J. 2020, 156, 107519. [Google Scholar] [CrossRef]
- Hayashi, M.; Ishibashi, T.; Kuwahara, D.; Hirasawa, K. Commercial Production of Astaxanthin with Paracoccus carotinifaciens. In Carotenoids: Biosynthetic and Biofunctional Approaches; Misawa, N., Ed.; Advances in Experimental Medicine and Biology; Springer: Singapore, 2021; pp. 11–20. ISBN 9789811573606. [Google Scholar]
- Park, S.Y.; Binkley, R.M.; Kim, W.J.; Lee, M.H.; Lee, S.Y. Metabolic Engineering of Escherichia coli for High-Level Astaxanthin Production with High Productivity. Metab. Eng. 2018, 49, 105–115. [Google Scholar] [CrossRef] [PubMed]
- Zhang, C.; Seow, V.Y.; Chen, X.; Too, H.-P. Multidimensional Heuristic Process for High-Yield Production of Astaxanthin and Fragrance Molecules in Escherichia coli. Nat. Commun. 2018, 9, 1858. [Google Scholar] [CrossRef]
- Henke, N.A.; Wendisch, V.F. Improved Astaxanthin Production with Corynebacterium glutamicum by Application of a Membrane Fusion Protein. Mar. Drugs 2019, 17, 621. [Google Scholar] [CrossRef]
- Seeger, J.; Wendisch, V.F.; Henke, N.A. Extraction and Purification of Highly Active Astaxanthin from Corynebacterium glutamicum Fermentation Broth. Mar. Drugs 2023, 21, 530. [Google Scholar] [CrossRef]
- Krubasik, P.; Takaichi, S.; Maoka, T.; Kobayashi, M.; Masamoto, K.; Sandmann, G. Detailed Biosynthetic Pathway to Decaprenoxanthin Diglucoside in Corynebacterium glutamicum and Identification of Novel Intermediates. Arch. Microbiol. 2001, 176, 217–223. [Google Scholar] [CrossRef]
- Li, C.; Swofford, C.A.; Rückert, C.; Chatzivasileiou, A.O.; Ou, R.W.; Opdensteinen, P.; Luttermann, T.; Zhou, K.; Stephanopoulos, G.; Jones Prather, K.L.; et al. Heterologous Production of α-Carotene in Corynebacterium glutamicum Using a Multi-Copy Chromosomal Integration Method. Bioresour. Technol. 2021, 341, 125782. [Google Scholar] [CrossRef] [PubMed]
- Henke, N.A.; Heider, S.A.E.; Hannibal, S.; Wendisch, V.F.; Peters-Wendisch, P. Isoprenoid Pyrophosphate-Dependent Transcriptional Regulation of Carotenogenesis in Corynebacterium glutamicum. Front. Microbiol. 2017, 8, 633. [Google Scholar] [CrossRef] [PubMed]
- Henke, N.A.; Heider, S.; Peters-Wendisch, P.; Wendisch, V. Production of the Marine Carotenoid Astaxanthin by Metabolically Engineered Corynebacterium glutamicum. Mar. Drugs 2016, 14, 124. [Google Scholar] [CrossRef] [PubMed]
- Kang, M.-K.; Eom, J.-H.; Kim, Y.; Um, Y.; Woo, H.M. Biosynthesis of Pinene from Glucose Using Metabolically-Engineered Corynebacterium glutamicum. Biotechnol. Lett. 2014, 36, 2069–2077. [Google Scholar] [CrossRef]
- Ravikumar, S.; Woo, H.M.; Choi, J.-I. Analysis of Novel Antioxidant Sesquarterpenes (C35 Terpenes) Produced in Recombinant Corynebacterium glutamicum. Appl. Biochem. Biotechnol. 2018, 186, 525–534. [Google Scholar] [CrossRef]
