Enhanced Fumagillin Production by Optimizing Fermentation and Purification Techniques
Abstract
1. Introduction
2. Materials and Methods
2.1. Cultivation of Aspergillus fumigatus
2.2. Preparation of Suspension
2.3. Fermentation of Aspergillus fumigatus
2.4. Optimization of a Single Factor
2.5. Determination of Fumagillin Content
2.5.1. Sample Pretreatment with Fumagillin
2.5.2. Detection of Fumagillin by HPLC
2.5.3. Standard Curve Preparation
2.6. Optimized Design of Fermentation Conditions
2.6.1. Design of the Experimental Factorial
2.6.2. Optimization of the Response Surface
2.7. Scale-Up of Fermentation
2.8. Optimization of the Fumagillin Purification Process
2.8.1. Solvent Screening for Extraction
2.8.2. Optimization of the Extraction Process
2.8.3. Development of the Preparation Process
2.8.4. Computational Formula
2.8.5. Validation Experiments and Structural Identification
2.9. Statistics and Data Analysis
3. Results and Discussion
3.1. Optimization of Single Factors
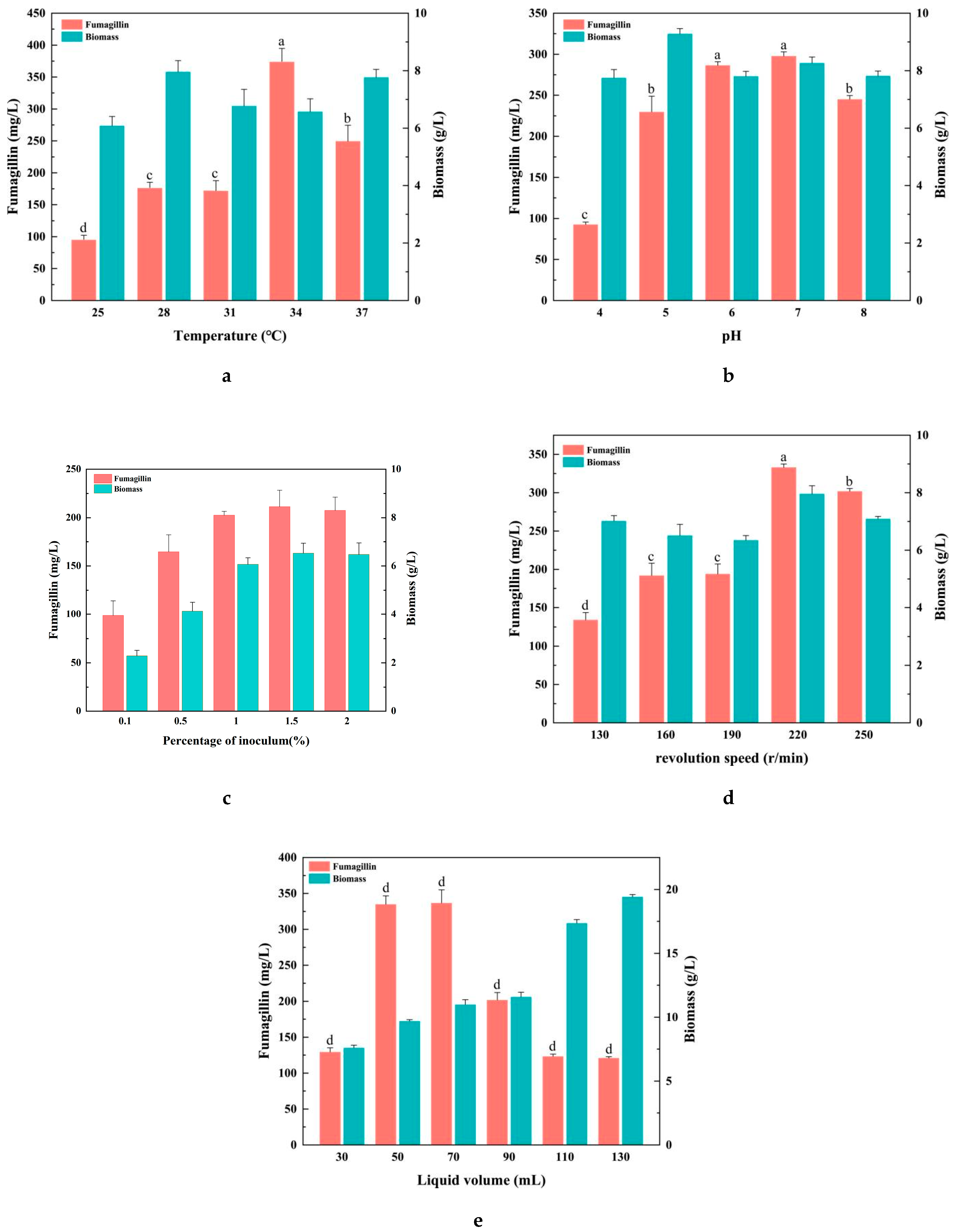
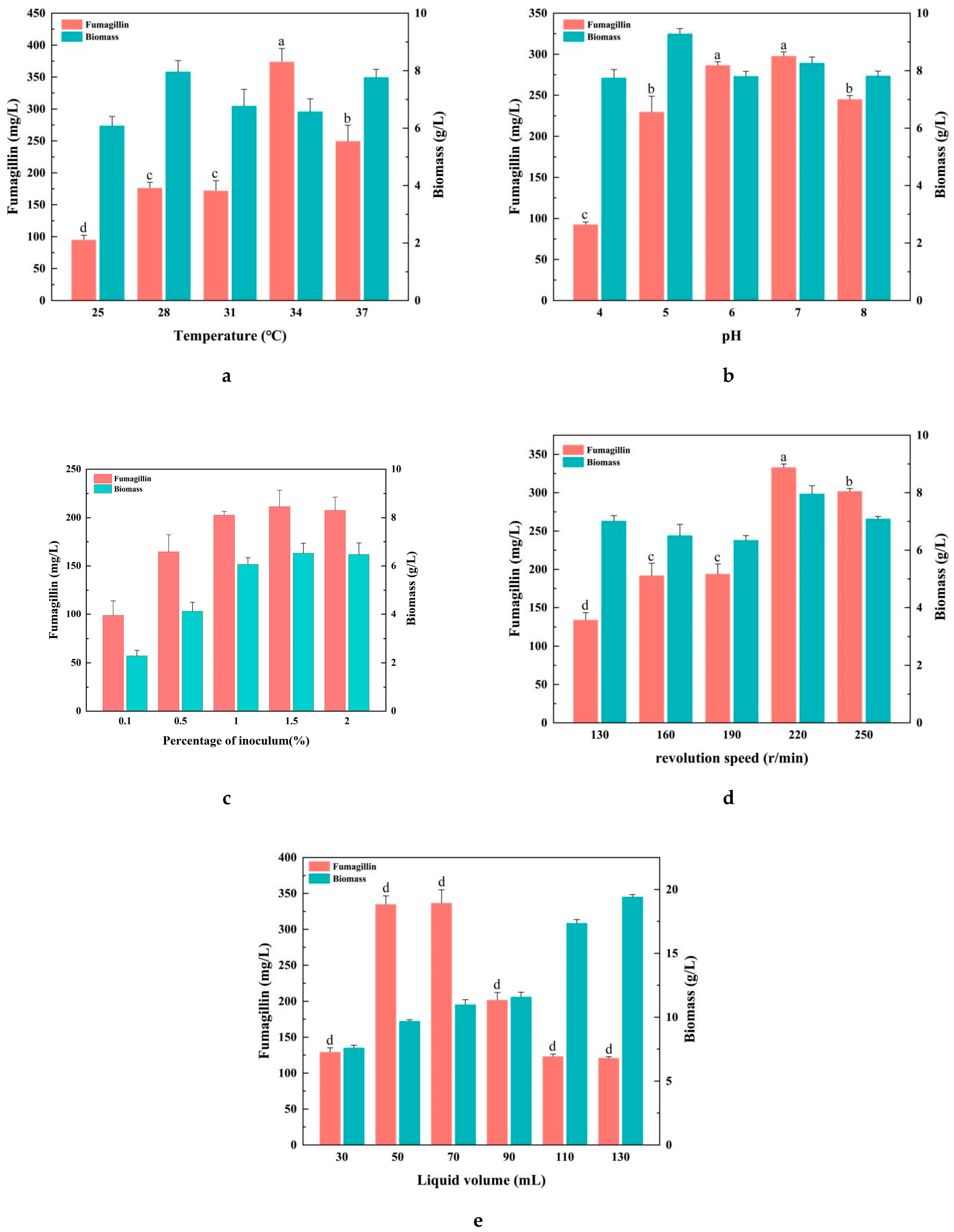
3.1.1. Effect of Fermentation Temperature on Fumagillin Yield
3.1.2. Effect of the Initial pH on Fumagillin Yield
3.1.3. Effect of the Percentage of Inoculum on Fumagillin Yield
3.1.4. Effect of Rotational Speed on Fumagillin Yield
3.1.5. Effect of Liquid Volume on Fumagillin Yield
3.2. DOE Factorial
3.3. Response Surface Optimization
3.4. Process Amplification of Fermentation
3.5. Separation and Purification of Fumagillin
3.5.1. Screening Results of the Extraction Solvents
3.5.2. Selection of Reagents for Extracting Fumagillin
3.5.3. Preparation of Fumagillin
4. Conclusions
Supplementary Materials
Author Contributions
Funding
Institutional Review Board Statement
Informed Consent Statement
Data Availability Statement
Acknowledgments
Conflicts of Interest
References
- Guruceaga, X.; Ezpeleta, G.; Mayayo, E.; Sueiro-Olivares, M.; Abad-Diaz-De-Cerio, A.; Aguirre Urízar, J.M.; Liu, H.G.; Wiemann, P.; Bok, J.W.; Filler, S.G.; et al. A Possible Role for Fumagillin in Cellular Damage During Host Infection by Aspergillus fumigatus. Virulence 2018, 9, 1548–1561. [Google Scholar] [CrossRef] [PubMed]
