Analysis of Microbial Community Changes and Their Correlations with Volatile Flavouring Substances during Autonomous Fermentation of Western Sichuan Yi Suancai Based on High-Throughput Sequencing
Abstract
1. Introduction
2. Materials and Methods
2.1. Sample Collection
2.2. Raw Materials and Reagents
2.3. Measurement of Basic Physiological Indicators
2.3.1. Determination of pH Value
2.3.2. Determination of Reducing Capacity
2.3.3. Determination of Hydroxyl Radical and Superoxide Anion Radical Scavenging Rates
2.3.4. Determination of DPPH and ABTS Radical Scavenging Rates
2.4. Determination of Organic Acids
2.5. Analysis of Volatile Compounds
2.6. Metagenomic DNA Extraction, Amplification, and Sequencing
2.7. Data Analysis
3. Results and Discussion
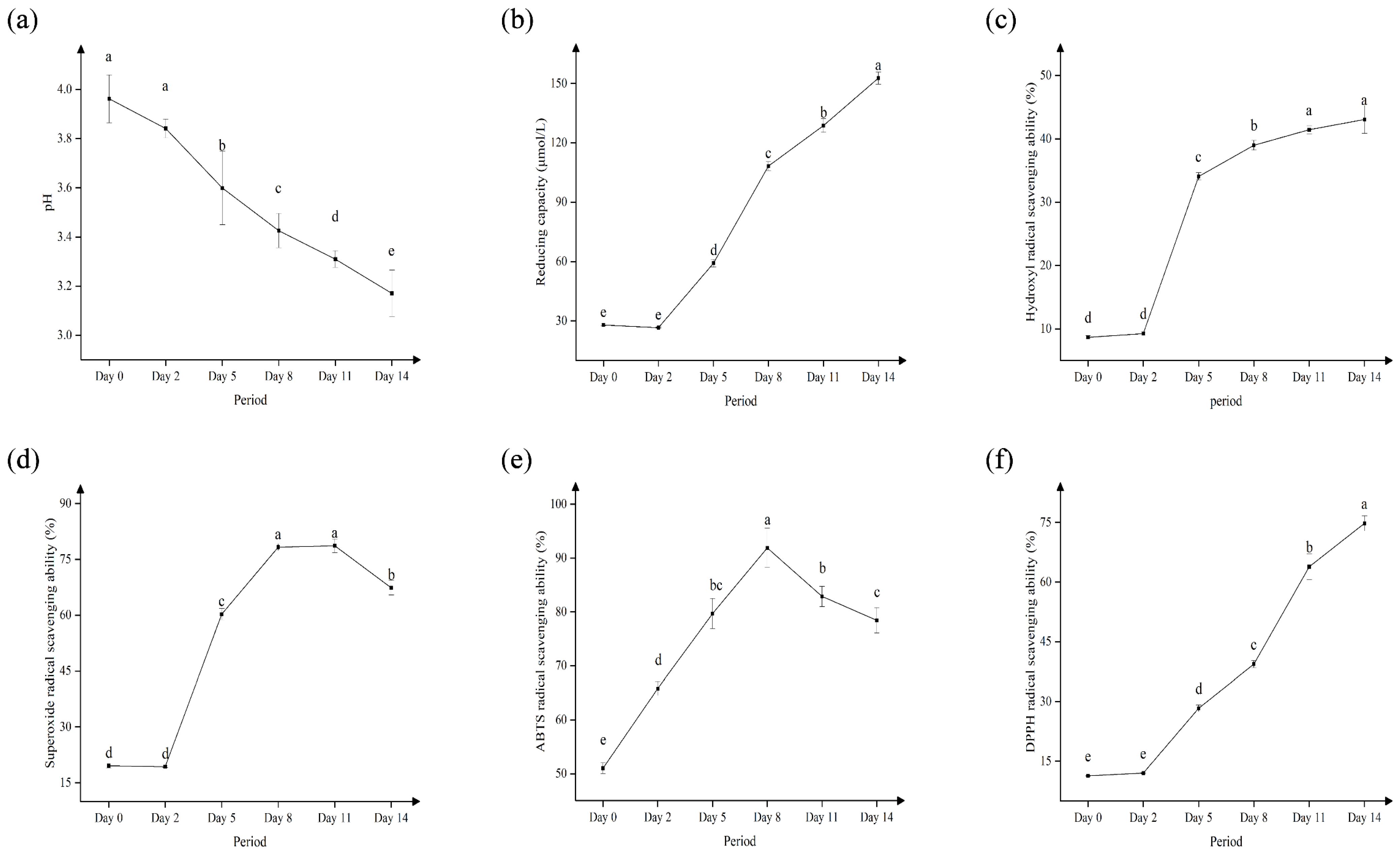
3.1. Dynamic Changes in Physicochemical Indicators during Fermentation of Western Sichuan Yi Suancai
3.2. Dynamic Changes in Organic Acids during Fermentation of Suancai of the Western Sichuan Yi Tribe
3.3. Dynamic Changes in Flavour Substances during the Fermentation Process of Western Sichuan Yi Suancai
3.4. Dynamic Changes in Microbial Community Structure during Fermentation of Western Sichuan Yi Suancai
3.4.1. Dynamics of Bacterial Communities
3.4.2. Dynamics of Fungus Communities
3.5. Relevance Analysis
4. Conclusions
Supplementary Materials
Author Contributions
Funding
Institutional Review Board Statement
Informed Consent Statement
Data Availability Statement
Conflicts of Interest
References
- Ma, Q.; Zhu, Y.-T.; Li, Y.-D.; Zhang, Z.-L.; Huang, J.; Zuo, Y. Quantification of heavy metals and health risk assessment in Sichuan pickle. J. Food Sci. 2022, 87, 2229–2244. [Google Scholar] [CrossRef] [PubMed]
- Rao, Y.; Qian, Y.; Tao, Y.; She, X.; Li, Y.; Che, Z.; Li, H.; Liu, L. Influence of oxygen exposure on fermentation process and sensory qualities of Sichuan pickle (paocai). RSC Adv. 2019, 9, 38520–38530. [Google Scholar] [CrossRef] [PubMed]
- Zhao, M.; Cao, X.; Wu, Y.; Zou, S.; Li, Z.; Lin, X.; Ji, C.; Dong, L.; Zhang, S.; Yu, C.; et al. Effects of prebiotics on the fermentation of traditional suancai of Northeast China. Food Sci. Hum. Wellness 2024, 13, 1358–1367. [Google Scholar] [CrossRef]
- Song, G.; He, Z.; Wang, X.; Zhao, M.; Cao, X.; Lin, X.; Ji, C.; Zhang, S.; Liang, H. Improving the quality of Suancai by inoculating with Lactobacillus plantarum and Pediococcus pentosaceus. Food Res. Int. 2021, 148, 110581. [Google Scholar] [CrossRef] [PubMed]
- Cao, X.; Zhao, M.; Zou, S.; Li, Z.; Wu, Y.; Ji, C.; Chen, Y.; Dong, L.; Zhang, S.; Liang, H. Effect of Autochthonous Lactic Acid Bacteria-Enhanced Fermentation on the Quality of Suancai. Foods 2022, 11, 3310. [Google Scholar] [CrossRef] [PubMed]