- Lim, H.; Park, J.; Woo, H.M. Overexpression of the Key Enzymes in the Methylerythritol 4-Phosphate Pathway in Corynebacterium glutamicum for Improving Farnesyl Diphosphate-Derived Terpene Production. J. Agric. Food Chem. 2020, 68, 10780–10786. [Google Scholar] [CrossRef]
- Henke, N.A.; Austermeier, S.; Grothaus, I.L.; Götker, S.; Persicke, M.; Peters-Wendisch, P.; Wendisch, V.F. Corynebacterium glutamicum CrtR and Its Orthologs in Actinobacteria: Conserved Function and Application as Genetically Encoded Biosensor for Detection of Geranylgeranyl Pyrophosphate. Int. J. Mol. Sci. 2020, 21, 5482. [Google Scholar] [CrossRef]
- Göttl, V.L.; Pucker, B.; Wendisch, V.F.; Henke, N.A. Screening of Structurally Distinct Lycopene β-Cyclases for Production of the Cyclic C40 Carotenoids β-Carotene and Astaxanthin by Corynebacterium glutamicum. J. Agric. Food Chem. 2023, 71, 7765–7776. [Google Scholar] [CrossRef] [PubMed]
- Göttl, V.L.; Schmitt, I.; Braun, K.; Peters-Wendisch, P.; Wendisch, V.F.; Henke, N.A. CRISPRi-Library-Guided Target Identification for Engineering Carotenoid Production by Corynebacterium glutamicum. Microorganisms 2021, 9, 670. [Google Scholar] [CrossRef] [PubMed]
- Henke, N.A.; Wiebe, D.; Pérez-García, F.; Peters-Wendisch, P.; Wendisch, V.F. Coproduction of Cell-Bound and Secreted Value-Added Compounds: Simultaneous Production of Carotenoids and Amino Acids by Corynebacterium glutamicum. Bioresour. Technol. 2018, 247, 744–752. [Google Scholar] [CrossRef] [PubMed]
- Schmitt, I.; Meyer, F.; Krahn, I.; Henke, N.A.; Peters-Wendisch, P.; Wendisch, V.F. From Aquaculture to Aquaculture: Production of the Fish Feed Additive Astaxanthin by Corynebacterium glutamicum Using Aquaculture Sidestream. Molecules 2023, 28, 1996. [Google Scholar] [CrossRef] [PubMed]
- Liu, J.; Xu, J.-Z.; Rao, Z.-M.; Zhang, W.-G. Industrial Production of L-Lysine in Corynebacterium glutamicum: Progress and Prospects. Microbiol. Res. 2022, 262, 127101. [Google Scholar] [CrossRef]
- Hirasawa, T.; Wachi, M. Glutamate Fermentation-2: Mechanism of l-Glutamate Overproduction in Corynebacterium glutamicum. In Amino Acid Fermentation; Yokota, A., Ikeda, M., Eds.; Advances in Biochemical Engineering/Biotechnology; Springer: Tokyo, Japan, 2017; pp. 57–72. ISBN 978-4-431-56520-8. [Google Scholar]
- Kircher, M.; Pfefferle, W. The Fermentative Production of L-Lysine as an Animal Feed Additive. Chemosphere 2001, 43, 27–31. [Google Scholar] [CrossRef] [PubMed]
- Kiefer, D.; Merkel, M.; Lilge, L.; Hausmann, R.; Henkel, M. High Cell Density Cultivation of Corynebacterium glutamicum on Bio-Based Lignocellulosic Acetate Using pH-Coupled Online Feeding Control. Bioresour. Technol. 2021, 340, 125666. [Google Scholar] [CrossRef]
- Knoll, A.; Bartsch, S.; Husemann, B.; Engel, P.; Schroer, K.; Ribeiro, B.; Stöckmann, C.; Seletzky, J.; Büchs, J. High Cell Density Cultivation of Recombinant Yeasts and Bacteria under Non-Pressurized and Pressurized Conditions in Stirred Tank Bioreactors. J. Biotechnol. 2007, 132, 167–179. [Google Scholar] [CrossRef]