- Watanabe, N.; Saito-Nakano, Y.; Kurisawa, N.; Otomo, K.; Suenaga, K.; Nakano, K.; Nozaki, T. Fumagillin Inhibits Growth of the Enteric Protozoan Parasite Entamoeba histolytica by Covalently Binding to and Selectively Inhibiting Methionine Aminopeptidase 2. Antimicrob. Agents Chemother. 2023, 67, e00560-00523. [Google Scholar] [CrossRef] [PubMed]
- Lavin, E.S.; Getchell, R.G.; Daugherity, E.K.; Kent, M.L.; Frosolone, A.D.; Ivanek, R. Assessment of Oral Albendazole and Fumagillin in the Treatment of Pseudoloma neurophilia in Adult Zebrafish. Comp. Med. 2023, 73, 335–345. [Google Scholar] [CrossRef] [PubMed]
- Alonso, V.A.; Velasco Manini, M.A.; Pena, G.A.; Cavaglieri, L.R. Fist Report on Fumagillin Production by Aspergillus fumigatus Sensu Stricto Gliotoxigenic Strains Recovered from Raw Cow Milk and Clinical Samples in Argentina. Rev. Argent. Microbiol. 2022, 54, 243–246. [Google Scholar] [CrossRef]
- González, O.; Yaldebere, A.; Guruceaga, X.; Ramírez-García, A.; Rementeria, A.; Alonso, R.M. A Novel Spe-Uhplc-Dad Method for the Determination of Fumagillin Produced by Aspergillus fumigatus in Cell Culture Media. Microchem. J. 2021, 169, 106605. [Google Scholar] [CrossRef]
- Barboráková, Z.; Labuda, R.; Häubl, G.; Tancinová, D. Effect of Glucose Concentration and Growth Conditions on the Fungal Biomass, PH of Media and Production of Fumagillin by a Non-Pathogenic Strain Penicillium Scabrosum. J. Microbiol. Biotechnol. Food Sci. 2012, 1, 466–477. [Google Scholar]
- Sin, N.; Meng, L.; Wang, M.Q.W.; Wen, J.J.; Bornmann, W.G.; Crews, C.M. The Anti-Angiogenic Agent Fumagillin Covalently Binds and Inhibits the Methionine Aminopeptidase, Metap-2. Proc. Natl. Acad. Sci. USA 1997, 94, 6099–6103. [Google Scholar] [CrossRef]
- Yang, W.; Hartwieg, E.A.; Fang, A.; Demain, A.L. Effects of Carboxymethylcellulose and Carboxypolymethylene on Morphology of Aspergillus fumigatus Nrrl 2346 and Fumagillin Production. Curr. Microbiol. 2003, 46, 0024–0027. [Google Scholar] [CrossRef]
- Yang, W.; Kim, W.-S.; Fang, A.; Demain, A.L. Carbon and Nitrogen Source Nutrition of Fumagillin Biosynthesis by Aspergillus fumigatus. Curr. Microbiol. 2003, 46, 275–279. [Google Scholar] [CrossRef]