- Xiong, S.; Xu, X.; Du, T.; Liu, Q.; Huang, T.; Ren, H.; Xiong, T.; Xie, M. Organic acids drove the microbiota succession and consequently altered the flavor quality of Laotan Suancai across fermentation rounds: Insights from the microbiome and metabolome. Food Chem. 2024, 450, 139335. [Google Scholar] [CrossRef] [PubMed]
- Liang, H.; He, Z.; Wang, X.; Song, G.; Chen, H.; Lin, X.; Ji, C.; Zhang, S. Bacterial profiles and volatile flavor compounds in commercial Suancai with varying salt concentration from Northeastern China. Food Res. Int. 2020, 137, 109384. [Google Scholar] [CrossRef] [PubMed]
- He, Z.; Chen, H.; Wang, X.; Lin, X.; Ji, C.; Li, S.; Liang, H. Effects of different temperatures on bacterial diversity and volatile flavor compounds during the fermentation of suancai, a traditional fermented vegetable food from northeastern China. LWT 2020, 118, 108773. [Google Scholar] [CrossRef]
- Xiao, M.; Huang, T.; Huang, C.; Hardie, J.; Peng, Z.; Xie, M.; Xiong, T. The microbial communities and flavour compounds of Jiangxi yancai, Sichuan paocai and Dongbei suancai: Three major types of traditional Chinese fermented vegetables. LWT 2020, 121, 108865. [Google Scholar] [CrossRef]
- Tu, C.; Yu, T.; Feng, S.; Xu, N.; Massawe, A.; Shui, S.; Zhang, B. Dynamics of microbial communities, flavor, and physicochemical properties of kombucha-fermented Sargassum fusiforme beverage during fermentation. LWT 2024, 192, 115729. [Google Scholar] [CrossRef]
- Zhou, H.; Wang, S.; Liu, W.; Chang, L.; Zhu, X.; Mu, G.; Qian, F. Probiotic properties of Lactobacillus paraplantarum LS-5 and its effect on antioxidant activity of fermented sauerkraut. Food Biosci. 2023, 52, 102489. [Google Scholar] [CrossRef]
- Zong, K.; Jin, F.; Wang, D.; Hu, H.; Cui, H.; Yang, J. Effects of different pickling methods on physicochemical properties and flavor profiles of Tongling white ginger: Dry-salting, brine-pickling, and inoculation-pickling. Food Sci. Nutr. 2024, 12, 2597–2610. [Google Scholar] [CrossRef] [PubMed]
- Luo, W.; Wu, W.; Du, X.; Yu, Y.; Wu, J.; Xu, Y.; Li, L. Regulation of the nitrite, biogenic amine and flavor quality of Cantonese pickle by selected lactic acid bacteria. Food Biosci. 2023, 53, 102554. [Google Scholar] [CrossRef]
- Wang, X.; Dang, C.; Liu, Y.; Ge, X.; Suo, R.; Ma, Q.; Wang, J. Effect of indigenous Saccharomyces cerevisiae strains on microbial community successions and volatile compounds changes during Longyan wine fermentation. Food Biosci. 2024, 57, 1272127. [Google Scholar] [CrossRef]
- Okoye, C.O.; Wang, Y.; Gao, L.; Wu, Y.; Li, X.; Sun, J.; Jiang, J. The performance of lactic acid bacteria in silage production: A review of modern biotechnology for silage improvement. Microbiol. Res. 2023, 266, 127212. [Google Scholar] [CrossRef]