- Kiefer, D.; Tadele, L.R.; Lilge, L.; Henkel, M.; Hausmann, R. High-Level Recombinant Protein Production with Corynebacterium glutamicum Using Acetate as Carbon Source. Microb. Biotechnol. 2022, 15, 2744–2757. [Google Scholar] [CrossRef]
- Schewe, H.; Kreutzer, A.; Schmidt, I.; Schubert, C.; Schrader, J. High Concentrations of Biotechnologically Produced Astaxanthin by Lowering pH in a Phaffia rhodozyma Bioprocess. Biotechnol. Bioproc. E 2017, 22, 319–326. [Google Scholar] [CrossRef]
- Mandenius, C.-F.; Brundin, A. Bioprocess Optimization Using Design-of-Experiments Methodology. Biotechnol. Prog. 2008, 24, 1191–1203. [Google Scholar] [CrossRef]
- Park, P.K.; Cho, D.H.; Kim, E.Y.; Chu, K.H. Optimization of Carotenoid Production by Rhodotorula glutinis Using Statistical Experimental Design. World J. Microbiol. Biotechnol. 2005, 21, 429–434. [Google Scholar] [CrossRef]
- Prell, C.; Burgardt, A.; Meyer, F.; Wendisch, V.F. Fermentative Production of L-2-Hydroxyglutarate by Engineered Corynebacterium glutamicum via Pathway Extension of L-Lysine Biosynthesis. Front. Bioeng. Biotechnol. 2021, 8, 630476. [Google Scholar] [CrossRef]
- Pérez-Rodríguez, N.; Pinheiro de Souza Oliveira, R.; Torrado Agrasar, A.M.; Domínguez, J.M. Ferulic Acid Transformation into the Main Vanilla Aroma Compounds by Amycolatopsis sp. ATCC 39116. Appl. Microbiol. Biotechnol. 2016, 100, 1677–1689. [Google Scholar] [CrossRef] [PubMed]
- Follmann, M.; Ochrombel, I.; Krämer, R.; Trötschel, C.; Poetsch, A.; Rückert, C.; Hüser, A.; Persicke, M.; Seiferling, D.; Kalinowski, J.; et al. Functional Genomics of pH Homeostasis in Corynebacterium glutamicum Revealed Novel Links between pH Response, Oxidative Stress, Iron Homeostasis and Methionine Synthesis. BMC Genom. 2009, 10, 621. [Google Scholar] [CrossRef]
- Bertani, G. STUDIES ON LYSOGENESIS I: The Mode of Phage Liberation by Lysogenic Escherichia coli. J. Bacteriol. 1951, 62, 293–300. [Google Scholar] [CrossRef] [PubMed]
- Eggeling, L.; Reyes, O. Experiments. In Handbook of Corynebacterium glutamicum; CRC Press: Boca Raton, FL, USA, 2005; pp. 3535–3566. [Google Scholar]
- Henke, N.A.; Frohwitter, J.; Peters-Wendisch, P.; Wendisch, V.F. Carotenoid Production by Recombinant Corynebacterium glutamicum: Strain Construction, Cultivation, Extraction, and Quantification of Carotenoids and Terpenes. In Microbial Carotenoids: Methods and Protocols; Barreiro, C., Barredo, J.-L., Eds.; Methods in Molecular Biology; Springer: New York, NY, USA, 2018; pp. 127–141. ISBN 978-1-4939-8742-9. [Google Scholar]
- Lenth, R.V. Response-Surface Methods in R, Using Rsm. J. Stat. Softw. 2010, 32, 1–17. [Google Scholar] [CrossRef]
- Lenth, R. Response-Surface Analysis. 2021. Available online: https://cran.r-project.org/package=rsm (accessed on 10 November 2023).
