A Mixed-Elastohydrodynamic Lubrication Model of a Capped-T-Ring Seal with a Sectioned Multi-Material Film Thickness in Landing Gear Shock Absorber Applications
Abstract
1. Introduction
2. Methodology
2.1. Materials and Methods
- (1)
- As shown in Figure 3, a displacement boundary condition in the negative Y direction is applied to the top part of the housing until the clearance distance of 0.14 mm is reached. The housing groove is defined as a fixed rigid body with a reference point RP, and the backup rings, cap, and rubber energizer are free to move.
- (2)
- The effect of the sealing pressure is considered in this step. To simulate the seal assembly subjected to a fluid pressure, a pressure boundary condition is applied to the parts of the seal assembly that are in direct contact with the fluid, as presented in Figure 3. The pressure boundary conditions are 5, 10, and 15 MPa, which are selected to simulate high pressures in the oil chamber in a nose landing gear. At this step, the seal assembly backup rings, cap, and rubber seal have free movement in the X and Y directions.
- (3)
- Instroke–Outstroke: a displacement boundary condition is applied to the piston to simulate a reciprocating motion. Instroke corresponds to a displacement in the negative X direction (as is the case in Figure 3), and Outstroke corresponds to a displacement in the positive X-direction.
2.2. Fluid Mechanics
2.3. Contact Mechanics
2.4. Elastic Deformation
2.5. Flow Rate and Friction Calculations
2.6. Convergence Criteria and Computational Process
3. Results and Discussion
3.1. Static Contact Pressure
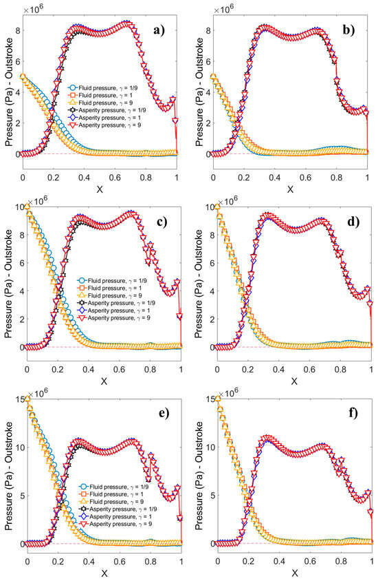
3.2. Fluid Film Pressure, Asperity Conctact Pressure, and Film Thickness
3.3. Friction
3.4. Deformation Verification
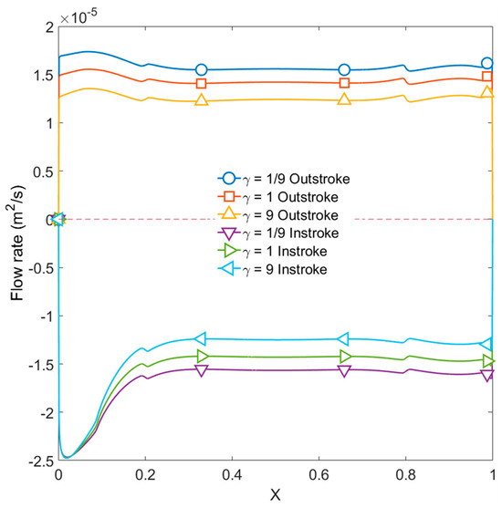
3.5. Oil Leakage Calculation
4. Conclusions
Author Contributions
Funding
Data Availability Statement
Conflicts of Interest
Nomenclature
| Circumference of the piston | |
| CTR | Capped T-ring |
| CR | Compression ratio |
| Mooney–Rivlin constants | |
| Elastic modulus | |
| Friction coefficient | |
| Dimensionless film thickness | |
| Fluid film thickness | |
| Fluid film deformation | |
| The dimensionless average film thickness | |
| Shore A hardness | |
| , | Strain tensors invariants |
| Length of the stroke | |
| Dimensionless fluid pressure | |
| Asperity contact pressure | |
| Sealed pressure | |
| Ambient pressure | |
| Dimensionless asperity contact pressure | |
| Pressure balance | |
| Fluid pressure | |
| Static contact pressure | |
| Flow rate per unit circumferential length | |
| Flow volume on a full stroke | |
| Dimensionless flow rate | |
| Net flow volume | |
| Mean flow transport | |
| Instroke flow rate | |
| Outstroke flow rate | |
| Asperity radius | |
| Piston speed | |
| Strain energy density | |
| Dimensionless x-coordinate | |
| x-coordinate | |
| Length of channel | |
| Dimensionless length of channel | |
| Viscosity-pressure coefficient | |
| Asperity orientation parameter | |
| Fluid viscosity at atmospheric pressure | |
| , | Asperity lengths |
| Principal stretch components | |
| Poisson’s ratio | |