- Zhao, N.; Ge, L.; Lai, H.; Wang, Y.; Mei, Y.; Huang, Y.; Zeng, X.; Su, Y.; Shi, Q.; Li, H.; et al. Unraveling the contribution of pre-salting duration to microbial succession and changes of volatile and non-volatile organic compounds in Suancai (a Chinese traditional fermented vegetable) during fermentation. Food Res. Int. 2022, 159, 111673. [Google Scholar] [CrossRef] [PubMed]
- Wang, Y.; Yang, G.; Shen, H.; Liang, Y.; Dong, H.; Guo, X.; Hao, Q.; Wang, J. Hybrids of selective COX-2 inhibitors and active derivatives of edaravone as COX-2 selective NSAIDs with free radical scavenging activity: Design, synthesis and biological activities. Eur. J. Med. Chem. 2024, 266, 116155. [Google Scholar] [CrossRef] [PubMed]
- Xu, X.; Guo, Y.; Chen, M.; Li, N.; Sun, Y.; Ren, S.; Xiao, J.; Wang, D.; Liu, X.; Pan, Y. Hypoglycemic activities of flowers of Xanthoceras sorbifolia and identification of anti-oxidant components by off-line UPLC-QTOF-MS/MS-free radical scavenging detection. Chin. Herb. Med. 2024, 16, 151–161. [Google Scholar] [CrossRef] [PubMed]
- Kong, Y.; Zhang, L.-L.; Sun, Y.; Zhang, Y.-Y.; Sun, B.-G.; Chen, H.-T. Determination of the Free Amino Acid, Organic Acid, and Nucleotide in Commercial Vinegars. J. Food Sci. 2017, 82, 1116–1123. [Google Scholar] [CrossRef]
- Zhao, Y.; Zhao, Z.; Gao, Y.; Yang, G.; Liu, X.; Huang, R.; Liang, W.; Li, S. Assessment of autochthonous lactic acid bacteria as starter culture for improving traditional Chinese Dongbei Suancai fermentation. LWT 2023, 178, 114615. [Google Scholar] [CrossRef]
- Zheng, Z.; Zhou, Q.; Li, D.; Wu, Y.; Zhong, K.; Gao, H. Effects of enhanced fermentation with Lactiplantibacillus plantarum WWPC on physicochemical characteristics and flavor profiles of radish paocai and dried-fermented radish. Food Biosci. 2024, 59, 103941. [Google Scholar] [CrossRef]
- Liu, Y.; Chen, X.; Li, F.; Shi, H.; He, M.; Ge, J.; Ling, H.; Cheng, K. Analysis of Microbial Diversity and Metabolites in Sauerkraut Products with and without Microorganism Addition. Foods 2023, 12, 1164. [Google Scholar] [CrossRef] [PubMed]
- Satora, P.; Strnad, S. The Influence of Fermentation Vessels on Yeast Microbiota and Main Parameters of Sauerkraut. Appl. Sci. 2023, 14, 236. [Google Scholar] [CrossRef]
- Tkacz, K.; Chmielewska, J.; Turkiewicz, I.P.; Nowicka, P.; Wojdyło, A. Dynamics of changes in organic acids, sugars and phenolic compounds and antioxidant activity of sea buckthorn and sea buckthorn-apple juices during malolactic fermentation. Food Chem. 2020, 332, 127382. [Google Scholar] [CrossRef] [PubMed]
- Han, Y.; Wang, C.; Zhang, X.; Li, X.; Gao, Y. Characteristic volatiles analysis of Dongbei Suancai across different fermentation stages based on HS-GC-IMS with PCA. J. Food Sci. 2022, 87, 612–622. [Google Scholar] [CrossRef] [PubMed]