- Mao, X.; Liang, X.; Wang, S.; Dong, W.; Xing, Y.; Wang, H.; Guo, L.; Wei, D. Enhanced Production of Intracellular Dextran Dextrinase from Gluconobacter Oxydans Using Statistical Experimental Methods. Afr. J. Biotechnol. 2010, 9, 1180–1189. [Google Scholar]
- Córdova, F.J.C.; León, A.M.G.; Reyes, R.B.G.; González, M.T.G.; Regalado, E.S.; González, M.N.S.; López, I.Q. Response Surface Methodology for Lead Biosorption on Aspergillus terreus. Int. J. Environ. Sci. Technol. 2011, 8, 695–704. [Google Scholar] [CrossRef]
- Wu, L.; Qiu, L.; Zhang, H.; Sun, J.; Hu, X.; Wang, B.; Reverberi, M. Optimization for the Production of Deoxynivalenol and Zearalenone by Fusarium Graminearum Using Response Surface Methodology. Toxins 2017, 9, 57. [Google Scholar] [CrossRef] [PubMed]
- Yolmeh, M.; Jafari, S.M. Applications of Response Surface Methodology in the Food Industry Processes. Food Bioprocess Technol. 2017, 10, 413–433. [Google Scholar] [CrossRef]
- Albrecht, D.; Guthke, R.; Brakhage, A.A.; Kniemeyer, O. Integrative Analysis of the Heat Shock Response in Aspergillus fumigatus. BMC Genom. 2010, 11, 32. [Google Scholar] [CrossRef]
- Do, J.H.; Yamaguchi, R.; Miyano, S. Exploring Temporal Transcription Regulation Structure of Aspergillus Fumigatus in Heat Shock by State Space Model. BMC Genom. 2009, 10, 306. [Google Scholar] [CrossRef]
- Morano, K.A.; Grant, C.M.; Moye-Rowley, W.S. The Response to Heat Shock and Oxidative Stress in Saccharomyces Cerevisiae. Genetics 2012, 190, 1157–1195. [Google Scholar] [CrossRef]
- Nierman, W.C.; Pain, A.; Anderson, M.J.; Wortman, J.R.; Kim, H.S.; Arroyo, J.; Berriman, M.; Abe, K.; Archer, D.B.; Bermejo, C.; et al. Genomic Sequence of the Pathogenic and Allergenic Filamentous Fungus Aspergillus fumigatus. Nature 2005, 438, 1151–1156. [Google Scholar] [CrossRef] [PubMed]
- Kucharczyk, K.; Tuszyński, T. The Effect of Temperature on Fermentation and Beer Volatiles at an Industrial Scale. J. Inst. Brew. 2018, 124, 230–235. [Google Scholar] [CrossRef]
- Santos, A.F.; Junior, C.F.F.M.; Melo, D.L.F.M.d.; Junior, A.M.B.; Fernandes, R.P.M. Effect of Ph and Temperature on the Production and Activity of Schwanniomyces Polymorphus Extracellular Proteases in Fermentation Medium. Afr. J. Microbiol. Res. 2015, 9, 1044–1052. [Google Scholar]