- Jakob, K.; Satorhelyi, P.; Lange, C.; Wendisch, V.F.; Silakowski, B.; Scherer, S.; Neuhaus, K. Gene Expression Analysis of Corynebacterium glutamicum Subjected to Long-Term Lactic Acid Adaptation. J. Bacteriol. 2007, 189, 5582–5590. [Google Scholar] [CrossRef][Green Version]
- Täuber, S.; Blöbaum, L.; Wendisch, V.F.; Grünberger, A. Growth Response and Recovery of Corynebacterium glutamicum Colonies on Single-Cell Level Upon Defined pH Stress Pulses. Front. Microbiol. 2021, 12, 711893. [Google Scholar]
- Lu, Q.; Liu, J.-Z. Enhanced Astaxanthin Production in Escherichia coli via Morphology and Oxidative Stress Engineering. J. Agric. Food Chem. 2019, 67, 11703–11709. [Google Scholar] [CrossRef]
- Cho, J.-C.; Giovannoni, S.J. Fulvimarina pelagi gen. nov., sp. nov., a Marine Bacterium That Forms a Deep Evolutionary Lineage of Descent in the Order “Rhizobiales”. Int. J. Syst. Evol. Microbiol. 2003, 53, 1853–1859. [Google Scholar] [CrossRef]
- Lajoie, C.A.; Kitner, J.B.; Potochnik, S.J.; Townsend, J.M.; Beatty, C.C.; Kelly, C.J. Cloning, Expression and Characterization of Xylose Isomerase from the Marine Bacterium Fulvimarina pelagi in Escherichia coli. Biotechnol. Prog. 2016, 32, 1230–1237. [Google Scholar] [CrossRef]
- Garcia-Soto, C.; Cheng, L.; Caesar, L.; Schmidtko, S.; Jewett, E.B.; Cheripka, A.; Rigor, I.; Caballero, A.; Chiba, S.; Báez, J.C.; et al. An Overview of Ocean Climate Change Indicators: Sea Surface Temperature, Ocean Heat Content, Ocean pH, Dissolved Oxygen Concentration, Arctic Sea Ice Extent, Thickness and Volume, Sea Level and Strength of the AMOC (Atlantic Meridional Overturning Circulation). Front. Mar. Sci. 2021, 8, 642372. [Google Scholar]
- Fraser, P.D.; Miura, Y.; Misawa, N. In Vitro Characterization of Astaxanthin Biosynthetic Enzymes *. J. Biol. Chem. 1997, 272, 6128–6135. [Google Scholar] [CrossRef]
- Bouvier, F.; Keller, Y.; d’Harlingue, A.; Camara, B. Xanthophyll Biosynthesis: Molecular and Functional Characterization of Carotenoid Hydroxylases from Pepper Fruits (Capsicum annuum L.). Biochim. Biophys. Acta 1998, 1391, 320–328. [Google Scholar] [CrossRef]
- Hirasawa, K.; Yoneda, H.; Yata, T.; Azuma, M. Method for Producing Astaxanthin by Fermentation 2013. US patent US20130012594A1, 22 December 2014. [Google Scholar]
- Zhang, M.; Gong, Z.; Tang, J.; Lu, F.; Li, Q.; Zhang, X. Improving Astaxanthin Production in Escherichia coli by Co-Utilizing CrtZ Enzymes with Different Substrate Preference. Microb. Cell Factories 2022, 21, 71. [Google Scholar] [CrossRef]
- Gong, Z.; Wang, H.; Tang, J.; Bi, C.; Li, Q.; Zhang, X. Coordinated Expression of Astaxanthin Biosynthesis Genes for Improved Astaxanthin Production in Escherichia Coli. J. Agric. Food Chem. 2020, 68, 14917–14927. [Google Scholar] [CrossRef]
- Kwak, H.S.; Kim, J.Y.H.; Sim, S.J. A Microreactor System for Cultivation of Haematococcus pluvialis and Astaxanthin Production. J. Nanosci. Nanotechnol. 2015, 15, 1618–1623. [Google Scholar] [CrossRef] [PubMed]