| Dimensionless piston speed constant | |
| Asperity density | |
| Dimensionless fluid density | |
| Root mean squared (RMS) roughness | |
| Dimensionless RMS roughness | |
| Shear flow factor | |
| Pressure flow factor |
References
- Nikas, G.K. Eighty years of research on hydraulic reciprocating seals: Review of tribological studies and related topics since the 1930s. Proc. Inst. Mech. Eng. Part J J. Eng. Tribol. 2010, 224, 1–23. [Google Scholar] [CrossRef]
- Currey, N.S. Aircraft Landing Gear Design: Principles and Practices; AIAA Education Series: Reston, VA, USA, 1988. [Google Scholar]
- Flitney, R. Seals and Sealing Handbook; Elsevier Ltd.: Amsterdam, The Netherlands, 2014. [Google Scholar]
- Karaszkiewicz, A. Geometry and contact pressure of an O-ring mounted in a seal groove. Ind. Eng. Chem. Res. 1990, 29, 2134–2137. [Google Scholar] [CrossRef]
- Zhang, J.; Xie, J. Investigation of Static and Dynamic Seal Performances of a Rubber O-Ring. J. Tribol. 2018, 140, 042202. [Google Scholar] [CrossRef]
- Sukumar, T.; Bapu, B.R.; Prasad, B.D. Prediction of hyperelastic material sealing pressure using experimental and numerical analyses. J. Elastomers Plast. 2020, 52, 717–727. [Google Scholar] [CrossRef]
- Zhang, S.; Deng, S.; Zhang, W.; Kang, N. Simulation and experiment on sealing mechanism with rigid-flexible combined seal groove in hub bearing. Tribol. Int. 2019, 136, 385–394. [Google Scholar] [CrossRef]
- Zhou, C.; Chen, G.; Liu, P. Finite Element Analysis of Sealing Performance of Rubber D-Ring Seal in High-Pressure Hydrogen Storage Vessel. J. Fail. Anal. Prev. 2018, 18, 846–855. [Google Scholar] [CrossRef]
- Zhou, C.; Zheng, J.; Gu, C.; Zhao, Y.; Liu, P. Sealing performance analysis of rubber O-ring in high-pressure gaseous hydrogen based on finite element method. Int. J. Hydrogen Energy 2017, 42, 11996–12004. [Google Scholar] [CrossRef]
- Zhang, H.; Zhang, J. Static and Dynamic Sealing Performance Analysis of Rubber D-Ring Based on FEM. J. Fail. Anal. Prev. 2016, 16, 165–172. [Google Scholar] [CrossRef]
- Tsala, S.; Berthier, Y.; Mollon, G.; Bertinotti, A. Numerical Analysis of the Contact Pressure in a Quasi-Static Elastomeric Reciprocating Sealing System. J. Tribol. 2018, 140, 064502. [Google Scholar] [CrossRef]
- Hess, D.P.; Soom, A. Friction at a Lubricated Line Contact Operating at Oscillating Sliding Velocities. J. Tribol. 1990, 112, 147–152. [Google Scholar] [CrossRef]
- Karaszkiewicz, A. Hydrodynamic lubrication of rubber seals for reciprocating motion; leakage of seals with an O-ring. Tribol. Int. 1988, 21, 361–367. [Google Scholar] [CrossRef]
- Kumar, R.; Azam, M.S. Effect of directionally oriented random roughness on performance of a Rayleigh step bearing operating under Mixed-Elastohydrodynamic Lubrication. Tribol. Int. 2021, 153, 106572. [Google Scholar] [CrossRef]
- Pei, J.; Han, X.; Tao, Y.; Feng, S. Mixed elastohydrodynamic lubrication analysis of line contact with Non-Gaussian surface roughness. Tribol. Int. 2020, 151, 106449. [Google Scholar] [CrossRef]
- Masjedi, M.; Khonsari, M. Mixed elastohydrodynamic lubrication line-contact formulas with different surface patterns. Proc. Inst. Mech. Eng. Part J J. Eng. Tribol. 2014, 228, 849–859. [Google Scholar] [CrossRef]