- Divya, V.; Malarkodi, K.; Mathiyazhagan, S.; Manonmani, V.; Anand, T.; Velayutham, A. Effect of Ph on the Mycelial Growth of Aspergillus Niger and Aspergillus Flavus. Int. J. Environ. Clim. Chang. 2023, 13, 1104–1109. [Google Scholar] [CrossRef]
- Wu, Y.; Hu, W.; Zheng, X.; Liu, Y.; Niu, Q.; Chen, Y. Valorization of Food Waste into Short-Chain Fatty Acids Via Enzymatic Pretreatment: Effects of Fermentation-Ph on Acid-Producing Processes and Microbial Metabolic Functions. Waste Manag. 2023, 167, 22–30. [Google Scholar] [CrossRef] [PubMed]
- Okpalla, J.J. The Effect of Inoculum Size and Medium Volume on Methionine Production by Bacillus Species Ez-13 and Zm-10. Asian J. Biol. 2023, 18, 14–20. [Google Scholar] [CrossRef]
- Hyohak, S.; Wook, L.J.; Sol, C.; Kyun, Y.J.; Hi, H.W.; Yup, L.S. Effects of Dissolved CO2 Levels on the Growth of Mannheimia Succiniciproducens and Succinic Acid Production. Biotechnol. Bioeng. 2007, 98, 1296–1304. [Google Scholar]
- Renlong, L.; Mabrouk, E.; Taketo, O.; Toshihisa, S.; Yuzo, K.; Kensuke, K. Effect of Varying Fermentation Conditions with Ensiling Period and Inoculum on Photosynthetic Pigments and Phytol Content in Italian Ryegrass (Lolium multiflorum Lam.) Silage. Anim. Sci. J. = Nihon Chikusan Gakkaiho 2020, 91, e13309. [Google Scholar]
- Huang, J.; Zhang, G.; Zheng, L.; Lin, Z.; Wu, Q.; Pan, Y. Plackett-Burman Design and Response Surface Optimization of Conditions for Culturing Saccharomyces Cerevisiae in Agaricus bisporus Industrial Wastewater. Acta Sci. Polonorum Technol. Aliment. 2019, 18, 65–74. [Google Scholar]
- Ni, H.-J.; Lv, S.-Y.; Sheng, Y.-T.; Wang, H.; Chu, X.-H.; Zhang, H.-W. Optimization of Fermentation Conditions and Medium Compositions for the Production of Chrysomycin a by a Marine-Derived Strain Streptomyces Sp. 891. Prep. Biochem. Biotechnol. 2021, 51, 120. [Google Scholar] [CrossRef]
- Huang, J.; Lin, Z.; Wu, Q.; Ye, Z.; Huang, L. Optimization of Culture Conditions of Sporosarcina pasteurii Using the Response Surface Method. J. Biotech Res. 2020, 11, 54–65. [Google Scholar]
- Long, R.; Yang, W.; Huang, G. Optimization of Fermentation Conditions for the Production of Epothilone B. Chem. Biol. Drug Des. 2020, 96, 768–772. [Google Scholar] [CrossRef]