- Ahmad, M.N.; Holland, C.R.; McKay, G. Mass Transfer Studies in Batch Fermentation: Mixing Characteristics. J. Food Eng. 1994, 23, 145–158. [Google Scholar] [CrossRef]
- Nyiri, L.; Lengyel, Z.L. Studies on Ventilation of Culture Broths. I. Behavior of CO2 in Model Systems. Biotechnol. Bioeng. 1968, 10, 133–150. [Google Scholar] [CrossRef]
- Royce, P.N.C.; Thornhill, N.F. Estimation of Dissolved Carbon Dioxide Concentrations in Aerobic Fermentations. AIChE J. 1991, 37, 1680–1686. [Google Scholar] [CrossRef]
- Bäumchen, C.; Knoll, A.; Husemann, B.; Seletzky, J.; Maier, B.; Dietrich, C.; Amoabediny, G.; Büchs, J. Effect of Elevated Dissolved Carbon Dioxide Concentrations on Growth of Corynebacterium glutamicum on D-Glucose and L-Lactate. J. Biotechnol. 2007, 128, 868–874. [Google Scholar] [CrossRef]
- Buchholz, J.; Graf, M.; Freund, A.; Busche, T.; Kalinowski, J.; Blombach, B.; Takors, R. CO2/HCO3− Perturbations of Simulated Large Scale Gradients in a Scale-down Device Cause Fast Transcriptional Responses in Corynebacterium glutamicum. Appl. Microbiol. Biotechnol. 2014, 98, 8563–8572. [Google Scholar] [CrossRef]
- Blombach, B.; Buchholz, J.; Busche, T.; Kalinowski, J.; Takors, R. Impact of Different CO2/HCO3− Levels on Metabolism and Regulation in Corynebacterium glutamicum. J. Biotechnol. 2013, 168, 331–340. [Google Scholar] [CrossRef]
- Müller, F.; Rapp, J.; Hacker, A.-L.; Feith, A.; Takors, R.; Blombach, B. CO2/HCO3− Accelerates Iron Reduction through Phenolic Compounds. mBio 2020, 11, e00085-20. [Google Scholar] [CrossRef]
- Zepeck, F.; Gräwert, T.; Kaiser, J.; Schramek, N.; Eisenreich, W.; Bacher, A.; Rohdich, F. Biosynthesis of Isoprenoids. Purification and Properties of IspG Protein from Escherichia Coli. J. Org. Chem. 2005, 70, 9168–9174. [Google Scholar] [CrossRef] [PubMed]
- Rückert, C.; Koch, D.J.; Rey, D.A.; Albersmeier, A.; Mormann, S.; Pühler, A.; Kalinowski, J. Functional Genomics and Expression Analysis of the Corynebacterium glutamicum fpr2-cysIXHDNYZ Gene Cluster Involved in Assimilatory Sulphate Reduction. BMC Genom. 2005, 6, 121. [Google Scholar] [CrossRef]
- Isenschmid, A.; Marison, I.W.; von Stockar, U. The Influence of Pressure and Temperature of Compressed CO2 on the Survival of Yeast Cells. J. Biotechnol. 1995, 39, 229–237. [Google Scholar] [CrossRef]
- Seel, W.; Baust, D.; Sons, D.; Albers, M.; Etzbach, L.; Fuss, J.; Lipski, A. Carotenoids Are Used as Regulators for Membrane Fluidity by Staphylococcus Xylosus. Sci. Rep. 2020, 10, 330. [Google Scholar] [CrossRef]
- Wu, T.; Ye, L.; Zhao, D.; Li, S.; Li, Q.; Zhang, B.; Bi, C.; Zhang, X. Membrane Engineering—A Novel Strategy to Enhance the Production and Accumulation of β-Carotene in Escherichia coli. Metab. Eng. 2017, 43, 85–91. [Google Scholar] [CrossRef]
- Follonier, S.; Escapa, I.F.; Fonseca, P.M.; Henes, B.; Panke, S.; Zinn, M.; Prieto, M.A. New Insights on the Reorganization of Gene Transcription in Pseudomonas putida KT2440 at Elevated Pressure. Microb. Cell Factories 2013, 12, 30. [Google Scholar] [CrossRef] [PubMed]