- Prati, E.; Strozzi, A. A Study of the Elastohydrodynamic Problem in Rectangular Elastomeric Seals. J. Tribol. 1984, 106, 505–512. [Google Scholar] [CrossRef]
- Stupkiewicz, S.; Marciniszyn, A. Elastohydrodynamic lubrication and finite configuration changes in reciprocating elasto-meric seals. Tribol. Int. 2009, 42, 615–627. [Google Scholar] [CrossRef]
- Yuan, X.; Wang, J.; Lian, Z.; Wang, G. Partial lubrication modeling of reciprocating rod seals based on a developed EHL method. Tribol. Int. 2021, 153, 106585. [Google Scholar] [CrossRef]
- Han, Q.; Chen, H.; Yang, W.; Zhang, Y.; Yang, J.; Chen, Y. Analysis of reciprocating O-ring seal in the pressure-balanced oil-filled wet-mate electrical connectors for underwater applications. Lubr. Sci. 2019, 31, 335–345. [Google Scholar] [CrossRef]
- Greenwood, J.A.; Williamson, J.B.P. Contact of nominally flat surfaces. Proc. R. Soc. London. Ser. A. Math. Phys. Sci. 1966, 295, 300–319. [Google Scholar] [CrossRef]
- Thatte, A.; Salant, R.F. Transient EHL analysis of an elastomeric hydraulic seal. Tribol. Int. 2009, 42, 1424–1432. [Google Scholar] [CrossRef]
- Zhang, Y.; Lou, Z.; Wei, F.; Lin, S.; Hu, L.; He, W. Hybrid lubrication model study of slip ring combination seal under the influence of frictional heat. Proc. Inst. Mech. Eng. Part J J. Eng. Tribol. 2024, 238, 426–449. [Google Scholar] [CrossRef]
- Mooney, M. A Theory of Large Elastic Deformation. J. Appl. Phys. 1940, 11, 582–592. [Google Scholar] [CrossRef]
- Rivlin, R.S. Large elastic deformations of isotropic materials IV. further developments of the general theory. Philos. Trans. R. Soc. London. Ser. A Math. Phys. Sci. 1948, 241, 379–397. [Google Scholar] [CrossRef]
- Patir, N.; Cheng, H.S. Application of Average Flow Model to Lubrication Between Rough Sliding Surfaces. J. Lubr. Technol. 1979, 101, 220–229. [Google Scholar] [CrossRef]
- Patir, N.; Cheng, H.S. An Average Flow Model for Determining Effects of Three-Dimensional Roughness on Partial Hydrodynamic Lubrication. J. Lubr. Technol. 1978, 100, 12–17. [Google Scholar] [CrossRef]
- Timoshenko, S.; Goodier, J.N. Theory of Elasticity; McGraw-Hill Book Company, Inc.: Chicago, IL, USA, 1951. [Google Scholar]
- Peng, C.; Ouyang, X.; Zhu, Y.; Guo, S.; Zhou, Q.; Yang, H. Investigation into the influence of stretching on reciprocating rod seals based on a novel 3-D model vs axisymmetric model. Tribol. Int. 2018, 117, 1–14. [Google Scholar] [CrossRef]
- Zhou, G.; Zhang, Y.; Wang, Z.; Pu, W. Analysis of transient mixed elastohydrodynamic lubrication in planetary roller screw mechanism. Tribol. Int. 2021, 163, 107158. [Google Scholar] [CrossRef]
- Ardah, S.; Profito, F.J.; Dini, D. An integrated finite volume framework for thermal elasto-hydrodynamic lubrication. Tribol. Int. 2023, 177, 107935. [Google Scholar] [CrossRef]





























| Basic Parameters | Values | Notation |
|---|---|---|
| Seal type | Capped T-shape ring | |
| Energizer Poisson’s ratio | 0.499 | |
| Cap Poisson’s ratio | 0.43 | |
| Backup rings Poisson’s ratio | 0.46 | |
| Energizer Mooney-Rivlin (MPa) | 1.2517, 0.3129 | |