- Li, Y.; Xu, Y.; Li, W.; Yang, Y.; Wang, L.; Yu, J.; Wang, C.; Li, X. Study on Optimizing Nutrition and Fermentation Conditions for Compound Bacillus Spp. Am. J. Mol. Biol. 2019, 9, 75–84. [Google Scholar] [CrossRef][Green Version]
- Ritonja, J. Implementation of Stir-Speed Adopted Controllers onto a Batch Bioreactor for Improved Fermentation. IEEE Access 2021, 9, 16783–16806. [Google Scholar] [CrossRef]
- Okpalla, J.; Ekwealor, I.A. The Influence of Agitation Rates, Ph and Calcium Carbonate on L-Lysine Production by Bacillus Subtilis Using Agricultural Products as Carbon and Nitrogen Sources. Microbiol. Res. J. Int. 2022, 32, 1–11. [Google Scholar] [CrossRef]
- Reddy, L.V.A.; Wee, Y.-J.; Yun, J.-S.; Ryu, H.-W. Optimization of Alkaline Protease Production by Batch Culture of Bacillus Sp. Rky3 through Plackett-Burman and Response Surface Methodological Approaches. Bioresour. Technol. 2008, 99, 2242–2249. [Google Scholar] [CrossRef] [PubMed]
- Felipe, M.T.d.C.; Barbosa, R.d.N.; Bezerra, J.D.P.; Souza-Motta, C.M.d. Production of Kojic Acid by Aspergillus Species: Trends and Applications. Fungal Biol. Rev. 2023, 45, 100313. [Google Scholar] [CrossRef]
- Jimmy, N.P.; Santiago, C.A.B.; Carlos, d.l.V.Q.J.; Santiago, Z.B.; Manuel, P.J. Multi-Objective Statistical Optimization of Pectinolytic Enzymes Production by an Aspergillus Sp. On Dehydrated Coffee Residues in Solid-State Fermentation. Fermentation 2022, 8, 170. [Google Scholar] [CrossRef]
- Sun, N.; Liu, X.; Wang, X.; Shi, H.; Zhang, H.; Li, L.; Wei, N.; Guan, Q. Optimization of Fermentation Conditions for the Production of Acidophilic β-Glucosidase by Trichoderma reesei S12 from Mangrove Soil. Biotechnol. Biotechnol. Equip. 2021, 35, 1838–1849. [Google Scholar] [CrossRef]
- Somayyeh, K.; Parisa, F.R.; Sina, J. Exo-Polygalacturonase Production Enhancement by Piriformospora Indica from Sugar Beet Pulp under Submerged Fermentation Using the Response Surface Methodology. Environ. Sci. Pollut. Res. Int. 2023, 30, 45815–45826. [Google Scholar]
- Do, T.K.T.; Hadji-Minaglou, F.; Antoniotti, S.; Fernandez, X. Secondary Metabolites Isolation in Natural Products Chemistry: Comparison of Two Semipreparative Chromatographic Techniques (High Pressure Liquid Chromatography and High Performance Thin-Layer Chromatography). J. Chromatogr. A 2014, 1325, 256–260. [Google Scholar] [CrossRef]