- Dixon, N.M.; Kell, D.B. The Inhibition by CO2 of the Growth and Metabolism of Micro-Organisms. J. Appl. Bacteriol. 1989, 67, 109–136. [Google Scholar] [CrossRef] [PubMed]
- Basiony, M.; Ouyang, L.; Wang, D.; Yu, J.; Zhou, L.; Zhu, M.; Wang, X.; Feng, J.; Dai, J.; Shen, Y.; et al. Optimization of Microbial Cell Factories for Astaxanthin Production: Biosynthesis and Regulations, Engineering Strategies and Fermentation Optimization Strategies. Synth. Syst. Biotechnol. 2022, 7, 689–704. [Google Scholar] [CrossRef]
- Ramírez, J.; Gutierrez, H.; Gschaedler, A. Optimization of Astaxanthin Production by Phaffia rhodozyma through Factorial Design and Response Surface Methodology. J. Biotechnol. 2001, 88, 259–268. [Google Scholar] [CrossRef] [PubMed]
- Carsanba, E.; Pintado, M.; Oliveira, C. Fermentation Strategies for Production of Pharmaceutical Terpenoids in Engineered Yeast. Pharmaceuticals 2021, 14, 295. [Google Scholar] [CrossRef] [PubMed]
- Morschett, H.; Jansen, R.; Neuendorf, C.; Moch, M.; Wiechert, W.; Oldiges, M. Parallelized Microscale Fed-Batch Cultivation in Online-Monitored Microtiter Plates: Implications of Media Composition and Feed Strategies for Process Design and Performance. J. Ind. Microbiol. Biotechnol. 2020, 47, 35–47. [Google Scholar] [CrossRef] [PubMed]
- Jia, D.; Xu, S.; Sun, J.; Zhang, C.; Li, D.; Lu, W. Yarrowia lipolytica Construction for Heterologous Synthesis of α-Santalene and Fermentation Optimization. Appl. Microbiol. Biotechnol. 2019, 103, 3511–3520. [Google Scholar] [CrossRef] [PubMed]
- Chang, H.N.; Kim, N.-J.; Kang, J.; Jeong, C.M.; Choi, J.; Fei, Q.; Kim, B.J.; Kwon, S.; Lee, S.Y.; Kim, J. Multi-Stage High Cell Continuous Fermentation for High Productivity and Titer. Bioprocess. Biosyst. Eng. 2011, 34, 419–431. [Google Scholar] [CrossRef]
- Gupta, V.; Odaneth, A.A.; Lali Arvind, M. High Cell Density Continuous Fermentation for L-Lactic Acid Production from Cane Molasses. Prep. Biochem. Biotechnol. 2023, 53, 1043–1057. [Google Scholar] [CrossRef]
- Mei, Y.; Yang, Z.; Kang, Z.; Yu, F.; Long, X. Enhanced Surfactin Fermentation via Advanced Repeated Fed-Batch Fermentation with Increased Cell Density Stimulated by EDTA–Fe (II). Food Bioprod. Process. 2021, 127, 288–294. [Google Scholar] [CrossRef]
- Riesenberg, D.; Guthke, R. High-Cell-Density Cultivation of Microorganisms. Appl. Microbiol. Biotechnol. 1999, 51, 422–430. [Google Scholar] [CrossRef]
- Neubauer, P.; Junne, S. Scale-Up and Scale-Down Methodologies for Bioreactors. In Bioreactors; John Wiley & Sons, Ltd.: Hoboken, NJ, USA, 2016; pp. 323–354. ISBN 978-3-527-68336-9. [Google Scholar]





| Modified Parameter | Level | ||
|---|---|---|---|
| −1 | 0 | +1 | |
| Aeration [vvm] | 0.25 | 0.5 | 0.75 |
| Initial OD600nm [–] | 1 | 3 | 5 |
| pH [–] | 6 | 7 | 8 |
| rDOS [%] | 15 | 30 | 45 |
| Run | rDOS [%] | Aeration Rate [vvm] | Initial OD600nm | pH | Astaxanthin Titer [mg L−1] | Total Carotenoids as Astaxanthin Equivalents [mg L−1] | Max. CDW [g L−1] |
|---|---|---|---|---|---|---|---|
| 1 | 30 | 0.50 | 3 | 7 | 1.79 | 19.57 | 13 |
| 2 | 15 | 0.75 | 5 | 6 | 0.66 | 103.71 | 5.25 |