- Xing, Y.; Qiu, Y.; Yue, T.; Yi, R.; Xu, Q.; Rao, Y.; Huang, J.; Pan, H. Correlation between microbial communities and volatile flavor compounds in the fermentation of new pickle fermentation broth. Food Biosci. 2023, 56, 103167. [Google Scholar] [CrossRef]
- Zhao, X.; Wang, Z.; Tang, F.; Cai, W.; Peng, B.; Shan, C. Exploring jujube wine flavor and fermentation mechanisms by HS-SPME-GC–MS and UHPLC-MS metabolomics. Food Chem. X 2024, 21, 101115. [Google Scholar] [CrossRef]
- Yang, Y.; Wang, H.; Shuang, Q.; Xia, Y. Novel insights into flavor formation in whey fermented wine: A study of microbial metabolic networks. LWT 2024, 197, 115911. [Google Scholar] [CrossRef]
- Qu, J.; Chen, X.; Wang, X.; He, S.; Tao, Y.; Jin, G. Esters and higher alcohols regulation to enhance wine fruity aroma based on oxidation-reduction potential. LWT 2024, 200, 116165. [Google Scholar] [CrossRef]
- Wang, L.; Yin, H.; Shao, X.; Zhang, Z.; Zhong, X.; Wei, R.; Ding, Y.; Wang, H.; Li, H. Improving the aging aroma profiles of Italian Riesling and Petit Verdot Wines: Impact of spontaneous and inoculated fermentation processes. Food Chem. X 2023, 20, 100978. [Google Scholar] [CrossRef] [PubMed]
- Li, P.; Jia, Y.; Cai, D.; Wang, X.; Liu, J.; Zhu, R.; Wang, Z.; He, Y.; Wen, L. Study on the relationship between flavor components and quality of ice wine during freezing and brewing of ‘beibinghong’ grapes. Food Chem. X 2023, 20, 101016. [Google Scholar] [CrossRef] [PubMed]
- Liao, H.; Luo, Y.; Asif, H.; Luo, Y.; Xia, X. Novel insights into safety and quality enhancement of low-salt fermented chilies: High-order positively interacting lactic acid bacteria co-fermentation regulates microflora structure, metabolomics, and volatilomics profiles. Food Biosci. 2024, 59, 103861. [Google Scholar] [CrossRef]
- Chen, Q.; Li, Y.; Yan, K.; Li, G.; Luo, D.; Bai, W.; Zeng, X.; Wu, Q.; Deng, J.; Dong, H. Variations of volatile flavors and microbial communities in Chinese Chaozhou pickle during natural fermentation revealed by GC-IMS and high-throughput sequencing. LWT 2024, 191, 115610. [Google Scholar] [CrossRef]
- Liu, L.; She, X.; Chen, X.; Qian, Y.; Tao, Y.; Li, Y.; Guo, S.; Xiang, W.; Liu, G.; Rao, Y. Microbiota Succession and Chemical Composition Involved in the Radish Fermentation Process in Different Containers. Front. Microbiol. 2020, 11, 445. [Google Scholar] [CrossRef] [PubMed]
- Li, J.; He, Z.; Yan, L.; He, Y.; Yang, J. Analysis of the microbial community structure and flavor components succession during salt-reducing pickling process of zhacai (preserved mustard tuber). Food Sci. Nutr. 2023, 11, 3154–3170. [Google Scholar] [CrossRef] [PubMed]