- Rajendran, A. Recent Developments in Preparative Chromatographic Processes. Curr. Opin. Chem. Eng. 2013, 2, 263–270. [Google Scholar] [CrossRef]
- Takahashi, S.; Hongo, Y.; Ye, Y.Q.; Koshino, H. Simple and Efficient Synthesis of Highly Functionalized Cyclohexanes; Formal Total Synthesis of Ovalicin and Fumagillin. Tetrahedron Asymmetry 2011, 22, 703–707. [Google Scholar] [CrossRef]





| Sequence Number | Temperature (°C) | pH | Inoculation Percentage (%) | Rotation Speed (r/min) | Liquid Volume (mL) | Fumagillin (mg/L) |
|---|---|---|---|---|---|---|
| 1 | 25 | 8 | 0.5 | 130 | 50 | 277.6218 |
| 2 | 37 | 8 | 0.5 | 130 | 90 | 114.7887 |
| 3 | 37 | 8 | 2 | 250 | 90 | 158.0759 |
| 4 | 37 | 4 | 0.5 | 250 | 90 | 110.0861 |
| 5 | 25 | 8 | 2 | 130 | 90 | 124.3496 |
| 6 | 37 | 4 | 2 | 250 | 50 | 103.0961 |
| 7 | 25 | 4 | 0.5 | 250 | 50 | 123.4159 |
| 8 | 25 | 4 | 2 | 130 | 50 | 103.0407 |
| 9 | 37 | 4 | 0.5 | 130 | 50 | 122.0111 |
| 10 | 37 | 4 | 2 | 130 | 90 | 139.0799 |
| 11 | 25 | 8 | 2 | 250 | 50 | 300.1394 |
| 12 | 25 | 4 | 0.5 | 130 | 90 | 111.0198 |
| 13 | 37 | 8 | 2 | 130 | 50 | 336.6796 |
| 14 | 37 | 8 | 0.5 | 250 | 50 | 321.2948 |
| 15 | 25 | 8 | 0.5 | 250 | 90 | 139.7386 |
| 16 | 25 | 4 | 2 | 250 | 90 | 142.4417 |
| Factor | Low Level | High Level | T | p | Importance Order |
|---|---|---|---|---|---|
| Temperature | 25 | 37 | 0.34 | 0.743 | 4 |
| pH | 4 | 8 | 3.31 | 0.008 ** | 1 |
| Inoculation percentage (%) | 0.5 | 2 | 0.35 | 0.733 | 3 |
| Rotation speed (r/min) | 130 | 250 | 0.28 | 0.784 | 5 |
| Liquid volume (mL) | 50 | 90 | −2.62 | 0.026 * | 2 |
| Factor | Level | ||||
|---|---|---|---|---|---|
| −2 | −1 | 0 | 1 | 2 | |
| pH | 3.17 | 4 | 6 | 8 | 8.83 |
| Liquid volume | 41.72 | 50 | 70 | 90 | 98.28 |
| Sequence Number | Factor | Content of Fumagillin (mg/L) | |
|---|---|---|---|
| pH (A) | Liquid Volume (B) (mL) | ||
| 1 | 6 | 70 | 305.842 |
| 2 | 8 | 90 | 139.088 |
| 3 | 6 | 98.28 | 176.533 |
| 4 | 3.17 | 70 | 138.257 |
| 5 | 8 | 50 | 195.827 |
| 6 | 4 | 90 | 120.504 |
| 7 | 6 | 70 | 305.066 |
| 8 | 6 | 70 | 318.038 |
| 9 | 4 | 50 | 213.456 |