| Cap Young’s Modulus (MPa) | 802 | |
| Backup rings Young’s Modulus (MPa) | 500 | |
| Piston Young’s Modulus (MPa) | 190 × 103 | |
| Piston circumference (m) | 0.359 | |
| Internal diameter of seal (m) | 0.1143 | |
| Viscosity-pressure coefficient, (Pa−1) | 2 × 10−8 | |
| Stroke length (m) | 0.2 | |
| Density of oil (kg/m3) | 857.4 | |
| Reference viscosity, (Pa·s) | 0.0396 | |
| RMS roughness (μm) | 0.8 | |
| Asperity density (m−2) | 5 × 1012 | |
| Asperity radius (μm) | 1.5 |
| D | r | Range | |
|---|---|---|---|
| 1/9 | 1.48 | 0.42 | > 1 |
| 1/6 | 1.38 | 0.42 | > 1 |
| 1/3 | 1.18 | 0.42 | > 0.75 |
| 1 | 0.90 | 0.56 | 0.5 |
| 3 | 0.225 | 1.5 | > 0.5 |
| 6 | 0.520 | 1.5 | 0.5 |
| 9 | 0.870 | 1.5 | > 0.5 |
| 1/9 | 2.046 | 1.12 | 0.78 | 0.03 | 1.856 |
| 1/6 | 1.962 | 1.08 | 0.77 | 0.03 | 1.754 |
| 1/3 | 1.858 | 1.01 | 0.76 | 0.03 | 1.561 |
| 1 | 1.899 | 0.98 | 0.92 | 0.05 | 1.126 |
| 3 | 1.560 | 0.85 | 1.13 | 0.08 | 0.556 |
| 6 | 1.290 | 0.62 | 1.09 | 0.08 | 0.388 |
| 9 | 1.011 | 0.54 | 1.07 | 0.08 | 0.295 |
| Parameters | Value(s) | |
|---|---|---|
| Sealed Pressure | 5, 10, 15 | MPa |
| Piston velocity | 0.05, 0.1, 0.15 | m/s, instroke–outstroke |
| values | 1/9, 1, 9 | Asperity orientation |
Disclaimer/Publisher’s Note: The statements, opinions and data contained in all publications are solely those of the individual author(s) and contributor(s) and not of MDPI and/or the editor(s). MDPI and/or the editor(s) disclaim responsibility for any injury to people or property resulting from any ideas, methods, instructions or products referred to in the content. |
© 2024 by the authors. Licensee MDPI, Basel, Switzerland. This article is an open access article distributed under the terms and conditions of the Creative Commons Attribution (CC BY) license (https://creativecommons.org/licenses/by/4.0/).
Share and Cite
Feria Alanis, A.; Sheikh Al-Shabab, A.A.; Antoniadis, A.F.; Tsoutsanis, P.; Skote, M. A Mixed-Elastohydrodynamic Lubrication Model of a Capped-T-Ring Seal with a Sectioned Multi-Material Film Thickness in Landing Gear Shock Absorber Applications. Fluids 2024, 9, 271. https://doi.org/10.3390/fluids9120271
Feria Alanis A, Sheikh Al-Shabab AA, Antoniadis AF, Tsoutsanis P, Skote M. A Mixed-Elastohydrodynamic Lubrication Model of a Capped-T-Ring Seal with a Sectioned Multi-Material Film Thickness in Landing Gear Shock Absorber Applications. Fluids. 2024; 9(12):271. https://doi.org/10.3390/fluids9120271
Chicago/Turabian StyleFeria Alanis, Aaron, Ahmed A. Sheikh Al-Shabab, Antonis F. Antoniadis, Panagiotis Tsoutsanis, and Martin Skote. 2024. "A Mixed-Elastohydrodynamic Lubrication Model of a Capped-T-Ring Seal with a Sectioned Multi-Material Film Thickness in Landing Gear Shock Absorber Applications" Fluids 9, no. 12: 271. https://doi.org/10.3390/fluids9120271
APA StyleFeria Alanis, A., Sheikh Al-Shabab, A. A., Antoniadis, A. F., Tsoutsanis, P., & Skote, M. (2024). A Mixed-Elastohydrodynamic Lubrication Model of a Capped-T-Ring Seal with a Sectioned Multi-Material Film Thickness in Landing Gear Shock Absorber Applications. Fluids, 9(12), 271. https://doi.org/10.3390/fluids9120271