- Petrova, P.; Arsov, A.; Tsvetanova, F.; Parvanova-Mancheva, T.; Vasileva, E.; Tsigoriyna, L.; Petrov, K. The Complex Role of Lactic Acid Bacteria in Food Detoxification. Nutrients 2022, 14, 2038. [Google Scholar] [CrossRef] [PubMed]
- Zapaśnik, A.; Sokołowska, B.; Bryła, M. Role of Lactic Acid Bacteria in Food Preservation and Safety. Foods 2022, 11, 1283. [Google Scholar] [CrossRef] [PubMed]
- Wätjen, A.P.; De Vero, L.; Carmona, E.N.; Sberveglieri, V.; Huang, W.; Turner, M.S.; Bang-Berthelsen, C.H. Leuconostoc performance in soy-based fermentations—Survival, acidification, sugar metabolism, and flavor comparisons. Food Microbiol. 2023, 115, 104337. [Google Scholar] [CrossRef] [PubMed]
- Choi, H.-W.; Park, S.-E.; Kim, E.-J.; Seo, S.-H.; Cho, K.-M.; Kwon, S.J.; Lee, M.-H.; Son, H.-S. Effects of garlic on kimchi metabolites exerted through selective growth control of Lactobacillus and Leuconostoc. LWT 2024, 198, 116053. [Google Scholar] [CrossRef]
- Nami, Y.; Panahi, B.; MohammadZadeh Jalaly, H.; Hejazi, M.A. Isolation and assessment of novel exopolysaccharide-producing Weissella confusa ABRIIFBI-96 isolated from an Iranian homemade dairy fermented food “Tof” as a main starter culture for probiotic fermented milk. LWT 2024, 197, 115910. [Google Scholar] [CrossRef]
- Özpınar, F.B.; İspirli, H.; Kayacan, S.; Korkmaz, K.; Dere, S.; Sagdic, O.; Alkay, Z.; Tunçil, Y.E.; Ayyash, M.; Dertli, E. Physicochemical and structural characterisation of a branched dextran type exopolysaccharide (EPS) from Weissella confusa S6 isolated from fermented sausage (Sucuk). Int. J. Biol. Macromol. 2024, 264, 130507. [Google Scholar] [CrossRef] [PubMed]
- Zong, C.; Tang, L.; Shao, T.; Xiao, Y.; Huang, Z.-Y.; Jiang, W.-Q.; Zhu, J.-G.; Dong, Z.-H.; Li, M.; Liu, Q.-H. Klebsiella as an α-tocopherol source facilitating Lactobacillus plantarum fermentation in rice straw silage1. J. Integr. Agric. in press. 2023. [Google Scholar] [CrossRef]
- Zheng, X.; Ge, Z.; Lin, K.; Zhang, D.; Chen, Y.; Xiao, J.; Wang, B.; Shi, X. Dynamic changes in bacterial microbiota succession and flavour development during milk fermentation of Kazak artisanal cheese. Int. Dairy J. 2021, 113, 104878. [Google Scholar] [CrossRef]
- Wen, X.; Zhang, D.; Li, X.; Ding, T.; Liang, C.; Zheng, X.; Yang, W.; Hou, C. Dynamic changes of bacteria and screening of potential spoilage markers of lamb in aerobic and vacuum packaging. Food Microbiol. 2022, 104, 103996. [Google Scholar] [CrossRef] [PubMed]
- Zhang, L.; Hong, Q.; Yu, C.; Wang, R.; Li, C.; Liu, S. Acetobacter sp. improves the undesirable odors of fermented noni (Morinda citrifolia L.) juice. Food Chem. 2023, 401, 134126. [Google Scholar] [CrossRef] [PubMed]