| 10 | 6 | 70 | 305.863 |
| 11 | 6 | 41.72 | 270.843 |
| 12 | 8.83 | 70 | 150.785 |
| 13 | 6 | 70 | 303.768 |
| Source | Sum of Squares | df | Mean Square | F Value | p Value |
|---|---|---|---|---|---|
| Model | 70,310.60 | 5 | 14,062.12 | 127.05 | <0.0001 ** |
| A | 43.58 | 1 | 43.58 | 0.39 | 0.5502 |
| B | 10,015.76 | 1 | 10,015.76 | 90.49 | <0.0001 ** |
| AB | 327.85 | 1 | 327.85 | 2.96 | 0.1289 |
| A2 | 51,233.66 | 1 | 51,233.66 | 462.90 | <0.0001 ** |
| B2 | 14,870.87 | 1 | 14,870.87 | 134.36 | <0.0001 ** |
| Residual | 774.76 | 7 | 110.68 | ||
| Lack of Fit | 638.66 | 3 | 212.89 | 6.26 | 0.0544 |
| Pure Error | 136.10 | 4 | 34.02 | ||
| Cor Total | 71,085.35 | 12 |
Disclaimer/Publisher’s Note: The statements, opinions and data contained in all publications are solely those of the individual author(s) and contributor(s) and not of MDPI and/or the editor(s). MDPI and/or the editor(s) disclaim responsibility for any injury to people or property resulting from any ideas, methods, instructions or products referred to in the content. |
© 2024 by the authors. Licensee MDPI, Basel, Switzerland. This article is an open access article distributed under the terms and conditions of the Creative Commons Attribution (CC BY) license (https://creativecommons.org/licenses/by/4.0/).
Share and Cite
Feng, Z.; Du, P.; Sheng, Y.; Wang, B.; Chen, W.; Peng, H. Enhanced Fumagillin Production by Optimizing Fermentation and Purification Techniques. Fermentation 2024, 10, 588. https://doi.org/10.3390/fermentation10110588
Feng Z, Du P, Sheng Y, Wang B, Chen W, Peng H. Enhanced Fumagillin Production by Optimizing Fermentation and Purification Techniques. Fermentation. 2024; 10(11):588. https://doi.org/10.3390/fermentation10110588
Chicago/Turabian StyleFeng, Zili, Pengfei Du, Yunzhi Sheng, Bin Wang, Wang Chen, and Hao Peng. 2024. "Enhanced Fumagillin Production by Optimizing Fermentation and Purification Techniques" Fermentation 10, no. 11: 588. https://doi.org/10.3390/fermentation10110588
APA StyleFeng, Z., Du, P., Sheng, Y., Wang, B., Chen, W., & Peng, H. (2024). Enhanced Fumagillin Production by Optimizing Fermentation and Purification Techniques. Fermentation, 10(11), 588. https://doi.org/10.3390/fermentation10110588