| 3 | 45 | 0.25 | 1 | 8 | 8.19 | 16.67 | 9.5 |
| 4 | 45 | 0.75 | 5 | 8 | 7.47 | 26.20 | 9.25 |
| 5 | 15 | 0.25 | 5 | 8 | 9.84 | 21.62 | 10.25 |
| 6 | 45 | 0.25 | 5 | 6 | 0.33 | 19.65 | 7 |
| 7 | 30 | 0.50 | 3 | 7 | 4.45 | 15.24 | 8 |
| 8 | 15 | 0.25 | 1 | 6 | 0.41 | 189.77 | 12.25 |
| 9 | 15 | 0.75 | 1 | 8 | 6.49 | 14.95 | 8.5 |
| 10 | 45 | 0.75 | 1 | 6 | n.d. | 10.20 | 4.25 |
| Total Carotenoids | Astaxanthin | |||
|---|---|---|---|---|
| Prob > t | t-value | Prob > t | t-value | Source |
| 0.36 | −1.03 | 0.29 | −1.17 | Aeration |
| 0.54 | −0.67 | 0.41 | 0.91 | Initial OD600nm |
| 0.05 | −2.72 | <0.001 | 8.64 | pH |
| 0.05 | −2.87 | 0.71 | −0.4 | rDOS |
| 0.04 | 3.01 | pH * rDOS/Aeration * Initial OD600nm | ||
| Prob > F | F-value | Prob > F | F-value | |
| 0.09 | 4.28 | <0.01 | 19.24 | 1st order |
| 0.04 | 9.03 | 2nd order | ||
| 0.06 | 142.89 | 0.86 | 0.3 | Lack of fit |
| 0.7 | 0.89 | Adjusted R2 | ||
| Variable | t-Value (ANOVA) | p-Value (Data Points at pH 8) | Output |
|---|---|---|---|
| pH | <0.001 | - | Optimum at pH 8 |
| Aeration rate | 0.29 | 0.17 | Setpoint at 0.25 vvm as no significance detected |
| Initial OD600nm | 0.41 | 0.46 | Setpoint at 1 as no significance detected |
| rDOS | 0.71 | 0.86 | Setpoint set to 30% as no significant effect detected |
Disclaimer/Publisher’s Note: The statements, opinions and data contained in all publications are solely those of the individual author(s) and contributor(s) and not of MDPI and/or the editor(s). MDPI and/or the editor(s) disclaim responsibility for any injury to people or property resulting from any ideas, methods, instructions or products referred to in the content. |
© 2023 by the authors. Licensee MDPI, Basel, Switzerland. This article is an open access article distributed under the terms and conditions of the Creative Commons Attribution (CC BY) license (https://creativecommons.org/licenses/by/4.0/).
Share and Cite
Meyer, F.; Schmitt, I.; Schäffer, T.; Wendisch, V.F.; Henke, N.A. Design-of-Experiment-Guided Establishment of a Fermentative Bioprocess for Biomass-Bound Astaxanthin with Corynebacterium glutamicum. Fermentation 2023, 9, 969. https://doi.org/10.3390/fermentation9110969
Meyer F, Schmitt I, Schäffer T, Wendisch VF, Henke NA. Design-of-Experiment-Guided Establishment of a Fermentative Bioprocess for Biomass-Bound Astaxanthin with Corynebacterium glutamicum. Fermentation. 2023; 9(11):969. https://doi.org/10.3390/fermentation9110969
Chicago/Turabian StyleMeyer, Florian, Ina Schmitt, Thomas Schäffer, Volker F. Wendisch, and Nadja A. Henke. 2023. "Design-of-Experiment-Guided Establishment of a Fermentative Bioprocess for Biomass-Bound Astaxanthin with Corynebacterium glutamicum" Fermentation 9, no. 11: 969. https://doi.org/10.3390/fermentation9110969
APA StyleMeyer, F., Schmitt, I., Schäffer, T., Wendisch, V. F., & Henke, N. A. (2023). Design-of-Experiment-Guided Establishment of a Fermentative Bioprocess for Biomass-Bound Astaxanthin with Corynebacterium glutamicum. Fermentation, 9(11), 969. https://doi.org/10.3390/fermentation9110969