- Mi, T.; Wang, D.; Yao, S.; Yang, H.; Che, Y.; Wu, C. Effects of salt concentration on the quality and microbial diversity of spontaneously fermented radish paocai. Food Res. Int. 2022, 160, 111622. [Google Scholar] [CrossRef] [PubMed]
- Jiao, W.; Xie, F.; Gao, L.; Du, L.; Wei, Y.; Zhou, J.; He, G. Identification of core microbiota in the fermented grains of a Chinese strong-flavor liquor from Sichuan. LWT 2022, 158, 113140. [Google Scholar] [CrossRef]
- Zhang, T.; Wu, H.; Ma, C.; Yang, Y.; Li, H.; Yang, Z.; Zhou, S.; Shi, D.; Chen, T.; Yang, D.; et al. Emergence of colistin-resistant Stenotrophomonas maltophilia with high virulence in natural aquatic environments. Sci. Total Environ. 2024, 933, 173221. [Google Scholar] [CrossRef] [PubMed]
- Arias-Cartin, R.; Ferizhendi, K.K.; Séchet, E.; Pelosi, L.; Loeuillet, C.; Pierrel, F.; Barras, F.; Bouveret, E. Role of the Escherichia coli ubiquinone-synthesizing UbiUVT pathway in adaptation to changing respiratory conditions. mBio 2023, 14, e0329822. [Google Scholar] [CrossRef] [PubMed]
- Yang, Y.; Fan, Y.; Li, T.; Yang, Y.; Zeng, F.; Wang, H.; Suo, H.; Song, J.; Zhang, Y. Microbial composition and correlation between microbiota and quality-related physiochemical characteristics in chongqing radish paocai. Food Chem. 2022, 369, 130897. [Google Scholar] [CrossRef] [PubMed]
- Wang, D.; Chen, G.; Tang, Y.; Li, J.; Huang, R.; Ye, M.; Ming, J.; Wu, Y.; Xu, F.; Lai, X.; et al. Correlation between autochthonous microbial communities and flavor profiles during the fermentation of mustard green paocai (Brassica juncea Coss.), a typical industrial-scaled salted fermented vegetable. LWT 2022, 172, 114212. [Google Scholar] [CrossRef]
- Chen, Z.; Song, J.; Ren, L.; Wang, H.; Zhang, Y.; Suo, H. Effect of the succession of the microbial community on physicochemical properties and flavor compounds of Mucor wutungkiao-fermented sufu. Food Biosci. 2023, 51, 102345. [Google Scholar] [CrossRef]
- Heo, S.; Park, J.; Lee, K.-G.; Lee, J.-H.; Jeong, D.-W. Quality characteristics of soybean fermented by Mucor, Rhizopus, and Aspergillus from meju. Heliyon 2023, 9, e14092. [Google Scholar] [CrossRef] [PubMed]
- Chen, Z.; Liu, L.; Du, H.; Lu, K.; Chen, C.; Xue, Q.; Hu, Y. Microbial community succession and their relationship with the flavor formation during the natural fermentation of Mouding sufu. Food Chem. X 2023, 18, 100686. [Google Scholar] [CrossRef] [PubMed]
- Hu, X.; Liu, S.; Li, E. Microbial community succession and its correlation with the dynamics of flavor compound profiles in naturally fermented stinky sufu. Food Chem. 2023, 427, 136742. [Google Scholar] [CrossRef] [PubMed]
