- Article
Bacteriocin Production by Lactiplantibacillus plantarum LD1 in Solid-State Fermentation Using Lignocellulosic Substrates
- Pushpa Rani,
- Bijender Singh and
- Santosh Kumar Tiwari
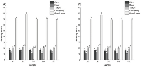
In this study, solid-state fermentation for growth and bacteriocin production by Lactiplantibacillus plantarum LD1 was carried out using wheat bran, a lignocellulosic substrate. This is the first report showing bacteriocin production using L. plantar...