- Vicente, J.; Ruiz, J.; Tomasi, S.; de Celis, M.; Ruiz-de-Villa, C.; Gombau, J.; Rozès, N.; Zamora, F.; Santos, A.; Marquina, D.; et al. Impact of rare yeasts in Saccharomyces cerevisiae wine fermentation performance: Population prevalence and growth phenotype of Cyberlindnera fabianii, Kazachstania unispora, and Naganishia globosa. Food Microbiol. 2023, 110, 104189. [Google Scholar] [CrossRef] [PubMed]
- Zhao, W.; Liang, Z.; Qian, M.; Li, X.; Dong, H.; Bai, W.; Wei, Y.; He, S. Evolution of microbial communities during fermentation of Chi-flavor type Baijiu as determined by high-throughput sequencing. LWT 2022, 170, 114102. [Google Scholar] [CrossRef]
- Xiao, Y.; Zhang, S.; Liu, Z.; Wang, T.; Cai, S.; Chu, C.; Hu, X.; Yi, J. Effect of inoculating Pichia spp. starters on flavor formation of fermented chili pepper: Metabolomics and genomics approaches. Food Res. Int. 2023, 173, 113397. [Google Scholar] [CrossRef] [PubMed]
- Dertli, E.; Çon, A.H. Microbial diversity of traditional kefir grains and their role on kefir aroma. LWT 2017, 85, 151–157. [Google Scholar] [CrossRef]
- Wang, Z.; Jin, Q.; Jiang, R.; Liu, Y.; Xie, H.; Ou, X.; Li, Q.; Liu, Z.; Huang, J. Characteristic volatiles of Fu brick tea formed primarily by extracellular enzymes during Aspergillus cristatus fermentation. Food Res. Int. 2024, 177, 113854. [Google Scholar] [CrossRef] [PubMed]
- Gamero, A.; Quintilla, R.; Groenewald, M.; Alkema, W.; Boekhout, T.; Hazelwood, L. High-throughput screening of a large collection of non-conventional yeasts reveals their potential for aroma formation in food fermentation. Food Microbiol. 2016, 60, 147–159. [Google Scholar] [CrossRef] [PubMed]
- Zhang, L.; Wang, M.; Song, H.; Liang, W.; Wang, X.; Sun, J.; Wang, D. Changes of microbial communities and metabolites in the fermentation of persimmon vinegar by bioaugmentation fermentation. Food Microbiol. 2024, 122, 104565. [Google Scholar] [CrossRef] [PubMed]
- Hu, Y.; Jia, F.; Liu, Z.; Zhang, Y.; Li, L. Impact of storage time on microbial communities and flavor profiles in highland barley grains. J. Stored Prod. Res. 2024, 107, 102321. [Google Scholar] [CrossRef]
- Xu, H.; Quan, Q.; Chang, X.; Ge, S.; Xu, S.; Wang, R.; Xu, Y.; Luo, Z.; Shan, Y.; Ding, S. Maintaining the balance of fungal community through active packaging film makes strawberry fruit pose pleasant flavor during storage. Postharvest Biol. Technol. 2024, 211, 112815. [Google Scholar] [CrossRef]
- Xu, C.; Wang, Y.; Zhang, C.; Liu, J.; Fu, H.; Zhou, W.; Gong, Z. Highly-efficient lipid production from hydrolysate of Radix paeoniae alba residue by oleaginous yeast Cutaneotrichosporon oleaginosum. Bioresour. Technol. 2024, 391, 129990. [Google Scholar] [CrossRef] [PubMed]






| Day 0 | Day 2 | Day 5 | Day 8 | Day 11 | Day 14 | |
|---|---|---|---|---|---|---|
| Lactic acid | 32.12 ± 1.82 c | 30.15 ± 2.13 c | 35.82 ± 1.74 b | 48.71 ± 2.18 a | 51.28 ± 1.15 a | 51.12 ± 2.58 a |
| Citric acid | 9.18 ± 1.40 e | 10.16 ± 0.22 de | 11.68 ± 0.69 cd | 13.25 ± 1.96 bc | 14.95 ± 1.28 ab | 15.89 ± 0.86 a |
| Oxalic acid | 7.82 ± 0.44 a | 7.22 ± 0.28 c | 7.76 ± 0.35 ab | 6.23 ± 0.11 d | 7.42 ± 0.30 abc | 7.35 ± 0.39 bc |
| Acetic acid | 2.11 ± 0.62 c | 3.12 ± 1.01 bc | 3.32 ± 1.11 abc | 3.96 ± 0.52 abc | 5.10 ± 1.42 a | 4.96 ± 0.85 ab |
| Malic acid | ND | 5.76 ± 0.22 b | ND | ND | 6.85 ± 1.12 ab | 8.02 ± 0.56 a |
| Tartaric acid | 1.18 ± 0.18 ab | ND | 0.88 ± 0.15 b | ND | 1.23 ± 0.10 a | 0.95 ± 0.21 b |
| Succinic acid | 0.18 ± 0.00 c | ND | 0.58 ± 0.27 b | ND | ND | 1.15 ± 0.16 a |
Disclaimer/Publisher’s Note: The statements, opinions and data contained in all publications are solely those of the individual author(s) and contributor(s) and not of MDPI and/or the editor(s). MDPI and/or the editor(s) disclaim responsibility for any injury to people or property resulting from any ideas, methods, instructions or products referred to in the content. |
© 2024 by the authors. Licensee MDPI, Basel, Switzerland. This article is an open access article distributed under the terms and conditions of the Creative Commons Attribution (CC BY) license (https://creativecommons.org/licenses/by/4.0/).
Share and Cite
Fang, Y.; Bian, M.; Wu, X.; Yuan, L.; Xu, Q.; Zhou, W.; Han, B. Analysis of Microbial Community Changes and Their Correlations with Volatile Flavouring Substances during Autonomous Fermentation of Western Sichuan Yi Suancai Based on High-Throughput Sequencing. Fermentation 2024, 10, 353. https://doi.org/10.3390/fermentation10070353
Fang Y, Bian M, Wu X, Yuan L, Xu Q, Zhou W, Han B. Analysis of Microbial Community Changes and Their Correlations with Volatile Flavouring Substances during Autonomous Fermentation of Western Sichuan Yi Suancai Based on High-Throughput Sequencing. Fermentation. 2024; 10(7):353. https://doi.org/10.3390/fermentation10070353
Chicago/Turabian StyleFang, Yuli, Minghong Bian, Xuan Wu, Lemei Yuan, Qiang Xu, Weitao Zhou, and Baolin Han. 2024. "Analysis of Microbial Community Changes and Their Correlations with Volatile Flavouring Substances during Autonomous Fermentation of Western Sichuan Yi Suancai Based on High-Throughput Sequencing" Fermentation 10, no. 7: 353. https://doi.org/10.3390/fermentation10070353
APA StyleFang, Y., Bian, M., Wu, X., Yuan, L., Xu, Q., Zhou, W., & Han, B. (2024). Analysis of Microbial Community Changes and Their Correlations with Volatile Flavouring Substances during Autonomous Fermentation of Western Sichuan Yi Suancai Based on High-Throughput Sequencing. Fermentation, 10(7), 353. https://doi.org/10.3390/fermentation10070353
